Rural Landscape Change: The Driving Forces of Land Use Transformation from 1980 to 2020 in Southern Henan, China
Abstract
1. Introduction
2. Overview of the Study Area
3. Materials and Methods
3.1. Data Sources and Processing
3.2. Single Land Use Dynamic Attitude Model
3.3. Land Use Transfer Matrix
3.4. Landscape Center of Gravity Shift Model
3.5. Landscape Index Selection
3.6. Driver Factors Selection
3.7. Geographic Probes
3.8. Logistic Regression Model
4. Results and Analysis
4.1. Analysis of Land Use Characteristics in the Rural Areas of Southern Henan
- (1)
- Analysis of the quantitative structure of land use
- (2)
- Analysis of land use type dynamic attitudes
4.2. Analysis of Land Use Transformation in the Rural Areas of Southern Henan
- (1)
- Analysis of land use type transfer
- (2)
- Analysis of spatial transfer of land use
4.3. Evolutionary Changes in the Landscape Pattern
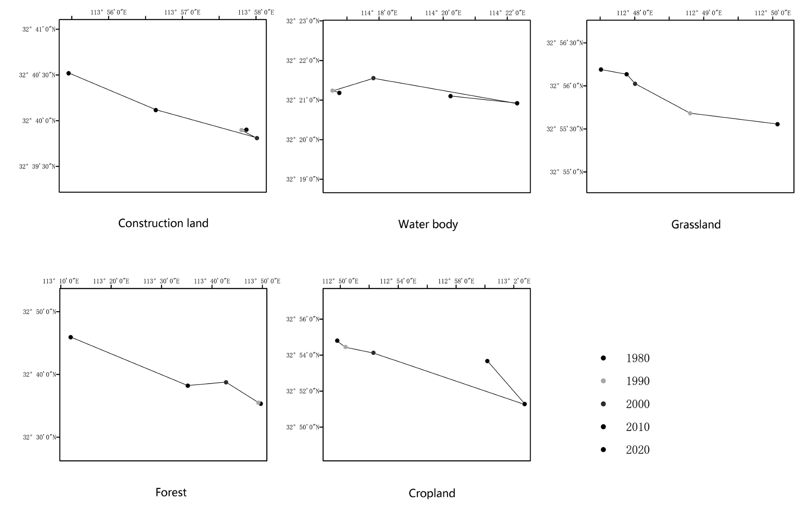
4.3.1. Analysis of Landscape Focus Shift
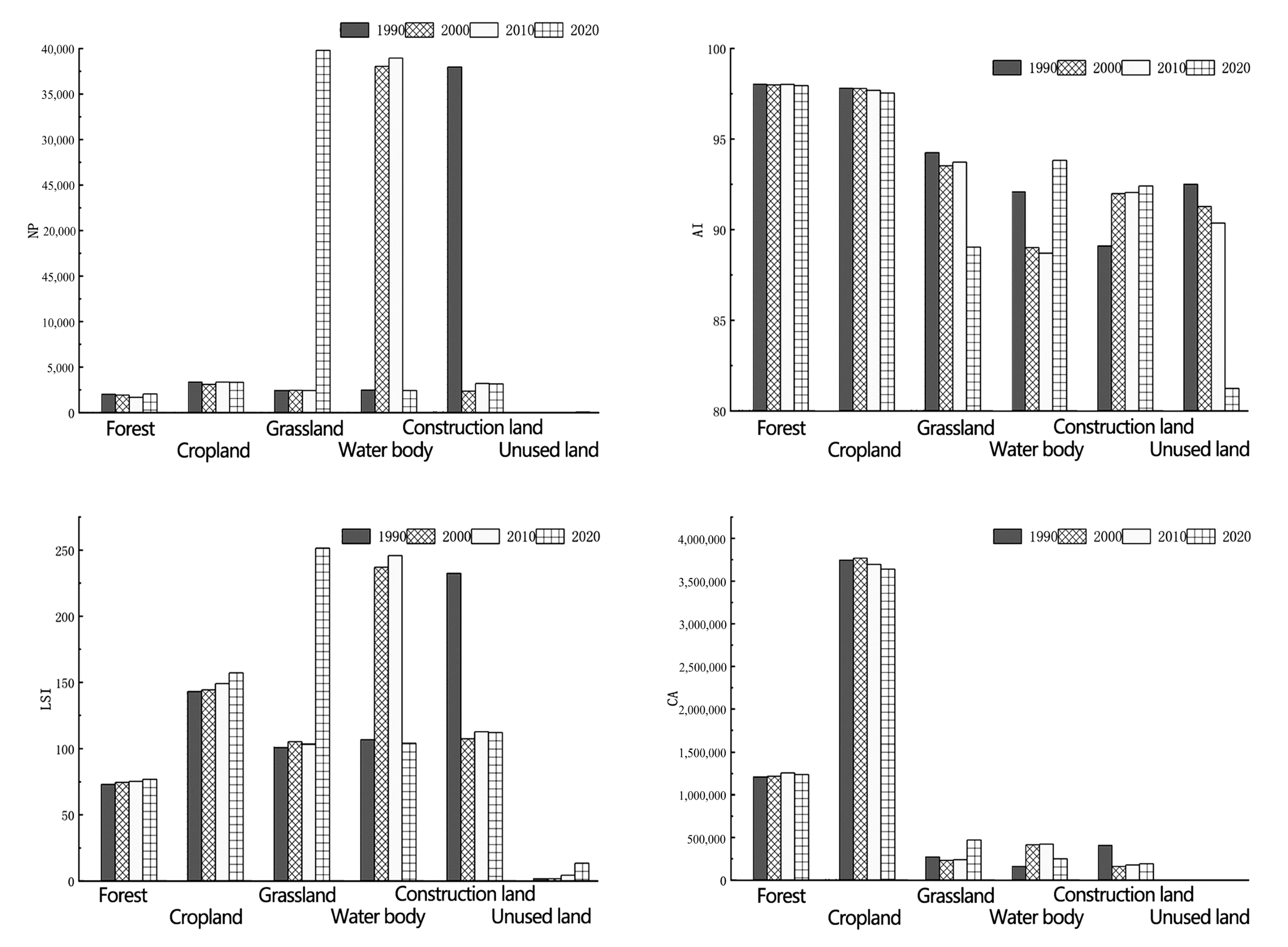
4.3.2. Landscape Pattern Change Characteristics at the Type Level
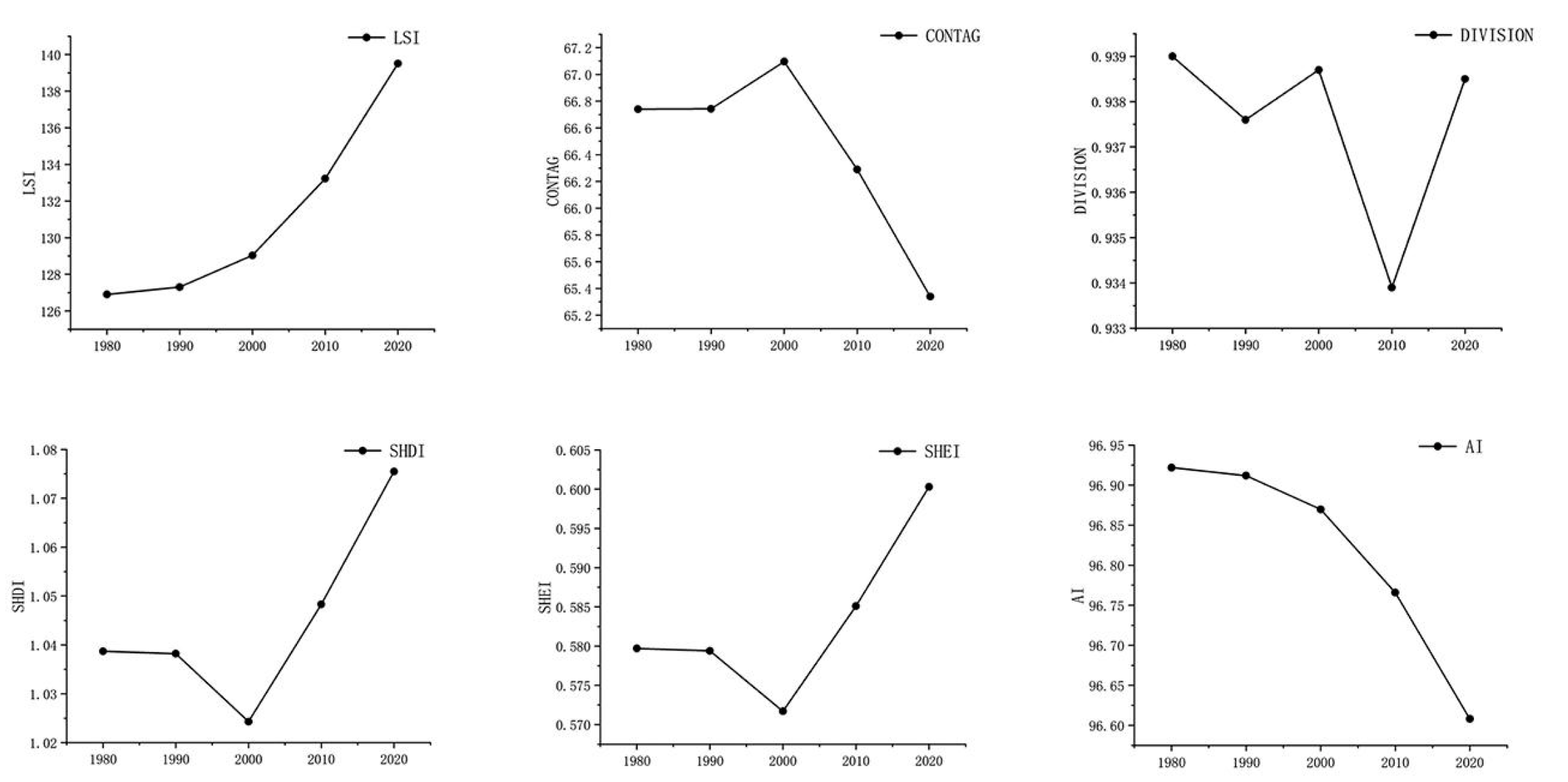
4.3.3. Landscape Pattern Change Characteristics at the Landscape Level
4.4. Analysis of the Drivers of Landscape Pattern Change
4.4.1. Geographical Exploration Results and Analysis
4.4.2. Analysis of Regression Results of Each Driver and Land Use Type
5. Discussion
5.1. Landscape Pattern Changes Caused by Land Use Transition
5.2. Analysis of the Driving Mechanism of the Gradient Evolution of the Landscape Pattern
- (1)
- Natural environmental factors: Natural environmental factors such as temperature and precipitation have a significant impact on crop planting and forest vegetation growth in the rural areas of southern Henan. Unstable natural environmental factors will affect the spatial distribution of farmland landscape types and forest landscape types, and ultimately affect the change in landscape pattern in the region.
- (2)
- Terrain factors: The terrain factors such as elevation and slope also play an important role in determining the distribution of cultivated land and farmland in the rural areas of southern Henan. This is mainly because the slope can directly affect the distribution of natural factors such as water, temperature, and light, thus affecting the flow of material and energy, the intensity and frequency of interference, and the occurrence of natural disasters in the region, thus changing the landscape pattern in the region.
- (3)
- Socio-economic factors: Socio-economic factors such as population density and night light are the main driving factors that affect the distribution of forest land and cultivated land, respectively. The increase in population and the rapid development of urbanization (night lights indicate the degree of urbanization) have promoted the improvement of various infrastructure in the rural areas of southern Henan, resulting in an increase in the demand for construction land, and part of forest land and farmland may be encroached on in large quantities.
- (4)
- The policy of returning farmland to forests and the development of economic forests: In recent years, the South of Henan province has vigorously implemented the policy of returning farmland to forests and, at the same time, it has given active policy support and guidance to the development of economic forests. In particular, the increasing demand for various types of seedlings has led to the rapid growth of the planting scale of economic forests in the south of Henan province, thus promoting the continuous transformation of cultivated land landscape to forest landscape.
- (5)
- Farmers’ livelihood transformation: With the rapid development of urbanization in China, a large number of agricultural labors in rural areas of southern Henan province continue to be exported, resulting in the abandonment of a large number of local arable land and the transformation of land use types such as grassland and forest land, and also resulting in the degradation of rural agricultural ecosystems and the decline of social economy in rural areas.
- (6)
- A rural land use model with win–win ecological and economic benefits: In recent years, most farmers in the rural areas of southern Henan have gradually transformed to have non-agricultural livelihoods, which mainly comes from the rural young and middle-aged labor force going out to work, eventually leading to a significant change in the agricultural production mode. In particular, economic forests such as melon and fruit picking gardens, oil plant plantations, and medicinal plant plantations continue to increase, and a large number of cultivated land is transformed into forest land. While increasing economic benefits, it is also conducive to local water and soil conservation, water conservation, biodiversity conservation, leisure tourism development, and an improvement in the human ecological environment, so as to achieve the goal of win–win ecological and economic benefits.
- (7)
- The comprehensive implementation of the “rural revitalization” strategy: The comprehensive implementation of China’s “rural revitalization” strategy, especially the massive construction of rural infrastructure and the change in agricultural production mode, on the one hand, has increased farmers’ incomes, improved rural living environment, and improved human well-being; on the other hand, it has also triggered the continuous change in land use mode.
5.3. Relevance of Land Use and Landscape Pattern Transformation in the Study Area
6. Conclusions
Author Contributions
Funding
Data Availability Statement
Acknowledgments
Conflicts of Interest
References
- Grainger, A. National land use morphology: Patterns and possibilities. Geography 1995, 80, 235–245. [Google Scholar]
- Richter, H.G. Land use and land transformation. GeoJournal 1984, 8, 67–74. [Google Scholar] [CrossRef]
- Long, H.L. Explanation of land use transitions. China Land Sci. 2022, 36, 1–7. [Google Scholar]
- Wang, G.; Yu, Q.; Liu, X.X.; Yang, L.; Liu, J.H.; Yue, D.P. Temporal and spatial evolution of landscape pattern in Baotou City. Trans. Chin. Soc. Agric. Mach. 2019, 50, 192–199. [Google Scholar]
- Zhang, J.; Fu, M.; Tao, J.; Huang, Y.; Hassani, F.P.; Bai, Z. Response of ecological storage and conservation to land use transformation: A case study of a mining town in China. Ecol. Model. 2010, 221, 1427–1439. [Google Scholar] [CrossRef]
- Long, H.L. Land use transition: A new integrated approach of land use/cover change study. Geogr. Territ. Res. 2003, 19, 87–90. [Google Scholar]
- Long, H.L. Rural housing land transition in China: Theory and verification. Acta Geogr. Sin. 2006, 61, 1093–1100, (in Chinese with English abstract). [Google Scholar]
- Ikumhen, H.O.; Li, T.; Matomela, N. Characterizing the intensity and dynamics change relationship between the land-use and landscape pattern in the Ordos Bojiang Basin. Nat. Environ. Pollut. Technol. 2020, 19, 493–510. [Google Scholar] [CrossRef]
- Zhang, B.L.; Gao, J.B.; Gao, Y.; Cai, W.M.; Zhang, F.R. Land use transition of mountainous rural areas in China. Acta Geogr. Sin. 2018, 73, 503–517. [Google Scholar]
- Hasan, S.S.; Sarmin, N.S.; Miah, M.G. Assessment of scenario-based land use changes in the Chittagong Hill Tracts of Bangladesh. Environ. Dev. 2020, 34, 100463. [Google Scholar] [CrossRef]
- Long, H.L.; Tu, S.S. Land use transition and rural vitalization. China Land Sci. 2018, 32, 1–6. [Google Scholar]
- Luo, H.; Hu, S.G.; Wu, S. Research trends and development trends of land use transformation in China. Nat. Resour. Econ. China 2019, 32, 65–74. [Google Scholar]
- Tariq, A.; Shu, H. CA-Markov chain analysis of seasonal land surface temperature and land use land cover change using optical multi-temporal satellite data of Faisalabad, Pakistan. Remote Sens. 2020, 12, 3402. [Google Scholar] [CrossRef]
- Long, H.L. Land Use Transitions and Rural Restructuring in China; Springer: Singapore, 2020; pp. 3–29. [Google Scholar]
- Wei, J.; Liu, L.L.; Wang, H.Y.; Zhang, Y.X.; Wang, C.L.; Liu, J.T.; Fu, T.G.; Gao, H.; Liang, H.Z.; Liu, Y.C. Spatiotemporal patterns of land-use change in Taihang mountains (1990−2020). Chin. J. Eco-Agric. 2022, in press. [Google Scholar] [CrossRef]
- Liu, J.; Kuang, W.; Zhang, Z.; Xu, X.; Qin, Y.; Ning, J.; Zhou, W.; Zhang, S.; Li, R.; Yan, C.; et al. Spatiotemporal characteristics, patterns and causes of land use changes in China since the late 1980s. Acta Geogr. Sin. 2014, 69, 3–14. [Google Scholar] [CrossRef]
- Sun, Z.; Li, X.; Fu, W.; Li, Y.; Tang, D. Long-term effects of land use/land cover change on surface runoff in urban areas of Beijing, China. J. Appl. Remote Sens. 2014, 8, 1354–1365. [Google Scholar] [CrossRef]
- Zhu, Y.N.; Pu, C.L. Analysis on landscape pattern change and ecological security of land use in Urumqi. Ecol. Sci. 2020, 39, 133–144. [Google Scholar]
- Wu, J.G. Landscape Ecology, 2nd ed.; Higher Education Press: Beijing, China, 2007. [Google Scholar]
- Zhang, Q.J.; Fu, B.J.; Chen, L.D. Several problems about landscape pattern change research. Sci. Geogr. Sin. 2003, 23, 264–270. [Google Scholar]
- Zhang, Y.B.; Wang, Y.; Chen, J.Y.; Sun, R.X. Study on the evolution of landscape pattern and driving forces in Dabie Mountain area under the influence of land use transformation. J. Huazhong Agric. Univ. 2022, 41, 1–13. [Google Scholar]
- Rindfuss, R.R.; Walsh, S.J.; Turner, B.L.; Fox, J.; Mishra, V. Developing a science of land change: Challenges and methodological issues. Proc. Natl. Acad. Sci. USA 2004, 101, 13976–13981. [Google Scholar] [CrossRef]
- Walker, R.; Solecki, W. Theorizing land-cover and land-use change: The case of the Florida Everglades and its degradation. Ann. Assoc. Am. Geogr. 2004, 94, 311–328. [Google Scholar] [CrossRef]
- Meyfroidt, P.; Chowdhury, R.R.; de Bremond, A.; Ellis, E.C.; Erb, K.H.; Filatova, T.; Garrett, R.D.; Grove, J.M.; Heinimann, A.; Kuemmerle, T.; et al. Middle-range theories of land system change. Glob. Environ. Chang. 2018, 53, 52–67. [Google Scholar] [CrossRef]
- Chowdhury, R.R.; Munroe, D.K.; De Bremond, A. Editorial overview: Seeking solutions to land challenges of the Anthropocene: A land systems science perspective. Curr. Opin. Environ. Sustain. 2019, 38, A1–A5. [Google Scholar] [CrossRef]
- Long, H.L.; Chen, K.Q. Urban-rural integrated development and land use transitions: A perspective of land system science. Acta Geogr. Sin. 2021, 76, 295–309. [Google Scholar]
- Liu, J.L.; Liu, Y.S.; Li, Y.R. Classification evaluation and spatial-temporal analysis of “production-living-ecological” spaces in China. Acta Geogr. Sin. 2017, 72, 1290–1304. [Google Scholar]
- Yang, Q.K.; Duan, X.J.; Wang, L.; Jin, Z.F. Land use transformation based on ecological-production-living spaces and associated eco-environment effects: A case study in the Yangtze River Delta. Sci. Geogr. Sin. 2018, 38, 97–106. [Google Scholar]
- Zhu, H.Y.; Li, X.B. Discussion on the index method of regional land use change. Acta Geogr. Sin. 2003, 58, 643–650. [Google Scholar]
- Cheng, S.Y. Study on Landscape Dynamics Variation in Shule River Basin. Master’s Thesis, Northwest University, Xi’an, China, 2004. [Google Scholar]
- Wang, J.F.; Li, X.H.; Christakos, G.; Liao, Y.L.; Zhang, T.; Gu, X.; Zheng, X.Y. Geographical detectors-based health risk assessment and its application in the neural tube defects study of the Heshun region, China. Int. J. Geogr. Inf. Sci. 2010, 24, 107–127. [Google Scholar] [CrossRef]
- Wu, J.S.; Yi, T.Y.; Wang, H. Comparative analysis spatial and temporal variation and trend of landscape pattern evolution in Shenzhen and Hong Kong from 2000 to 2030. Acta Ecol. Sin. 2021, 41, 8718–8731. [Google Scholar]
- Zhang, J.; Xu, X.; Sui, Y.H. Study on the evolution of land use landscape pattern in coastal zone driven by marine economy—Simulation prediction based on CA-Markov model. Econ. Issues 2020, 3, 100–104+129. [Google Scholar]
- Yang, B.; Wang, Z.; Yao, X.; Zhang, L. Terrain gradient effect and spatial structure characteristics of land use in mountain areas of Northwestern Hubei province. Resour. Environ. Yangtze Basin 2019, 28, 313–321. [Google Scholar]
- Pan, J.; Su, Y.; Huang, Y. Land use and landscape pattern change and its driving force in Yumen city in the past 30 years. Geogr. Res. 2012, 31, 1631–1639. [Google Scholar]
- Zomeni, M.; Tzanopoulos, J.; Pantis, J.D. Historical analysis of landscape change using remote sensing techniques: An explanatory tool for agricultural transformation in Greek rural areas. Landsc. Urban Plan. 2008, 86, 38–46. [Google Scholar] [CrossRef]
- Marc, M.F. Satellite images show China going green. Nature 2018, 553, 411–413. [Google Scholar]
- Long, H.L.; Li, X.B. Analysis on regional land use transition: A case study in transect of the Yangtze River. J. Nat. Resour. 2002, 17, 144–149. [Google Scholar]
- You, H.Y. Agricultural landscape dynamics in response to economic transition: Comparisons between different spatial planning zones in Ningbo region, China. Land Use Policy 2017, 61, 316–328. [Google Scholar] [CrossRef]
- Queiroz, C.; Beilin, R.; Folke, C.; Lindborg, R. Farmland abandonment: Threat or opportunity for biodiversity conservation? A global review. Ecol. Environ. 2014, 12, 288–296. [Google Scholar] [CrossRef]
- Claessens, L.; Schoorl, J.M.; Verburg, P.H.; Geraedts, L.; Veldkamp, A. Modelling interactions and feedback mechanisms between land use change and landscape processes. Agric. Ecosyst. Environ. 2009, 129, 157–170. [Google Scholar] [CrossRef]
- Liang, X.; Li, Y.; Shao, J.A.; Ran, C. Traditional agroecosystem transition in mountainous area of Three Gorges Reservoir Area. Acta Geogr. Sin. 2019, 74, 1605–1621. [Google Scholar] [CrossRef]
- Liang, X.Y.; Li, Y.B. Spatio-temporal features of scaling farmland and its corresponding driving mechanism in Three Gorges Reservoir Area. Acta Geogr. Sin. 2019, 29, 563–580. [Google Scholar]
- Guo, Y.; Tang, X.L.; Chen, K.L.; Li, Z.; Lin, S. Characteristics and influencing factors of spatial restructuring of rural settlements in Wuhan city. Econ. Geogr. 2018, 38, 180–189. [Google Scholar]
- Li, Y.R.; Li, Y.; Fan, P.C.; Liu, Y.S. Impacts of land consolidation on rural human-environment system in typical water bodyshed of Loess Hilly and Gully Region. Trans. CSAE 2019, 35, 241–250. [Google Scholar]














| Data Type | Data/Factors | Year | Resolution | Source |
|---|---|---|---|---|
| Remote sensing image data | Landsat MSS | 1980 | 70 m | https://earthexplorer.usgs.gov (accessed on 18 June 2022) |
| Landsat ETM + | 1990, 2000 | 30 m | https://earthexplorer.usgs.gov (accessed on 12 June 2022) | |
| Landsat ETM | 2010 | 30 m | https://earthexplorer.usgs.gov (accessed on 12 June 2022) | |
| Landsat OLI-TIRS | 2020 | 30 m | https://earthexplorer.usgs.gov (accessed on 12 June 2022) | |
| Socio-economic factors | Population density (X1) | 2019 | 1 km | http://www.resdc.cn (accessed on 18 June 2022) |
| GDP (X2) | 2019 | 1 km | http://www.resdc.cn (accessed on 18 June 2022) | |
| Night lighting (X3) | 2020 | 500 m | http://www.noaa.gov/ (accessed on 16 June 2022) | |
| Topographical factors | Elevation (X4) | - | 30 m | http://www.gscloud.cn (accessed on 12 August 2022) |
| Slope (X5) | - | 30 m | Calculated from DEM (accessed on 12 August 2022) | |
| Climate factors | Average annual temperature (X6) | - | 1 km | http://www.resdc.cn (accessed on 17 August 2022) |
| Average annual precipitation (X7) | - | 1 km | http://www.resdc.cn (accessed on 17 August 2022) | |
| Location factors | Distance from major railroads (X8) | 2015 | - | https://www.webmap.cn/(accessed on 21 August 2022) |
| Distance from major roads (X9) | 2015 | - | https://www.webmap.cn/ (accessed on 21 August 2022) | |
| Distance to third-order stream and above (X10) | 2015 | - | https://www.webmap.cn/ (accessed on 21 August 2022) |
| Serial Number | Land Use Type | Meaning |
|---|---|---|
| 1 | Cropland | Refers to the land used for crop cultivation, including mature cultivated land, newly opened wasteland, recreational agricultural land, rotation land, grass field rotation crop land, fruit forest, and economic forest, as well as beach and seashore cultivated for more than three years. |
| 2 | Forest | Refers to forest land for growing trees and shrubs. |
| 3 | Grassland | Refers to all kinds of grassland dominated by growing herbs and coverage above 5%, including shrub grassland and sparse forest grassland in pastoral areas with canopy density below 10%. |
| 4 | Water body | Refers to natural land waters, including water conservancy facilities. |
| 5 | Construction land | Refers to industrial, mining, and transportation land in rural areas, but does not include residential areas. |
| 6 | Unused land | Refers to the types of land that are difficult to use or have not yet been developed in rural areas. |
| Space Types | Land Use Types | Functional Interpretation |
|---|---|---|
| Production space | Cropland, grassland | Used in production and business activities, producing economic benefits |
| Living space | Construction land | Used for daily communication activities, providing life services |
| Ecological space | Forest, water body, unused land | Space for species to survive and multiply, providing natural resources |
| Land Use Type | 1980 | 1990 | 2000 | 2010 | 2020 | |||||
|---|---|---|---|---|---|---|---|---|---|---|
| Area | Proportion | Area | Proportion | Area | Proportion | Area | Proportion | Area | Proportion | |
| km² | % | km² | % | km² | % | km² | % | km² | % | |
| Cropland | 37,462.56 | 64.65 | 37,468.08 | 64.66 | 37,700.80 | 65.06 | 36,962.07 | 63.79 | 36,410.15 | 62.83 |
| Forest | 12,101.55 | 20.88 | 12,094.37 | 20.87 | 12,166.53 | 21 | 12,574.97 | 21.7 | 12,393.78 | 21.39 |
| Grassland | 2705.27 | 4.67 | 2720.71 | 4.7 | 2329.9 | 4.02 | 2395.71 | 4.13 | 2501.69 | 4.31 |
| Water body | 1637.67 | 2.83 | 1604.64 | 2.77 | 1587.38 | 2.74 | 1778.76 | 3.07 | 1928.87 | 3.33 |
| Construction land | 4041.67 | 6.97 | 4060.87 | 7 | 4162.1 | 7.18 | 4232.05 | 7.3 | 4712.59 | 8.13 |
| Unused land | 0.1 | 0 | 0.1 | 0 | 0.1 | 0 | 1.13 | 0 | 4.11 | 0.01 |
| Land Use Type | 1980–1990 | 1990–2000 | 2000–2010 | 2010–2020 |
|---|---|---|---|---|
| Cropland | 0.00% | 0.06% | −0.20% | −0.15% |
| Forest | −0.01% | 0.06% | 0.34% | −0.14% |
| Grassland | 0.06% | −1.44% | 0.28% | 0.44% |
| Water body | −0.20% | −0.11% | 1.21% | 0.84% |
| Construction land | 0.05% | 0.25% | 0.17% | 1.14% |
| Unused land | 0.00% | −0.27% | 106.20% | 26.36% |
| 2020 | |||||||
|---|---|---|---|---|---|---|---|
| Cropland | Construction Land | Forest | Water Body | Unused Land | Total | ||
| 1980 | Grassland | 206.11 | 45.12 | 279.53 | 20.97 | 0.00 | 2705.27 |
| Cropland | 34,823.14 | 1458.91 | 735.21 | 315.52 | 0.30 | 37,462.55 | |
| Construction land | 872.47 | 3154.44 | 7.47 | 6.03 | 0.00 | 4041.67 | |
| Forest | 442.76 | 48.81 | 11,358.68 | 45.56 | 3.71 | 12,101.55 | |
| Water body | 64.62 | 5.26 | 11.90 | 1540.59 | 0.00 | 1637.67 | |
| Unused land | 0.00 | 0.00 | 0.00 | 0.00 | 0.10 | 0.10 | |
| Total | 36,409.11 | 4712.54 | 12,392.78 | 1928.68 | 4.11 | 57,948.80 | |
| Cropland | Forest | Grassland | Water Body | Construction Land | ||
|---|---|---|---|---|---|---|
| 1980–1990 | Migration direction | South to East | North to West | North to West | North to West | South to West |
| Migration distance (km) | 1.1 | 0.81 | 1.96 | 0.35 | 0.1 | |
| 1990–2000 | Migration direction | South to East | North to West | North to West | North to East | South to East |
| Migration distance (km) | 3.03 | 11.6 | 1.39 | 2.08 | 0.36 | |
| 2000–2010 | Migration direction | South to East | South to West | North to West | South to East | North to West |
| Migration distance (km) | 16.97 | 11.76 | 0.28 | 7.06 | 2.2 | |
| 2010–2020 | Migration direction | North to West | North to West | North to West | North to West | North to West |
| Migration distance (km) | 6.02 | 38.62 | 0.58 | 3.25 | 1.98 |
| Years | Landscape Shape Index (LSI) | Contagion Index (CONTAG) | Landscape Division (DIVISION) | Shannon Diversity Index (SHDI) | Shannon Evenness Index (SHEI) | Aggregation Index (AI) |
|---|---|---|---|---|---|---|
| 1980 | 126.9028 | 66.7403 | 0.939 | 1.0387 | 0.5797 | 96.9219 |
| 1990 | 127.3063 | 66.7426 | 0.9376 | 1.0382 | 0.5794 | 96.9118 |
| 2000 | 129.0336 | 67.0957 | 0.9387 | 1.0243 | 0.5717 | 96.8697 |
| 2010 | 133.2275 | 66.2891 | 0.9339 | 1.0483 | 0.5851 | 96.7658 |
| 2020 | 139.5073 | 65.3389 | 0.9385 | 1.0755 | 0.6003 | 96.6081 |
| Factor Type | Driving Factor | q (Explanatory Power) | p (Significance) |
|---|---|---|---|
| Socio-economic factors | Population density (X1) | 0.086 | 0.000 |
| GDP (X2) | 0.084 | 0.000 | |
| Night lighting (X3) | 0.011 | 0.045 | |
| Topographical factors | Elevation (X4) | 0.112 | 0.000 |
| Slope (X5) | 0.135 | 0.000 | |
| Climate factors | Average annual temperature (X6) | 0.088 | 0.000 |
| Average annual precipitation (X7) | 0.063 | 0.000 | |
| Location factors | Distance from major railroads (X8) | 0.026 | 0.000 |
| Distance from major roads (X9) | 0.032 | 0.000 | |
| Distance to third-order stream and above (X10) | 0.004 | 0.453 |
| Driving Factor | q | Interaction |
|---|---|---|
| X1∩X2 | 0.133 | Two-factor enhancement |
| X1∩X4 | 0.153 | Two-factor enhancement |
| X1∩X5 | 0.172 | Two-factor enhancement |
| X1∩X6 | 0.134 | Two-factor enhancement |
| X1∩X7 | 0.138 | Two-factor enhancement |
| X2∩X4 | 0.139 | Two-factor enhancement |
| X2∩X5 | 0.160 | Two-factor enhancement |
| X2∩X6 | 0.125 | Two-factor enhancement |
| X2∩X7 | 0.126 | Two-factor enhancement |
| X4∩X5 | 0.153 | Two-factor enhancement |
| X4∩X6 | 0.121 | Two-factor enhancement |
| X4∩X7 | 0.151 | Two-factor enhancement |
| X5∩X6 | 0.153 | Two-factor enhancement |
| X5∩X7 | 0.159 | Two-factor enhancement |
| X6∩X7 | 0.129 | Two-factor enhancement |
| Type of Land Use | Independent Variable | Regression Coefficient (β) | Standard Error (SE) | Statistics (Wald) | Significance (sig) | Incidence Rate (Exp) |
|---|---|---|---|---|---|---|
| Cropland | Night lighting (X3) | 0.361 | 0.083 | 18.668 | 0.000 | 1.434 |
| Elevation (X4) | 0.012 | 0.002 | 22.750 | 0.000 | 1.012 | |
| Average annual temperature (X6) | 1.057 | 0.452 | 5.460 | 0.019 | 2.878 | |
| Average annual precipitation (X7) | 0.002 | 0.001 | 6.998 | 0.008 | 1.002 | |
| Constants | −24.553 | 7.622 | 10.377 | 0.001 | 0.000 | |
| Forest | Population density (X1) | −96.497 | 49.041 | 3.872 | 0.049 | 0.000 |
| Slope (X5) | 0.112 | 0.055 | 4.213 | 0.040 | 1.119 | |
| Average annual precipitation (X7) | 0.004 | 0.002 | 3.927 | 0.048 | 1.004 | |
| Constants | 21.061 | 16.759 | 1.579 | 0.209 | 1.401 |
Disclaimer/Publisher’s Note: The statements, opinions and data contained in all publications are solely those of the individual author(s) and contributor(s) and not of MDPI and/or the editor(s). MDPI and/or the editor(s) disclaim responsibility for any injury to people or property resulting from any ideas, methods, instructions or products referred to in the content. |
© 2023 by the authors. Licensee MDPI, Basel, Switzerland. This article is an open access article distributed under the terms and conditions of the Creative Commons Attribution (CC BY) license (https://creativecommons.org/licenses/by/4.0/).
Share and Cite
Gong, Y.; You, G.; Chen, T.; Wang, L.; Hu, Y. Rural Landscape Change: The Driving Forces of Land Use Transformation from 1980 to 2020 in Southern Henan, China. Sustainability 2023, 15, 2565. https://doi.org/10.3390/su15032565
Gong Y, You G, Chen T, Wang L, Hu Y. Rural Landscape Change: The Driving Forces of Land Use Transformation from 1980 to 2020 in Southern Henan, China. Sustainability. 2023; 15(3):2565. https://doi.org/10.3390/su15032565
Chicago/Turabian StyleGong, Yue, Guixuan You, Tianyi Chen, Ling Wang, and Yuandong Hu. 2023. "Rural Landscape Change: The Driving Forces of Land Use Transformation from 1980 to 2020 in Southern Henan, China" Sustainability 15, no. 3: 2565. https://doi.org/10.3390/su15032565
APA StyleGong, Y., You, G., Chen, T., Wang, L., & Hu, Y. (2023). Rural Landscape Change: The Driving Forces of Land Use Transformation from 1980 to 2020 in Southern Henan, China. Sustainability, 15(3), 2565. https://doi.org/10.3390/su15032565

