New Failure Mechanism for Evaluating the Inclined Failure Load Adjacent to Undrained Soil Slope
Abstract
:1. Introduction
2. Approach
2.1. Governing Equations
2.2. Boundary Value Problems
- (1)
- Cauchy boundary OAB
- (2)
- Mixed boundary OCD
- (3)
- Degenerative Riemann boundary OBC
- (1)
- The Cauchy boundary OAB: and ;
- (2)
- The mixed boundary OCD: and ;
- (3)
- The degenerative Riemann boundary OBC: and , where .
3. Failure Mechanism
3.1. Evaluation Indicator
3.2. Results and Discussion
3.2.1. Cases Studied
3.2.2. Parametric Analyses
4. Conclusions
- (1)
- The slip line field of the undrained soil slope was derived based on the Mohr–Coulomb criterion and the undrained differential equations. Three inclined load boundary value problems of the undrained slope, i.e., the Cauchy, Riemann, and mixed boundary problems, were derived based on the undrained stress Mohr’s circle. The expressions of the horizontal or vertical failure loads were given according to undrained shear strength.
- (2)
- A new failure mechanism was proposed to evaluate the ultimate inclination failure load of undrained soil slopes. The critical slope contour shifts from the interior to the exterior of the slope as the inclined failure load increases. The critical slope contour length changes from larger than the slope surface length to less than the slope surface length as the inclination angle increases. The proposed evaluation indicators apply to a wide range of conditions, and it is not needed to assume or search the failure models.
- (3)
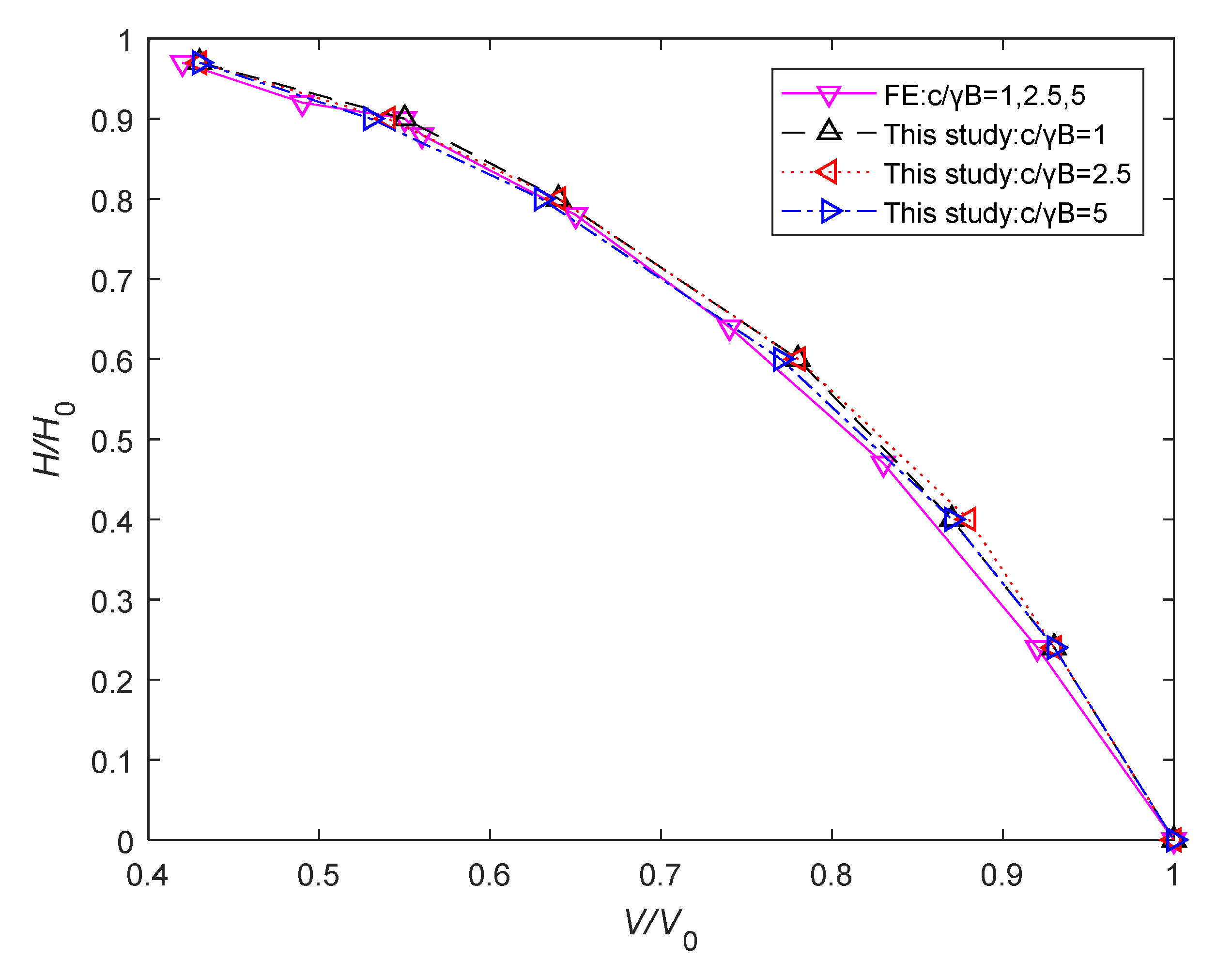
- The rationality of the proposed method is verified by the definition of the ultimate load. The solutions of the proposed method are consistent with those of FE-UB. Under the vertical ultimate load, the current method of characteristics assumes the outermost slip line is the failure model, which is inconsistent with those of the Bishop method and FLAC. The failure model becomes shallow with the inclination load decreasing and the inclination angle increasing. The proposed method calculates the inclination load first and then determines the failure models. The setback distance of footing to the slope surface is not 0 and the physical model test of the proposed method will be carried out in the future.
Author Contributions
Funding
Data Availability Statement
Conflicts of Interest
Appendix A
Appendix B
| MaxPoint = 2000; |
| MaxValue = 2000; |
| for i=1:1:MaxPoint |
| for j=1:1:MaxPoint |
| PointValue{i,j} = [MaxValue,MaxValue,MaxValue,0,0,0]; |
| end |
| end |
| % Enter initial value |
| Gamma=20; % unit weight |
| C0=80; % cohesion |
| Alpha0=(45/180*pi); % slope angl |
| H=4; % slope height |
| kh=-0.1 |
| xi=0.0; |
| kv=xi*(abs(kh)) ; |
| delta=atan(abs(kh)/(1-kv)) ; |
| delta0=delta/pi*180; |
| F=1 ; |
| C1=C0/F ; |
| Alpha1=(Alpha0/pi*180) ; |
| BuchangX=0.01; % calculation step |
| N1=100; % step number |
| N2=10; % the point partition of the Riemann boundary |
| B=BuchangX*N1 % foundation width |
| P1=36 % load |
| P=P1/(Gamma*B) |
| X_3=-H/tan(Alpha0); |
| Y_3=H; |
| Y_3_0 =H ; |
| X_3_2_1=0; |
| Y_3_2_1=0; |
| Y_3_2_1_0 = 0; |
| Mu=pi/4; |
| Point_0_0 = {0,0,0,0,0,0}; |
| Count1 = (N1+1)*(N1+2)/2; |
| Count2 = (N1+1)*N2; |
| Count3 = N1*(N1+1)/2 ; |
| Count = Count1+Count2+Count3; |
| %%Cauchy boundary |
| h0=C1; %% ultimate horizontal failure load |
| v0=131; %% ultimate vertical failure load when delta=0 |
| xi1=0.1 |
| h=xi1*h0; %% the horizontal failure load |
| xi2=0.92 |
| v=xi2*v0; %% the vertical failure load |
| delta=atan(h/v) %% the inclination angle |
| delta0=delta/pi*180 |
| P1=(h^2+v^2)^(1/2) %% ultimate inclined failure load |
| Theta1 = pi/2+(1/2)*asin(P1*sin(delta)/C1) ; |
| Sigma1 =(C1*sin(2*Theta1-pi-delta))/sin(delta) ; |
| I=0; |
| for i=1:1:(N1+1) |
| for j=i:-1:1 |
| if(j==i) |
| PointValue{i,j} = [X_3_2_1+(N1+1-i)*BuchangX, Y_3_2_1, Y_3_2_1,Theta1,Sigma1,Sigma1]; |
| I=I+1; |
| Point{I} = [i,j]; |
| else |
| p1=PointValue{i,j+1}; |
| p2=PointValue{i-1,j}; |
| x1 = p1(1); |
| y1 = p1(2); |
| o1 = p1(4); |
| q1 = p1(5); |
| x2 = p2(1); |
| y2 = p2(2); |
| o2 = p2(4); |
| q2 = p2(5); |
| dd=callfun(x1,y1,o1,q1,x2,y2,o2,q2,Mu,C1,Gamma); |
| PointValue{i,j} = [dd(1), dd(2), dd(3),dd(4),dd(5),dd(6)]; |
| I=I+1; |
| Point{I} = [i,j]; |
| end |
| end |
| end |
| %%Degenerative Riemann boundary |
| DetaXita=(Sigma1+2*C1*Theta1-C1)/(2*C1)-Theta1; |
| for i=(N1+1+1):1:(N1+1+N2) |
| ii = i-(N1+1); |
| Theta2=Theta1+ii*DetaXita/N2; |
| Sigma2=Sigma1+2*C1*(Theta1-Theta2); |
| for j=(1+N1):-1:1 |
| if(j==(1+N1)) |
| PointValue{i,j} = [0, 0, 0,Theta2,Sigma2,Sigma2]; |
| I=I+1; |
| Point{I} = [i,j]; |
| else |
| p1=PointValue{i,j+1}; |
| p2=PointValue{i-1,j}; |
| x1 = p1(1); |
| y1 = p1(2); |
| o1 = p1(4); |
| q1 = p1(5); |
| x2 = p2(1); |
| y2 = p2(2); |
| o2 = p2(4); |
| q2 = p2(5); |
| dd=callfun(x1,y1,o1,q1,x2,y2,o2,q2,Mu,C1,Gamma); |
| PointValue{i,j} = [dd(1), dd(2), dd(3),dd(4),dd(5),dd(6)]; |
| I=I+1; |
| Point{I} = [i,j]; |
| end |
| end |
| end |
| %% Mixed boundary |
| Sigma3 = C1; |
| for i=(N1+1+N2+1):1:(N1+1+N2+N1) |
| for j=(N1+1+N2+N1+1-i):-1:1 |
| if(j==(N1+1+N2+N1+1-i)) |
| p1=PointValue{i-1,j+1}; |
| p2=PointValue{i-1,j}; |
| x1 = p1(1); |
| y1 = p1(2); |
| o1 = p1(4); |
| q1 = p1(5); |
| x2 = p2(1); |
| y2 = p2(2); |
| o2 = p2(4); |
| q2 = p2(5); |
| dd=callfan(x1,y1,o1,q1,x2,y2,o2,q2,Mu,C1,Gamma); |
| PointValue{i,j} = [dd(1), dd(2), dd(3),dd(4),Sigma3,Sigma3]; |
| I=I+1 ; |
| Point{I} = [i,j]; |
| else |
| p1=PointValue{i,j+1}; |
| p2=PointValue{i-1,j}; |
| x1 = p1(1); |
| y1 = p1(2); |
| o1 = p1(4); |
| q1 = p1(5); |
| x2 = p2(1); |
| y2 = p2(2); |
| o2 = p2(4); |
| q2 = p2(5); |
| dd=callfun(x1,y1,o1,q1,x2,y2,o2,q2,Mu,C1,Gamma); |
| PointValue{i,j} = [dd(1), dd(2), dd(3),dd(4),dd(5),dd(6)]; |
| I=I+1; |
| Point{I} = [i,j]; |
| end |
| end |
| end |
| for k=1:1:I |
| i=Point{k}(1); |
| j=Point{k}(2); |
| p=PointValue{i,j}; |
| p(1) = p(1)-X_3; |
| p(2) = Y_3-p(2); |
| p(3) = Y_3-p(3); |
| PointValue{i,j}=[p(1), p(2), p(2),p(4),p(5),p(6)]; |
| end |
| Y_3_0 = Y_3 - Y_3_0; |
| Y_3_2_1_0 = Y_3 - Y_3_2_1_0; |
| CountAlpha =2*N1+N2+1; |
| CountBeta =N1+1; |
| %%Alpha line |
| for i=1:1:CountAlpha |
| UN_0 = 0; |
| for j=1:1:CountBeta |
| p=PointValue{i,j}; |
| if p(1)~=MaxValue || p(2)~=MaxValue |
| UN_0 = UN_0+1; |
| end |
| end |
| x_p = zeros(1,UN_0); |
| y_p = zeros(1,UN_0); |
| UN_0 = 0; |
| for j=1:1:CountBeta |
| p=PointValue{i,j}; |
| if p(1)~=MaxValue || p(2)~=MaxValue |
| UN_0 = UN_0+1; |
| x_p(1,UN_0) = p(1); |
| y_p(1,UN_0) = p(2); |
| end |
| end |
| hold on |
| plot(x_p,y_p) |
| end |
| %%Beta line |
| for j=1:1:CountBeta |
| UN_0 = 0; |
| for i=1:1:CountAlpha |
| p=PointValue{i,j}; |
| if p(1)~=MaxValue || p(2)~=MaxValue |
| UN_0 = UN_0+1; |
| end |
| end |
| x_p = zeros(1,UN_0); |
| y_p = zeros(1,UN_0); |
| UN_0 = 0; |
| for i=1:1:CountAlpha |
| p=PointValue{i,j}; |
| if p(1)~=MaxValue || p(2)~=MaxValue |
| UN_0 = UN_0+1; |
| x_p(1,UN_0) = p(1); |
| y_p(1,UN_0) = p(2); |
| end |
| end |
| hold on |
| plot(x_p,y_p) |
| end |
| Y_3_0; |
| Y_3_2_1_0; |
| UN_0 = 0; |
| for j=1:1:CountBeta |
| for i=1:1:CountAlpha |
| p=PointValue{i,j}; |
| if p(2)==Y_3_2_1_0 |
| UN_0 = UN_0+1; |
| end |
| end |
| end |
| x_p = zeros(1,UN_0); |
| y_p = zeros(1,UN_0); |
| UN_0 = 0; |
| for j=1:1:CountBeta |
| for i=1:1:CountAlpha |
| p=PointValue{i,j}; |
| if p(2)==Y_3_2_1_0 |
| UN_0 = UN_0+1; |
| x_p(1,UN_0) = p(1); |
| y_p(1,UN_0) = p(2); |
| end |
| end |
| end |
| hold on |
| plot(x_p,y_p,’b’) |
| X_3=0; |
| Y_3_0 =0; |
| X_3_2_1=H/tan(Alpha0); |
| Y_3_2_1_0=H; |
| x_po = zeros(1,2); |
| y_po = zeros(1,2); |
| x_po(1,1)=X_3; |
| y_po(1,1) = Y_3_0; |
| x_po(1,2)=X_3_2_1; |
| y_po(1,2)=Y_3_2_1_0; |
| hold on |
| plot(x_po,y_po,’b’) |
| x_xie = zeros(1,CountBeta); |
| y_xie = zeros(1,CountBeta); |
| UN_0 = 0; |
| for j=1:1:CountBeta |
| for i=1:1:CountAlpha |
| p=PointValue{i,j}; |
| if p(1)~=MaxValue || p(2)~=MaxValue |
| x_xie(1,j)=p(1); |
| y_xie(1,j) = p(2); |
| end |
| end |
| end |
| hold on |
| plot(x_xie,y_xie,’r’) |
| x_sj = zeros(1,3); |
| y_sj = zeros(1,3); |
| x_sj(1,1) = 0; |
| y_sj(1,1) = 0; |
| x_sj(1,2) = H/tan(Alpha0); |
| y_sj(1,2) = 0; |
| x_sj(1,3) = H/tan(Alpha0); |
| y_sj(1,3) = H; |
| hold on |
| plot(x_sj,y_sj,’b’) |
| xlabel(’x/m’); ylabel(’y/m’); |
| axis equal; |
| xmin=PointValue{2*N1+N2+1,1}(1); |
| ymin=PointValue{2*N1+N2+1,1}(2) |
| y0=tan(Alpha0)*(xmin) %% y0<ymin: unstable; y0=ymin: limit state; y0>ymin: stable |
| %%callfun function:Eqs.(8-11) |
| function dd=callfun(x1,y1,o1,p1,x2,y2,o2,p2,u,c,r) |
| dd(1)=(x1*tan(o1-u)-x2*tan(o2+u)-(y1-y2))/(tan(o1-u)-tan(o2+u)); |
| dd(2)=(dd(1)-x1)*tan(o1-u)+y1; |
| dd(3)=(dd(1)-x2)*tan(o2+u)+y2; |
| dd(4)=(r*(y1-y2)+(p2-p1)+2*c*(o2+o1))/(4*c); |
| dd(5)=c*(o2-o1)+(p1+p2)/2+r*(dd(2)-y1/2-y2/2); |
| dd(6)=c*(o2-o1)+(p1+p2)/2+r*(dd(2)-y1/2-y2/2); |
| end |
| %%callfan function:Eqs.(12-15) |
| function dd=callfan(x1,y1,o1,p1,x2,y2,o2,p2,u,c,r) |
| dd(1)=(x1*tan(o1)-x2*tan(o2+u)-(y1-y2))/(tan(o1)-tan(o2+u)); |
| dd(2)=(dd(1)-x1)*tan(o1)+y1; |
| dd(3)=(dd(1)-x2)*tan(o2+u)+y2; |
| dd(4)=(r*(y1-y2)+(p2-p1)+2*c*(o2+o1))/(4*c); |
| end |
References
- Chen, T.J.; Xiao, S.G. An upper bound solution to undrained bearing capacity of rigid strip foundations near slopes. Int. J. Civ. Eng. 2020, 18, 475–485. [Google Scholar] [CrossRef]
- Jaiswal, S.; Srivastava, A.; Chauhan, V.B. Numerical modeling of soil nailed slope using drucker-prager model. In Advances in Geo-Science and Geo-Structures; Springer: Singapore, 2020; Volume 154, pp. 97–105. [Google Scholar]
- Yang, T.H.; Shi, W.H.; Wang, P.T.; Liu, H.L.; Yu, Q.L.; Li, Y. Numerical simulation on slope stability analysis considering anisotropic properties of layered fractured rocks: A case study. Arab. J. Geosci. 2015, 8, 5413–5421. [Google Scholar] [CrossRef]
- Ge, Y.F.; Tang, H.M.; Li, C.D. Mechanical energy evolution in the propagation of rock avalanches using field survey and numerical simulation. Landslides 2021, 18, 3559–3576. [Google Scholar] [CrossRef]
- Ellis, E.A.; Durrani, I.K.; Reddish, D.J. Numerical modelling of discrete pile rows for slope stability and generic guidance for design. Geotechnique 2010, 60, 185–195. [Google Scholar] [CrossRef]
- Baazouzi, M.; Mellas, M.; Mabrouki, A.; Benmeddour, D. Effect of the slope on the undrained bearing capacity of shallow foundation. Int. J. Eng. Res. Afr. 2017, 28, 32–44. [Google Scholar] [CrossRef]
- Georgiadis, K. An upper-bound solution for the undrained bearing capacity of strip foundations at the top of a slope. Geotechnique 2010, 60, 801–806. [Google Scholar] [CrossRef]
- Georgiadis, K. Undrained bearing capacity of strip foundations on slopes. J. Geotech. Geoenviron. Eng. 2010, 136, 677–685. [Google Scholar] [CrossRef]
- Li, C.C.; Guan, Y.F.; Jiang, P.M.; Han, X. Oblique bearing capacity of shallow foundations placed near slopes determined by the method of rigorous characteristics. Géotechnique 2022, 72, 922–934. [Google Scholar] [CrossRef]
- Abdi, A.; Abbeche, K.; Mazouz, B.; Boufarh, R. Bearing capacity of an eccentrically loaded strip footing on reinforced sand slope. Soil Mech. Found. Eng. 2019, 56, 232–238. [Google Scholar] [CrossRef]
- Hansen, J.B. A General Formula for Bearing Capacity; Bulletin, 11; Danish Geotechnical Institute: Copenhagen, Denmark, 1961; pp. 38–46. [Google Scholar]
- Vesic, A.S. Bearing capacity of shallow foundations. In Foundation Engineering Handbook; Winterkorn, H.F., Fang, H.Y., Eds.; Van Nostrand Reinhold: New York, NY, USA, 1975. [Google Scholar]
- Narimane, B.; Mohamed, Y.O.; Abdelhak, M.; Djamel, B.; Mekki, M. Probabilistic analysis of the bearing capacity of inclined loaded strip footings near cohesive slopes. Int. J. Geotech. Eng. 2018, 15, 732–739. [Google Scholar]
- Georgiadis, K. The influence of load inclination on the undrained bearing capacity of strip footings on slopes. Comput. Geotech. 2010, 37, 311–322. [Google Scholar] [CrossRef]
- Cheng, Y.M.; Li, N. Equivalence between bearing-capacity, lateral earth-pressure, and slope-stability problems by slip-line and extremum limit equilibrium methods. Int. J. Geomech. 2017, 17, 04017113. [Google Scholar] [CrossRef]
- Wu, G.Q.; Zhao, H.; Zhao, M.H.; Xiao, Y. Undrained bearing capacity of strip foundations lying on two-layered slopes. Comput. Geotech. 2020, 122, 103539. [Google Scholar] [CrossRef]
- Cheng, Y.M. Location of critical failure surface and some further studies on slope stability analysis. Comput. Geotech. 2003, 30, 255–267. [Google Scholar] [CrossRef]
- Yang, Y.C.; Xing, H.G.; Yang, X.G.; Huang, K.X.; Zhou, J.W. Two-dimensional stability analysis of a soil slope using the finite element method and the limit equilibrium principle. IES J. Part A Civ. Struct. Eng. 2015, 8, 251–264. [Google Scholar] [CrossRef]
- Li, C.C.; Jiang, P.M. Ultimate load of nonhomogeneous slopes determined by using the method of characteristics. Eng. Geol. 2019, 261, 105281. [Google Scholar] [CrossRef]
- Ahmadi, S.; Kamalian, M.; Askari, F. Evaluating the Nγ coefficient for rough strip footing located adjacent to the slope using the stress characteristics method. Comput. Geotech. 2022, 142, 104543. [Google Scholar] [CrossRef]
- Jeldes, I.A.; Vence, N.E.; Drumm, E.C. Approximate solution to the Sokolovski concave slope at limiting equilibrium. Int. J. Geomech. 2014, 15, 1–8. [Google Scholar]
- Shibsankar, N.; Santhoshkumar, G.; Ghosh, P. Determination of Critical Slope Face in c–ϕ Soil under Seismic conditions Using Method of Stress Characteristics. Int. J. Geomech. 2021, 21, 04021031. [Google Scholar]
- Fang, H.W.; Chen, Y.F.; Xu, Y.X. New instability criterion for stability analysis of homogeneous slopes. Int. J. Geomech. 2020, 20, 04020034. [Google Scholar] [CrossRef]
- Zhao, P.N. Loose Medium Mechanisms; The Geological Publishing House: Beijing, China, 1995. (In Chinese) [Google Scholar]
- Chuaiwate, P.; Jaritngam, S.; Panedpojaman, P.; Konkong, N. Probabilistic analysis of slope against uncertain soil parameters. Sustainability 2022, 14, 14530. [Google Scholar] [CrossRef]









Disclaimer/Publisher’s Note: The statements, opinions and data contained in all publications are solely those of the individual author(s) and contributor(s) and not of MDPI and/or the editor(s). MDPI and/or the editor(s) disclaim responsibility for any injury to people or property resulting from any ideas, methods, instructions or products referred to in the content. |
© 2023 by the authors. Licensee MDPI, Basel, Switzerland. This article is an open access article distributed under the terms and conditions of the Creative Commons Attribution (CC BY) license (https://creativecommons.org/licenses/by/4.0/).
Share and Cite
Fang, H.; Xu, Y. New Failure Mechanism for Evaluating the Inclined Failure Load Adjacent to Undrained Soil Slope. Sustainability 2023, 15, 2159. https://doi.org/10.3390/su15032159
Fang H, Xu Y. New Failure Mechanism for Evaluating the Inclined Failure Load Adjacent to Undrained Soil Slope. Sustainability. 2023; 15(3):2159. https://doi.org/10.3390/su15032159
Chicago/Turabian StyleFang, Hongwei, and Yixiang Xu. 2023. "New Failure Mechanism for Evaluating the Inclined Failure Load Adjacent to Undrained Soil Slope" Sustainability 15, no. 3: 2159. https://doi.org/10.3390/su15032159
APA StyleFang, H., & Xu, Y. (2023). New Failure Mechanism for Evaluating the Inclined Failure Load Adjacent to Undrained Soil Slope. Sustainability, 15(3), 2159. https://doi.org/10.3390/su15032159
