Bibliometric Analysis and Comprehensive Review of Stormwater Treatment Wetlands: Global Research Trends and Existing Knowledge Gaps
Abstract
1. Introduction
2. Materials and Methods
2.1. Data Collection and Bibliometric Analysis
2.2. Data Visualization and Science Mapping
2.3. Comprehensive Review
3. Results and Discussion
3.1. Bibliometric Analysis and Science Mapping
3.1.1. Trend of Scientific Productivity and Characteristics of Published Literature
3.1.2. Journal Publications and Related Subject Areas
3.1.3. Frequently Cited Research Works on Constructed Wetlands
3.1.4. Co-Occurrence of Keywords and International Research Collaborations
3.1.5. Shifts in Research Interest and State-Specific Research Trends
3.2. Data Synthesis and Comprehensive Review
3.2.1. Land Use Types and Catchment Area Characteristics
3.2.2. Types and Sizes of Stormwater Treatment Wetlands
3.2.3. Choice of Filter Media and Substrates
3.2.4. Plants in Stormwater Treatment Wetlands
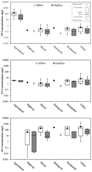
3.2.5. Runoff Water Quality and Treatment Performance of Stormwater Wetlands
3.3. Knowledge Gaps and Future Research Directions
4. Conclusions
Supplementary Materials
Author Contributions
Funding
Institutional Review Board Statement
Informed Consent Statement
Data Availability Statement
Conflicts of Interest
References
- Handayani, W.; Chigbu, U.E.; Rudiarto, I.; Surya Putri, I.H. Urbanization and Increasing Flood Risk in the Northern Coast of Central Java-Indonesia: An Assessment towards Better Land Use Policy and Flood Management. Land 2020, 9, 343. [Google Scholar] [CrossRef]
- Mignot, E.; Li, X.; Dewals, B. Experimental Modelling of Urban Flooding: A Review. J. Hydrol. 2019, 568, 334–342. [Google Scholar] [CrossRef]
- Reinhardt-Imjela, C.; Imjela, R.; Bölscher, J.; Schulte, A. The Impact of Late Medieval Deforestation and 20th Century Forest Decline on Extreme Flood Magnitudes in the Ore Mountains (Southeastern Germany). Quat. Int. 2018, 475, 42–53. [Google Scholar] [CrossRef]
- Ma, Y.; Egodawatta, P.; McGree, J.; Liu, A.; Goonetilleke, A. Human Health Risk Assessment of Heavy Metals in Urban Stormwater. Sci. Total Environ. 2016, 557–558, 764–772. [Google Scholar] [CrossRef] [PubMed]
- Eriksson, E.; Baun, A.; Mikkelsen, P.S.; Ledin, A. Risk Assessment of Xenobiotics in Stormwater Discharged to Harrestrup Å, Denmark. Desalination 2007, 215, 187–197. [Google Scholar] [CrossRef]
- Weston, D.P.; Chen, D.; Lydy, M.J. Stormwater-Related Transport of the Insecticides Bifenthrin, Fipronil, Imidacloprid, and Chlorpyrifos into a Tidal Wetland, San Francisco Bay, California. Sci. Total Environ. 2015, 527–528, 18–25. [Google Scholar] [CrossRef]
- Ma, Y.; Deilami, K.; Egodawatta, P.; Liu, A.; McGree, J.; Goonetilleke, A. Creating a Hierarchy of Hazard Control for Urban Stormwater Management. Environ. Pollut. 2019, 255, 113217. [Google Scholar] [CrossRef]
- Yang, Y.Y.; Toor, G.S. Stormwater Runoff Driven Phosphorus Transport in an Urban Residential Catchment: Implications for Protecting Water Quality in Urban Watersheds. Sci. Rep. 2018, 8, 11681. [Google Scholar] [CrossRef]
- Lee, S.; Suits, M.; Wituszynski, D.; Winston, R.; Martin, J.; Lee, J. Residential Urban Stormwater Runoff: A Comprehensive Profile of Microbiome and Antibiotic Resistance. Sci. Total Environ. 2020, 723, 138033. [Google Scholar] [CrossRef]
- Zgheib, S.; Moilleron, R.; Chebbo, G. Priority Pollutants in Urban Stormwater: Part 1—Case of Separate Storm Sewers. Water Res. 2012, 46, 6683–6692. [Google Scholar] [CrossRef]
- Pramanik, B.K.; Roychand, R.; Monira, S.; Bhuiyan, M.; Jegatheesan, V. Fate of Road-Dust Associated Microplastics and per- and Polyfluorinated Substances in Stormwater. Process Saf. Environ. Prot. 2020, 144, 236–241. [Google Scholar] [CrossRef]
- Choi, H.; Reyes, N.J.D.; Jeon, M.; Kim, L.H. Constructed Wetlands in South Korea: Current Status and Performance Assessment. Sustainability 2021, 13, 10410. [Google Scholar] [CrossRef]
- Stefanakis, A.I. The Role of ConstructedWetlands as Green Infrastructure for Sustainable Urban Water Management. Sustainability 2019, 11, 6981. [Google Scholar] [CrossRef]
- Kabenge, I.; Ouma, G.; Aboagye, D.; Banadda, N. Performance of a Constructed Wetland as an Upstream Intervention for Stormwater Runoff Quality Management. Environ. Sci. Pollut. Res. 2018, 25, 36765–36774. [Google Scholar] [CrossRef] [PubMed]
- Alihan, J.C.; Maniquiz-Redillas, M.; Choi, J.; Flores, P.E.; Kim, L.-H. Characteristics and Fate of Stormwater Runoff Pollutants in Constructed Wetlands. J. Wetl. Res. 2017, 19, 37–44. [Google Scholar] [CrossRef][Green Version]
- Grinberga, L.; Lagzdins, A. Nutrient Removal by Subsurface Flow Constructed Wetland in the Farm Mezaciruli. Res. Rural Dev. 2017, 1, 160–165. [Google Scholar] [CrossRef]
- McMaine, J.T.; Vogel, J.R.; Belden, J.B.; Schnelle, M.A.; Morrison, S.A.; Brown, G.O. Field Studies of Pollutant Removal from Nursery and Greenhouse Runoff by Constructed Wetlands. J. Environ. Qual. 2020, 49, 106–118. [Google Scholar] [CrossRef]
- Ockenden, M.C.; Deasy, C.; Quinton, J.N.; Surridge, B.; Stoate, C. Keeping Agricultural Soil out of Rivers: Evidence of Sediment and Nutrient Accumulation within Field Wetlands in the UK. J. Environ. Manag. 2014, 135, 54–62. [Google Scholar] [CrossRef]
- Headley, T.; Tanner, C. Application of Floating Wetlands for Enhanced Stormwater Treatment: A Review; Auckland Regional Council: Hamilton, New Zealand, 2006; Available online: https://www.researchgate.net/profile/Tom-Headley/publication/266409739_Application_of_Floating_Wetlands_for_Enhanced_Stormwater_Treatment_A_Review/links/561c3d3a08ae044edbb3918c/Application-of-Floating-Wetlands-for-Enhanced-Stormwater-Treatment-A-Review.pdf (accessed on 1 December 2022).
- Sharma, R.; Vymazal, J.; Malaviya, P. Application of Floating Treatment Wetlands for Stormwater Runoff: A Critical Review of the Recent Developments with Emphasis on Heavy Metals and Nutrient Removal. Sci. Total Environ. 2021, 777, 146044. [Google Scholar] [CrossRef]
- Ingrao, C.; Failla, S.; Arcidiacono, C. A Comprehensive Review of Environmental and Operational Issues of Constructed Wetland Systems. Curr. Opin. Environ. Sci. Heal. 2020, 13, 35–45. [Google Scholar] [CrossRef]
- Li, D.; Zheng, B.; Liu, Y.; Chu, Z.; He, Y.; Huang, M. Use of Multiple Water Surface Flow Constructed Wetlands for Non-Point Source Water Pollution Control. Appl. Microbiol. Biotechnol. 2018, 102, 5355–5368. [Google Scholar] [CrossRef] [PubMed]
- Pranckutė, R. Web of Science (Wos) and Scopus: The Titans of Bibliographic Information in Today’s Academic World. Publications 2021, 9, 12. [Google Scholar] [CrossRef]
- Donthu, N.; Kumar, S.; Mukherjee, D.; Pandey, N.; Lim, W.M. How to Conduct a Bibliometric Analysis: An Overview and Guidelines. J. Bus. Res. 2021, 133, 285–296. [Google Scholar] [CrossRef]
- Van Eck, N.J.; Waltman, L. Citation-Based Clustering of Publications Using CitNetExplorer and VOSviewer. Scientometrics 2017, 111, 1053–1070. [Google Scholar] [CrossRef] [PubMed]
- Ubando, A.T.; Africa, A.D.M.; Maniquiz-Redillas, M.C.; Culaba, A.B.; Chen, W.H.; Chang, J.S. Microalgal Biosorption of Heavy Metals: A Comprehensive Bibliometric Review. J. Hazard. Mater. 2021, 402, 123431. [Google Scholar] [CrossRef] [PubMed]
- Brito, R.; Rodríguez-Navarro, A. Evaluating Research and Researchers by the Journal Impact Factor: Is It Better than Coin Flipping? J. Informetr. 2019, 13, 314–324. [Google Scholar] [CrossRef]
- McKiernan, E.C.; Schimanski, L.A.; Nieves, C.M.; Matthias, L.; Niles, M.T.; Alperin, J.P. Use of the Journal Impact Factor in Academic Review, Promotion, and Tenure Evaluations. eLife 2019, 8, e47338. [Google Scholar] [CrossRef]
- Xu, B.; Wang, X.; Liu, J.; Wu, J.; Zhao, Y.; Cao, W. Improving Urban Stormwater Runoff Quality by Nutrient Removal through Floating Treatment Wetlands and Vegetation Harvest. Sci. Rep. 2017, 7, 7000. [Google Scholar] [CrossRef]
- Winston, R.J.; Hunt, W.F.; Kennedy, S.G.; Merriman, L.S.; Chandler, J.; Brown, D. Evaluation of Floating Treatment Wetlands as Retrofits to Existing Stormwater Retention Ponds. Ecol. Eng. 2013, 54, 254–265. [Google Scholar] [CrossRef]
- White, S.A.; Cousins, M.M. Floating Treatment Wetland Aided Remediation of Nitrogen and Phosphorus from Simulated Stormwater Runoff. Ecol. Eng. 2013, 61, 207–215. [Google Scholar] [CrossRef]
- Borne, K.E.; Fassman, E.A.; Tanner, C.C. Floating Treatment Wetland Retrofit to Improve Stormwater Pond Performance for Suspended Solids, Copper and Zinc. Ecol. Eng. 2013, 54, 173–182. [Google Scholar] [CrossRef]
- Payne, E.G.I.; Fletcher, T.D.; Russell, D.G.; Grace, M.R.; Cavagnaro, T.R.; Evrard, V.; Deletic, A.; Hatt, B.E.; Cook, P.L.M. Temporary Storage or Permanent Removal? The Division of Nitrogen between Biotic Assimilation and Denitrification in Stormwater Biofiltration Systems. PLoS ONE 2014, 9, e90890. [Google Scholar] [CrossRef] [PubMed]
- Zhao, Y.; Zhang, C.; Yang, Z.; Yang, Y.; Huang, N.; Arku, J.E.; Mao, G.; Wang, Y. Global Trends and Prospects in the Removal of Pharmaceuticals and Personal Care Products: A Bibliometric Analysis. J. Water Process Eng. 2021, 41, 102004. [Google Scholar] [CrossRef]
- Sharley, D.J.; Sharp, S.M.; Marshall, S.; Jeppe, K.; Pettigrove, V.J. Linking Urban Land Use to Pollutants in Constructed Wetlands: Implications for Stormwater and Urban Planning. Landsc. Urban Plan. 2017, 162, 80–91. [Google Scholar] [CrossRef]
- Ioannidou, V.; Stefanakis, A.I. The Use of Constructed Wetlands to Mitigate Pollution from Agricultural Runoff. In Contaminants in Agriculture: Sources, Impacts and Management; Naeem, M., Ansari, A., Gill, S., Eds.; Springer: Cham, Switzerland, 2020; pp. 233–246. ISBN 9783030415525. [Google Scholar]
- Senduran, C.; Gunes, K.; Topaloglu, D.; Dede, O.H.; Masi, F.; Kucukosmanoglu, O.A. Mitigation and Treatment of Pollutants from Railway and Highway Runoff by Pocket Wetland System; A Case Study. Chemosphere 2018, 204, 335–343. [Google Scholar] [CrossRef]
- Horner, R. Constructed Wetlands for Urban Runoff Water Quality Control. In EPA Seminar Publication; Schultz, H., Ed.; EPA: Cincinnati, OH, USA, 1995; pp. 327–340. [Google Scholar]
- García, J.; Solimeno, A.; Zhang, L.; Marois, D.; Mitsch, W.J. Constructed Wetlands to Solve Agricultural Drainage Pollution in South Florida: Development of an Advanced Simulation Tool for Design Optimization. J. Clean. Prod. 2020, 258, 120868. [Google Scholar] [CrossRef]
- Zhao, H.; Piccone, T. Large Scale Constructed Wetlands for Phosphorus Removal, an Effective Nonpoint Source Pollution Treatment Technology. Ecol. Eng. 2020, 145, 105711. [Google Scholar] [CrossRef]
- Zamorano, M.; Piccone, T.; Colon, S. Baseline Soil Characterization for Compartment B in Stormwater Treatment Area 2 and Compartment C in Stormwater Treatment Area 5/6; South Florida Water Management District: West Palm Beach,FL, USA, 2019. [Google Scholar]
- Gorgoglione, A.; Torretta, V. Sustainable Management and Successful Application of Constructed Wetlands: A Critical Review. Sustainability 2018, 10, 3910. [Google Scholar] [CrossRef]
- Molle, P.; Lombard Latune, R.; Riegel, C.; Lacombe, G.; Esser, D.; Mangeot, L. French Vertical-Flow Constructed Wetland Design: Adaptations for Tropical Climates. Water Sci. Technol. 2015, 71, 1516–1523. [Google Scholar] [CrossRef]
- Kadlec, R.H. Comparison of Free Water and Horizontal Subsurface Treatment Wetlands. Ecol. Eng. 2009, 35, 159–174. [Google Scholar] [CrossRef]
- Toudignant, E.; Frankhauser, O.; Hurd, S. Guidance Manual for the Design, Construction and Operations of Constructed Wetlands for Rural Applications in Ontario; Agricultural Adaptation Council: Guelph, ON, Canada, 1999; Available online: https://atrium.lib.uoguelph.ca/xmlui/bitstream/handle/10214/15203/FDMR_wetlands_manual.pdf?sequence=1&isAllowed=y (accessed on 1 December 2022).
- Wadzuk, B.M.; Rea, M.; Woodruff, G.; Flynn, K.; Traver, R.G. Water-Quality Performance of a Constructed Stormwater Wetland for All Flow Conditions. J. Am. Water Resour. Assoc. 2010, 46, 385–394. [Google Scholar] [CrossRef]
- Conn, R.M.; Fiedler, F.R. Increasing Hydraulic Residence Time in Constructed Stormwater Treatment Wetlands with Designed Bottom Topography. Water Environ. Res. 2006, 78, 2514–2523. [Google Scholar] [CrossRef] [PubMed]
- Tirpak, R.A.; Tondera, K.; Tharp, R.; Borne, K.E.; Schwammberger, P.; Ruppelt, J.; Winston, R.J. Optimizing Floating Treatment Wetland and Retention Pond Design through Random Forest: A Meta-Analysis of Influential Variables. J. Environ. Manag. 2022, 312, 114909. [Google Scholar] [CrossRef]
- Hong, J.S.; Kim, L.-H. Assessment of Performances of Low Impact Development (LID) Facilities with Vegetation. Ecol. Resilient Infrastruct. 2016, 3, 100–109. [Google Scholar] [CrossRef][Green Version]
- Choi, J.; Maniquiz-Redillas, M.C.; Hong, J.; Kim, L.H. Selection of Cost-Effective Green Stormwater Infrastructure (GSI) Applicable in Highly Impervious Urban Catchments. KSCE J. Civ. Eng. 2018, 22, 24–30. [Google Scholar] [CrossRef]
- Segismundo, E.Q.; Kim, L.H.; Jeong, S.M.; Lee, B.S. A Laboratory Study on the Filtration and Clogging of the Sand-Bottom Ash Mixture for Stormwater Infiltration Filter Media. Water 2017, 9, 32. [Google Scholar] [CrossRef]
- Siriwardene, N.R.; Deletic, A.; Fletcher, T.D. Modeling of Sediment Transport through Stormwater Gravel Filters over Their Lifespan. Environ. Sci. Technol. 2007, 41, 8099–8103. [Google Scholar] [CrossRef]
- Schwammberger, P.; Walker, C.; Lucke, T. Using Floating Wetland Treatment Systems to Reduce Stormwater Pollution from Urban Developments. Int. J. GEOMATE 2017, 12, 45–50. [Google Scholar] [CrossRef]
- Adyel, T.M.; Oldham, C.E.; Hipsey, M.R. Stormwater Nutrient Attenuation in a Constructed Wetland with Alternating Surface and Subsurface Flow Pathways: Event to Annual Dynamics. Water Res. 2016, 107, 66–82. [Google Scholar] [CrossRef]
- Han, J.; Tao, W. Treatment Performance and Copper Removal Mechanisms of a Vegetated Submerged Bed Receiving Leachate from ACQ-Treated Lumber. Ecol. Eng. 2014, 70, 162–168. [Google Scholar] [CrossRef]
- Niu, S.; Wang, X.; Yu, J.; Kim, Y. Pollution Reduction by Recirculated Fill-and-Drain Mesocosm Wetlands Packed with Woodchip/Pumice Treating Impervious Road Stormwater. Environ. Technol. 2020, 41, 1627–1636. [Google Scholar] [CrossRef] [PubMed]
- Zhang, X.; Wang, T.; Xu, Z.; Zhang, L.; Dai, Y.; Tang, X.; Tao, R.; Li, R.; Yang, Y.; Tai, Y. Effect of Heavy Metals in Mixed Domestic-Industrial Wastewater on Performance of Recirculating Standing Hybrid Constructed Wetlands (RSHCWs) and Their Removal. Chem. Eng. J. 2020, 379, 122363. [Google Scholar] [CrossRef]
- Kurniawan, S.B.; Ahmad, A.; Said, N.S.M.; Imron, M.F.; Abdullah, S.R.S.; Othman, A.R.; Purwanti, I.F.; Hasan, H.A. Macrophytes as Wastewater Treatment Agents: Nutrient Uptake and Potential of Produced Biomass Utilization toward Circular Economy Initiatives. Sci. Total Environ. 2021, 790, 148219. [Google Scholar] [CrossRef]
- Yan, X.; An, J.; Yin, Y.; Gao, C.; Wang, B.; Wei, S. Heavy Metals Uptake and Translocation of Typical Wetland Plants and Their Ecological Effects on the Coastal Soil of a Contaminated Bay in Northeast China. Sci. Total Environ. 2022, 803, 149871. [Google Scholar] [CrossRef]
- Lolu, A.J.; Ahluwalia, A.S.; Sidhu, M.C.; Reshi, Z.A. Carbon Sequestration Potential of Macrophytes and Seasonal Carbon Input Assessment into the Hokersar Wetland, Kashmir. Wetlands 2019, 39, 453–472. [Google Scholar] [CrossRef]
- Sesin, V.; Davy, C.M.; Freeland, J.R. Review of Typha Spp. (Cattails) as Toxicity Test Species for the Risk Assessment of Environmental Contaminants on Emergent Macrophytes. Environ. Pollut. 2021, 284, 117105. [Google Scholar] [CrossRef] [PubMed]
- Chandra, R.; Yadav, S. Phytoremediation of Cd, Cr, Cu, Mn, Fe, Ni, Pb and Zn from Aqueous Solution Using Phragmites Cummunis, Typha Angustifolia and Cyperus Esculentus. Int. J. Phytoremediat. 2011, 13, 580–591. [Google Scholar] [CrossRef] [PubMed]
- Nabuyanda, M.M.; Kelderman, P.; van Bruggen, J.; Irvine, K. Distribution of the Heavy Metals Co, Cu, and Pb in Sediments and Typha Spp. And Phragmites Mauritianus in Three Zambian Wetlands. J. Environ. Manag. 2022, 304, 114133. [Google Scholar] [CrossRef]
- Müller, J.; Jantzen, C.; Wiedow, D. The Energy Potential of Soft Rush (Juncus Effusus L.) in Different Conversion Routes. Energy. Sustain. Soc. 2020, 10, 26. [Google Scholar] [CrossRef]
- Syranidou, E.; Christofilopoulos, S.; Kalogerakis, N. Juncus Spp.—The Helophyte for All (Phyto)Remediation Purposes? N. Biotechnol. 2017, 38, 43–55. [Google Scholar] [CrossRef]
- Kao, J.T.; Titus, J.E.; Zhu, W.X. Differential Nitrogen and Phosphorus Retention by Five Wetland Plant Species. Wetlands 2003, 23, 979–987. [Google Scholar] [CrossRef]
- Pappalardo, S.E.; Ibrahim, H.M.S.; Cerinato, S.; Borin, M. Assessing the Water-Purification Service in an Integrated Agricultural Wetland within the Venetian Lagoon Drainage System. Mar. Freshw. Res. 2017, 68, 2205–2215. [Google Scholar] [CrossRef][Green Version]
- Al-Homaidan, A.A.; Al-Otaibi, T.G.; El-Sheikh, M.A.; Al-Ghanayem, A.A.; Ameen, F. Accumulation of Heavy Metals in a Macrophyte Phragmites Australis: Implications to Phytoremediation in the Arabian Peninsula Wadis. Environ. Monit. Assess. 2020, 192, 202. [Google Scholar] [CrossRef] [PubMed]
- Bonanno, G. Comparative Performance of Trace Element Bioaccumulation and Biomonitoring in the Plant Species Typha Domingensis, Phragmites Australis and Arundo Donax. Ecotoxicol. Environ. Saf. 2013, 97, 124–130. [Google Scholar] [CrossRef] [PubMed]
- Rai, P.K. Heavy Metal Pollution in Aquatic Ecosystems and Its Phytoremediation Using Wetland Plants: An Ecosustainable Approach. Int. J. Phytoremediat. 2008, 10, 133–160. [Google Scholar] [CrossRef]
- Uddin, M.N.; Robinson, R.W. Allelopathy and Resource Competition: The Efects of Phragmites Australis Invasion in Plant Communities. Bot. Stud. 2017, 58, 29. [Google Scholar] [CrossRef] [PubMed]
- López, D.; Sepúlveda, M.; Vidal, G. Phragmites Australis and Schoenoplectus Californicus in Constructed Wetlands: Development and Nutrient Uptake. J. Soil Sci. Plant Nutr. 2016, 16, 763–777. [Google Scholar] [CrossRef]
- Tanner, C.C. Plants for Constructed Wetland Treatment Systems—A Comparison of the Growth and Nutrient Uptake of Eight Emergent Species. Ecol. Eng. 1996, 7, 59–83. [Google Scholar] [CrossRef]
- Li, Y.C.; Zhang, D.Q.; Wang, M. Performance Evaluation of a Full-Scale Constructed Wetland for Treating Stormwater Runoff. Clean Soil Air Water 2017, 45, 1600740. [Google Scholar] [CrossRef]
- Maniquiz-Redillas, M.; Robles, M.E.; Cruz, G.; Reyes, N.J.; Kim, L.-H. First Flush Stormwater Runoff in Urban Catchments: A Bibliometric and Comprehensive Review. Sustainability 2022, 9, 63. [Google Scholar] [CrossRef]
- Zhao, H.; Jiang, Q.; Ma, Y.; Xie, W.; Li, X.; Yin, C. Influence of Urban Surface Roughness on Build-up and Wash-off Dynamics of Road-Deposited Sediment. Environ. Pollut. 2018, 243, 1226–1234. [Google Scholar] [CrossRef] [PubMed]
- Ziajahromi, S.; Drapper, D.; Hornbuckle, A.; Rintoul, L.; Leusch, F.D.L. Microplastic Pollution in a Stormwater Floating Treatment Wetland: Detection of Tyre Particles in Sediment. Sci. Total Environ. 2020, 713, 136356. [Google Scholar] [CrossRef] [PubMed]
- Walaszek, M.; Bois, P.; Laurent, J.; Lenormand, E.; Wanko, A. Micropollutants Removal and Storage Efficiencies in Urban Stormwater Constructed Wetland. Sci. Total Environ. 2018, 645, 854–864. [Google Scholar] [CrossRef] [PubMed]
- Page, D.; Miotliński, K.; Gonzalez, D.; Barry, K.; Dillon, P.; Gallen, C. Environmental Monitoring of Selected Pesticides and Organic Chemicals in Urban Stormwater Recycling Systems Using Passive Sampling Techniques. J. Contam. Hydrol. 2014, 158, 65–77. [Google Scholar] [CrossRef] [PubMed]
- Reid, K.; Schneider, K.; McConkey, B. Components of Phosphorus Loss from Agricultural Landscapes, and How to Incorporate Them into Risk Assessment Tools. Front. Earth Sci. 2018, 6, 135. [Google Scholar] [CrossRef]
- Behrouz, M.S.; Yazdi, M.N.; Sample, D.J.; Scott, D.; Owen, J.S. What Are the Relevant Sources and Factors Affecting Event Mean Concentrations (EMCs) of Nutrients and Sediment in Stormwater? Sci. Total Environ. 2022, 828, 154368. [Google Scholar] [CrossRef]
- Baum, P.; Kuch, B.; Dittmer, U. Adsorption of Metals to Particles in Urban Stormwater Runoff—Does Size Really Matter? Water 2021, 13, 309. [Google Scholar] [CrossRef]
- Smith, J.S.; Winston, R.J.; Tirpak, R.A.; Wituszynski, D.M.; Boening, K.M.; Martin, J.F. The Seasonality of Nutrients and Sediment in Residential Stormwater Runoff: Implications for Nutrient-Sensitive Waters. J. Environ. Manag. 2020, 276, 111248. [Google Scholar] [CrossRef]
- Kong, Z.; Shao, Z.; Shen, Y.; Zhang, X.; Chen, M.; Yuan, Y.; Li, G.; Wei, Y.; Hu, X.; Huang, Y.; et al. Comprehensive Evaluation of Stormwater Pollutants Characteristics, Purification Process and Environmental Impact after Low Impact Development Practices. J. Clean. Prod. 2021, 278, 123509. [Google Scholar] [CrossRef]
- Wijesiri, B.; Egodawatta, P.; McGree, J.; Goonetilleke, A. Understanding the Uncertainty Associated with Particle-Bound Pollutant Build-up and Wash-off: A Critical Review. Water Res. 2016, 101, 582–596. [Google Scholar] [CrossRef]
- Byeon, C.W.; Nam, B.E. An Assessment of the Ecological Functions of a Sustainable Structured Wetland Biotope (SSB). Ecol. Eng. 2020, 145, 105723. [Google Scholar] [CrossRef]
- Li, X.; Guo, Q.; Wang, Y.; Xu, J.; Wei, Q.; Chen, L.; Liao, L. Enhancing Nitrogen and Phosphorus Removal by Applying Effective Microorganisms to Constructed Wetlands. Water 2020, 12, 2443. [Google Scholar] [CrossRef]
- Grinberga, L.; Lauva, D.; Lagzdins, A. Treatment of Storm Water from Agricultural Catchment in Pilot Scale Constructed Wetland. Environ. Clim. Technol. 2021, 25, 640–649. [Google Scholar] [CrossRef]
- Howitt, J.A.; Mondon, J.; Mitchell, B.D.; Kidd, T.; Eshelman, B. Urban Stormwater Inputs to an Adapted Coastal Wetland: Role in Water Treatment and Impacts on Wetland Biota. Sci. Total Environ. 2014, 485, 534–544. [Google Scholar] [CrossRef] [PubMed]
- Piñon-Colin, T.d.J.; Rodriguez-Jimenez, R.; Rogel-Hernandez, E.; Alvarez-Andrade, A.; Wakida, F.T. Microplastics in Stormwater Runoff in a Semiarid Region, Tijuana, Mexico. Sci. Total Environ. 2020, 704, 135411. [Google Scholar] [CrossRef] [PubMed]
- Wicke, D.; Matzinger, A.; Sonnenberg, H.; Caradot, N.; Schubert, R.L.; Dick, R.; Heinzmann, B.; Dünnbier, U.; von Seggern, D.; Rouault, P. Micropollutants in Urban Stormwater Runoff of Different Land Uses. Water 2021, 13, 1312. [Google Scholar] [CrossRef]
- Tran, N.H.; Reinhard, M.; Khan, E.; Chen, H.; Nguyen, V.T.; Li, Y.; Goh, S.G.; Nguyen, Q.B.; Saeidi, N.; Gin, K.Y.H. Emerging Contaminants in Wastewater, Stormwater Runoff, and Surface Water: Application as Chemical Markers for Diffuse Sources. Sci. Total Environ. 2019, 676, 252–267. [Google Scholar] [CrossRef]
- Fairbairn, D.J.; Elliott, S.M.; Kiesling, R.L.; Schoenfuss, H.L.; Ferrey, M.L.; Westerhoff, B.M. Contaminants of Emerging Concern in Urban Stormwater: Spatiotemporal Patterns and Removal by Iron-Enhanced Sand Filters (IESFs). Water Res. 2018, 145, 332–345. [Google Scholar] [CrossRef]










| Software | Parameter | Inputs/Method of Analysis |
|---|---|---|
| VOSviewer (Network map) | Bibliographic database file | WoS plaintext file |
| Type of analysis | Co-occurrence | |
| Unit of analysis | Author keywords | |
| Counting method | Full counting (terms have the same weight) | |
| Minimum number of co-occurrences | 5 | |
| Cortext (Contingency matrix) | Bibliographic database file | WOS plaintext file |
| Field values | Author keywords— Country/State Author keywords— Year of publication | |
| Contingency analysis measure | Chi2 score | |
| Number of nodes | 10 (Default software value) |
| Subject Area | Number of Documents | % of Total |
|---|---|---|
| Environmental Sciences Ecology | 334 | 81% |
| Engineering | 204 | 49% |
| Water Resources | 146 | 35% |
| Geology | 19 | 5% |
| Marine Freshwater Biology | 19 | 5% |
| Science Technology Other Topics | 16 | 4% |
| Meteorology Atmospheric Sciences | 11 | 3% |
| Others a | 68 | 16% |
| Journal | Impact Factor (as of 2020) | Number of Documents | % of Total |
|---|---|---|---|
| Ecological Engineering a | 4.035 | 83 | 20% |
| Science of the Total Environment a | 7.963 | 26 | 6% |
| Water | 3.103 | 22 | 5% |
| Water Science and Technology | 1.915 | 21 | 5% |
| Desalination and Water Treatment | 1.254 | 17 | 4% |
| Water Research a | 11.24 | 14 | 3% |
| Journal of Environmental Engineering | 1.746 | 11 | 3% |
| Others b | - | 219 | 53% |
| Title | Author/s | Journal (Year) | Number of Citations |
|---|---|---|---|
| Improving Urban Stormwater Runoff Quality by Nutrient Removal through Floating Treatment Wetlands and Vegetation Harvest [29] | Xu, Bing, Xue Wang, Jia Liu, Jiaqiang Wu, Yongjun Zhao, and Weixing Cao | Scientific Reports (2017) | 101 |
| Evaluation of floating treatment wetlands as retrofits to existing stormwater retention ponds [30] | Winston, R. J., Hunt, W. F., Kennedy, S. G., Merriman, L. S., Chandler, J., & Brown, D. | Ecological Engineering (2013) | 97 |
| Floating treatment wetland aided remediation of nitrogen and phosphorus from simulated stormwater runoff [31] | White, S. A., & Cousins, M. M. | Ecological Engineering (2013) | 80 |
| Floating treatment wetland retrofit to improve stormwater pond performance for suspended solids, copper and zinc [32] | Borne, K. E., Fassman, E. A., & Tanner, C. C. | Ecological Engineering (2013) | 77 |
| Temporary Storage or Permanent Removal? The Division of Nitrogen between Biotic Assimilation and Denitrification in Stormwater Biofiltration Systems [33] | Payne, G., Fletcher, T., Russel, D., Grace, M., Cavagnaro, T., Evrard, V., Deletic, A., Hatt, B., & Cook, P. | PloS ONE (2014) | 67 |
| Land Use Type | Agricultural | Highway | Mixed | Parking lot | Residential | Urban | Others a |
|---|---|---|---|---|---|---|---|
| Frequency, n | 41 | 10 | 25 | 7 | 12 | 54 | 5 |
| Minimum | 0.81 | 0.13 | 3.60 | 2.31 | 2.00 | 0.04 | 0.09 |
| Maximum | 86000 | 13.07 | 3139 | 2.37 | 572 | 2060 | 2.30 |
| Median | 42.70 | 1.70 | 320 | 2.37 | 5.40 | 95 | 0.45 |
| Average | 7876.51 | 3.01 | 781.30 | 2.35 | 76.51 | 271.86 | 0.82 |
| Standard Deviation | 24704.92 | 4.14 | 1059.91 | 0.03 | 176.99 | 465.53 | 0.90 |
Disclaimer/Publisher’s Note: The statements, opinions and data contained in all publications are solely those of the individual author(s) and contributor(s) and not of MDPI and/or the editor(s). MDPI and/or the editor(s) disclaim responsibility for any injury to people or property resulting from any ideas, methods, instructions or products referred to in the content. |
© 2023 by the authors. Licensee MDPI, Basel, Switzerland. This article is an open access article distributed under the terms and conditions of the Creative Commons Attribution (CC BY) license (https://creativecommons.org/licenses/by/4.0/).
Share and Cite
Reyes, N.J.D.G.; Geronimo, F.K.F.; Guerra, H.B.; Kim, L.-H. Bibliometric Analysis and Comprehensive Review of Stormwater Treatment Wetlands: Global Research Trends and Existing Knowledge Gaps. Sustainability 2023, 15, 2332. https://doi.org/10.3390/su15032332
Reyes NJDG, Geronimo FKF, Guerra HB, Kim L-H. Bibliometric Analysis and Comprehensive Review of Stormwater Treatment Wetlands: Global Research Trends and Existing Knowledge Gaps. Sustainability. 2023; 15(3):2332. https://doi.org/10.3390/su15032332
Chicago/Turabian StyleReyes, Nash Jett D. G., Franz Kevin F. Geronimo, Heidi B. Guerra, and Lee-Hyung Kim. 2023. "Bibliometric Analysis and Comprehensive Review of Stormwater Treatment Wetlands: Global Research Trends and Existing Knowledge Gaps" Sustainability 15, no. 3: 2332. https://doi.org/10.3390/su15032332
APA StyleReyes, N. J. D. G., Geronimo, F. K. F., Guerra, H. B., & Kim, L.-H. (2023). Bibliometric Analysis and Comprehensive Review of Stormwater Treatment Wetlands: Global Research Trends and Existing Knowledge Gaps. Sustainability, 15(3), 2332. https://doi.org/10.3390/su15032332

