Evaluation and Spatial Correlation Analysis of Green Economic Growth Efficiency in Yangtze River Delta Urban Agglomeration
Abstract
1. Introduction
2. Literature Review
2.1. Green Economic Growth and Green Development
2.2. Green Economic Growth Evaluation
3. Indicator System Construction and Research Methodology
3.1. Indicator System Construction and Data Sources
3.1.1. Input Variables
- (1)
- Labor input
- (2)
- Energy input
3.1.2. Output Variables
- (1)
- Undesired outputs
- (2)
- The desired output
3.1.3. Carry-Over Variable
3.2. Research Method
3.2.1. A Super-Efficiency Dynamic SBM Model
3.2.2. The Meta-Frontier Approach
3.2.3. Exploratory Spatial Data Analysis
- (1)
- Spatial weight matrix
- (2)
- Global spatial autocorrelation index
- (3)
- Local spatial autocorrelation index
4. Empirical Study
4.1. Evaluation of the GEGE in Yangtze River Delta Urban Agglomeration
4.1.1. Discussions from the Perspective of the Whole Globe
4.1.2. Discussions from the Perspective of Provinces and Municipalities
4.1.3. Heterogeneity Analysis
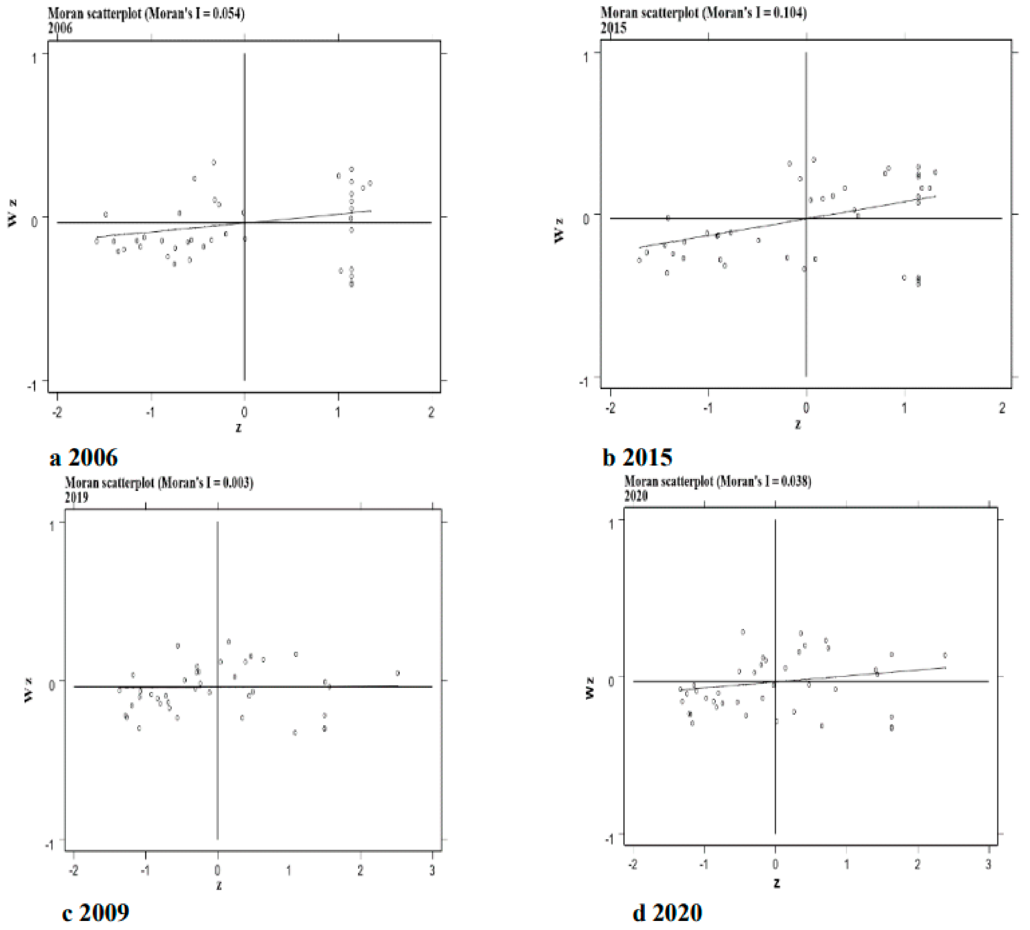
4.2. Spatial Correlation Analysis of the GEGE in Yangtze River Delta Urban Agglomeration
5. Discussion
6. Conclusions
6.1. Results and Policy Implications
- Actively exploring the construction of a green technology innovation community in the Yangtze River Delta. In recent years, although governments have introduced many policies to promote the development of green innovation, it is clear from the analysis of this paper that the rate of green economic growth has not been effectively improved. The reason is that even though enterprises are the main source of pollution emissions and the backbone of economic growth, most are not motivated to cut emissions or save energy. First, enterprises are profit-oriented subjects, and those using cleaner and greener technologies often have more cost disadvantages than those using traditional technologies [57], so they lack the initiative and motivation for environmental improvement. Second, the enterprises’ green innovation capabilities are insufficient. China’s enterprises have weak independent research and development capabilities, and rely more on technology introduction. However, the high cost of introducing green technology makes it difficult for most SMEs to afford. At present, there are significant differences in the level of green innovation among the cities in the Yangtze River Delta, and the high-efficiency cities tend to have stronger innovation capacities. Therefore, from a global perspective, Shanghai, as the leader of the Yangtze River Delta, should actively enhance its green innovation curation capacity, lead the construction of the Yangtze River Delta green technology innovation community, and effectively reduce the cost of green technology development and adoption by enterprises in terms of financial support and technical assistance. Locally, the metropolitan area should play an outstanding organizational role and take the lead in breaking down administrative barriers. It should support the interconnection of enterprises in each city in terms of policies, including knowledge flow and technology transfer. It is necessary to continuously narrow the differences between regions to continuously promote the optimization of industrial layout and structural transformation, and upgrade the Yangtze River Delta. Large enterprises will drive the development of small enterprises, and ultimately promote the integrated and high-quality development of the Yangtze River Delta region.
- Paying special attention to the overall and local spatial correlation characteristics of green economic growth in the Yangtze River Delta urban agglomeration, breaking the transition path dependency, and alleviating the problem of unbalanced regional green development. Shanghai should combine the overall industrial characteristics of the Yangtze River Delta, fully exploit the industrial advantages of each region, and strengthen the synergy of industrial chains and supply chains in the Yangtze River Delta. At the same time, Shanghai should accelerate the release of the various innovation dynamics gathered from the construction of the global science and innovation center, and actively radiate and diffuse them to the Yangtze River Delta region, to strongly enhance the independent innovation capability and continuously promote the integrated ecological and green development of the whole region. For Zhejiang, the four major metropolitan areas should link up to avoid resource grabbing due to political competition. They can form synergy to promote the high-quality development of Zhejiang Province through the staggered development of the industrial system. For example, Hangzhou has internet technology at its core, Ningbo has shipping trade at its core, Jinhua has trade and logistics at its core, and Wenzhou has a private economy at its core. For Jiangsu, at this phase, the development of a green economy in southern Jiangsu and northern Jiangsu is extremely unbalanced. While strengthening the spatial linkage of cities in the province, it is also necessary to combine their geopolitical advantages and strengthen cross-regional cooperation. Specific measures include the local government encouraging the transfer of advantageous industries from southern Jiangsu to northern Jiangsu, developed cities taking the initiative to help less developed cities with policy support, and promoting the sharing of innovation resources between cities, ultimately forming a situation of complementary advantages and synergistic development. For Anhui, the delineation of the Hefei metropolitan area has brought about a major turnaround in its economic development. However, at present, it seems that while Hefei’s green economic development is eye-catching, the surrounding cities are consistently inefficient. The spatial spillover effect on inefficient cities in Anhui should be strengthened to avoid excessive siphoning that would prevent these cities from escaping the plight of inefficient green development. In addition, observing the trend of efficiency value changes in the Yangtze River Delta cities, it can be found that the efficiency values of cities that mainly develop tourism (such as Huangshan, and Zhoushan) declined significantly during 2020, which saw the start of the epidemic. Therefore, in the post-epidemic era, these cities should consider changing their development methods, empowering the tourism industry with digital economy, increasing the added value of the industry, and thus improving the industry’s resilience to resist the impact of epidemics.
6.2. Theoretical Contributions
6.3. Limitations and Future Research
Author Contributions
Funding
Institutional Review Board Statement
Informed Consent Statement
Data Availability Statement
Acknowledgments
Conflicts of Interest
Appendix A
| 2004 | 2005 | 2006 | 2007 | 2008 | 2009 | 2010 | 2011 | 2012 | 2013 | 2014 | 2015 | 2016 | 2017 | 2018 | 2019 | 2020 | |
|---|---|---|---|---|---|---|---|---|---|---|---|---|---|---|---|---|---|
| Shanghai | 1.22 | 1.04 | 1.03 | 1.04 | 1.03 | 1.03 | 1.03 | 1.03 | 1.03 | 1.04 | 1.03 | 1.05 | 1.07 | 1.16 | 1.15 | 1.27 | 1.19 |
| Nanjing | 0.64 | 0.58 | 0.60 | 0.67 | 0.61 | 0.61 | 0.64 | 0.65 | 0.61 | 0.55 | 0.57 | 0.56 | 0.76 | 0.75 | 0.72 | 0.70 | 0.64 |
| Wuxi | 1.05 | 1.00 | 1.00 | 1.00 | 1.00 | 1.01 | 1.03 | 1.01 | 1.04 | 1.03 | 1.03 | 1.03 | 1.02 | 1.02 | 1.03 | 1.02 | 0.95 |
| Xuzhou | 0.54 | 0.59 | 0.57 | 0.70 | 0.72 | 0.73 | 0.65 | 0.67 | 0.61 | 0.60 | 0.66 | 0.69 | 0.66 | 1.00 | 1.00 | 1.00 | 1.00 |
| Changzhou | 0.70 | 0.59 | 0.54 | 0.67 | 0.64 | 0.65 | 0.73 | 1.00 | 1.00 | 1.00 | 1.00 | 1.00 | 0.68 | 0.68 | 0.72 | 0.67 | 0.61 |
| Suzhou1 | 1.00 | 1.00 | 1.00 | 1.00 | 1.00 | 1.00 | 1.00 | 1.00 | 1.00 | 1.00 | 1.00 | 1.00 | 1.00 | 1.00 | 1.00 | 0.71 | 0.68 |
| Nantong | 0.62 | 0.65 | 0.58 | 0.69 | 0.70 | 0.66 | 0.76 | 0.81 | 0.97 | 0.80 | 0.84 | 0.91 | 0.95 | 0.80 | 0.74 | 0.73 | 1.00 |
| Lianyungang | 0.53 | 0.52 | 0.49 | 0.62 | 0.59 | 0.58 | 0.57 | 0.49 | 0.52 | 0.51 | 0.36 | 0.42 | 0.42 | 0.38 | 0.39 | 0.40 | 0.32 |
| Huaian | 0.46 | 0.46 | 0.42 | 0.48 | 0.44 | 0.43 | 0.44 | 0.42 | 0.43 | 0.42 | 0.43 | 0.45 | 0.48 | 0.48 | 0.45 | 0.43 | 0.38 |
| Yancheng | 0.94 | 1.00 | 1.00 | 1.00 | 1.00 | 1.00 | 1.00 | 1.00 | 1.00 | 1.00 | 1.00 | 0.74 | 0.70 | 0.58 | 0.57 | 0.55 | 0.44 |
| Yangzhou | 0.68 | 0.71 | 0.66 | 0.81 | 0.72 | 0.70 | 0.74 | 0.84 | 0.79 | 0.69 | 0.76 | 0.83 | 0.83 | 0.63 | 0.53 | 0.53 | 0.57 |
| Zhenjiang | 0.72 | 0.77 | 0.71 | 0.86 | 0.83 | 0.85 | 0.87 | 0.68 | 0.72 | 0.70 | 0.77 | 0.76 | 0.76 | 0.76 | 0.72 | 0.74 | 0.70 |
| Taizhou1 | 0.71 | 0.70 | 0.64 | 0.83 | 0.69 | 0.69 | 0.71 | 0.77 | 0.85 | 0.73 | 0.71 | 0.80 | 0.79 | 0.57 | 0.54 | 0.53 | 0.52 |
| Suqian | 0.61 | 1.00 | 0.53 | 0.60 | 0.54 | 0.49 | 0.43 | 0.40 | 0.40 | 0.37 | 0.36 | 0.36 | 0.35 | 0.31 | 0.30 | 0.30 | 0.24 |
| Hangzhou | 0.74 | 0.78 | 0.71 | 0.80 | 1.00 | 0.73 | 0.73 | 0.80 | 0.85 | 0.69 | 0.72 | 0.82 | 1.00 | 0.71 | 0.68 | 0.72 | 0.80 |
| Ningbo | 1.00 | 1.00 | 1.00 | 1.00 | 1.00 | 1.00 | 1.00 | 1.00 | 0.85 | 1.00 | 1.00 | 1.00 | 0.88 | 0.70 | 0.66 | 0.65 | 0.67 |
| Wenzhou | 1.07 | 1.02 | 1.05 | 1.04 | 1.02 | 1.04 | 1.03 | 1.06 | 1.05 | 1.05 | 1.03 | 1.01 | 1.09 | 1.08 | 1.17 | 1.00 | 0.94 |
| Jiaxing | 0.76 | 0.76 | 0.63 | 0.72 | 0.69 | 0.70 | 0.69 | 0.66 | 0.63 | 0.64 | 0.66 | 0.71 | 0.74 | 0.48 | 0.47 | 0.46 | 0.46 |
| Huzhou | 0.77 | 0.90 | 0.63 | 1.00 | 0.77 | 0.78 | 0.85 | 0.81 | 0.69 | 0.67 | 0.67 | 0.67 | 0.62 | 0.54 | 0.53 | 0.53 | 0.53 |
| Shaoxing | 1.00 | 1.00 | 1.00 | 1.00 | 1.00 | 1.00 | 1.00 | 1.00 | 1.00 | 0.57 | 0.65 | 0.65 | 0.76 | 0.64 | 0.63 | 0.62 | 0.66 |
| Jinhua | 1.00 | 1.00 | 1.00 | 1.00 | 1.00 | 1.00 | 1.00 | 1.00 | 1.00 | 1.00 | 1.00 | 1.00 | 1.00 | 0.57 | 0.54 | 0.54 | 0.54 |
| Quzhou | 0.43 | 0.34 | 0.34 | 0.35 | 0.34 | 0.34 | 0.38 | 0.34 | 0.32 | 0.31 | 0.31 | 0.31 | 0.32 | 0.33 | 0.33 | 0.33 | 0.28 |
| Zhoushan | 1.06 | 0.96 | 0.97 | 0.97 | 0.95 | 0.96 | 0.95 | 0.94 | 0.93 | 0.94 | 0.93 | 0.92 | 0.94 | 0.91 | 0.90 | 0.90 | 0.76 |
| Taizhou2 | 1.00 | 1.00 | 1.00 | 1.00 | 1.00 | 1.00 | 1.00 | 1.00 | 1.00 | 1.00 | 1.00 | 1.00 | 1.00 | 0.77 | 0.74 | 0.78 | 0.77 |
| Lishui | 1.00 | 1.00 | 1.00 | 1.00 | 1.00 | 1.00 | 1.00 | 0.71 | 0.66 | 0.67 | 0.68 | 0.70 | 0.70 | 0.50 | 0.48 | 0.49 | 0.50 |
| Hefei | 0.63 | 0.70 | 1.00 | 1.00 | 1.00 | 1.00 | 1.00 | 1.00 | 1.00 | 1.00 | 1.00 | 1.00 | 1.00 | 1.00 | 1.00 | 1.00 | 1.00 |
| Wuhu | 0.62 | 0.60 | 0.53 | 0.57 | 0.52 | 0.49 | 0.53 | 0.46 | 0.40 | 0.33 | 0.32 | 0.31 | 0.31 | 0.33 | 0.32 | 0.32 | 0.27 |
| Bengbu | 0.41 | 0.47 | 0.44 | 0.50 | 0.49 | 0.50 | 0.51 | 0.56 | 0.53 | 0.51 | 0.49 | 0.46 | 0.55 | 0.50 | 0.47 | 0.43 | 0.44 |
| Huainan | 0.33 | 0.38 | 0.37 | 0.37 | 0.35 | 0.36 | 0.38 | 0.38 | 0.36 | 0.35 | 0.34 | 0.32 | 0.32 | 0.37 | 0.37 | 0.37 | 0.35 |
| Maanshan | 0.42 | 0.42 | 0.43 | 0.44 | 0.41 | 0.43 | 0.44 | 0.32 | 0.30 | 0.28 | 0.26 | 0.25 | 0.26 | 0.28 | 0.28 | 0.28 | 0.26 |
| Huaibei | 0.37 | 0.44 | 0.36 | 0.46 | 0.45 | 0.43 | 0.44 | 0.43 | 0.42 | 0.39 | 0.39 | 0.35 | 0.37 | 0.42 | 0.41 | 0.39 | 0.36 |
| Tongling | 0.37 | 0.38 | 0.39 | 0.40 | 0.41 | 0.40 | 0.40 | 0.38 | 0.35 | 0.33 | 0.32 | 0.23 | 0.23 | 0.28 | 0.27 | 0.27 | 0.27 |
| Anqing | 0.41 | 0.55 | 0.57 | 0.61 | 0.59 | 0.58 | 0.66 | 0.66 | 0.70 | 0.69 | 0.65 | 0.72 | 0.79 | 1.00 | 1.00 | 1.00 | 1.00 |
| Huangshan | 1.24 | 0.96 | 0.97 | 0.99 | 0.97 | 0.98 | 0.96 | 0.94 | 0.96 | 0.95 | 0.95 | 0.96 | 0.93 | 0.96 | 0.91 | 0.89 | 0.75 |
| Chuzhou | 1.00 | 1.00 | 1.00 | 1.00 | 1.00 | 1.00 | 1.00 | 1.00 | 1.00 | 1.00 | 1.00 | 1.00 | 1.00 | 0.54 | 0.50 | 0.46 | 0.47 |
| Fuyang | 0.64 | 0.64 | 0.56 | 0.54 | 0.51 | 0.52 | 0.61 | 0.55 | 0.50 | 0.48 | 0.48 | 0.45 | 0.39 | 0.36 | 0.32 | 0.30 | 0.25 |
| Suzhou2 | 1.00 | 1.00 | 1.00 | 1.00 | 1.00 | 1.00 | 1.00 | 1.00 | 1.00 | 0.54 | 0.48 | 0.47 | 0.47 | 0.48 | 0.46 | 0.42 | 0.37 |
| Luan | 0.40 | 0.53 | 0.51 | 0.69 | 0.70 | 0.64 | 0.67 | 0.64 | 0.64 | 0.63 | 1.00 | 0.64 | 1.00 | 1.00 | 1.00 | 0.58 | 0.53 |
| Haozhou | 1.00 | 1.00 | 1.00 | 1.00 | 1.00 | 1.00 | 1.00 | 1.00 | 1.00 | 1.00 | 1.00 | 1.00 | 1.00 | 0.59 | 0.58 | 1.00 | 0.58 |
| Chizhou | 0.37 | 0.34 | 0.32 | 0.33 | 0.31 | 0.31 | 0.30 | 0.29 | 0.28 | 0.25 | 0.23 | 0.30 | 0.31 | 0.30 | 0.27 | 0.25 | 0.23 |
| Xuancheng | 0.77 | 0.83 | 0.62 | 0.61 | 0.58 | 0.59 | 0.59 | 0.53 | 0.48 | 0.46 | 0.48 | 0.48 | 0.53 | 0.40 | 0.35 | 0.32 | 0.29 |
| Mean value | 0.74 | 0.75 | 0.71 | 0.77 | 0.75 | 0.74 | 0.75 | 0.74 | 0.73 | 0.69 | 0.70 | 0.69 | 0.71 | 0.64 | 0.62 | 0.61 | 0.58 |
| Years | 2006 | 2015 | 2019 | 2020 | |
|---|---|---|---|---|---|
| Types | |||||
| The first quadrant (HH) | Shanghai, Wuxi, Suzhou1, Ningbo, Wenzhou, Shaoxing, Jinhua, Zhoushan, Lishui, Taizhou2 (10 cities) | Shanghai, Wuxi, Suzhou1, Zhenjiang, Yangzhou, Changzhou, Taizhou1, Yancheng, Hangzhou, Ningbo, Wenzhou, Shaoxing, Jinhua, Zhoushan, Lishui, Taizhou2, Jiaxing (17 cities) | Shanghai, Wuxi, Suzhou1, Zhenjiang, Changzhou, Nantong, Ningbo, Wenzhou, Shaoxing, Taizhou2, Zhoushan (11 cities) | Shanghai, Wuxi, Suzhou1, Zhenjiang, Changzhou, Nantong, Ningbo, Wenzhou, Shaoxing, Taizhou2, Zhoushan (11 cities) | |
| The second quadrant (LH) | Nantong, Taizhou1, Changzhou, Jiaxing, Huzhou, Quzhou, Hangzhou (7 cities) | Shaoxing, Huzhou, Quzhou (3 cities) | Taizhou1, Yancheng, Yangzhou, Lishui, Jinhua, Huzhou, Jiaxing, Fuyang, Luan, Chizhou, Quzhou (11 cities) | Taizhou1, Yancheng, Yangzhou, Lishui, Jinhua, Huzhou, Jiaxing, Quzhou (8 cities) | |
| The third quadrant (LL) | Nanjing, Yangzhou, Lianyungang, Xuzhou, Suqian, Huaian, Maanshan, Tongling, Bengbu, Huainan, Luan, Huaibei, Anqing, Chizhou, Wuhu, Fuyang, Xuancheng (17 cities) | Nanjing, Lianyungang, Xuzhou, Suqian, Huaian, Maanshan, Tongling, Bengbu, Huainan, Luan, Huaibei, Chizhou, Wuhu, Fuyang, Suzhou2, Xuancheng (16 cities) | Lianyungang, Suqian, Huaian, Maanshan, Tongling, Bengbu, Huainan, Huaibei, Wuhu, Suzhou2, Xuancheng, Chuzhou (12 cities) | Lianyungang, Suqian, Huaian, Maanshan, Tongling, Bengbu, Huainan, Huaibei, Wuhu, Suzhou2, Xuancheng, Chuzhou, Chizhou, Luan, Fuyang (15 cities) | |
| The fourth quadrant (HL) | Zhenjiang, Yancheng, Hefei, Huangshan, Chuzhou, Suzhou2, Haozhou (7 cities) | Hefei, Huangshan, Chuzhou, Haozhou, Anqing (5 cities) | Hangzhou, Nanjing, Xuzhou, Hefei, Huangshan, Anqing, Haozhou (7 cities) | Hangzhou, Nanjing, Xuzhou, Hefei, Huangshan, Anqing, Haozhou (7 cities) | |
References
- Kahia, M.; Omri, A.; Jarraya, B. Green Energy, Economic Growth and Environmental Quality Nexus in Saudi Arabia. Sustainability 2021, 13, 1264. [Google Scholar] [CrossRef]
- Lubsanova, N.B.; Maksanova, L.B.-Z.; Eremko, Z.S.; Bardakhanova, T.B.; Mikheeva, A.S. The Eco-Efficiency of Russian Regions in North Asia: Their Green Direction of Regional Development. Sustainability 2022, 14, 12776. [Google Scholar] [CrossRef]
- Zhang, J.K.; Hou, Y.Z.; Liu, P.L.; He, J.W.; Zhuo, X. Target requirements and strategic paths for quality development. Manag. World 2019, 35, 1–7. [Google Scholar] [CrossRef]
- A European Green Deal. Available online: https://ec.europa.eu/info/strategy/priorities-2019-2024/european-green-deal_en (accessed on 25 September 2022).
- Raźniak, P.; Csomós, G.; Dorocki, S.; Winiarczyk-Raźniak, A. Exploring the Shifting Geographical Pattern of the Global Command-and-Control Function of Cities. Sustainability 2021, 13, 12798. [Google Scholar] [CrossRef]
- Xue, D.Q.; Wang, C.S. A Study on the Spatial Process for the Evolution of Urban Agglomerations and Optimal Land Use. Prog. Geogr. 2002, 21, 95–102. [Google Scholar] [CrossRef]
- Fang, C.L.; Yu, D.L. Urban agglomeration: An evolving concept of an emerging phenomenon. Landsc. Urban Plan. 2017, 162, 126–136. [Google Scholar] [CrossRef]
- Yu, X.; Wu, Z.; Zheng, H.; Li, M.; Tan, T. How urban agglomeration improve the emission efficiency? A spatial econometric analysis of the Yangtze River delta urban agglomeration in China. J. Environ. Manag. 2020, 263, 110399. [Google Scholar] [CrossRef]
- People’s Daily Online. Experts and Scholars from Shanghai University of Finance and Economics Talk about How to Build a High-Quality Green Development Yangtze River Delta Urban Agglomeration. Available online: http://sh.people.com.cn/n2/2020/0916/c134768-34297135.html (accessed on 16 September 2020).
- Chen, L.T.; Ji, L.; Li, J.L. Market integration and green development efficiency in the Yangtze River delta urban agglomeration: Theory, measurement and spatial tests. J. Southwest Minzu Univ. (Humanit. Soc. Sci.) 2022, 43, 108–122. [Google Scholar]
- Wang, S.J.; Li, J.F. Balanced characteristics and obstacle factors of high-quality green development in Yangtze River delta urban agglomeration. J. Nat. Resour. 2022, 37, 1540–1554. [Google Scholar] [CrossRef]
- Wang, X.L.; Shao, Q.L. Non-linear effects of heterogeneous environmental regulations on green growth in G20 countries: Evidence from panel threshold regression. Sci. Total Environ. 2019, 660, 1346–1354. [Google Scholar] [CrossRef]
- Lorek, S.; Spangenberg, J.H. Sustainable consumption within a sustainable economy—Beyond green growth and green economie. J. Clean. Prod. 2014, 63, 33–44. [Google Scholar] [CrossRef]
- Lu, X.; Chen, D.; Kuang, B.; Zhang, C.; Cheng, C. Is high-tech zone a policy trap or a growth drive? Insights from the perspective of urban land use efficiency. Land Use Policy 2020, 95, 1076–1081. [Google Scholar] [CrossRef]
- Belmonte-Ureña, L.J.; Plaza-Úbeda, J.A.; Vazquez-Brust, D.; Yakovleva, N. Circular economy, degrowth and green growth as pathways for research on sustainable development goals: A global analysis and future agenda. Ecol. Econ. 2021, 185, 107050. [Google Scholar] [CrossRef]
- Niu, T.; Yao, X.; Shao, S.; Li, D.; Wang, W. Environmental tax shocks and carbon emissions: An estimated DSGE model. Struct. Chang. Econ. Dyn. 2018, 47, 9–17. [Google Scholar] [CrossRef]
- Haberl, H.; Wiedenhofer, D.; Virág, D.; Kalt, G.; Plank, B.; Brockway, P.; Fishman, T.; Hausknost, D.; Krausmann, F.; Leon-Gruchalski, B.; et al. A systematic review of the evidence on decoupling of GDP, resource use and GHG emissions, part II: Synthesizing the insights. Environ. Res. Lett. 2020, 15, 065003. [Google Scholar] [CrossRef]
- Raźniak, P.; Dorocki, S.; Rachwał, T.; Winiarczyk-Raźniak, A. The Role of the Energy Sector in the Command and Control Function of Cities in Conditions of Sustainability Transitions. Energies 2021, 14, 7579. [Google Scholar] [CrossRef]
- Tóth, G.; Sebestyén Szép, T. Spatial Evolution of the Energy and Economic Centers of Gravity. Resources 2019, 8, 100. [Google Scholar] [CrossRef]
- Shang, D.; Li, H.J.; Yao, J. Green Economy, Green Growth and Green Development: Concept Connotation and Literature Review. Foreign Econ. Manag. 2020, 42, 134–151. [Google Scholar] [CrossRef]
- Xie, D.J.; Hu, S.H. Financial leverage and urban green economic growth—Based on 285 prefecture level and above cities in China. Inq. Into Econ. Issues 2021, 11, 150–163. [Google Scholar]
- Liao, W.L.; Dong, X.K.; Weng, M.; Chen, X. Economic effect of market-oriented environmental regulation: Carbon emission trading, green innovation and green economic growth. China Soft Sci. 2020, 6, 159–173. [Google Scholar]
- Fan, D.; Sun, X.T. Environmental regulation, green technological innovation and green economic growth. China Popul. Resour. Environ. 2020, 30, 105–115. [Google Scholar] [CrossRef]
- Han, J.; Liu, Y.; Zhang, X.W. The market orientation, environmental regulation and China’s green economic growth. Comp. Econ. Soc. Syst. 2017, 5, 105–115. [Google Scholar]
- Soundarrajan, P.; Vivek, N. Green finance for sustainable green economic growth in India. Agric. Econ. 2016, 62, 35–44. [Google Scholar] [CrossRef]
- Hao, X.; Li, Y.; Ren, S.; Wu, H.; Hao, Y. The role of digitalization on green economic growth: Does industrial structure optimization and green innovation matter? J. Environ. Manag. 2023, 325, 116504. [Google Scholar] [CrossRef]
- Adams, B. Green Development: Environment and Sustainability in a Developing World; Routledge: Abingdon, UK, 2019. [Google Scholar]
- Hu, A.G.; Zhou, S.J. Green Development: Functional Definition, Mechanism Analysis and Development Strategy. China Popul. Resour. Environ. 2014, 24, 14–20. [Google Scholar] [CrossRef]
- Wu, C.Q.; Song, X.X. Influencing factors and efficiency assessment of green development in Yangtze river economic belt cities. Learn. Pract. 2018, 4, 5–13. [Google Scholar] [CrossRef]
- Li, S.; Zhou, T.K.; Fan, L.Z. Analysis of urban green development and influencing factors in Yangtze River Economic Belt. Stat. Decis. 2019, 35, 121–125. [Google Scholar] [CrossRef]
- Guo, Y.; Tong, L.; Mei, L. The effect of industrial agglomeration on green development efficiency in Northeast China since the revitalization. J. Clean. Prod. 2020, 258, 120584. [Google Scholar] [CrossRef]
- Luo, K.; Liu, Y.; Chen, P.F.; Zeng, M. Assessing the impact of digital economy on green development efficiency in the Yangtze River Economic Belt. Energy Econ. 2022, 112, 106127. [Google Scholar] [CrossRef]
- Zhang, D.Y.; Mohsin, M.; Rasheed, A.K.; Chang, Y.; Taghizadeh-Hesary, F. Public spending and green economic growth in BRI region: Mediating role of green finance. Energy Policy 2021, 153, 112256. [Google Scholar] [CrossRef]
- Sun, X. Analysis of green total factor productivity in OECD and BRICS countries: Based on the Super-SBM model. J. Water Clim. Chang. 2022, 13, 3400–3415. [Google Scholar] [CrossRef]
- Liao, M.L.; Wang, G.F. Decoupling analysis of the relationship between the green development and economic growth of urban agglomerations in the Yellow River Basin. Urban Dev. Stud. 2021, 28, 100–106. [Google Scholar]
- Li, J.; Liu, Z. Spatial differences and influential factors of GTFP in Chinese three major urban agglomerations. Soft Sci. 2019, 33, 61–64+80. [Google Scholar] [CrossRef]
- Ding, X.Y.; Xiao, W.; Tian, Z. Study on the Synergistic Effect of Industry’s Green and Innovation Development in Yangtze River Delta Urban Agglomeration. J. Ind. Technol. Econ. 2019, 38, 67–75. [Google Scholar] [CrossRef]
- Yu, Y.; Yi, Z.; Jia, J. The Efficiency Evolution and Risks of Green Development in the Yangtze River Economic Belt, China. Sustainability 2022, 14, 10417. [Google Scholar] [CrossRef]
- Wang, K.; Wei, Y.M.; Zhang, X. A comparative analysis of China’s regional energy and emission performance: Which is the better way to deal with undesirable outputs? Energy Policy 2012, 46, 574–584. [Google Scholar] [CrossRef]
- Wang, Z.; Feng, C. A performance evaluation of the energy, environmental, and economic efficiency and productivity in China: An application of global data envelopment analysis. Appl. Energy 2015, 147, 617–626. [Google Scholar] [CrossRef]
- Färe, R.; Grosskopf, S. Intertemporal Production Frontiers: With Dynamic DEA; Springer: Dordrecht, The Netherlands, 1996. [Google Scholar]
- Tone, K.; Tsutsui, M. Dynamic DEA: A slacks-based measure approach. Omega 2010, 38, 145–156. [Google Scholar] [CrossRef]
- Guo, X.; Lu, C.C.; Lee, J.H.; Chiu, Y.-H. Applying the dynamic DEA model to evaluate the energy efficiency of OECD countries and China. Energy 2017, 134, 392–399. [Google Scholar] [CrossRef]
- Ke, T.-Y. Energy efficiency of APEC members-applied dynamic SBM model. Carbon Manag. 2017, 8, 293–303. [Google Scholar] [CrossRef]
- Amowine, N.; Li, H.; Boamah, K.B.; Zhou, Z. Towards Ecological Sustainability: Assessing Dynamic Total-Factor Ecology Efficiency in Africa. Int. J. Environ. Res. Public Health 2021, 18, 9323. [Google Scholar] [CrossRef] [PubMed]
- Lin, B.Q. Electricity consumption and economic growth in China: A study based on production function. Manag. World 2003, 11, 18–27. [Google Scholar] [CrossRef]
- Teng, X.; Liu, F.P.; Chiu, Y.H. The change in energy and carbon emissions efficiency after afforestation in China by applying a modified dynamic SBM model. Energy 2020, 216, 119301. [Google Scholar] [CrossRef]
- Zhang, J.; Wu, G.Y.; Zhang, J.P. The estimation of China’s provincial Capital Stock: 1952–2000. Econ. Res. 2004, 10, 35–44. [Google Scholar]
- Ke, S.Z.; Xiang, J. Estimation of the fixed capital stocks in Chinese cities for 1996—2009. Stat. Res. 2012, 29, 19–24. [Google Scholar] [CrossRef]
- Cheng, G. Data Envelopment Analysis and MaxDEA Software; Intellectual Property Press: Beijing, China, 2014. [Google Scholar]
- Tao, J.Y.; Dong, P.; Lu, Y.Q. Spatial-temporal analysis and influencing factors of ecological resilience in the Yangtze River Delta. Resour. Environ. Yangtze Basin 2022, 1–20. Available online: http://kns.cnki.net/kcms/detail/42.1320.X.20220409.1234.002.html (accessed on 11 April 2022).
- Cai, S.H.; Gu, C.; Zhang, Z.J. Research on green development level measurement and spatiotemporal evolution characteristics of the Yangtze River Economic Belt. East China Econ. Manag. 2021, 35, 25–34. [Google Scholar] [CrossRef]
- Xiang, Y.B.; Wang, S.Y.; Deng, C.X. Spatial differentiation and driving factor of green development efficiency of chemical industry in Yangtze River Economic Belt. Econ. Geogr. 2021, 41, 108–117. [Google Scholar] [CrossRef]
- Cao, L.; Yang, H.C.; Li, L.S. Spatial and temporal differentiation characteristics and dynamic evolution of industrial green innovation efficiency. Stud. Sci. Sci. 2022, 40, 1895. [Google Scholar] [CrossRef]
- Rey, S.J.; Janikas, M.V. STARS: Space-Time analysis of regional systems. Geogr. Anal. 2006, 38, 67–86. [Google Scholar] [CrossRef]
- Ma, L.; Long, H.; Chen, K.; Tu, S.; Zhang, Y.; Liao, L. Green growth efficiency of Chinese cities and its Spatio-temporal pattern. Resour. Conserv. Recycl. 2019, 146, 441–451. [Google Scholar] [CrossRef]
- Wang, X.; Cho, S.H.; Scheller-Wolf, A.A. Green technology development and adoption: Competition, regulation, and uncertainty-a global game approach. Manag. Sci. 2020, 67, 201–219. [Google Scholar] [CrossRef]







| Category | Variables | Data and Instructions |
|---|---|---|
| Inputs | Labor | City-wide year-end number of employees. |
| Energy | City’s total social electricity consumption. | |
| Undesired outputs | SO2 | City-wide industrial SO2 emissions. |
| Smoke (dust) emissions | City-wide industrial smoke (dust) emissions. | |
| Wastewater | City-wide industrial wastewater discharge. | |
| The desired output | GDP | The real GDP of the prefecture-level city. |
| The carry-over variable | Capital stock | Fixed-asset investment. |
| Year | Energy | Wastewater | Sulfur Dioxide Emissions | Smoke (Dust) Emissions |
|---|---|---|---|---|
| 2011 | 17.29% | 8.94% | 26.92% | 30.41% |
| 2012 | 15.74% | 14.51% | 30.55% | 29.08% |
| 2013 | 16.23% | 24.82% | 33.81% | 34.54% |
| 2014 | 19.56% | 25.77% | 35.14% | 25.81% |
| 2015 | 17.19% | 27.46% | 32.76% | 28.17% |
| 2016 | 14.01% | 24.51% | 35.80% | 37.02% |
| 2017 | 16.82% | 32.68% | 53.17% | 45.89% |
| 2018 | 18.79% | 37.17% | 58.35% | 53.53% |
| 2019 | 22.66% | 40.74% | 57.86% | 67.90% |
| 2020 | 30.84% | 29.37% | 59.55% | 80.43% |
| Year | Global Moran’s I | Z-Value | p-Value | Year | Global Moran’s I | Z-Value | p-Value |
|---|---|---|---|---|---|---|---|
| 2004 | 0.098 | 5.118 | 0.000 | 2013 | 0.082 | 4.454 | 0.000 |
| 2005 | 0.081 | 4.419 | 0.000 | 2014 | 0.078 | 4.273 | 0.000 |
| 2006 | 0.054 | 3.271 | 0.001 | 2015 | 0.104 | 5.377 | 0.000 |
| 2007 | 0.077 | 4.265 | 0.000 | 2016 | 0.078 | 4.297 | 0.000 |
| 2008 | 0.068 | 3.871 | 0.000 | 2017 | 0.020 | 1.892 | 0.029 |
| 2009 | 0.067 | 3.835 | 0.000 | 2018 | 0.018 | 1.797 | 0.036 |
| 2010 | 0.076 | 4.211 | 0.000 | 2019 | 0.003 | 1.186 | 0.118 |
| 2011 | 0.082 | 4.440 | 0.000 | 2020 | 0.038 | 2.635 | 0.004 |
| 2012 | 0.078 | 4.287 | 0.000 |
| Type of Spatial Association | Transition Path | City |
|---|---|---|
| Type I | HH→HL | / |
| HL→HH | Zhenjiang | |
| LL→LH | Yangzhou | |
| LH→LL | / | |
| Type II | HH→LL | / |
| LL→HH | / | |
| LH→HL | Hangzhou | |
| HL→LH | Yancheng | |
| Type III | HH→LH | Lishui, Jinhua |
| LH→HH | Changzhou, Nantong | |
| LL→HL | Nanjing, Xuzhou, Anqing | |
| HL→LL | Suzhou2, Chuzhou | |
| Type IV | no transition | The remaining 28 cities |
Disclaimer/Publisher’s Note: The statements, opinions and data contained in all publications are solely those of the individual author(s) and contributor(s) and not of MDPI and/or the editor(s). MDPI and/or the editor(s) disclaim responsibility for any injury to people or property resulting from any ideas, methods, instructions or products referred to in the content. |
© 2023 by the authors. Licensee MDPI, Basel, Switzerland. This article is an open access article distributed under the terms and conditions of the Creative Commons Attribution (CC BY) license (https://creativecommons.org/licenses/by/4.0/).
Share and Cite
Su, J.; Ma, Z.; Wang, Y.; Wang, X. Evaluation and Spatial Correlation Analysis of Green Economic Growth Efficiency in Yangtze River Delta Urban Agglomeration. Sustainability 2023, 15, 2583. https://doi.org/10.3390/su15032583
Su J, Ma Z, Wang Y, Wang X. Evaluation and Spatial Correlation Analysis of Green Economic Growth Efficiency in Yangtze River Delta Urban Agglomeration. Sustainability. 2023; 15(3):2583. https://doi.org/10.3390/su15032583
Chicago/Turabian StyleSu, Jialu, Zhiqiang Ma, Yan Wang, and Xinxing Wang. 2023. "Evaluation and Spatial Correlation Analysis of Green Economic Growth Efficiency in Yangtze River Delta Urban Agglomeration" Sustainability 15, no. 3: 2583. https://doi.org/10.3390/su15032583
APA StyleSu, J., Ma, Z., Wang, Y., & Wang, X. (2023). Evaluation and Spatial Correlation Analysis of Green Economic Growth Efficiency in Yangtze River Delta Urban Agglomeration. Sustainability, 15(3), 2583. https://doi.org/10.3390/su15032583
