Environmental Protection Fee-to-Tax and Corporate Environmental Social Responsibility: A Test Based on Corporate Life Cycle Theory
Abstract
1. Introduction
2. Literature Review
3. Institutional Background and Research Hypothesis
3.1. Institutional Background
3.2. Theoretical Analysis and Research Hypothesis
3.2.1. Environmental Protection Fee-to-Tax and Corporate ESR
3.2.2. The Main Mechanisms by Which Environmental Protection Taxes Affect Corporate ESR in Different Life Cycle Stages
4. Research Strategy
4.1. Data Sources
4.2. Variable Definition
4.2.1. Corporate Environmental Social Responsibility
4.2.2. Core Explanatory Variables: The Formal Implementation of Environmental Protection Fee-to-Tax Policy in 2018
4.2.3. Corporate Firm Life Cycle
4.2.4. Control Variables
4.3. Model Setting
4.4. Staged Statistics and Tests of Corporate Life Cycle
5. Empirical Results and Analysis
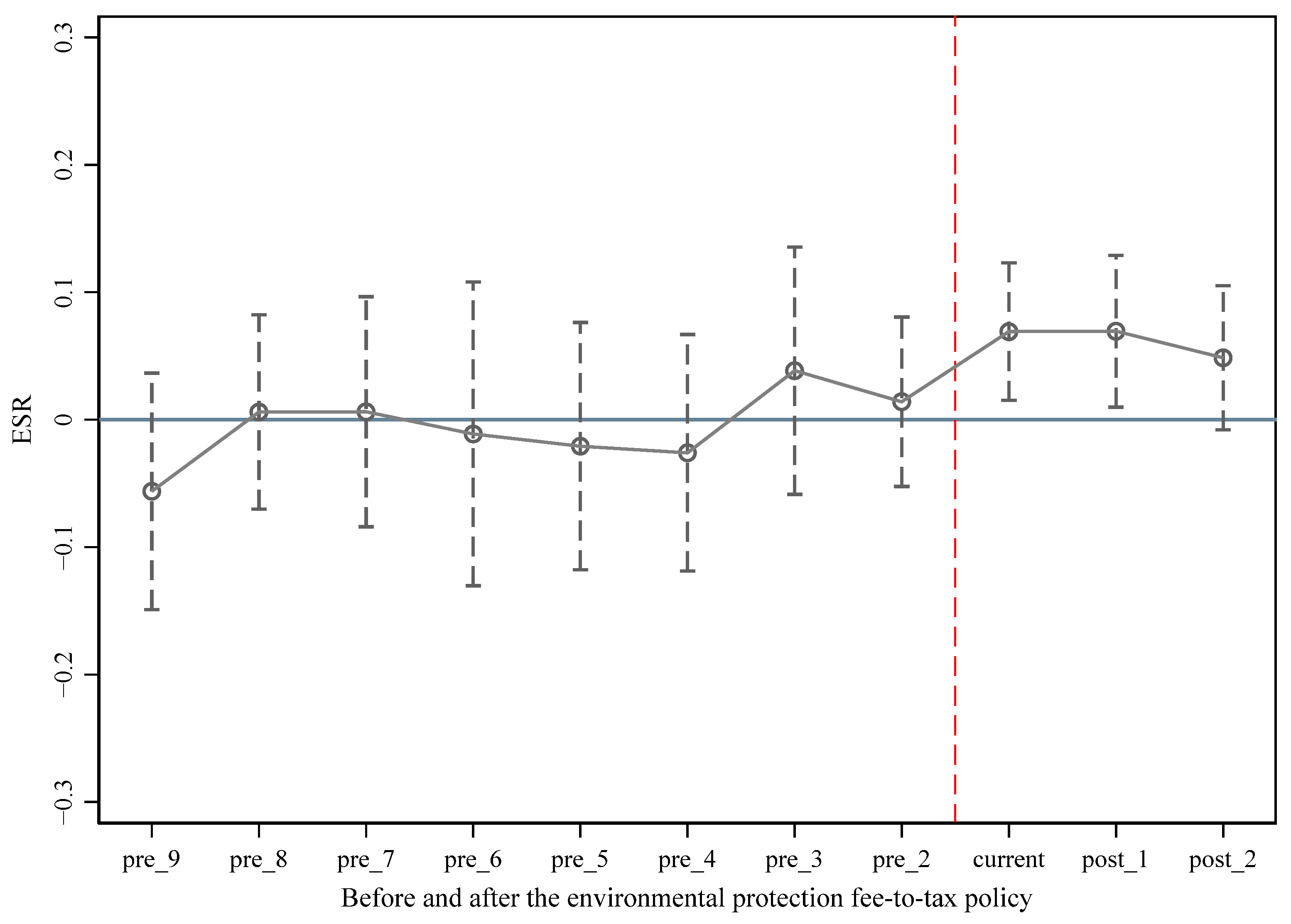
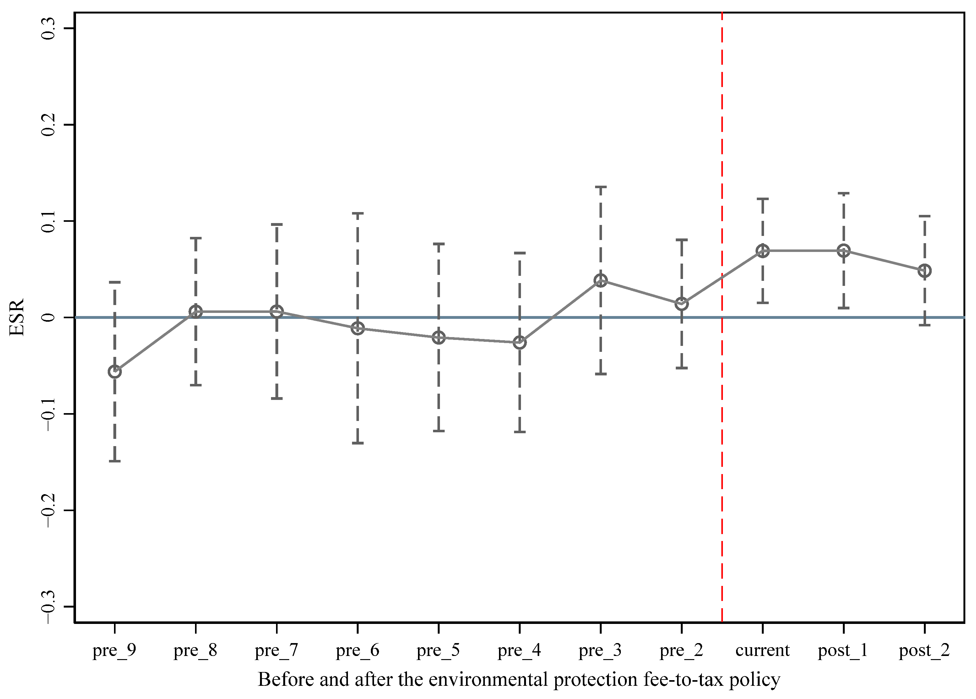
5.1. Parallel Trend Hypothesis Testing and Dynamic Effects
5.2. Full-Sample Benchmark Regression Results
5.3. Regression Results of Sub-Sample Heterogeneity
5.3.1. State-Owned and Non-State-Owned Firms
5.3.2. Heavy Polluting Firms and Non-Heavy Polluting Firms
5.3.3. Firms with High and Low Financing Constraints
5.4. Endogenetic Test
5.4.1. Placebo Test
5.4.2. Entropy Balance and Propensity Score Matching Method
5.5. Robustness Test
5.5.1. Replace the ESR Measurement Method
5.5.2. Change the Life-Cycle Classification Method
6. Discussion
7. Conclusions and Insight
Author Contributions
Funding
Institutional Review Board Statement
Informed Consent Statement
Data Availability Statement
Conflicts of Interest
References
- Fang, Y.; Guo, J.J. Is the environmental violation disclosure policy effective in china?—Evidence from capital market reactions. Econ. Res. J. 2018, 53, 158–174. Available online: https://kns.cnki.net/kcms/detail/detail.aspx?FileName=JJYJ201810012&DbName=CJFQ2018 (accessed on 19 January 2023).
- Si, L.J.; Cao, H.Y. Does green credit policies improve corporate environmental social responsibility—The perspective of external constraints and internal concerns. China Ind. Econ. 2022, 4, 137–155. [Google Scholar] [CrossRef]
- Guo, J.J.; Fang, Y.; Yang, Y. Does China’s Pollution Levy Standards Reform Promote Emissions Reduction. J. World Econ. 2019, 1, 121–144. Available online: https://kns.cnki.net/kcms/detail/detail.aspx?FileName=SJJJ201901007&DbName=CJFQ2019 (accessed on 19 January 2023).
- Batrancea, L.; Rathnaswamy, M.K.; Batrancea, I. A panel data analysis on determinants of economic growth in seven non-BCBS countries. J. Knowl. Econ. 2022, 13, 1651–1665. [Google Scholar] [CrossRef]
- Batrancea, L.M.; Nichita, A.; De Agostini, R.; Budak, T. A self-employed taxpayer experimental study on trust, power, and tax compliance in eleven countries. Financ. Innov. 2022, 8, 96. [Google Scholar] [CrossRef]
- Li, P.; Lin, Z.; Du, H.; Feng, T.; Zuo, J. Do environmental taxes reduce air pollution? Evidence from fossil-fuel power plants in China. J. Environ. Manag. 2021, 295, 113112. [Google Scholar] [CrossRef] [PubMed]
- Cheng, Z.; Chen, X.; Wen, H. How Does Environmental Protection Tax Affect Corporate Environmental Investment? Evidence from Chinese Listed Enterprises. Sustainability 2022, 14, 2932. [Google Scholar] [CrossRef]
- Tchórzewska, K.B.; Garcia-Quevedo, J.; Martinez-Ros, E. The heterogeneous effects of environmental taxation on green technologies. Res. Policy 2022, 51, 104541. [Google Scholar] [CrossRef]
- Liu, X.; Liu, F. Environmental regulation and corporate financial asset allocation: A natural experiment from the new environmental protection law in China. Financ. Res. Lett. 2022, 47, 102974. [Google Scholar] [CrossRef]
- He, Y.; Zhu, X.; Zheng, H. The influence of environmental protection tax law on total factor productivity: Evidence from listed firms in China. Energ. Econ. 2022, 113, 106248. [Google Scholar] [CrossRef]
- Long, F.; Lin, F.; Ge, C. Impact of China’s environmental protection tax on corporate performance: Empirical data from heavily polluting industries. Environ. Impact Asses. 2022, 97, 106892. [Google Scholar] [CrossRef]
- Miller, D.; Friesen, P.H. Successful and unsuccessful phases of the corporate life cycle. Organ. Stud. 1983, 4, 339–356. [Google Scholar] [CrossRef]
- Lv, W.; Ma, W.; Yang, X. Does social security policy matter for corporate social responsibility? Evidence from a quasi-natural experiment in China. Econ. Model. 2022, 116, 106008. [Google Scholar] [CrossRef]
- Lu, C.; Zhu, K. Do tax expenses crowd in or crowd out corporate social responsibility performance? Evidence from Chinese listed firms. J. Clean. Prod. 2021, 327, 129433. [Google Scholar] [CrossRef]
- Di Giuli, A.; Kostovetsky, L. Are red or blue companies more likely to go green? Politics and corporate social responsibility. J. Financ. Econ. 2014, 111, 158–180. [Google Scholar] [CrossRef]
- Dang, V.Q.; Otchere, I.; So, E.P. Does the nature of political connection matter for corporate social responsibility engagement? Evidence from China. Emerg. Mark. Rev. 2022, 52, 100907. [Google Scholar] [CrossRef]
- Ellili, N.O.D. Impact of corporate governance on environmental, social, and governance disclosure: Any difference between financial and non-financial companies? Corp. Soc. Responsib. Environ. Manag. 2022. [Google Scholar] [CrossRef]
- Sarhan, A.A.; Al-Najjar, B. The influence of corporate governance and shareholding structure on corporate social responsibility: The key role of executive compensation. Int. J. Financ. Econ. 2022, 7, 1–25. [Google Scholar] [CrossRef]
- Cicchiello, A.F.; Marrazza, F.; Perdichizzi, S. Non-financial disclosure regulation and environmental, social, and governance (ESG) performance: The case of EU and US firms. Corp. Soc. Responsib. Environ. Manag. 2022. [Google Scholar] [CrossRef]
- Chen, Q.; Zeng, H. Is corporate social responsibility constrained by bank credit resource allocation? Corp. Soc. Responsib. Environ. Manag. 2022, 29, 1560–1577. [Google Scholar] [CrossRef]
- Alam, S.M.S.; Islam, K.M.Z. Examining the role of environmental corporate social responsibility in building green corporate image and green competitive advantage. Int. J. Corporate Soc. Responsib. 2021, 6, 8. [Google Scholar] [CrossRef]
- Yankovskaya, V.; Gerasimova, E.B.; Osipov, V.S.; Lobova, S.V. Environmental CSR from the standpoint of stakeholder theory: Rethinking in the era of artificial intelligence. Front. Environ. Sci. 2022, 10, 953996. [Google Scholar] [CrossRef]
- Lu, H.Y.; Tang, F.; Xu, W.L. Can Tax Policies Enhance Corporate’s Environmental Responsibility? Evidence from Chinese Listed Companies. Financ. Trad. Res. 2017, 28, 85–91. [Google Scholar] [CrossRef]
- Xu, L.; Chen, Y.; Lee, S.H. Emission tax and strategic environmental corporate social responsibility in a Cournot–Bertrand comparison. Energy Econ. 2022, 107, 105846. [Google Scholar] [CrossRef]
- Tian, L.H.; Guan, X.; Li, Z.; Li, X. Environmental tax reform and environmental investment: A quasi-natural experiment based on China’s Environmental Protection Tax Law. J. Financ. Econ. 2022, 48, 32–46. [Google Scholar] [CrossRef]
- Liu, J.K.; Xiao, Y.Y. China’s Environmental Protection Tax and Green Innovation: Incentive Effect or Crowding-out Effect? Econ. Res. 2022, 57, 72–88. Available online: https://kns.cnki.net/kcms/detail/detail.aspx?FileName=JJYJ202201007&DbName=CJFQ2022 (accessed on 19 January 2023).
- Zhao, A.; Wang, J.; Sun, Z.; Guan, H. Environmental Taxes, Technology Innovation Quality and Firm Performance in China—A test of effects based on the Porter hypothesis. Econ. Anal. Policy 2022, 74, 309–325. [Google Scholar] [CrossRef]
- Gao, X.; Liu, N.; Hua, Y. Environmental Protection Tax Law on the synergy of pollution reduction and carbon reduction in China: Evidence from a panel data of 107 cities. Sustain. Prod. Consump. 2022, 33, 425–437. [Google Scholar] [CrossRef]
- Ji, L.; Zeng, T. Environmental “fee-to-tax” and heavy pollution enterprises to de-capacity. Sustainability 2022, 14, 5312. [Google Scholar] [CrossRef]
- Bongaerts, J.C.; Kraemer, A. Permits and effluent charges in the water pollution control policies of France, West Germany, and the Netherlands. Environ. Monit. Assess. 1989, 12, 127–147. [Google Scholar] [CrossRef]
- Chao, A.C.; Hong, L. Corporate social responsibility strategy, environment and energy policy. Struct. Chang. Econ. Dyn. 2019, 51, 311–317. [Google Scholar] [CrossRef]
- Notice on Environmental Protection Verification of Enterprises Applying for Listing and Listed Enterprises Applying for Refinancing (Huanfa [2003] No. 101). Available online: https://www.mee.gov.cn/gkml/zj/wj/200910/t20091022_172200.htm (accessed on 12 January 2023).
- Notice on Further Standardization of Environmental Protection Verification of Production and Operation Companies Applying for Listing or Refinancing in Heavy Pollution Industries (Huanban [2007] No. 105). Available online: https://www.mee.gov.cn/gkml/zj/bgt/200910/t20091022_174035.htm (accessed on 12 January 2023).
- Anthony, J.H.; Ramesh, K. Association between accounting performance measures and stock prices: A test of the life cycle hypothesis. J. Account. Econ. 1992, 15, 203–227. [Google Scholar] [CrossRef]
- Dickinson, V. Cash flow patterns as a proxy for firm life cycle. Account. Rev. 2011, 86, 1969–1994. [Google Scholar] [CrossRef]
- Liu, S.Y.; Lin, Z.F.; Leng, Z.P. Whether Tax Incentives Stimulate Corporate Innovation: Empirical Evidence Based on Corporate Life Cycle Theory. Econ. Res. J. 2020, 55, 105–121. Available online: https://kns.cnki.net/kcms/detail/detail.aspx?FileName=JJYJ202006009&DbName=CJFQ2020 (accessed on 19 January 2023).
- Deschenes, O.; Greenstone, M.; Shapiro, J.S. Defensive investments and the demand for air quality: Evidence from the NOx budget program. Am. Econ. Rev. 2017, 107, 2958–2989. [Google Scholar] [CrossRef]
- Zhang, H.H.; Zhang, L.Y. Ownership, Tournament Incentive and Risk-taking. Bus. Manag. J. 2016, 5, 110–121. [Google Scholar] [CrossRef]
- Hadlock, C.J.; Pierce, J.R. New evidence on measuring financial constraints: Moving beyond the KZ index. Rev. Financ. Stud. 2010, 23, 1909–1940. [Google Scholar] [CrossRef]
- Hribar, P.; Yehuda, N. The mispricing of cash flows and accruals at different life-cycle stages. Contemp. Account. Res. 2015, 32, 1053–1072. [Google Scholar] [CrossRef]
- Wang, X.Y.; Zhang, J.Y.; Wang, X.N. Fintech, Corporate Lifecycle, and Technological Innovation: Heterogeneous Characteristics, Mechanism Test and Governmental Regulation Performance Evaluation. Financ. Econ. Res. 2019, 34, 93–108. Available online: https://kns.cnki.net/kcms/detail/detail.aspx?FileName=JIRO201905008&DbName=CJFQ2019 (accessed on 19 January 2023).
- Wu, F.; Li, W. Tax Incentives and Corporate Green Transformation—Empirical Evidence Based on Text Recognition of Listed Companies’ Annual Reports. Publ. Fin. Res. 2022, 4, 100–118. [Google Scholar] [CrossRef]
- Ji, L.; Su, M. The Motivation of the Environmental Costs Internalization: Is It for Policy Compliance or for Profits? Empirical Evidence from Chinese Listed Companies in Heavy Polluting Industries. Account. Res. 2016, 11, 69–75+96. Available online: https://kns.cnki.net/kcms/detail/detail.aspx?FileName=KJYJ201611010&DbName=CJFQ2016 (accessed on 19 January 2023).


| Net Cash Flow Characteristics | Growth | Maturity | Decline | |||||
|---|---|---|---|---|---|---|---|---|
| Start-Up | Growth | Maturity | Decline | Decline | Decline | Shake-Out | Shake-Out | |
| Operating | - | + | + | - | + | + | - | - |
| Invest | - | - | - | - | + | + | + | + |
| Financing | + | + | - | - | + | - | + | - |
| Variable | Obs | Mean | Std. Dev. | Min | Max |
|---|---|---|---|---|---|
| ESG | 28,201 | 0.2676 | 0.8116 | 0.0000 | 3.4340 |
| Policy | 28,201 | 0.4632 | 0.2434 | 0.0000 | 1.0000 |
| Size | 28,201 | 21.9442 | 1.3124 | 19.3683 | 26.0596 |
| OPCash | 28,201 | 0.0179 | 0.0552 | −0.1533 | 0.1788 |
| Fixratio | 28,201 | 0.2241 | 0.1622 | 0.0044 | 0.7345 |
| ROA | 28,201 | 2.5331 | 3.2392 | −9.1650 | 12.3825 |
| ROE | 28,201 | 3.8770 | 6.7063 | −31.6925 | 20.8675 |
| Growth | 28,201 | 15.0526 | 32.3217 | −44.9918 | 134.7581 |
| ShrHold10 | 28,201 | 0.5892 | 0.1527 | 0.2299 | 0.9060 |
| Main Varibale | Corporate Life Cycle | T Statistic | ||||
|---|---|---|---|---|---|---|
| Growth | Maturity | Decline | Growth-Maturity | Growth-Decline | Maturity-Decline | |
| Obs | 13,559 | 8415 | 6227 | - | - | - |
| Firm age | 10.2726 | 10.5581 | 11.3054 | 2.9489 *** | 9.5380 *** | 6.0428 *** |
| Growth rate | 20.056% | 11.543% | 8.902% | −19.5742 *** | −21.7645 *** | −5.1437 *** |
| Retained earnings ratio | 0.3002 | 0.2979 | 0.1492 | −0.448 | −22.2265 *** | −18.4604 *** |
| ESR | 0.2984 | 0.2898 | 0.1704 | −0.7267 | −10.5024 *** | −9.3094 *** |
| Capital expenditure rate | 0.0495 | 0.035 | 0.0236 | −27.5129 *** | −44.6065 *** | −24.4586 *** |
| Overhead rate | 10.763% | 10.171% | 14.559% | −4.9020 *** | 23.7057 *** | 25.0932 *** |
| Total return on assets | 2.358% | 3.357% | 1.802% | 23.6908 *** | −11.8363 *** | −26.2333 *** |
| Asset liability ratio | 0.4406 | 0.3827 | 0.3776 | −20.9089 *** | −20.5346 *** | −1.4530 |
| VARIABLES | (1) | (2) | (3) | (4) |
|---|---|---|---|---|
| Full Sample | Growth | Maturity | Decline | |
| Mean of ESG | 0.2607 | 0.2870 | 0.2854 | 0.1680 |
| Policy | 0.1766 *** (0.0712) | 0.0826 (0.0818) | 0.2806 *** (0.0852) | 0.1956 ** (0.0821) |
| Treatpost | −0.2453 *** (0.0209) | −0.2163 *** (0.0235) | −0.3544 *** (0.0309) | −0.1946 *** (0.0261) |
| Indpost | −0.3498 *** (0.0363) | −0.3310 *** (0.0582) | −0.3955 *** (0.0418) | −0.2553 *** (0.0854) |
| Size | −0.0746 *** (0.0113) | −0.0908 *** (0.0123) | −0.1144 *** (0.0227) | −0.0605 ** (0.0256) |
| OPCash | 0.0273 (0.1471) | −0.4042 ** (0.1611) | 0.8996 ** (0.4097) | 0.2252 (0.2757) |
| Fixratio | 0.0235 (0.0799) | 0.0124 (0.1046) | 0.1542 (0.1635) | 0.0524 (0.1138) |
| ROA | 0.0019 (0.0046) | 0.0025 (0.0077) | 0.0037 (0.0099) | 0.0101 * (0.0051) |
| ROE | 0.0022 (0.0014) | 0.0067 ** (0.0030) | 0.0002 (0.0036) | −0.0012 (0.0021) |
| Growth | 0.0003 ** (0.0001) | 0.0003 (0.0002) | 0.0000 (0.0003) | 0.0001 (0.0001) |
| ShrHold10 | −0.3824 ** (0.1574) | −0.3550 *** (0.1105) | −0.0823 (0.2112) | 0.0407 (0.1180) |
| Constant | 1.8709 *** (0.2787) | 2.5401 *** (0.3119) | 2.8958 *** (0.5869) | 1.5077 *** (0.5567) |
| Observations | 28,201 | 14,101 | 8552 | 6316 |
| R-squared | 0.4178 | 0.5304 | 0.5033 | 0.5048 |
| Year FE | Yes | Yes | Yes | Yes |
| Firm FE | Yes | Yes | Yes | Yes |
| Panel A: SOE | Full Sample | Growth | Maturity | Decline |
|---|---|---|---|---|
| Policy | 0.2423 *** (0.0701) | 0.2285 (0.1429) | 0.2703 *** (0.0887) | 0.5694 *** (0.1688) |
| Observations | 9728 | 4113 | 3154 | 2461 |
| R-squared | 0.4081 | 0.5277 | 0.4894 | 0.5001 |
| Panel B: Non_SOE | Full sample | Growth | Maturity | Decline |
| Policy | 0.1070 (0.0625) | 0.0649 (0.0550) | 0.3521 *** (0.1075) | 0.0101 (0.0655) |
| Observations | 18,473 | 8941 | 5515 | 4017 |
| R-squared | 0.4183 | 0.5108 | 0.5157 | 0.5114 |
| Year FE | Yes | Yes | Yes | Yes |
| Firm FE | Yes | Yes | Yes | Yes |
| Panel A: HPF | Full Sample | Growth | Maturity | Decline |
|---|---|---|---|---|
| Policy | 0.1139 *** (0.0350) | 0.0364 (0.1017) | 0.3535 ** (0.1481) | 0.1325 ** (0.0500) |
| Observations | 5236 | 2779 | 1491 | 966 |
| R-squared | 0.3310 | 0.4476 | 0.4597 | 0.4117 |
| Panel B: Non-HPF | Full sample | Growth | Maturity | Decline |
| Policy | 0.0285 (0.0673) | −0.0252 (0.0701) | 0.1602 (0.1096) | −0.1396 (0.0987) |
| Observations | 22,965 | 10,702 | 6647 | 5616 |
| R-squared | 0.5351 | 0.6209 | 0.6205 | 0.5613 |
| Year FE | Yes | Yes | Yes | Yes |
| Firm FE | Yes | Yes | Yes | Yes |
| Panel A: HFC | Full Sample | Growth | Maturity | Decline |
|---|---|---|---|---|
| Policy | 0.1730 ** (0.0731) | 0.0828 (0.0756) | 0.3186 *** (0.1115) | 0.1936 * (0.1031) |
| Observations | 14,101 | 6512 | 4730 | 2859 |
| R-squared | 0.3930 | 0.5079 | 0.5031 | 0.4817 |
| Panel B: LFC | Full sample | Growth | Maturity | Decline |
| Policy | 0.0606 (0.1079) | 0.0726 (0.1175) | 0.2065 (0.1343) | 0.1637 (0.1506) |
| Observations | 14,100 | 7757 | 4296 | 2047 |
| R-squared | 0.5700 | 0.6250 | 0.6377 | 0.6573 |
| Year FE | Yes | Yes | Yes | Yes |
| Firm FE | Yes | Yes | Yes | Yes |
| Variables | (1) | (2) | (3) | (4) |
|---|---|---|---|---|
| ESG | ESG | EBM | PSM | |
| Placebo2016 | 0.0853 (0.0725) | |||
| Placebo2015 | 0.0862 (0.0780) | |||
| Policy | 0.3165 *** (0.0631) | 0.3007 *** (0.0693) | ||
| Treatpost | −0.1684 *** | −0.2084 *** | −0.3414 *** | −0.3374 *** |
| (0.0270) | (0.0293) | (0.0295) | (0.0317) | |
| Indpost | −0.2392 *** | −0.2721 *** | −0.4439 *** | −0.4240 *** |
| (0.0561) | (0.0577) | (0.0510) | (0.0454) | |
| Size | −0.0746 *** (0.0113) | −0.0908 *** (0.0123) | −0.1144 *** (0.0227) | −0.0605 ** (0.0256) |
| OPCash | −0.0116 | 0.0478 | −0.0562 | 0.0251 |
| (0.1560) | (0.1540) | (0.1817) | (0.2000) | |
| Fixratio | −0.0021 | 0.0201 | 0.0695 | 0.0004 |
| (0.0976) | (0.0960) | (0.0999) | (0.0981) | |
| ROA | 0.0160 ** | 0.0135 ** | −0.0025 | 0.0034 |
| (0.0064) | (0.0059) | (0.0095) | (0.0089) | |
| ROE | 0.0027 | 0.0024 | 0.0039 * | 0.0035 |
| (0.0021) | (0.0020) | (0.0022) | (0.0024) | |
| Growth | 0.0006 *** | 0.0004 * | 0.0003 | 0.0003 |
| (0.0002) | (0.0002) | (0.0002) | (0.0003) | |
| ShrHold10 | −0.0670 | −0.1453 * | −0.1968 | −0.2114 |
| (0.0774) | (0.0799) | (0.1515) | (0.1445) | |
| Constant | 0.4496 *** | 0.5407 *** | 2.7147 *** | 2.5361 *** |
| (0.0551) | (0.0550) | (0.4729) | (0.4095) | |
| Observations | 17,919 | 17,919 | 28,201 | 12,937 |
| R-squared | 0.5419 | 0.5475 | 0.4115 | 0.4564 |
| Firm FE | Yes | Yes | Yes | Yes |
| Year FE | Yes | Yes | Yes | Yes |
| VARIABLES | (1) | (2) | (3) | (4) |
|---|---|---|---|---|
| ESG | ESG | ESG | ESG | |
| Policy | 0.1756 *** | 0.1768 | 0.0590 ** | 0.4305 ** |
| (0.0844) | (0.0915) | (0.0237) | (0.2037) | |
| Treatpost | −0.0029) | −0.0084 | −0.0732 | 0.0344 |
| (0.0258) | (0.0389) | (0.0780) | (0.0582) | |
| Indpost | −0.1443 ** | −0.1524 ** | 0.0429 | −0.2445 |
| (0.0643) | (0.0719) | (0.0979) | (0.1525) | |
| Size | 0.8673 | 0.4205 | 3.1239 ** | 2.5942 |
| (0.7516) | (1.0439) | (1.4112) | (1.6505) | |
| Fixratio | −0.2269 | −0.1941 | −0.3897 * | −0.1620 |
| (0.1671) | (0.1934) | (0.2264) | (0.3557) | |
| ROA | 0.4054 | 0.8346 | 0.6652 | −1.0223 |
| (0.9851) | (1.0247) | (2.5811) | (1.5656) | |
| ROE | −0.2126 | −0.3582 | −0.1128 | 0.1741 |
| (0.3764) | (0.4626) | (1.2350) | (0.6795) | |
| Growth | −0.0443 | −0.0043 | −0.0133 | −0.0898 |
| (0.0427) | (0.0533) | (0.0764) | (0.0687) | |
| ShrHold10 | 0.0238 | 0.0043 | 0.3220 | 0.1750 |
| (0.1619) | (0.2163) | (0.4567) | (0.3372) | |
| Constant | −28.8770 ** | −41.6105 ** | −25.2612 | −8.6417 |
| (13.3398) | (19.4546) | (19.4649) | (23.2809) | |
| Observations | 7993 | 4102 | 1444 | 1903 |
| R-squared | 0.4364 | 0.4837 | 0.5319 | 0.5363 |
| Year FE | Yes | Yes | Yes | Yes |
| Firm FE | Yes | Yes | Yes | Yes |
| VARIABLES | (1) | (2) | (3) | (4) |
|---|---|---|---|---|
| Full Sample | Growth | Maturity | Decline | |
| Policy | 0.1766 *** (0.0712) | −0.0383 | 0.1800 ** | 0.1985 *** |
| (0.1018) | (0.0713) | (0.0698) | ||
| Treatpost | −0.2453 *** (0.0209) | −0.1608 *** | −0.2114 *** | −0.3095 *** |
| (0.0298) | (0.0208) | (0.0295) | ||
| Indpost | −0.3498 *** (0.0363) | −0.2870 *** | −0.3115 *** | −0.3503 *** |
| (0.0494) | (0.0502) | (0.0457) | ||
| Size | −0.0746 *** (0.0113) | −0.0263 * | −0.0962 *** | −0.1042 *** |
| (0.0156) | (0.0140) | (0.0269) | ||
| OPCash | 0.0273 (0.1471) | −0.2921 * | 0.0583 | 0.1794 |
| (0.1468) | (0.1683) | (0.2804) | ||
| Fixratio | 0.0235 (0.0799) | −0.1643 | 0.0881 | 0.2934 * |
| (0.1260) | (0.1114) | (0.1499) | ||
| ROA | 0.0019 (0.0046) | 0.0157 ** | 0.0031 | 0.0045 |
| (0.0076) | (0.0058) | (0.0069) | ||
| ROE | 0.0022 (0.0014) | −0.0025 | 0.0016 | 0.0015 |
| (0.0029) | (0.0024) | (0.0023) | ||
| Growth | 0.0003 ** (0.0001) | −0.0000 | −0.0006 ** | −0.0012 ** |
| (0.0002) | (0.0003) | (0.0005) | ||
| ShrHold10 | −0.3824 ** (0.1574) | −0.0673 | −0.1174 | −0.2581 * |
| (0.0933) | (0.1598) | (0.1452) | ||
| Constant | 1.8709 *** (0.2787) | 0.9751 ** | 2.4861 *** | 2.7468 *** |
| (0.3715) | (0.3432) | (0.6429) | ||
| Observations | 28,201 | 8868 | 8771 | 8814 |
| R-squared | 0.4178 | 0.6561 | 0.5430 | 0.4014 |
| Year FE | Yes | Yes | Yes | Yes |
| Firm FE | Yes | Yes | Yes | Yes |
Disclaimer/Publisher’s Note: The statements, opinions and data contained in all publications are solely those of the individual author(s) and contributor(s) and not of MDPI and/or the editor(s). MDPI and/or the editor(s) disclaim responsibility for any injury to people or property resulting from any ideas, methods, instructions or products referred to in the content. |
© 2023 by the authors. Licensee MDPI, Basel, Switzerland. This article is an open access article distributed under the terms and conditions of the Creative Commons Attribution (CC BY) license (https://creativecommons.org/licenses/by/4.0/).
Share and Cite
Jiang, X.; Li, G.; Fan, X. Environmental Protection Fee-to-Tax and Corporate Environmental Social Responsibility: A Test Based on Corporate Life Cycle Theory. Sustainability 2023, 15, 2128. https://doi.org/10.3390/su15032128
Jiang X, Li G, Fan X. Environmental Protection Fee-to-Tax and Corporate Environmental Social Responsibility: A Test Based on Corporate Life Cycle Theory. Sustainability. 2023; 15(3):2128. https://doi.org/10.3390/su15032128
Chicago/Turabian StyleJiang, Xin, Guanglong Li, and Xianxian Fan. 2023. "Environmental Protection Fee-to-Tax and Corporate Environmental Social Responsibility: A Test Based on Corporate Life Cycle Theory" Sustainability 15, no. 3: 2128. https://doi.org/10.3390/su15032128
APA StyleJiang, X., Li, G., & Fan, X. (2023). Environmental Protection Fee-to-Tax and Corporate Environmental Social Responsibility: A Test Based on Corporate Life Cycle Theory. Sustainability, 15(3), 2128. https://doi.org/10.3390/su15032128
