Agency, Reselling, or Hybrid: Strategic Channel Selection in a Green Supply Chain
Abstract
1. Introduction
- (1)
- When should the manufacturer sell the green product through the hybrid channel?
- (2)
- How do the commission rate and green investment inefficiency affect the channel preference of the online platform and manufacturer?
- (3)
- Can online sales enable the manufacturer and online platform to achieve the win–win outcome?
- (1)
- The interaction of the green investment inefficiency, the commission rate, and the competition intensity determines the manufacturer’s channel preference. Interestingly, the manufacturer prefers the hybrid channel structure when both the green investment inefficiency and commission rate are moderate, and this channel preference changes with the competition intensity;
- (2)
- The online retail platform never prefers the agency channel. In particular, the platform’s optimal channel is reselling if the green investment inefficiency is high (low) and the commission rate is low (high);
- (3)
- A relatively low commission rate leads to a win–win outcome for the platform and manufacturer by selecting the hybrid channel. However, the win–win outcome is less likely to arise in a fierce competition intensity market because fierce competition reduces the flexibility of the hybrid channel.
2. Literature Review
3. Model
4. Equilibrium Decisions and Profits
4.1. Model A
4.2. Model R
4.3. Model D
5. Equilibrium Channel Structure
5.1. For the Equilibrium Decisions
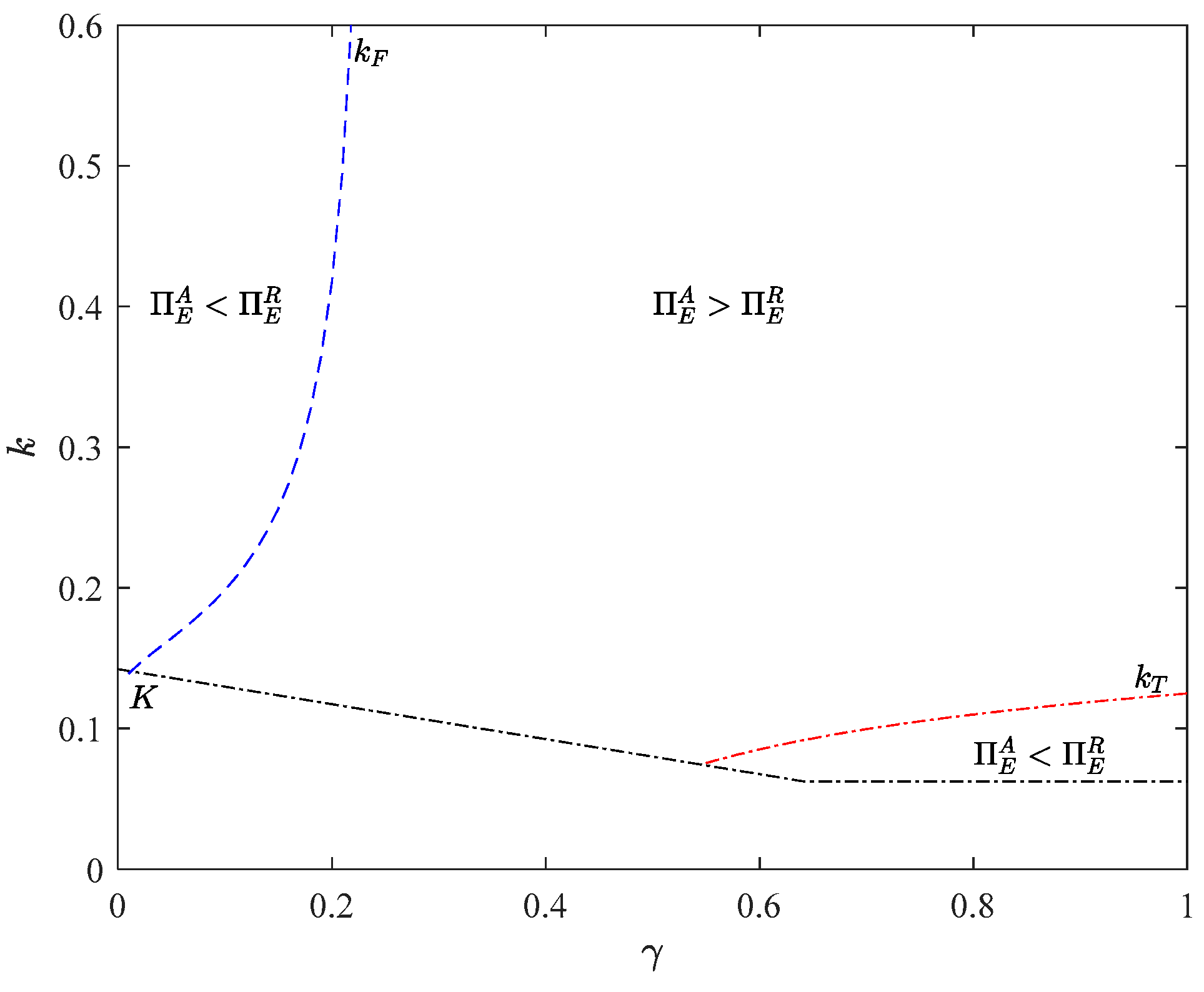
5.2. For the Manufacturer
5.3. For the Platform
5.4. Managerial Implications and Discussion
6. Conclusions
Author Contributions
Funding
Institutional Review Board Statement
Informed Consent Statement
Data Availability Statement
Conflicts of Interest
Appendix A
References
- Annual Net Sales Revenue of Amazon from 2006 to 2021, by Segment. Available online: https://www.statista.com/statistics/266289/net-revenue-of-amazon-by-region/ (accessed on 24 November 2022).
- JD.com Total Net Revenue 2021, by Category. Available online: https://www.statista.com/statistics/1274531/china-jd-com-total-net-revenue-by-sector/ (accessed on 24 November 2022).
- Luo, H.J.; Zhong, L.; Nie, J.J. Quality and distribution channel selection on a hybrid platform. Transp. Res. Part E Logist. Transp. Rev. 2022, 163, 102750. [Google Scholar] [CrossRef]
- Wei, J.; Wang, Y.; Lu, J.H. Information sharing and sales patterns choice in a supply chain with product’s greening improvement. J. Clean. Prod. 2021, 278, 123704. [Google Scholar] [CrossRef]
- Ha, A.Y.; Tong, S.L.; Wang, Y.J. Channel structures of online retail platforms. Manuf. Serv. Oper. Manag. 2022, 24, 1547–1561. [Google Scholar] [CrossRef]
- Abhishek, V.; Jerath, K.; Zhang, Z.J. Agency selling or reselling? Channel structures in electronic retailing. Manag. Sci. 2016, 62, 2259–2280. [Google Scholar] [CrossRef]
- Yan, Y.C.; Zhao, R.Q.; Chen, H.R. Prisoner’s dilemma on competing retailers’ investment in green supply chain management. J. Clean. Prod. 2018, 184, 65–81. [Google Scholar] [CrossRef]
- Griskevicius, V.; Tybur, J.M.; Van den Bergh, B. Going green to be seen: Status, reputation, and conspicuous conservation. J. Personal. Soc. Psychol. 2010, 98, 392–404. [Google Scholar] [CrossRef]
- Shen, Y.; Willems, S.P.; Dai, Y. Channel selection and contracting in the presence of a retail platform. Prod. Oper. Manag. 2019, 28, 1173–1185. [Google Scholar] [CrossRef]
- Ha, A.Y.; Luo, H.J.; Shang, W.X. Supplier encroachment, information sharing, and channel structure in online retail platforms. Prod. Oper. Manag. 2022, 31, 1235–1251. [Google Scholar] [CrossRef]
- Zhang, J.; Wu, D.S. How to design channel structures in the dual-channel supply chain with sequential entry of manufacturers? Comput. Ind. Eng. 2022, 169, 108234. [Google Scholar] [CrossRef]
- Zhu, W.G.; He, Y.J. Green product design in supply chains under competition. Eur. J. Oper. Res. 2017, 258, 165–180. [Google Scholar] [CrossRef]
- Taleizadeh, A.A.; Alizadeh-Basban, N.; Sarker, B.R. Coordinated contracts in a two-echelon green supply chain considering pricing strategy. Comput. Ind. Eng. 2018, 124, 249–275. [Google Scholar] [CrossRef]
- Wong, C.Y.; Wong, C.W.Y.; Boon-itt, S. Effects of green supply chain integration and green innovation on environmental and cost performance. Int. J. Prod. Res. 2020, 58, 4589–4609. [Google Scholar] [CrossRef]
- Kwark, Y.; Chen, J.; Raghunathan, S. Platform or wholesale? A strategic tool for online retailers to benefit from third-party information. Manag. Inf. Syst. Q. 2017, 41, 763–785. [Google Scholar] [CrossRef]
- Tian, L.; Vakharia, A.J.; Tan, Y.; Xu, Y. Marketplace, reseller, or hybrid: Strategic analysis of an emerging e-commerce model. Prod. Oper. Manag. 2018, 27, 1595–1610. [Google Scholar] [CrossRef]
- Tsunoda, Y.; Zennyo, Y. Platform information transparency and effects on third-party suppliers and offline retailers. Prod. Oper. Manag. 2021, 30, 4219–4235. [Google Scholar] [CrossRef]
- Hagiu, A.; Wright, J. Marketplace or reseller? Manag. Sci. 2015, 61, 184–203. [Google Scholar] [CrossRef]
- Tan, Y.L.; Carrillo, J.E. Strategic analysis of the agency model for digital goods. Prod. Oper. Manag. 2017, 26, 724–741. [Google Scholar] [CrossRef]
- Shi, T.Q.; Chhajed, D.; Wan, Z.X.; Liu, Y.C. Distribution channel choice and divisional conflict in remanufacturing operations. Prod. Oper. Manag. 2020, 29, 1702–1719. [Google Scholar] [CrossRef]
- Zhen, X.P.; Xu, S.S. Who should introduce the third-party platform channel under different pricing strategies? Eur. J. Oper. Res. 2022, 229, 168–182. [Google Scholar] [CrossRef]
- Ma, C.; Dai, Y.K.; Li, Z.F. Financing format selection for electronic business platforms with a capital-constrained e-tailer. Transp. Res. Part E Logist. Transp. Rev. 2022, 162, 102720. [Google Scholar] [CrossRef]
- Wang, C.F.; Fan, X.J.; Yin, Z. Financing online retailers: Bank vs. electronic business platform, equilibrium, and coordinating strategy. Eur. J. Oper. Res. 2019, 276, 343–356. [Google Scholar] [CrossRef]
- Gupta, D.; Chen, Y.B. Retailer-direct financing contracts under consignment. Manuf. Serv. Oper. Manag. 2022, 22, 528–544. [Google Scholar] [CrossRef]
- Chiou, T.Y.; Chan, H.K.; Lettice, F.; Chung, S.H. The influence of greening the suppliers and green innovation on environmental performance and competitive advantage in Taiwan. Transp. Res. Part E Logist. Transp. Rev. 2011, 47, 822–836. [Google Scholar] [CrossRef]
- Tseng, M.L.; Wang, R.; Chiu, A.S.F.; Geng, Y.; Lin, Y.H. Improving performance of green innovation practices under uncertainty. J. Clean. Prod. 2013, 40, 71–82. [Google Scholar] [CrossRef]
- Ghosh, D.; Shahb, J. Supply chain analysis under green sensitive consumer demand and cost sharing contract. Int. J. Prod. Econ. 2015, 164, 319–329. [Google Scholar] [CrossRef]
- An, S.M.; Li, B.; Song, D.P.; Chen, X. Green credit financing versus trade credit financing in a supply chain with carbon emission limits. Eur. J. Oper. Res. 2021, 292, 125–142. [Google Scholar] [CrossRef]
- Gao, J.; Xiao, Z.; Wei, H. Competition and coordination in a dual-channel green supply chain with an eco-label policy. Comput. Ind. Eng. 2021, 153, 107057. [Google Scholar] [CrossRef]
- Liu, Z.; Anderson, T.D.; Cruz, J.M. Consumer environmental awareness and competition in two-stage supply chains. Eur. J. Oper. Res. 2012, 218, 602–613. [Google Scholar] [CrossRef]
- Li, J.; Hu, Z.N.; Shi, V.; Wang, Q. Manufacturer’s encroachment strategy with substitutable green products. Int. J. Prod. Econ. 2021, 235, 108102. [Google Scholar] [CrossRef]
- Jin, W.; Ding, W.; Yang, J. Impact of financial incentives on green manufacturing: Loan guarantee vs. interest subsidy. Eur. J. Oper. Res. 2022, 300, 1067–1080. [Google Scholar] [CrossRef]
- Liu, W.H.; Yan, X.Y.; Li, X.; Wei, W.Y. The impacts of market size and data-driven marketing on the sales mode selection in an Internet platform based supply chain. Transp. Res. Part E Logist. Transp. Rev. 2020, 136, 101914. [Google Scholar] [CrossRef]
- Heydari, J.; Govindan, K.; Basiri, Z. Balancing price and green quality in presence of consumer environmental awareness: A green supply chain coordination approach. Int. J. Prod. Res. 2021, 59, 1957–1975. [Google Scholar] [CrossRef]
- Hong, X.P.; Cao, X.L.; Gong, Y.M.; Chen, W.Y. Quality information acquisition and disclosure with green manufacturing in a closed-loop supply chain. Int. J. Prod. Econ. 2021, 232, 107997. [Google Scholar] [CrossRef]
- Awasthy, P.; Gouda, S.; Ghosh, D.; Swami, S. Analyzing product greening spillovers in multi-product markets. Transp. Res. Part E: Logist. Transp. Rev. 2022, 158, 102586. [Google Scholar] [CrossRef]
- Hong, Z.F.; Guo, X.L. Green product supply chain contracts considering environmental responsibilities. Omega 2019, 83, 155–166. [Google Scholar] [CrossRef]








| Relevant Literature | Green Supply Chain | Online Platform (Commission Rate) | Hybrid Channel | Competition Intensity |
|---|---|---|---|---|
| Ha et al. (2022) [5] | √ | √ | ||
| Tian et al. (2018) [16] | √ | √ | ||
| Zhen and Xu (2022) [21] | √ | √ | ||
| Yan et al. (2018) [7] | √ | √ | ||
| An et al. (2021) [28] | √ | |||
| Li et al. (2021) [31] | √ | |||
| Jin et al. (2022) [32] | √ | |||
| This study | √ | √ | √ | √ |
| Notation | Meaning |
|---|---|
| Commission rate | |
| Wholesale price | |
| The degree of competition intensity | |
| The cost parameter of green effort which reflects the green investment inefficiency | |
| The green effort | |
| The consumer’s green awareness sensitivity | |
| Manufacturer’s quantity | |
| Platform’s quantity | |
| Profit of the manufacturer | |
| Profit of the platform |
Disclaimer/Publisher’s Note: The statements, opinions and data contained in all publications are solely those of the individual author(s) and contributor(s) and not of MDPI and/or the editor(s). MDPI and/or the editor(s) disclaim responsibility for any injury to people or property resulting from any ideas, methods, instructions or products referred to in the content. |
© 2023 by the authors. Licensee MDPI, Basel, Switzerland. This article is an open access article distributed under the terms and conditions of the Creative Commons Attribution (CC BY) license (https://creativecommons.org/licenses/by/4.0/).
Share and Cite
Fu, Y.; Wu, J.; Ma, C.; Fu, X. Agency, Reselling, or Hybrid: Strategic Channel Selection in a Green Supply Chain. Sustainability 2023, 15, 2016. https://doi.org/10.3390/su15032016
Fu Y, Wu J, Ma C, Fu X. Agency, Reselling, or Hybrid: Strategic Channel Selection in a Green Supply Chain. Sustainability. 2023; 15(3):2016. https://doi.org/10.3390/su15032016
Chicago/Turabian StyleFu, Yumin, Jianyun Wu, Cheng Ma, and Xiaoyu Fu. 2023. "Agency, Reselling, or Hybrid: Strategic Channel Selection in a Green Supply Chain" Sustainability 15, no. 3: 2016. https://doi.org/10.3390/su15032016
APA StyleFu, Y., Wu, J., Ma, C., & Fu, X. (2023). Agency, Reselling, or Hybrid: Strategic Channel Selection in a Green Supply Chain. Sustainability, 15(3), 2016. https://doi.org/10.3390/su15032016

