Soil Hydrological Properties’ Response to Long-Term Grazing on a Desert Steppe in Inner Mongolia
Abstract
:1. Introduction
2. Materials and Methods
2.1. Site Description
2.2. Experimental Design and Sampling Method
2.3. Soil Sample Analysis
2.4. Statistical Analysis
3. Results
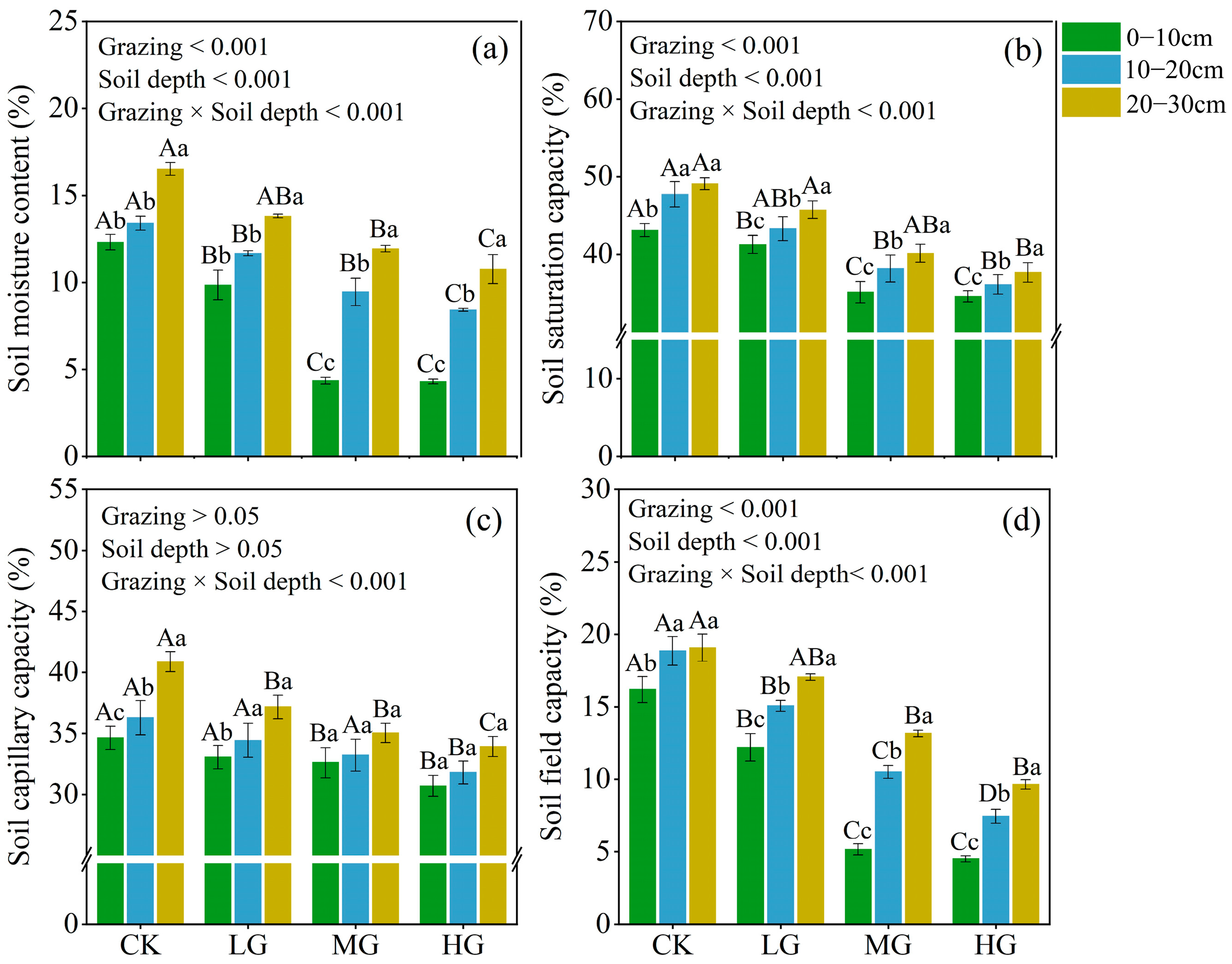
3.1. Effects of Grazing Intensities and Soil Depth on Soil Hydrological Properties
3.2. Correlation of Soil Hydrological Properties at Different Soil Depths
3.3. Soil Nutrients’ Response to Grazing Intensity and Their Relationship with Hydrological Properties
4. Discussion
4.1. Effects of Grazing Intensities on Soil Hydrological Properties
4.2. The Relationships among Different Hydrological Indicators and Their Effects on Grassland Functions
5. Conclusions
Author Contributions
Funding
Institutional Review Board Statement
Informed Consent Statement
Data Availability Statement
Conflicts of Interest
References
- Lin, H. Hydropedology; Academic Press: Cambridge, MA, USA, 2012. [Google Scholar] [CrossRef]
- Green, J.K.; Seneviratne, S.I.; Berg, A.M.; Findell, K.L.; Hagemann, S.; Lawrence, D.M.; Gentine, P. Large influence of soil moisture on long-term terrestrial carbon uptake. Nature 2019, 565, 476–479. [Google Scholar] [CrossRef]
- Qiu, Y.; Fu, B.; Wang, J.; Chen, L. Soil moisture variation in relation to topography and land use in a hillslope catchment of the Loess Plateau, China. J. Hydrol. 2001, 240, 243–263. [Google Scholar] [CrossRef]
- Wu, X.; Dang, X.; Meng, Z.; Fu, D.; Cong, W.; Zhao, F.; Guo, J. Mechanisms of grazing management impact on preferential water flow and infiltration patterns in a semi-arid grassland in northern China. Sci. Total Environ. 2022, 813, 152082. [Google Scholar] [CrossRef]
- Wang, G.; Ding, Y.; Shen, Y.; Lai, Y. Environmental degradation in the Hexi Corridor region of China over the last 50 years and comprehensive mitigation and rehabilitation strategies. Environ. Geol. 2003, 44, 68–77. [Google Scholar] [CrossRef]
- Wang, X.; Cui, Y.; Pan, Y.; Li, X.; Yu, Z.; Young, M.H. Effects of rainfall characteristics on infiltration and redistribution patterns in revegetation-stabilized desert ecosystems. J. Hydrol. 2008, 358, 134–143. [Google Scholar] [CrossRef]
- Wu, G.; Liu, Y.; Yang, Z.; Cui, Z.; Deng, L.; Chang, X.; Shi, Z. Root channels to indicate the increase in soil matrix water infiltration capacity of arid reclaimed mine soils. J. Hydrol. 2017, 546, 133–139. [Google Scholar] [CrossRef]
- Huang, T.; Pang, Z.; Edmunds, W.M. Soil profile evolution following land-use change: Implications for groundwater quantity and quality. Hydrol. Process. 2013, 27, 1238–1252. [Google Scholar] [CrossRef]
- Jia, X.; Shao, M.; Yu, D.; Zhang, Y.; Binley, A. Spatial variations in soil-water carrying capacity of three typical revegetation species on the Loess Plateau, China. Agric. Ecosyst. Environ. 2019, 273, 25–35. [Google Scholar] [CrossRef]
- Zhao, Y.; Peth, S.; Reszkowska, A.; Gan, L.; Krümmelbein, J.; Peng, X.; Horn, R. Response of soil moisture and temperature to grazing intensity in a Leymus chinensis steppe, Inner Mongolia. Plant Soil 2011, 340, 89–102. [Google Scholar] [CrossRef]
- Donovan, M.; Monaghan, R. Impacts of grazing on ground cover, soil physical properties and soil loss via surface erosion: A novel geospatial modelling approach. J. Environ. Manag. 2021, 287, 112206. [Google Scholar] [CrossRef]
- Negrón, M.; López, I.; Dörner, J. Consequences of intensive grazing by dairy cows of contrasting live weights on volcanic ash topsoil structure and pasture dynamics. Soil Tillage Res. 2019, 189, 88–97. [Google Scholar] [CrossRef]
- Zhang, B.; Beck, R.; Pan, Q.; Zhao, M.; Hao, X. Soil physical and chemical properties in response to long-term cattle grazing on sloped rough fescue grassland in the foothills of the Rocky Mountains, Alberta. Geoderma 2019, 346, 75–83. [Google Scholar] [CrossRef]
- Dörner, J.; Dec, D.; Peng, X.; Horn, R. Change of shrinkage behavior of an Andisol in southern Chile: Effects of land use and wetting/drying cycles. Soil Tillage Res. 2009, 106, 45–53. [Google Scholar] [CrossRef]
- Drewry, J.J.; Carrick, S.; Penny, V.; Houlbrooke, D.J.; Laurenson, S.; Mesman, N.L. Effects of irrigation on soil physical properties in predominantly pastoral farming systems: A review. N. Z. J. Agric. Res. 2021, 64, 483–507. [Google Scholar] [CrossRef]
- Lin, L.; Cao, G.; Xu, X.; Li, C.; Fan, B.; Li, B.; Lan, Y.; Si, M.; Dai, L. Changes and relationships between components in the plant-soil system and the dominant plant functional groups in alpine kobresia meadows due to overgrazing. Diversity 2022, 14, 183. [Google Scholar] [CrossRef]
- Niu, Y.; Yang, S.; Zhu, H.; Zhou, J.; Chu, B.; Ma, S.; Hua, R.; Wang, T.; Hua, L. Plant community distribution induced by microtopography due to soil cracks developed in overgrazed alpine meadows on the Tibetan Plateau. Land Degrad. Dev. 2021, 32, 3167–3179. [Google Scholar] [CrossRef]
- Polanía-Hincapié, K.L.; Olaya-Montes, A.; Cherubin, M.R.; Herrera-Valencia, W.; Ortiz-Morea, F.A.; Silva-Olaya, A.M. Soil physical quality responses to silvopastoral implementation in Colombian Amazon. Geoderma 2021, 386, 114900. [Google Scholar] [CrossRef]
- Hou, L.; Xia, F.; Chen, Q.; Huang, J.; He, Y.; Rose, N.; Rozelle, S. Grassland ecological compensation policy in China improves grassland quality and increases herders’ income. Nat. Commun. 2021, 12, 4683. [Google Scholar] [CrossRef]
- Kang, L.; Han, X.; Zhang, Z.; Sun, O.J. Grassland ecosystems in China: Review of current knowledge and research advancement. Philos. Trans. R. Soc. B Biol. Sci. 2007, 362, 997–1008. [Google Scholar] [CrossRef]
- Li, L.H.; Chen, J.Q.; Han, X.G.; Zhang, W.H.; Shao, C.L. Grassland Ecosystems of China; Springer: Berlin/Heidelberg, Germany, 2020. [Google Scholar]
- Nan, Z. The grassland farming system and sustainable agricultural development in China. Grassl. Sci. 2005, 51, 15–19. [Google Scholar] [CrossRef]
- Zhang, R.; Wang, Z.; Han, G.; Schellenberg, M.P.; Wu, Q.; Gu, C. Grazing induced changes in plant diversity is a critical factor controlling grassland productivity in the Desert Steppe, Northern China. Agric. Ecosyst. Environ. 2018, 265, 73–83. [Google Scholar] [CrossRef]
- Wang, B.; Wu, L.; Chen, D.; Wu, Y.; Hu, S.; Li, L.; Bai, Y. Grazing simplifies soil micro-food webs and decouples their relationships with ecosystem functions in grasslands. Glob. Chang. Biol. 2020, 26, 960–970. [Google Scholar] [CrossRef] [PubMed]
- He, M.; Pan, Y.; Zhou, G.; Barry, K.E.; Fu, Y.; Zhou, X. Grazing and global change factors differentially affect biodiversity-ecosystem functioning relationships in grassland ecosystems. Glob. Chang. Biol. 2022, 28, 5492–5504. [Google Scholar] [CrossRef]
- An, H.; Li, G. Effects of grazing on carbon and nitrogen in plants and soils in a semiarid desert grassland, China. J. Arid Land 2015, 7, 341–349. [Google Scholar] [CrossRef]
- Liu, J.; Bian, Z.; Zhang, K.; Ahmad, B.; Khan, A. Effects of different fencing regimes on community structure of degraded desert grasslands on Mu Us desert, China. Ecol. Evol. 2019, 9, 3367–3377. [Google Scholar] [CrossRef]
- Liu, K.; Sollenberger, L.E.; Silveira, M.L.; Newman, Y.C.; Vendramini, J.M.B. Grazing Intensity and Nitrogen Fertilization Affect Litter Responses in ‘Tifton 85’ Bermudagrass Pastures: I. Mass, Deposition Rate, and Chemical Composition. Agron. J. 2011, 103, 156–162. [Google Scholar] [CrossRef]
- Guo, X.; Dai, L.; Li, Q.; Qian, D.; Cao, G.; Zhou, H.; Du, Y. Light grazing significantly reduces soil water storage in alpine grasslands on the Qinghai-Tibet plateau. Sustainability 2020, 12, 2523. [Google Scholar] [CrossRef]
- Odriozola, I.; García-Baquero, G.; Laskurain, N.A.; Aldezabal, A. Livestock grazing modifies the effect of environmental factors on soil temperature and water content in a temperate grassland. Geoderma 2014, 235–236, 347–354. [Google Scholar] [CrossRef]
- Evans, C.R.W.; Krzic, M.; Broersma, K.; Thompson, D.J. Long-term grazing effects on grassland soil properties in southern British Columbia. Can. J. Soil Sci. 2012, 92, 685–693. [Google Scholar] [CrossRef]
- Steffens, M.; Kölbl, A.; Totsche, K.U.; Kögel-Knabner, I. Grazing effects on soil chemical and physical properties in a semiarid steppe of Inner Mongolia (P.R. China). Geoderma 2008, 143, 63–72. [Google Scholar] [CrossRef]
- Miao, R.; Liu, Y.; Wu, L.; Wang, D.; Liu, Y.; Miao, Y.; Yang, Z.; Guo, M.; Ma, J.J.C. Effects of long-term grazing exclusion on plant and soil properties vary with position in dune systems in the Horqin Sandy Land. Catena 2022, 209, 105860. [Google Scholar] [CrossRef]
- Valani, G.P.; Martíni, A.F.; Pezzopane, J.R.M.; Bernardi, A.C.D.C.; Cooper, M. Soil physical quality in the topsoil of integrated and non-integrated grazing systems in a Brazilian Ferralsol. Soil Tillage Res. 2022, 220, 105357. [Google Scholar] [CrossRef]
- Ma, X.; Zhao, Y.; Yang, K.; Ming, J.; Qiao, Y.; Xu, M.; Pan, X. Long-term light grazing does not change soil organic carbon stability and stock in biocrust layer in the hilly regions of drylands. J. Arid Land 2023, 15, 940–959. [Google Scholar] [CrossRef]
- Lai, L.; Kumar, S. A global meta-analysis of livestock grazing impacts on soil properties. PLoS ONE 2020, 15, e236638. [Google Scholar] [CrossRef]
- Dorner, J.; Sandoval, P.; Dec, D. The role of soil structure on the pore functionality of an ultisol. J. Soil Sci. Plant Nutr. 2010, 10, 495–508. [Google Scholar] [CrossRef]
- Houlbrooke, D.J.; Thom, E.R.; Chapman, R.; McLay, C.D.A. A study of the effects of soil bulk density on root and shoot growth of different ryegrass lines. N. Z. J. Agric. Res. 1997, 40, 429–435. [Google Scholar] [CrossRef]
- Hargreaves, P.R.; Baker, K.L.; Graceson, A.; Bonnett, S.; Ball, B.C.; Cloy, J.M. Soil compaction effects on grassland silage yields and soil structure under different levels of compaction over three years. Eur. J. Agron. 2019, 109, 125916. [Google Scholar] [CrossRef]
- Taboada, M.A.; Rubio, G.; Chaneton, E.J. Grazing Impacts on Soil Physical, Chemical, and Ecological Properties in Forage Production Systems. In Soil Management: Building a Stable Base for Agriculture; Wiley Online Library: Hoboken, NJ, USA, 2011; pp. 301–320. [Google Scholar] [CrossRef]




| Indicators | CK | LG | MG | HG |
|---|---|---|---|---|
| SOC (g kg−1) | 16.13 ± 0.24 a | 16.52 ± 0.30 a | 15.35 ± 0.13 b | 15.29 ± 0.20 b |
| STN (g kg−1) | 1.80 ± 0.02 a | 1.76 ± 0.03 a | 1.74 ± 0.03 a | 1.68 ± 0.02 b |
| STP (g kg−1) | 0.52 ± 0.01 a | 0.50 ± 0.01 ab | 0.48 ± 0.01 bc | 0.46 ± 0.01 c |
| DOC(mg g−1) | 86.80 ± 1.75 a | 82.47 ± 1.17 b | 82.44 ± 1.13 b | 63.77 ± 1.34 c |
| SAN(mg kg−1) | 12.92 ± 0.37 a | 11.93 ± 0.28 b | 11.07 ± 0.12 b | 10.16 ± 0.38 c |
| SAP(mg kg−1) | 3.93 ± 0.12 a | 3.43 ± 0.10 b | 3.25 ± 0.09 b | 2.65 ± 0.12 c |
Disclaimer/Publisher’s Note: The statements, opinions and data contained in all publications are solely those of the individual author(s) and contributor(s) and not of MDPI and/or the editor(s). MDPI and/or the editor(s) disclaim responsibility for any injury to people or property resulting from any ideas, methods, instructions or products referred to in the content. |
© 2023 by the authors. Licensee MDPI, Basel, Switzerland. This article is an open access article distributed under the terms and conditions of the Creative Commons Attribution (CC BY) license (https://creativecommons.org/licenses/by/4.0/).
Share and Cite
Lei, L.; Zheng, J.; Li, S.; Yang, L.; Wang, W.; Zhang, F.; Zhang, B. Soil Hydrological Properties’ Response to Long-Term Grazing on a Desert Steppe in Inner Mongolia. Sustainability 2023, 15, 16256. https://doi.org/10.3390/su152316256
Lei L, Zheng J, Li S, Yang L, Wang W, Zhang F, Zhang B. Soil Hydrological Properties’ Response to Long-Term Grazing on a Desert Steppe in Inner Mongolia. Sustainability. 2023; 15(23):16256. https://doi.org/10.3390/su152316256
Chicago/Turabian StyleLei, Lei, Jiahua Zheng, Shaoyu Li, Lishan Yang, Wenqiong Wang, Feng Zhang, and Bin Zhang. 2023. "Soil Hydrological Properties’ Response to Long-Term Grazing on a Desert Steppe in Inner Mongolia" Sustainability 15, no. 23: 16256. https://doi.org/10.3390/su152316256
APA StyleLei, L., Zheng, J., Li, S., Yang, L., Wang, W., Zhang, F., & Zhang, B. (2023). Soil Hydrological Properties’ Response to Long-Term Grazing on a Desert Steppe in Inner Mongolia. Sustainability, 15(23), 16256. https://doi.org/10.3390/su152316256
