Parametric Reconstruction of Traditional Village Morphology Based on the Space Gene Perspective—The Case Study of Xiaoxi Village in Western Hunan, China
Abstract
1. Introduction
2. Literature Review
3. Materials and Methods
3.1. Village Boundary Demarcation
3.2. Date Collection and Process
3.2.1. Date Collection
3.2.2. Date Process
- The current rural spatial texture morphology is objectively identified and extracted using the acquired satellite image data. It relies on the collaborative work of the ArcGIS software platform in the data processing stage and helps analyze the relationship between spatial texture and its influencing elements;
- The spatial texture that comprehensively controls and expresses the rural spatial structure is parametrically transferred with mathematical statistics methods. By extracting the inner rules and influencing factors of village growth and supported by the quantitative statistical analysis of the research subjects, the “genetic parameters” of the spatial texture of traditional village growth are obtained;
- The obtained spatial texture parameters are substituted into the Cityengine software platform, combined with CGA rule language, to build a complex mathematical relationship model. Based on the traditional spatial morphological features, three-dimensional morphological modeling is carried out. It uses spatial analysis methods to study the root causes of different distribution characteristics and analyzes the spatial distribution of spatial texture quantitative data to ensure the accuracy of the study area.
3.3. Parametric Analysis and Reconstruction Technology Path
- A collection of gene parameters describing the spatial morphology of villages;
- An index system for the dynamic adjustment of spatial gene combination sequences;
- A three-dimensional visualization model of the driving mechanism of spatial gene parameters.
4. Data Pre-Processing and Parametric Parsing
4.1. Traditional Settlements Boundary Demarcation
4.2. Road Space Texture Pre-Processing and Parametric Parsing
4.2.1. Road Space Texture Pre-Treatment
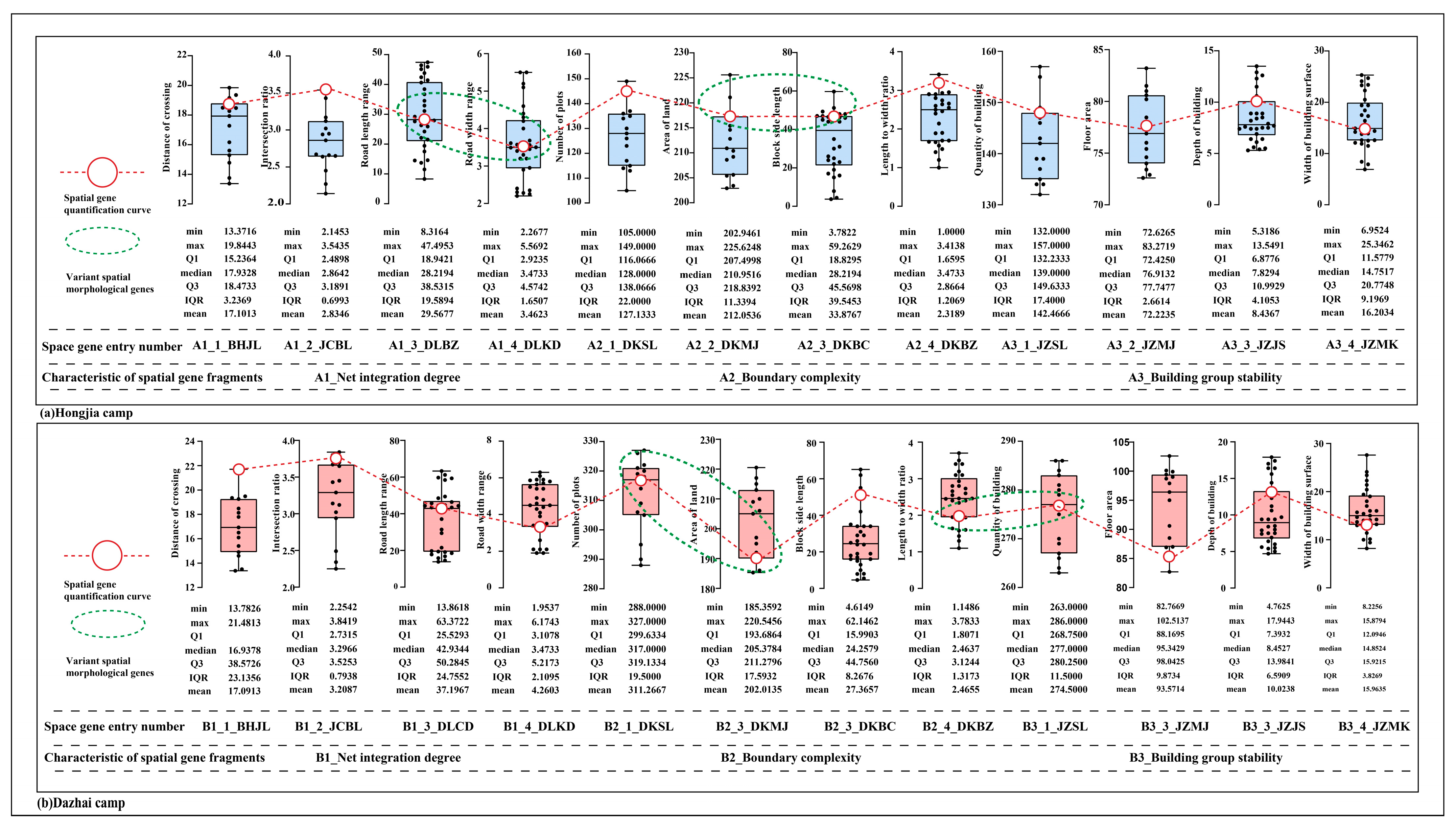
4.2.2. Road Space Gene Parameterization Parsing
4.3. Plots Space Texture Pre-Processing and Parametric Parsing
4.3.1. Plots Space Texture Pre-Treatment
4.3.2. Plots Space Gene Parameterization Parsing
4.4. Architectural Space Texture Pre-Processing and Parametric Parsing
4.4.1. Architectural Space Texture Pre-Treatment
4.4.2. Architectural Space Gene Parameterization Parsing
5. Traditional Village Spatial Texture Reconstruction by Parametric
5.1. Parametric Reconstruction of Road Space Texture
- First, modern villagers’ demands are taken into consideration while optimizing the “parameter values” that were discovered via the investigation of the current scenario;
- Second, the extracted spatial texture is re-associated with the translated parameters;
- Third, substituted into the spatial texture modeling module to generate the road spatial texture model;
- Finally, the spatial texture of the road before and after the reconstruction was evaluated for similarity.
5.2. Parametric Reconstruction of Block Space Texture
- First, determine each plot group according to the road spatial texture generated by the parameters, the settlement boundary, and the natural boundary within the boundary;
- Second, integrate the constituent elements of the spatial plot texture and the constraints between the elements to form a complete plot spatial texture relationship model by writing the CGA rule file;
- Finally, substitute the parameter values obtained in the parametric analysis process into the file. The parameter values obtained in the parametric analysis process are substituted into the CGA rule file, and the CGA file is executed with “Lot” as the object to complete the reconstruction of road spatial texture.
5.3. Parametric Reconstruction of Architectural Space Texture
- First, based on parameters such as the shape and area of the building footprint, as well as the location of the street space, use copying, dividing, offsetting, and other instructions to identify the placement of the building foundation and street space;
- Second, the primary form of the building is constructed by extending, splitting, and dividing the geometric form of the building foundation based on the criteria of building height and number of stories;
- Finally, the building shape is polished and mapped to provide a nuanced portrayal of the texture of the building space.

5.4. Similarity Evaluation System and Construction Guidelines
5.4.1. Similarity Evaluation System
5.4.2. Parametric Results Conversion
Translated into Planning and Design Guidelines
Parametric Simulation Design Solutions
Spatial Genetic Signature Detection
- (1)
- To follow the “genetic” advice of conserving the original look of genetic entries that do not yet have substantial incompatibilities with rural modernization;
- (2)
- Adopt the “repair” guidance of spatial adjustment for spatial problems that appear unreasonable or dilapidated in the bottom-up evolution;
- (3)
- Adopt the “regeneration” guidance of strict control for morphological factors with abnormal values in morphological gene fragment testing, depending on the specific situation.
6. Discussion
7. Conclusions
- (1)
- The Honjia Camp’s roadways are naturally dispersed over the landscape. The roads are lengthy, extensive, and unevenly distributed; the Dazhai Camp is generally straight, but the surrounding countryside is rocky, with rich strata and many “synapses.” The organic distribution along Dazhai Road is relatively straight, rich, “synapse”-less, and long and wide;
- (2)
- The region is irregularly distributed and has more irregular polygons; the central area of Honjia Camp has a high density, and the surrounding terraces have a low density; the terrain is typically adaptable. Dazhai Camp is more consistent in its area distribution, with more roughly rectangular shapes; the population density is low, and the boundaries between groups are vertical;
- (3)
- The smaller size of the Honjia Camp’s building footprint base is a result of the smaller size of the plot. Due to the spatial oppression caused by the high plot density, the depth and breadth of the buildings are minimized, and the base plans are often square. The unique terrain of the Dazhai Camp dictates that the structures be spacious in all directions, with rectangular footings that maximize natural lighting.
Author Contributions
Funding
Institutional Review Board Statement
Informed Consent Statement
Data Availability Statement
Conflicts of Interest
References
- Hu, B.; Li, X.; Wang, X.; Wang, S.; Wu, C. Blue Book of Chinese Traditional Villages: Investigation Report on the Protection of Chinese Traditional Villages; Social Sciences Academic Press: Beijing, China, 2017. (In Chinese) [Google Scholar]
- Long, H.; Tu, S.; Ge, D.; Li, T.; Liu, Y. The allocation and management of critical resources in rural China under restructuring: Problems and prospects. J. Rural Stud. 2016, 47, 392–412. [Google Scholar] [CrossRef]
- Zang, X.; Wang, Q. The evolution of the urban resilience concept, and its research contents and development trend. Sci. Technol. Rev. 2019, 37, 94–104. [Google Scholar]
- Wang, Y.; Yuan, Q. Inheritance and optimization of rural space feature based on the application of morphological gene bank: The case of rural settlements in Heilongjiang Province. Planners 2021, 37, 84–92. [Google Scholar]
- Zhao, M. Study on Spatial Gene Diversity of Traditional Villages in Central Guizhou; Guizhou University: Guiyang, China, 2020. (In Chinese) [Google Scholar]
- Duan, J.; Shao, R.; Lan, W.; Liu, J.; Jiang, Y. Space gene. City Plan. Rev. 2019, 43, 14–21. [Google Scholar]
- Duan, J.; Jiang, Y.; Li, Y.; Lan, W. Space Gene: Connotation and functional mechanism. City Plan. Rev. 2022, 46, 7–14. [Google Scholar]
- Tang, D.; Li, B.; Qiu, Y.; Zhao, L. Research on urban and rural coordination development and Its driving force based on the Space-time evolvement taking Guangdong Province as an example. Land 2020, 9, 253. [Google Scholar] [CrossRef]
- Chen, X.; Xie, W.; Li, H. The spatial evolution process, characteristics and driving factors of traditional villages from the perspective of the cultural ecosystem: A case study of Chengkan Village. Habitat Int. 2020, 104, 102250. [Google Scholar] [CrossRef]
- Jia, Z.; Gao, M.; Xu, S.; Lyu, Y.; Feng, J.; Zhou, Z.; Yu, T.; Wu, W. Sociocultural vitality versus, regulation policy and tourism development in the preservation of traditional rural landscape: A case from Guizhou, China. Int. J. Sustain. Dev. World Ecol. 2022, 28, 179–192. [Google Scholar] [CrossRef]
- Fan, J. Assessment Guidelines for Resource and Environmental Carrying Capacity and Territorial Development Suitability; China Science Publishing & Media Ltd.: Beijing, China, 2019. (In Chinese) [Google Scholar]
- Ruda, G. Rural buildings and environment. Landsc. Urban Plan. 1998, 41, 93–97. [Google Scholar] [CrossRef]
- Saleh, M.A.E. The decline vs. the rise of architectural and urban forms in the vernacular villages of southwest Saudi Arabia. Build. Environ. 2001, 36, 89–107. [Google Scholar]
- Peng, Y. Analysis on The Landscape of Traditional Villages and Towns; China Architecture & Building Press: Beijing, China, 1992. (In Chinese) [Google Scholar]
- Li, L. Rural Settlement: Form, Type, and Evolution—A Case Study of Jiangnan; Southeast University Press: Jiangsu, China, 2007. (In Chinese) [Google Scholar]
- Liu, P.; Liu, C.; Deng, Y.; Shen, X.; Hu, Z.; Li, B. Study on the identification of Hakka traditional village’s landscape genes and analysis in the perspective of geography. Hum. Geogr. 2009, 24, 40–43. [Google Scholar]
- Liu, P. On Construction and Utilization of Chinese Traditional Settlements Landscape’s Genetic Map; Peking University: Beijing, China, 2011. (In Chinese) [Google Scholar]
- Pu, X.; Dong, Y. Review of quantitative research on the pattern of traditional village settlement in China. Archit. Cult. 2018, 8, 59–61. [Google Scholar]
- Wang, J. Humanism dialysis of traditional settlement’s circumstance form a syntactical perspective. Archit. J. 2010, S1, 58–61. [Google Scholar]
- Pu, X. On Quantitative Research on the Integrated Form of the Two-Dimensional Plan to Traditional Rural Settlement; Zhejiang University: Hangzhou, China, 2012. (In Chinese) [Google Scholar]
- Su, H. Study on the Outer Space of Guizhou Traditional Settlement Building Assisted by Quantitative Method; Tianjin University: Tianjin, China, 2017. (In Chinese) [Google Scholar]
- Zhao, X. Research on Design Strategies of Traditional Village Public Space Based on PLS Behavior Model—Taking Zhenbei Village as an Example; Harbin Institute of Technology: Harbin, China, 2018. (In Chinese) [Google Scholar]
- Liang, W. Research on the Spatial Form of Guangfu Traditional Village Based on Spatial Syntax; Guangzhou University: Guangzhou, China, 2019. (In Chinese) [Google Scholar]
- Zhang, W. Research on Type Identification of Rural Settlements Boundary and Correlation of Driving Factors: Case Study of Yixing, Jiangsu Province; Southeast University: Nanjing, China, 2019. (In Chinese) [Google Scholar]
- Song, L. Study on Spatial Form of Traditional Villages in Liaoning Province from Perspective of Spatial Heterogeneity; Dalian University of Technology: Dalian, China, 2021. (In Chinese) [Google Scholar]
- Jiang, Y. Research on Space form of the traditional settlement of Sanzhou village—Based on fractal theory. Fujian Archit. Constr. 2011, 5, 117–120. [Google Scholar]
- Du, R. The Space Self-organization dynamic model of Huizhou villages. Archit. Cult. 2013, 1, 62–63. [Google Scholar]
- Engelen, G.; White, R. Using Cellular automate for integrated modeling of socio-environmental systems. Environ. Monit. Assess. 1995, 34, 203–214. [Google Scholar] [CrossRef]
- Nie, Z.; Li, N.; Pan, W.; Yang, Y.; Chen, W.; Hong, C. Quantitative research on the form of traditional villages based on the space gene—A case study of Shibadong village in Western Hunan, China. Sustainability 2022, 14, 8965. [Google Scholar] [CrossRef]
- Li, L. Parametric Analysis of Spatial Texture of Mountainous Villages and Its Style Guidance; Guizhou University: Guiyang, China, 2019. (In Chinese) [Google Scholar]
- Li, X. Spatial gene mapping of the dong settlement in Tongdao, Hunan. South Archit. 2020, 2, 89–96. [Google Scholar]
- Hu, Z.; Josef, S.; Min, Q.; Tan, M.; Cheng, T. Visualizing the cultural landscape gene of traditional settlements in China: A semiotic perspective. Herit. Sci. 2021, 9, 1. [Google Scholar]
- Tong, L. Parametric Analysis and Reconstruction of Villages’ Spatial Texture and Its Planning Application Research; Zhejiang University: Hangzhou, China, 2016. (In Chinese) [Google Scholar]
- Dong, Y. Quantitative Research on the Border Form of Traditional Rural Settlements—Case Study of Zhejiang Province; Zhejiang University: Hangzhou, China, 2018. (In Chinese) [Google Scholar]
- Lü, J.; Xu, K.; Wang, A. A Study of suitability of settlement space distribution based on quantitative model: A case Study of Jiaohe City, Jilin Province. Urban. Archit. 2017, 7, 112–116. [Google Scholar]
- Li, B.; Chen, T.; Liu, J.; Chen, H. A road Curve Simplification algorithm based on intersection point. Eng. Surv. Mapp. 2017, 7, 1–4+11. [Google Scholar] [CrossRef]
- Sun, C.; Li, Y.; Zhang, Z. The preliminary study of image segmentation based on the Douglas-Peucker Algorithm. Geomat. Spat. Inf. Technol. 2017, 35, 33–38. [Google Scholar]
- Zhou, Y.; Zhao, J.; Zhang, Y. Street interface density and planning control of urban form. City Plan. Rev. 2012, 36, 28–32. [Google Scholar]
- Jiang, Z. A Brief Survey of the Urban road pattern from the angle of morphology. Urban Plan. Int. 2006, 4, 98–103. [Google Scholar]
- Wang, Y. The Concept of Space in Traditional Settlement Structure; China Architecture & Building Press: Beijing, China, 2009. (In Chinese) [Google Scholar]
- Du, J.; Chen, H.; Yu, Y. Research on the spatial evolution of traditional settlements: The case study of Qianzhong Tunpu. Urban Dev. Res. 2017, 24, 47–53. [Google Scholar]
- Stasch, R. The poetics of village space when villages are new: Settlement form as history-making in Papua, Indonesia. Am. Ethnol. 2013, 40, 555–570. [Google Scholar] [CrossRef]
- Berkes, F.; Colding, J.; Folke, C. Rediscovery of traditional ecological knowledge as Adaptive management. Ecol. Appl. 2000, 10, 1251–1262. [Google Scholar] [CrossRef]
- Li, Q.; Long, W.; Huang, L. Genetic identification and feature analysis of architectural landscape in traditional village of Miao ethnic group in Western Hunan. J. Hengyang Norm. Univ. 2020, 41, 6–12. [Google Scholar]
- He, Y.; Sun, L. Research on traditional village courtyard units based on clan structure: Taking the protection Planning of the famous historical and cultural village of Zomatang in Ningbo as an example. J. Archit. 2017, 2, 90–95. [Google Scholar]
- Chen, C.; Li, B.; Yuan, L.; Yu, W. Spatial morphology cognition of traditional village based on space syntax: A case study of Qinchuan village of Hangzhou. Econ. Geogr. 2018, 38, 234–240. [Google Scholar]
- Li, Y.; Zhu, Y.; Zhou, Y.; Sun, Z. Quantitative study of the spatial morphological characteristics of villages based on fractal: Naning village as an example. South Archit. 2020, 5, 64–69. [Google Scholar]
- Cao, W.; Zhu, P. The Quantitative Evaluation of town master planning boundary based on fractal theory. Urban Dev. Stud. 2019, 26, 18–22. [Google Scholar]
- Xu, F.; Yi, Z.; Ye, F. The regionalization of traditional village evaluation and identification index system. Chin. Overseas Archit. 2021, 2, 4–11. [Google Scholar]
- Zhao, Y. Research on ZhaGana’s Traditional Settlements Based on Spatial Syntax; Lanzhou Jiaotong University: Lanzhou, China, 2018. (In Chinese) [Google Scholar]
- Pu, X.; Wang, Z.; Gao, L.; Huang, Q. Study on the ordinal value of directionality of the house plane figure in rural settlement. Archit. J. 2013, 5, 111–115. [Google Scholar]
- Xia, L.; Cheng, W.; Zhao, T. Database-aided landscape style assessment of village settlement in the cold region. Chin. Landsc. Archit. 2017, 33, 99–104. [Google Scholar]
- Du, R. Research on the Evolution of Village Settlement. In Proceedings of the 2017 National Conference on Digital Technologies in Architectural Education, Nanjing, China, 9–10 September 2017; pp. 526–531. [Google Scholar]
- Zhang, X.; Li, J. Research on Exploration and Application of Rural Planning Data Value in Big Data Thoughts—Taking Villages Around Fanjing Mountainous Areas as Examples. J. Hum. Settl. West China 2015, 2, 1–6. [Google Scholar] [CrossRef]
- Wang, Y. An analysis of village planning under the background of new rural construction. Chin. Landsc. J. Guangxi Norm. Univ. 2011, 47, 144–148. [Google Scholar]
- Wang, K.; Zhang, F.; Xu, Y.; Su, Y.; He, J. Discussion on the logic of practical village planning based on rural historical evolution and problem orientation. Chin. J. Agric. Resour. Reg. Plan. 2022, 12, 191–201. [Google Scholar]
- Wang, Y. Research on Rural Settlement Morphological Gene in Heilongjiang Province; Harbin Institute of Technology: Harbin, China, 2021. (In Chinese) [Google Scholar]
- Shen, H.; Chang, J.; You, H. Study on village morphology evolution of Xuzhou City. Mod. Urban Res. 2013, 11, 93–98. [Google Scholar]
- Xu, X.; Liu, J.; Xu, N.; Wang, W.; Yang, H. Quantitative study on the evolution trend and driving factors of typical rural spatial morphology in Southern Jiangsu Province, China. Sustainability 2018, 10, 2392. [Google Scholar] [CrossRef]














| Research Methodology * | Qualitative Research Analysis | Quantitative Research Analysis | |||
|---|---|---|---|---|---|
| Qualitative Text Description Summary | Explanation of Characteristic Element Symbols | Spatial Syntax | Nonlinear Science | Simple Parametric Refactoring | |
| Specific methods | Illustration of spatial patterns | Landscape Genetic Mapping | Axial analysis, convex space analysis, view field analysis | Metacellular automata models (CA) | Simple numerical model |
| Global evaluation | General | Moderate | Moderate | General | Moderate |
| Application of the method | Analysis of spatial form components and landscape intention | Analysis of inter-area variability and spatial correlation in settlement landscapes | Analysis of the spatial characteristics of villages about the morphological characteristics of spatial heterogeneity | Adaptation of integrated constraint state integrated city models | Related research is at the initial exploratory stage |
| Overall rating | Stuck at the level of subjective perception, not adapted to the process of the spatial evolution of the countryside | It has already been implemented at the spatial level but is limited to the spatial attributes of the landscape | Limited to pattern summaries and insufficient explanatory research on their causes | Self-organization avoids the influence of subjective factors and improves the accuracy of simulation results | Vital subjective factors and lack of quantitative analysis of the factors influencing the settlement object for a specific geographical area |
| Research Overview | Currently, the mainstream planning model of villages is more often applied to urban planning methods. Accordingly, there is relatively little research literature on the simulation and reconstruction of traditional spatial forms of towns. The methods of reconstructing village spatial texture are also sporadic, and there has yet to be a mature methodological system. | ||||
| Optimization Rules Method | Optimization Rules | Optimization Rules Diagram * |
|---|---|---|
| Property boundary optimization | There is an explicit property rights line (usually with the fence as the carrier), and the property rights line is used to decide (part of the need for verification through site exploration). | ![]() |
| Natural boundary optimization | If there is a clear natural boundary line and the distance between the buildings in the settlement and the natural boundary line is less than 5 m, the village boundary line will be determined along the property boundary; otherwise, it will be determined along the natural boundary line (part of which needs to be verified through on-site exploration). | ![]() |
| Building road optimization | When a road crosses the boundary between two buildings, and the buildings are misaligned, the village boundary should be determined by first considering the interface between the building and road boundaries. | ![]() |
| Category | Definition of Parameters | Parametric Analysis Methods | Road Spatial Gene Extraction Formula or Diagram * |
|---|---|---|---|
| The overall layout of the road system | Road network form | A mixed road network can incorporate three different types of road networks, depending on the properties of the road network. | |
| Road intersections | Capture Distance | The minimum distance between the intersection | |
| Ratio of intersections | Number of major road nodes/intersection nodes | - | |
| Minimum intersection angle | Road intersection statistics minimum angle value | ||
| Maximum intersection angle | Maximum angle value for road intersection statistics | ||
| Road length | Longer road length () | l1, l2, l3 … ln is the length of the single road | |
| Shorter road length () | |||
| Longer road flexibility interval () | |||
| Shorter road flexibility interval () | |||
| Road width | Main road width () | Determining the road class and whether it is a major road | |
| Secondary road width (ws) | ws = Average ws1, ws2 … wsn | ||
| Major road flexibility interval () | |||
| Secondary road flexibility interval (w′s) | |||
| Road deflection angle | The junction angles between roadways | Take the largest value as the “maximum road inclination angle” after counting the lesser angles at the intersection of two roads and removing any extreme values. | |
| Amount of roads | The number of road segments | Total number of roads calculated by the Douglas–Peucker algorithm, which decomposes curved roads into straight sections. | |
| Extracted Content | Extraction Rules | Extraction Diagram * |
|---|---|---|
| Residential units | Where there is a clear fence line division, the dwelling unit is determined according to the extent of the fence line. | ![]() |
| Where there is no fence line division, but the main building and the annex are adjacent to each other in an affiliated relationship. | ![]() | |
| Public Space | The parametric space enclosing the building is divided into two or more groups, and the resulting public space is then divided into pairs. | ![]() |
| Category | Definition of Parameters | Parametric Analysis Methods | Road Spatial Gene Extraction Formula or Diagram * |
|---|---|---|---|
| Plot organization | Skeleton subdivision types | According to the characteristics of the plot cluster type, it is transformed into the plot division method in the spatial gene reconstruction of the plot. | |
| Recursive subdivision types | |||
| Inward regressive subdivision type | |||
| Plot size characteristics | Maximum Plot Size | By eliminating the extreme outliers, the values of the maximum, minimum, and average areas were obtained. The ratio of the number of plots to the area of plots. | |
| Minimum plot size | |||
| Average Plot Size | |||
| Plot Density Distribution | |||
| Geometrical features | The plot’s shortest side | After the highly abnormal values were proposed, the values of the above factors were counted, and the maximum and minimum values were taken. | |
| The plot’s longest side | |||
| The maximum plot length-to-width ratio | |||
| Plot aspect ratios at their lowest | |||
| The maximum off-set angle of the plot | |||
| Plot minimum declination | |||
| Plot orientation features | Plot orientation | The angle value of the inland block direction of each block was calculated, and the minimum value was taken after the extremely abnormal value was eliminated. | |
| Plot adaptation characteristics | Mutual adaptation between the plot and the corresponding terrain | There are four values according to Alignment, Uneven, Minimum, Maximum, and Average. | |
| Extracted Content | Extraction Rules | Extraction Diagram * |
|---|---|---|
| Single building unit | The principle of space regularization of a single building applies to buildings without clear wall lines. | ![]() |
![]() | ||
| Boundary line of building | The spatial optimization of the building boundary line is to facilitate the calculation statistics after reconstruction. | ![]() |
![]() |
| Category | Definition of Parameters | Parametric Analysis Methods | Road Spatial Gene Extraction Formula or Diagram * |
|---|---|---|---|
| Building plan texture | Building footprint shapes | “L”, “hui”, “one” shape | A typological approach to inductive refinement |
| Building footprint proportions | - | - | |
| Building width | Max/min/average percentage | × 100% | |
| Depth of building | Max/min/average percentage | ||
| Building footprint | Building footprint interval distribution | ||
| Street space | - | ||
| Building façade texture | Roof forms | Determining the characteristics of a building’s roof form | Inductive distillation using a typological approach |
| Roof shape type proportions | The proportion of the building occupied by each roof shape type | Number of buildings by roof type divided by the total number of buildings | |
| Roof Texture | The materials and colors used in the roofs of buildings | Constructing a library of corresponding building features by capturing them on site | |
| Wall Texture | The materials and colors used in the walls of the building | Constructing a library of corresponding building features by capturing them on site | |
| Building Height | Height of the main body of the building | × 100% | |
| Probability distribution of roof texture types | Percentage of buildings with each type of roof texture | Number of buildings of each roof texture type divided by the total number of buildings | |
| Probability distribution of building wall textures | Percentage of buildings with each type of wall texture | Number of buildings of each wall texture type divided by the total number of buildings |
| Category | Type | Definition of Parameters | Hongjia Camp | Dazhai Camp |
|---|---|---|---|---|
| The overall layout of the road system | Road network form | Central radial pattern | Central radial pattern | Network pattern |
| Network pattern | ||||
| Characteristics of road organization structure | Road intersections | Capture Distance | 19.8 | 21.7 |
| Intersection ratio | 3.6 | 3.8 | ||
| Minimum intersection angle | 34.8° | 42.6° | ||
| Amount of roads | Amount of road sections | 117 | 164 | |
| Road geometric morphological characteristics | Road length | Longer road length | 47.4 m | 63.3 |
| Longer road flexibility interval | 32.9 m | 44.3 m | ||
| Shorter road length | 14.6 m | 19.7 m | ||
| Shorter road flexibility interval | 8.3 m | 13.8 m | ||
| Road width | Main road width | 5.5 m | 6.3 m | |
| Major road flexibility interval | 3.4 m | 4.1 m | ||
| Secondary road width | 3.2 m | 3.5 m | ||
| Secondary road flexibility interval | 2.2 m | 1.9 m | ||
| Road deflection angle | Smaller angles of intersection between roads | 107.6° | 119.4° |
| Category | Type | Definition of Parameters | Hongjia Camp | Dazhai Camp | ||||
|---|---|---|---|---|---|---|---|---|
| Characteristics of Organizational structure | Block organization form | Subdivision type of land. The proportion of subdivision types of land | Grid type 54.37% | Retreat type 27.82 | Skeleton type 17.81% | Grid type 74.65% | Retreat type 9.08% | Skeleton type 16.27% |
| Block structure characteristics | Land leveling mode | Average | Minmum | |||||
| Average plot density | 0.004 | 0.003 | ||||||
| Terrain adaptive calibration of the plot | Higher | Lower | ||||||
| Spatial location of ancestral hall building plot | LotConer | LotConer | ||||||
| Block size characteristics | Maximum plot Size | 1037.1 m2 | 1590.5 m2 | |||||
| Minimum plot size | 37.2 m2 | 45.8 m2 | ||||||
| Average plot Size | 202.9 m2 | 220.5 m2 | ||||||
![]() | ||||||||
| Total number of blocks | A number of various forms of land | 149 | 288 | |||||
| Geometric morphological features | Block side length | The plot’s longest side | 46.2 m | 51.7 m | ||||
| The plot’s shortest side | 3.7 m | 4.6 m | ||||||
| Block length-to-width ratio | The maximum plot length-to-width ratio | 3.41 | 3.74 | |||||
| The minimum plot length-to-width ratio | 1.0 | 1.07 | ||||||
| Block deflection Angle | The plot’s maximum off-set angle | 121.4° | 153.1° | |||||
| The plot’s minimum off-set angle | 28.3° | 33.6° | ||||||
| Category | Type | Definition of Parameters | Hongjia Camp | Dazhai Camp | ||||||
|---|---|---|---|---|---|---|---|---|---|---|
| Building plan texture | Building footprint shapes | Building footprint shapes Building footprint proportions | L 2.73% | hui 1.12% | one 93.17% | An unusual combination 2.98% | L 1.87% | hui 0.18% | one 96.37% | An unusual combination 1.58% |
| The building faces are widely distributed | Maximum building face width | 25.3 | 27.6 | |||||||
| Minimum building face width | 6.9 | 8.2 | ||||||||
| Average building face width | 14.2 | 13.4 | ||||||||
| Building depth distribution | Maximum building depth | 13.5 | 17.9 | |||||||
| Minimum building depth | 5.3 | 4.7 | ||||||||
| Average building depth | 7.4 | 6.9 | ||||||||
| Depth to surface width ratio interval | [0.4–0.7] | [0.2–0.7] | ||||||||
| Floor area of building | Maximum building base area | 175.8 | 214.8 | |||||||
| Minimum value of building base surface | 36.4 | 32.4 | ||||||||
| Average building base area | 72.6 | 82.7 | ||||||||
| Building façade texture | Building height distribution | Height of one floor | 8.4% | 10.9% | ||||||
| Height of two floor | 79.5% | 67.4% | ||||||||
| Height of three floor | 12.1% | 21.7% | ||||||||
| Roof form | ![]() | |||||||||
| Architecture—street space | The most concessional distance in the street | 0.37 m | 0.41 m | |||||||
| Index Category | Evaluating Indicator | Indicator Description | Indicator Source | Evaluation Purpose |
|---|---|---|---|---|
| Road texture evaluation system | Road density | Classification of building base shape | Euclidean geometry | Verify whether the parameters can effectively reflect the road spatial texture characteristics of the case village |
| Intersection density | Ratio of the number of intersections to the area of villages (Nr./km2) | |||
| Fractal dimension | Fractal dimension at four scale levels of 100-50-25-12.5 | Fractal theory | ||
| Average integration | The higher the integration between roads, the higher the accessibility, and vice versa | Space Syntax | ||
| Average connection value | The higher the connection value between roads, the higher the spatial permeability, and vice versa | |||
| Plot texture evaluation system | Number of parcels | Verify parcel quantity difference | Euclidean geometry | Verify whether the parameters can effectively reflect the spatial texture characteristics of the plot in the case village |
| Average plot area | Verify parcel area difference | |||
| Maximum plot length width ratio | Verify parcel area difference | |||
| Minimum plot length width ratio | ||||
| Architecture texture evaluation system | Number of buildings | Verify building quantity difference | Euclidean geometry | Verify whether the parameters can effectively reflect the architectural space texture characteristics of the case village |
| Average area of building base | Verify the difference of building base area | Euclidean Geometry | ||
| Fractal dimension of building base | Fractal dimension at four scale levels of 100-50-25-12.5 | Fractal theory | ||
| Facade texture visibility | Verify the difference of parcel geometry | CityEngine | ||
| Parameter evaluation criteria | If the comprehensive similarity of various indicators reaches 85%, and the similarity of individual indicators reaches 70%, it means that the characteristics of spatial texture parameters are reasonable. | |||
| Evaluating Indicator * | Index Weight | Hongjia Camp | Dazhai Camp | |||||
|---|---|---|---|---|---|---|---|---|
| Index Value | Reconstruction Value | Similarity | Index Value | Reconstruction Value | Similarity | |||
| Road spatial texture | Road network density | 0.2 | 18.7 km/km2 | 19.2 km/km2 | 97.3% | 25.3 km/km2 | 23.2 km/km2 | 91.6% |
| Road intersection density | 0.2 | 137.3↑/km2 | 152.6↑/km2 | 88.9% | 173.5↑/km2 | 177.8↑/km2 | 97.6% | |
| Fractal dimension | 0.15 | 1.17 | 1.31 | 88.1% | 1.47 | 1.33 | 90.5% | |
| Average integration | 0.15 | 0.64 | 0.53 | 82.8% | 0.66 | 0.72 | 90.9% | |
| Average connection value | 0.15 | 1.65 | 1.71 | 96.4% | 2.15 | 2.04 | 94.8% | |
| Comprehensive similarity | 90.7% | 93.08% | ||||||
| Plot spatial texture | Number of parcels | 0.25 | 149 | 126 | 84.6% | 288 | 327 | 86.5% |
| Average plot area | 0.25 | 202.9 m2 | 225.6 m2 | 88.8% | 220.5 m2 | 185.3 m2 | 84.1% | |
| Maximum parcel side length | 0.25 | 46.2 m | 59.7 m | 70.8% | 51.7 m | 65.1 m | 74.1% | |
| Minimum parcel side length | 0.25 | 3.7 m | 4.4 m | 81.1% | 4.6 m | 5.5 m | 80.4% | |
| Comprehensivesimilarity | 81.3% | 81.2% | ||||||
| Architecture spatial texture | Number of buildings | 0.3 | 157 | 132 | 84.1% | 263 | 286 | 91.2% |
| Average area of building | 0.3 | 72.6 m2 | 83.2 m2 | 85.4% | 82.7 m2 | 102.6 m2 | 75.9% | |
| fractal dimension | 0.2 | 1.71 | 1.74 | 98.2% | 1.55 | 1.61 | 96.1% | |
| Facade texture visibility | 0.3 | 10.3% | 9.7% | 94.3% | 11.5 | 10.2% | 88.7% | |
| Comprehensive similarity | 90.5% | 87.9% | ||||||
Disclaimer/Publisher’s Note: The statements, opinions and data contained in all publications are solely those of the individual author(s) and contributor(s) and not of MDPI and/or the editor(s). MDPI and/or the editor(s) disclaim responsibility for any injury to people or property resulting from any ideas, methods, instructions or products referred to in the content. |
© 2023 by the authors. Licensee MDPI, Basel, Switzerland. This article is an open access article distributed under the terms and conditions of the Creative Commons Attribution (CC BY) license (https://creativecommons.org/licenses/by/4.0/).
Share and Cite
Jiang, Y.; Li, N.; Wang, Z. Parametric Reconstruction of Traditional Village Morphology Based on the Space Gene Perspective—The Case Study of Xiaoxi Village in Western Hunan, China. Sustainability 2023, 15, 2088. https://doi.org/10.3390/su15032088
Jiang Y, Li N, Wang Z. Parametric Reconstruction of Traditional Village Morphology Based on the Space Gene Perspective—The Case Study of Xiaoxi Village in Western Hunan, China. Sustainability. 2023; 15(3):2088. https://doi.org/10.3390/su15032088
Chicago/Turabian StyleJiang, Yujie, Ni Li, and Ziyue Wang. 2023. "Parametric Reconstruction of Traditional Village Morphology Based on the Space Gene Perspective—The Case Study of Xiaoxi Village in Western Hunan, China" Sustainability 15, no. 3: 2088. https://doi.org/10.3390/su15032088
APA StyleJiang, Y., Li, N., & Wang, Z. (2023). Parametric Reconstruction of Traditional Village Morphology Based on the Space Gene Perspective—The Case Study of Xiaoxi Village in Western Hunan, China. Sustainability, 15(3), 2088. https://doi.org/10.3390/su15032088












