Technological Characteristics of Wheat-Fiber-Based Fat Mimetics in Combination with Food Additives
Abstract
1. Introduction
2. Materials and Methods
2.1. Materials
2.2. Microstructure Analysis of Fat Mimetics Fibers
2.3. Preparation of Wheat Fiber Fat Mimetics
2.4. Particle Size Determination
2.5. Rheological Determination
2.6. Textural Determination
2.7. Statistical Analysis
3. Results and Discussion
3.1. Microstructural Characteristics of Wheat Fiber Fat Mimetics
3.2. Particle Size Distribution of Wheat Fiber Fat Mimetic
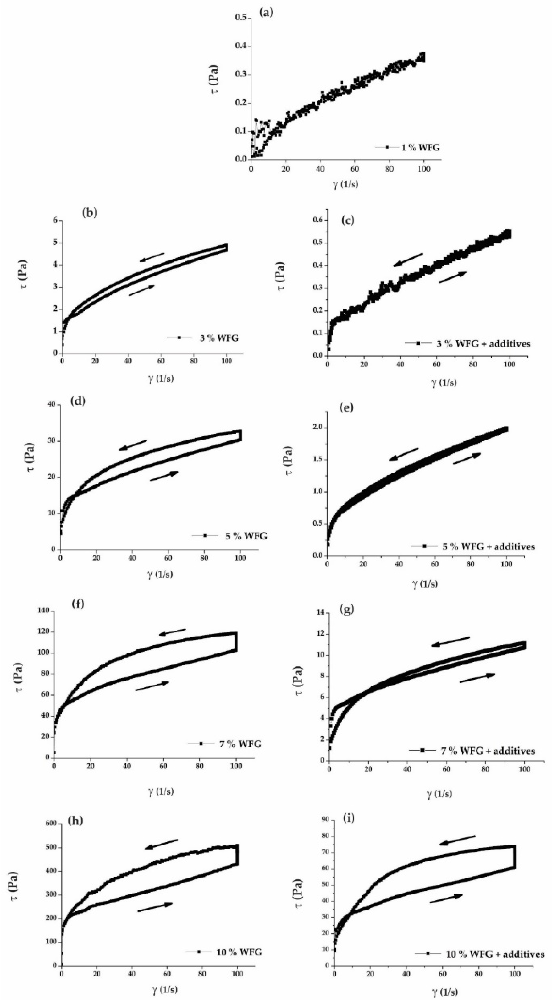
3.3. Rheological Properties of Wheat Fiber Fat Mimetics
Viscoelastic Properties
3.4. Textural Properties of Wheat Fiber Fat Mimetics
4. Conclusions
Author Contributions
Funding
Institutional Review Board Statement
Informed Consent Statement
Data Availability Statement
Acknowledgments
Conflicts of Interest
References
- Jones, A.S. Physical, Chemical and Sensory Aspects of Fat Replacement. In Handbook of Fat Replacers; Roller, S., Jones, S., Eds.; CRC Press: Boca Raton, NY, USA, 1996; Chapter 4. [Google Scholar]
- Cho, S.S.; Prosky, L. Application of complex carbohydrates to food products fat mimetics. In Complex Carbohydrates in Food; Cho, S., Prosky, L., Dreher, M., Eds.; Marcel Dekker Inc.: New York, NY, USA, 1999; pp. 411–429. [Google Scholar]
- Omayma, E.S.; Youssef, M.M. Fat replacers and their applications in food products: A review. J. Food Sci. Tech. 2007, 4, 29–44. [Google Scholar]
- Borderias, A.J.; Sanchez–Alonso, I.; Perez–Mateos, M. New Applications of Fibres in Foods: Addition to Fishery products. Trends Food Sci. Tech. 2005, 16, 458–465. [Google Scholar] [CrossRef]
- Vatanasuchart, N.; Stonsaovapak, S. Oatrim–5 as Fat Substitute in Low Calorie Salad Cream: Nutritional and Microbiological Qualities. Agric. Nat. Resour. 2000, 34, 500–509. [Google Scholar]
- Warner, K.; Inglett, G.E. Flavor and Texture Characteristics of Foods Containing Z-Trim Corn and Oat Fibers as Fat and Flour Replacers. CFW 1997, 42, 821–825. [Google Scholar]
- Yilmaz, I.; Daghoglu, O. The Effect of Replacing Fat with Oat Bran on Fatty Acid Composition and Physicochemical Properties of Meatballs. Meat Sci. 2003, 65, 819–823. [Google Scholar] [CrossRef]
- Choi, Y.S. Characteristics of Low-Fat Meat Emulsion Systems with Pork Fat Replaced by Vegetable Oils and Rice Bran Fiber. Meat Sci. 2009, 82, 266–271. [Google Scholar] [CrossRef]
- Yilmaz, I. Effects of Rye Bran on Fatty Acid Composition and Quality Characteristics of Low-Fat Meatballs. Meat Sci. 2004, 67, 245–249. [Google Scholar] [CrossRef]
- Kalinga, D.; Mishra, K. Rheological and Physical Properties of Low-Fat Cakes Produced by Addition of Cereal β-Glucan Concentrates. J. Food Process Preserv. 2009, 33, 384–400. [Google Scholar] [CrossRef]
- Carreras, B.E.; Belloso, M.O. Influence of the Addition of Peach Dietary Fiber in Composition, Physical Properties and Acceptability of Reduced-Fat Muffins. Food Sci. Techol. Int. 2001, 7, 425–431. [Google Scholar] [CrossRef]
- Seker, I.T.; Gokbulut, I.; Ozturk, S. Utilization of Apricot Kernel Flour as Fat Replacer in Cookies. J. Food Process Preserv. 2010, 34, 15–26. [Google Scholar] [CrossRef]
- Akoh, C.C. Fat replacers. Food Technol.–Chic. 1998, 52, 47–53. [Google Scholar]
- Ognen, C.F.; Darie, N.; Ognean, M. Fat Replacers. J. Agroaliment. Process Technol. 2006, 12, 433–442. [Google Scholar]
- BeMiller, J.N. Carbohydrate Chemistry for Food Scientists; AACC International: Eagan, MN, USA, 2007; pp. 222–243. [Google Scholar]
- Humphreys, W.M. Fiber–Based Fat Mimetics: Microcrystalline Cellulose. In Handbook of Fat Replacers; Chapter 7A; Roller, S., Jones, S., Eds.; CRC Press: New York, NY, USA; Boca Raton, FA, USA, 1996. [Google Scholar]
- Avramenko, V.; Kraslawski, A. Product design: Food product formulation. In Case Based Design: Applications in Process Engineering; Springer: Berlin/Heidelberg, Germany, 2008; pp. 109–116. [Google Scholar] [CrossRef]
- Konzervansi, Uvod i Klasifikacija. Available online: https://www.tehnologijahrane.com/enciklopedija/konzervansi-uvod-i-podela (accessed on 2 December 2022).
- Available online: https://www.paragraf.rs/propisi/pravilnik-o-prehrambenim-aditivima-republike-srbije.html (accessed on 29 November 2022).
- Rudrarajua, V.S.; Wyandtb, C.M. Rheological characterization of Microcrystalline Cellulose/Sodiumcarboxymethyl cellulose hydrogels using a controlled stress rheometer: Part I. Int. J. Pharmaceut. 2005, 292, 53–61. [Google Scholar] [CrossRef] [PubMed]
- Nikolić, I.; Dokić, L.; Rakić, D.; Tomović, V.; Maravić, N.; Vidosavljević, S.; Šereš, Z.; Šoronja-Simović, D. The role of two types of continuous phases based on cellulose during textural, color, and sensory characterization of novel food spread with pumpkin seed flour. J. Food Process Preserv. 2018, 42, e13684. [Google Scholar] [CrossRef]
- Mezger, T. The Rheology Handbook: For Users of Rotational and Oscillation Rheometers; Vincentz Verlag: Hanover, Germany, 2002. [Google Scholar]
- Steffe, F.J. Rheological methods in Food Process Engineering, 2nd ed.; Freeman Press: Dallas, TX, USA, 1996. [Google Scholar]
- Sozer, N. Rheological properties of rice pasta dough supplemented with proteins and gums. Food Hydrocoll. 2009, 23, 849–855. [Google Scholar] [CrossRef]
- Vithanage, C.R.; Grimson, M.J.; Smith, B.G. The effect of temperature on the rheology of butter, a spreadable blend and spreads. J. Texture Stud. 2009, 40, 346–369. [Google Scholar] [CrossRef]
- Lazaridou, A.; Biliaderis, C. Gluten–free doughs: Rheological properties, testing procedures–methods and potential problems. In Gluten–Free Food Science and Technology; Gallagher, E., Ed.; Blackwell Publishing Ltd.: Oxford, UK, 2009; pp. 52–83. [Google Scholar]
- Selaković, A.; Nikolić, I.; Dokić, L.; Šoronja-Simović, D.; Šimurina, O.; Zahorec, J.; Šereš, Z. Enhancing rheological performance of laminated dough with whole wheat flour by vital gluten addition. LWT-Food Sci. Technol. 2021, 138, 110604. [Google Scholar] [CrossRef]
- Angioloni, A.; Collar, C. Small and large deformation viscoelastic behaviour of selected fibre blends with gelling properties. Food Hydrocoll. 2009, 23, 742–748. [Google Scholar] [CrossRef]
- Bourne, M.C. Texture, Viscosity and Food. In Food Texture and Viscosity: Concept and Measurement; Chapter 1; Elsevier Science & Technology Books: Amsterdam, The Netherlands, 2002. [Google Scholar]
- TA.HD. Texture Analyser Product Specification; Stable Micro Systems, Ltd.: Godalming Surrey, UK; Vienna, Austria, 2004. [Google Scholar]
- Wang, B.; Wang, L.; Dong, L.; Zhou, Y.; Özkan, N. Shear–thickening properties of waxy maize starch dispersions. J. Food Eng. 2011, 107, 415–423. [Google Scholar] [CrossRef]
- Đaković, L. Koloidna Hemija; Tehnološki fakultet Novi Sad, Univerzitet u Novom Sadu: Novi Sad, Serbia, 1990. [Google Scholar]
- Ghannam, M.T.; Esmail, M.N. Rheological properties of carboxymethyl cellulose. J. Appl. Polym. Sci. 1997, 64, 289–301. [Google Scholar] [CrossRef]
- Luukkonen, P.; Newton, J.M.; Podczeck, F.; Yliruusi, J. Use of a capillary rheometer to evaluate the rheological properties of microcrystalline cellulose and silicified microcrystalline cellulose wet masses. Int. J. Pharm. 2001, 216, 147–157. [Google Scholar] [CrossRef] [PubMed]
- Maache–Rezzoug, Z.; Zarguili, I.; Loisel, C.; Doublier, J.-L. Study of DIC hydrothermal treatment effect on rheological properties of standard maize (SMS), waxy maize (WMS), wheat (WTS) and potato (PTS) starches. J. Food Eng. 2010, 99, 452–458. [Google Scholar] [CrossRef]
- Servais, C.; Jones, R.; Roberts, I. The influence of particle size distribution on the processing of food. J. Food Eng. 2002, 51, 201–208. [Google Scholar] [CrossRef]
- Dokić, L.; Dapčević, T.; Krstonošić, V.; Dokić, P.; Hadnađev, M. Rheological characterization of corn starch isolated by alkali method. Food Hydrocoll. 2010, 24, 172–177. [Google Scholar] [CrossRef]
- Tadros, T. Application of rheology for assessment and prediction of the long–term physical stability of emulsions. Adv. Colloid Interfac. 2004, 108–109, 227–258. [Google Scholar] [CrossRef] [PubMed]
- Tomić, J.; Škrobot, D.; Dapčević-Hadnađev, T.; Maravić, N.; Rakita, S.; Hadnađev, M. Chia Seed Hydrogel as a Solid Fat Replacer and Structure Forming Agent in Gluten-Free Cookies. Gels 2022, 8, 774. [Google Scholar] [CrossRef] [PubMed]
- Luckham, P.F.; Ukeje, M.A. Effect of Particle Size Distribution on the Rheology of Dispersed Systems. J. Colloid Interface Sci. 1999, 220, 347–356. [Google Scholar] [CrossRef]
- Milićević, N.; Sakač, M.; Hadnađev, M.; Škrobot, D.; Šarić, B.; Hadnađev, T.D.; Jovanov, P.; Pezo, L. Physico-chemical properties of low-fat cookies containing wheat and oat bran gels as fat replacers. J. Cereal Sci. 2020, 95, 103056. [Google Scholar] [CrossRef]
- Evageliou, V.; Alevisopoulos, S.; Kasapis, S. Application of stress-controlled analysis to the development of low fat spreads. J. Texture Stud. 1997, 28, 319–335. [Google Scholar] [CrossRef]
- Sánchez-González, I.; Rodríguez–Casado, A.; Careche, M.; Carmona, P. Raman analysis of surimi gelation by addition of wheat dietary fibre. Food Chem. 2009, 112, 162–168. [Google Scholar] [CrossRef]








| Wheat Fiber Fat Mimetic Concentration (%) | Specific Surface Area (m2/g) | Surface Weighted Mean D[3,2] (μm) | Vol. Weighted Mean D[4,3] (μm) | d (0.1) (μm) | d (0.5) (μm) | d (0.9) (μm) | Span | Uniformity | 
|---|---|---|---|---|---|---|---|---|
| 1 | 0.17 | 34.38 | 89.68 | 16.22 | 72.24 | 180.91 | 2.28 | 0.74 | 
| 3 | 0.18 | 33.38 | 86.60 | 15.99 | 72.06 | 180.31 | 2.28 | 0.73 | 
| 5 | 0.18 | 33.94 | 90.89 | 16.51 | 73.05 | 183.46 | 2.28 | 0.74 | 
| 7 | 0.17 | 34.51 | 92.31 | 17.04 | 73.91 | 184.76 | 2.27 | 0.74 | 
| 10 | 0.17 | 34.27 | 90.46 | 17.11 | 73.34 | 180.51 | 2.23 | 0.72 | 
| Wheat Fibers Fat Mimetics without Additives | ||||||||
|---|---|---|---|---|---|---|---|---|
| Ascending Part of Flow Curve | Descending Part of Flow Curve | |||||||
| Wheat Fibers Fat Mimetic Concentration (%) | τ0 ± SD * (Pa) | K ± SD * (Pasn) | n ± SD * | r | τ0 ± SD * (Pa) | K ± SD * (Pasn) | n ± SD * | r | 
| 1 | 0.07 ± 0.00 a | 0.05 ± 0.00 a | 0.93 ± 0.04 e | 0.9856 | 0.04 ± 0.01 a | 0.01 ± 0.00 a | 0.85 ± 0.12 e | 0.9847 | 
| 3 | 0.47 ± 0.06 c | 0.45 ± 0.03 b | 0.48 ± 0.01 c | 0.9951 | 0.66 ± 0.07 c | 0.49 ± 0.03 c | 0.48 ± 0.01 c | 0.9996 | 
| 5 | 4.55 ± 0.44 e | 4.81 ± 0.54 d | 0.37 ± 0.01 b | 0.9932 | 5.39 ± 0.13 d | 4.92 ± 0.49 e | 0.39 ± 0.01 b | 0.9952 | 
| 7 | 5.81 ± 1.43 e | 25.19 ± 1.68 e | 0.29 ± 0.01 a | 0.9919 | 23.97 ± 0.21 f | 17.29 ± 0.68 f | 0.39 ± 0.02 b | 0.9890 | 
| 10 | 36.72 ± 3.74 g | 77.14 ± 3.12 f | 0.34 ± 0.02 b | 0.9763 | 72.38 ± 2.16 g | 50.48 ± 3.22 h | 0.45 ± 0.08 c | 0.9972 | 
| Wheat Fibers Fat Mimetics with Additives | ||||||||
| Ascending Part of Flow Curve | Descending Part of Flow Curve | |||||||
| Wheat Fibres Fat Mimetic Concentration (%) | τ0 ± SD * (Pa) | K ± SD * (Pasn) | n ± SD* | r | τ0 ± SD * (Pa) | K ± SD * (Pasn) | n ± SD * | r | 
| 3 + additives | 0.09 ± 0.03 a | 0.02 ± 0.01 a | 0.71 ± 0.00 d | 0.9955 | 0.08 ± 0.01 a | 0.02 ± 0.00 a | 0.68 ± 0.00 d | 0.9951 | 
| 5 + additives | 0.30 ± 0.02 b | 0.10 ± 0.00 a | 0.61 ± 0.01 d | 0.9990 | 0.24 ± 0.00 b | 0.15 ± 0.00 b | 0.53 ± 0.00 c | 0.9996 | 
| 7 + additives | 2.04 ± 0.04 d | 1.46 ± 0.09 c | 0.38 ± 0.01 b | 0.9906 | 0.87 ± 0.01 c | 2.38 ± 0.01 d | 0.34 ± 0.01 b | 0.9984 | 
| 10 + additives | 16.28 ± 0.95 f | 5.23 ± 0.06 d | 0.46 ± 0.02 c | 0.9954 | 15.66 ± 1.23 e | 30.78 ± 2.64 g | 0.24 ± 0.02 a | 0.9890 | 
| Wheat Fiber Fat Mimetic Concentration (%) | Firmness F1 ± SD (g) | Consistency A1 ± SD (gs) | Cohesiveness F2 ± SD (g) | Index of Viscosity A2 ± SD (gs) | 
|---|---|---|---|---|
| 1 | 17.00 ± 0.07 a | 392.78 ± 1.12 a | −12.18 ± 0.37 a | −1.07 ± 0.06 a | 
| 3 | 16.99 ± 0.17 a | 406.10 ± 3.75 a | −12.48 ± 0.28 a | −1.18 ± 0.04 a | 
| 5 | 19.09 ± 1.38 b | 686.13 ± 4.61 c | −14.37 ± 1.28 b | −2.44 ± 0.21 b | 
| 7 | 45.56 ± 0.18 d | 910.59 ± 14.75 d | −26.63 ± 0.12 d | −54.45 ± 0.10 d | 
| 10 | 46.46 ± 0.26 d | 1368.44 ± 22.49 f | −36.91 ± 0.70 e | −96.10 ± 1.70 f | 
| 5 + additives | 16.32 ± 0.21 a | 420.30 ± 25.44 a | −12.21 ± 1.02 a | −1.26 ± 0.09 a | 
| 7 + additives | 34.19 ± 1.66 c | 506.10 ± 41.10 b | −20.77 ± 2.06 c | −48.65 ± 2.10 c | 
| 10 + additives | 38.83 ± 0.57 c | 1030.97 ± 14.07 e | −28.82 ± 1.68 d | −70.98 ± 6.47 e | 
| Disclaimer/Publisher’s Note: The statements, opinions and data contained in all publications are solely those of the individual author(s) and contributor(s) and not of MDPI and/or the editor(s). MDPI and/or the editor(s) disclaim responsibility for any injury to people or property resulting from any ideas, methods, instructions or products referred to in the content. | 
© 2023 by the authors. Licensee MDPI, Basel, Switzerland. This article is an open access article distributed under the terms and conditions of the Creative Commons Attribution (CC BY) license (https://creativecommons.org/licenses/by/4.0/).
Share and Cite
Nikolić, I.; Pajin, B.; Lončarević, I.; Šubarić, D.; Jozinović, A.; Lončarić, A.; Petrović, J.; Šereš, Z.; Dokić, L.; Šoronja-Simović, D. Technological Characteristics of Wheat-Fiber-Based Fat Mimetics in Combination with Food Additives. Sustainability 2023, 15, 1887. https://doi.org/10.3390/su15031887
Nikolić I, Pajin B, Lončarević I, Šubarić D, Jozinović A, Lončarić A, Petrović J, Šereš Z, Dokić L, Šoronja-Simović D. Technological Characteristics of Wheat-Fiber-Based Fat Mimetics in Combination with Food Additives. Sustainability. 2023; 15(3):1887. https://doi.org/10.3390/su15031887
Chicago/Turabian StyleNikolić, Ivana, Biljana Pajin, Ivana Lončarević, Drago Šubarić, Antun Jozinović, Ante Lončarić, Jovana Petrović, Zita Šereš, Ljubica Dokić, and Dragana Šoronja-Simović. 2023. "Technological Characteristics of Wheat-Fiber-Based Fat Mimetics in Combination with Food Additives" Sustainability 15, no. 3: 1887. https://doi.org/10.3390/su15031887
APA StyleNikolić, I., Pajin, B., Lončarević, I., Šubarić, D., Jozinović, A., Lončarić, A., Petrović, J., Šereš, Z., Dokić, L., & Šoronja-Simović, D. (2023). Technological Characteristics of Wheat-Fiber-Based Fat Mimetics in Combination with Food Additives. Sustainability, 15(3), 1887. https://doi.org/10.3390/su15031887
 
        






 
       