The Effects of Air Pollutants on Mortality in the Elderly at Different Ages: A Case of the Prefecture with Most Serious Aging in China
Abstract
:1. Introduction
2. Materials and Methods
2.1. Study Area
2.2. Data Collection
2.3. Statistical Analyses
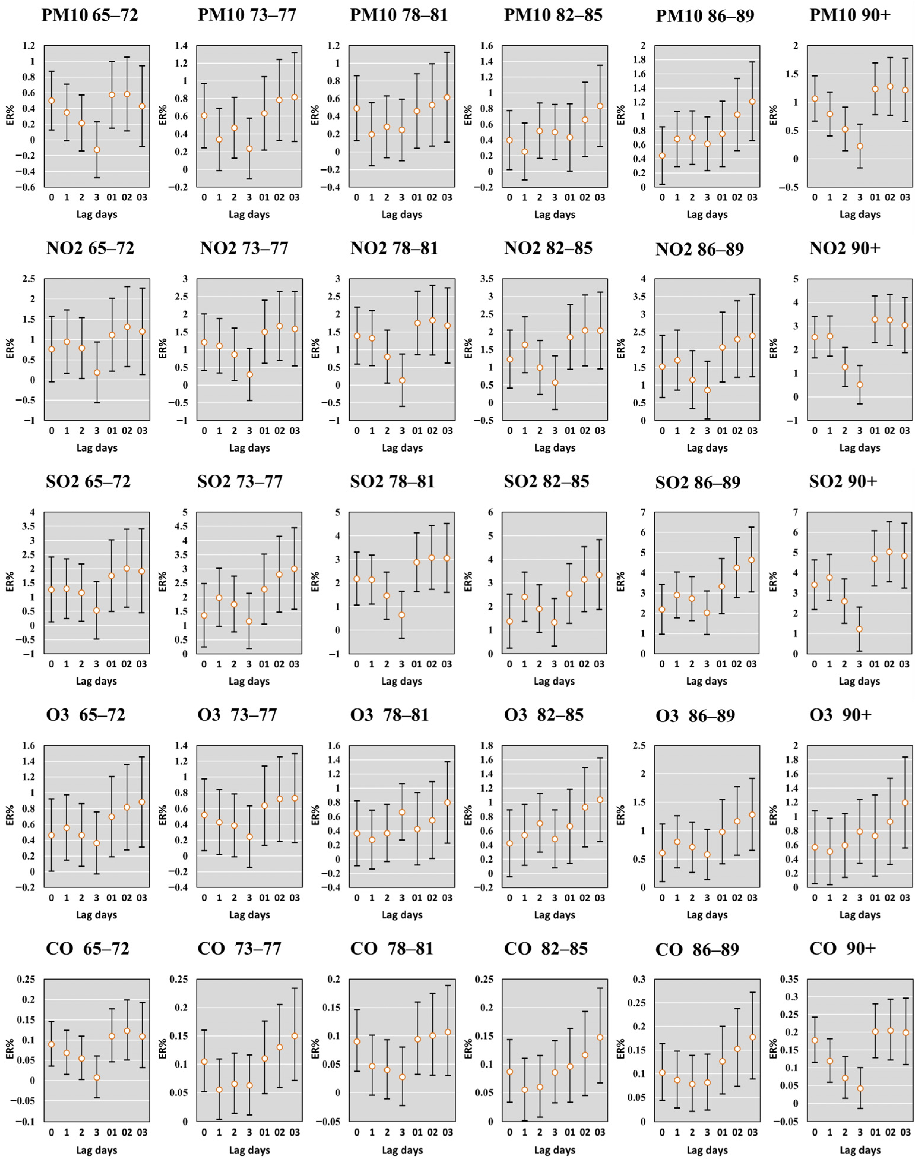
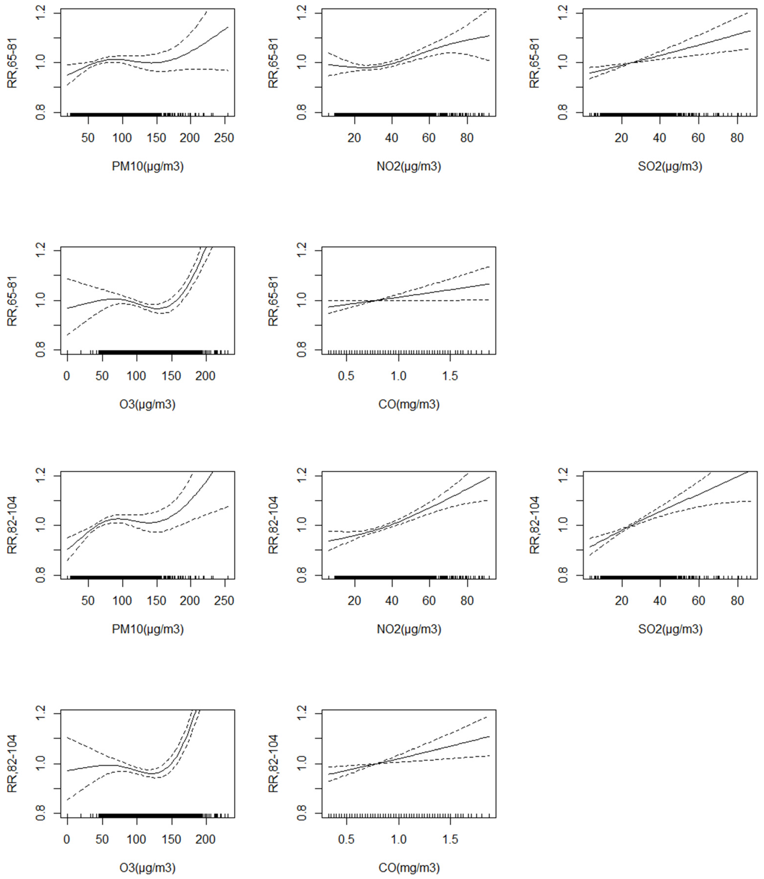
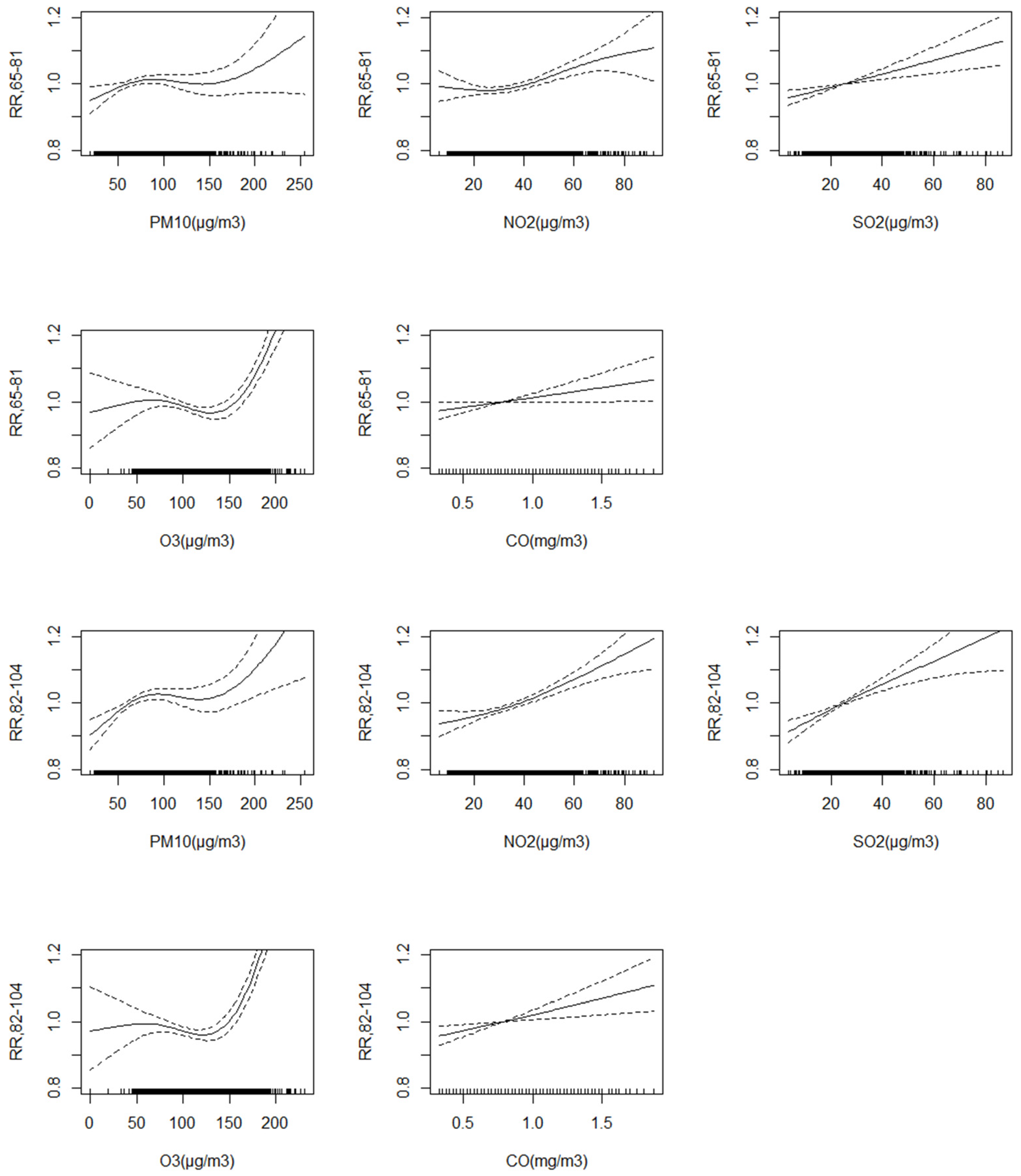
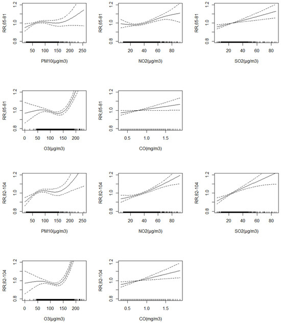
3. Results
3.1. Statistical Analyses
3.2. Effects of Single Air Pollutants
3.3. Synergy Effect with Temperature
4. Discussion
5. Conclusions
Author Contributions
Funding
Institutional Review Board Statement
Informed Consent Statement
Data Availability Statement
Conflicts of Interest
References
- Achilleos, S.; Kioumourtzoglou, M.-A.; Wu, C.-D.; Schwartz, J.D.; Koutrakis, P.; Papatheodorou, S.I. Acute Effects of Fine Particulate Matter Constituents on Mortality: A Systematic Review and Meta-Regression Analysis. Environ. Int. 2017, 109, 89–100. [Google Scholar] [CrossRef]
- Cohen, A.J.; Brauer, M.; Burnett, R.; Anderson, H.R.; Frostad, J.; Estep, K.; Balakrishnan, K.; Brunekreef, B.; Dandona, L.; Dandona, R.; et al. Estimates and 25-Year Trends of the Global Burden of Disease Attributable to Ambient Air Pollution: An Analysis of Data from the Global Burden of Diseases Study 2015. Lancet 2017, 389, 1907–1918. [Google Scholar] [CrossRef]
- Zhou, M.G.; Liu, Y.N.; Wang, L.J.; Kuang, X.Y.; Xu, X.H.; Kan, H.D. Particulate Air Pollution and Mortality in a Cohort of Chinese Men. Environ. Pollut. 2014, 186, 10. [Google Scholar] [CrossRef]
- Zhou, M.G.; Wang, H.D.; Zeng, X.Y.; Yin, P.; Zhu, J.; Chen, W.Q.; Li, X.H.; Wang, L.J.; Wang, L.M.; Liu, Y.N.; et al. Mortality, Morbidity, and Risk Factors in China and Its Provinces, 1990–2017: A Systematic Analysis for the Global Burden of Disease Study 2017. Lancet 2019, 394, 1145–1158. [Google Scholar] [CrossRef]
- Chen, R.J.; Yin, P.; Meng, X.; Liu, C.; Wang, L.J.; Xu, X.H.; Ross, J.A.; Tse, L.A.; Zhao, Z.H.; Kan, H.D.; et al. Fine Particulate Air Pollution and Daily Mortality. A Nationwide Analysis in 272 Chinese Cities. Am. J. Respir. Crit. Care Med. 2017, 196, 73–81. [Google Scholar] [CrossRef]
- Wang, L.J.; Liu, C.; Meng, X.; Niu, Y.; Lin, Z.J.; Liu, Y.N.; Liu, J.M.; Qi, J.L.; You, J.L.; Tse, L.A.; et al. Associations between Short-Term Exposure to Ambient Sulfur Dioxide and Increased Cause-Specific Mortality in 272 Chinese Cities. Environ. Int. 2018, 117, 33–39. [Google Scholar] [CrossRef]
- Liu, C.; Yin, P.; Chen, R.J.; Meng, X.; Wang, L.J.; Niu, Y.; Lin, Z.J.; Liu, Y.N.; Liu, J.M.; Qi, J.L.; et al. Ambient Carbon Monoxide and Cardiovascular Mortality: A Nationwide Time-Series Analysis in 272 Cities in China. Lancet Planet Health 2018, 2, e12–e18. [Google Scholar] [CrossRef]
- Chen, R.J.; Yin, P.; Meng, X.; Wang, L.J.; Liu, C.; Niu, Y.; Lin, Z.J.; Liu, Y.N.; Liu, J.M.; Qi, J.L.; et al. Associations Between Ambient Nitrogen Dioxide and Daily Cause-Specific Mortality: Evidence from 272 Chinese Cities. Epidemiology 2018, 29, 482–489. [Google Scholar] [CrossRef]
- Yin, P.; Chen, R.J.; Wang, L.J.; Meng, X.; Liu, C.; Niu, Y.; Lin, Z.J.; Liu, Y.N.; Liu, J.M.; Qi, J.L.; et al. Ambient Ozone Pollution and Daily Mortality: A Nationwide Study in 272 Chinese Cities. Environ. Health Perspect. 2017, 125, ehp1449. [Google Scholar] [CrossRef]
- Yin, P.; Luo, H.H.; Gao, Y.; Liu, W.; Shi, S.; Li, X.Y.; Meng, X.; Kan, H.D.; Zhou, M.G.; Li, G.L.; et al. Criteria Air Pollutants and Diabetes Mortality Classified by Different Subtypes and Complications: A Nationwide, Case-Crossover Study. J. Hazard. Mater. 2023, 460, 132412. [Google Scholar] [CrossRef]
- Siddika, N.; Rantala, A.K.; Antikainen, H.; Balogun, H.; Amegah, A.K.; Ryti, N.R.I.; Kukkonen, J.; Sofiev, M.; Jaakkola, M.S.; Jaakkola, J.J.K. Synergistic Effects of Prenatal Exposure to Fine Particulate Matter (PM2.5) and Ozone (O3) on the Risk of Preterm Birth: A Population-Based Cohort Study. Environ. Res. 2019, 176, 108549. [Google Scholar] [CrossRef] [PubMed]
- Liu, C.; Chen, R.J.; Sera, F.; Vicedo-Cabrera, A.M.; Guo, Y.M.; Tong, S.L.; Lavigne, E.; Correa, P.M.; Ortega, N.V.; Achilleos, S.; et al. Interactive Effects of Ambient Fine Particulate Matter and Ozone on Daily Mortality in 372 Cities: Two Stage Time Series Analysis. BMJ 2023, 383, e075203. [Google Scholar] [CrossRef] [PubMed]
- Wong, C.M.; Lai, H.K.; Tsang, H.; Thach, T.Q.; Thomas, G.N.; Lam, K.B.H.; Chan, K.P.; Yang, L.; Lau, A.K.H.; Ayres, J.G.; et al. Satellite-Based Estimates of Long-Term Exposure to Fine Particles and Association with Mortality in Elderly Hong Kong Residents. Environ. Health Perspect. 2015, 123, 1167–1172. [Google Scholar] [CrossRef] [PubMed]
- Di, Q.; Dai, L.Z.; Wang, Y.; Zanobetti, A.; Choirat, C.; Schwartz, J.D.; Dominici, F. Association of Short-Term Exposure to Air Pollution with Mortality in Older Adults. JAMA 2017, 318, 2446. [Google Scholar] [CrossRef] [PubMed]
- Bell, M.L.; Zanobetti, A.; Dominici, F. Who Is More Affected by Ozone Pollution? A Systematic Review and Meta-Analysis. Am. J. Epidemiol. 2014, 180, 15–28. [Google Scholar] [CrossRef] [PubMed]
- Burnett, R.T.; Pope, C.A.; Ezzati, M.; Olives, C.; Lim, S.S.; Mehta, S.; Shin, H.H.; Singh, G.; Hubbell, B.; Brauer, M.; et al. An Integrated Risk Function for Estimating the Global Burden of Disease Attributable to Ambient Fine Particulate Matter Exposure. Environ. Health Perspect. 2014, 122, 397–403. [Google Scholar] [CrossRef] [PubMed]
- Brook, R.D.; Rajagopalan, S.; Pope, C.A.; Brook, J.R.; Bhatnagar, A.; Diez-Roux, A.V.; Holguin, F.; Hong, Y.; Luepker, R.V.; Mittleman, M.A.; et al. Particulate Matter Air Pollution and Cardiovascular Disease: An Update to the Scientific Statement from the American Heart Association. Circulation 2010, 121, 2331–2378. [Google Scholar] [CrossRef]
- Gong, T.Y.; Sun, Z.B.; Zhang, X.L.; Zhang, Y.; Wang, S.G.; Han, L.; Zhao, D.L.; Ding, D.P.; Zheng, C.J. Associations of Black Carbon and PM2.5 with Daily Cardiovascular Mortality in Beijing, China. Atmos. Environ. 2019, 214, 116876. [Google Scholar] [CrossRef]
- Yang, J.; Zhou, M.G.; Li, M.M.; Yin, P.; Hu, J.L.; Zhang, C.L.; Wang, H.; Liu, Q.Y.; Wang, B.G. Fine Particulate Matter Constituents and Cause-Specific Mortality in China: A Nationwide Modelling Study. Environ. Int. 2020, 143, 105927. [Google Scholar] [CrossRef]
- Chen, C.; Zhu, P.F.; Lan, L.; Zhou, L.; Liu, R.C.; Sun, Q.H.; Ban, J.; Wang, W.T.; Xu, D.D.; Li, T.T. Short-Term Exposures to PM2.5 and Cause-Specific Mortality of Cardiovascular Health in China. Environ. Res. 2018, 161, 188–194. [Google Scholar] [CrossRef]
- WHO Global Air Quality Guidelines: Particulate Matter (PM2.5 and PM10), Ozone, Nitrogen Dioxide, Sulfur Dioxide and Carbon Monoxide. Available online: https://www.who.int/publications-detail-redirect/9789240034228 (accessed on 21 October 2023).
- Cosselman, K.E.; Navas-Acien, A.; Kaufman, J.D. Environmental Factors in Cardiovascular Disease. Nat. Rev. Cardiol. 2015, 12, 627–642. [Google Scholar] [CrossRef] [PubMed]
- Newby, D.E.; Mannucci, P.M.; Tell, G.S.; Baccarelli, A.A.; Brook, R.D.; Donaldson, K.; Forastiere, F.; Franchini, M.; Franco, O.H.; Graham, I.; et al. Expert Position Paper on Air Pollution and Cardiovascular Disease. Eur. Heart J. 2015, 36, 83–93. [Google Scholar] [CrossRef]
- Rajagopalan, S.; Al-Kindi, S.G.; Brook, R.D. Air Pollution and Cardiovascular Disease. J. Am. Coll. Cardiol. 2018, 72, 2054–2070. [Google Scholar] [CrossRef] [PubMed]
- Costa, A.F.; Hoek, G.; Brunekreef, B.; de Ponce, L.A.C.M. Air Pollution and Deaths among Elderly Residents of São Paulo, Brazil: An Analysis of Mortality Displacement. Environ. Health Perspect. 2017, 125, 349–354. [Google Scholar] [CrossRef] [PubMed]
- Gao, Z.X.; Song, X.L.; Li, S.S.; Lai, X.R.; Yang, Y.L.; Yang, G.; Li, Z.J.; Cui, Y.H.; Pan, H.W. Assessment of DNA Damage and Cell Senescence in Corneal Epithelial Cells Exposed to Airborne Particulate Matter (PM2.5) Collected in Guangzhou, China. Investig. Ophthalmol. Vis. Sci. 2016, 57, 3093. [Google Scholar] [CrossRef]
- Fiordelisi, A.; Piscitelli, P.; Trimarco, B.; Coscioni, E.; Iaccarino, G.; Sorriento, D. The Mechanisms of Air Pollution and Particulate Matter in Cardiovascular Diseases. Heart Fail. Rev. 2017, 22, 337–347. [Google Scholar] [CrossRef]
- Chen, M.D.; Qiu, H.; Wang, L.Y.; Zhou, L.; Zhao, F. Attributable Risk of Cardiovascular Hospital Admissions Due to Coarse Particulate Pollution: A Multi-City Time-Series Analysis in Southwestern China. Atmos. Environ. 2019, 218, 117014. [Google Scholar] [CrossRef]
- Consonni, D.; Carugno, M.; De Matteis, S.; Nordio, F.; Randi, G.; Bazzano, M.; Caporaso, N.E.; Tucker, M.A.; Bertazzi, P.A.; Pesatori, A.C.; et al. Outdoor Particulate Matter (PM10) Exposure and Lung Cancer Risk in the EAGLE Study. PLoS ONE 2018, 13, e0203539. [Google Scholar] [CrossRef]
- Kim, H.B.; Shim, J.Y.; Park, B.; Lee, Y.J. Long-Term Exposure to Air Pollutants and Cancer Mortality: A Meta-Analysis of Cohort Studies. Int. J. Environ. Res. Public Health 2018, 15, 2608. [Google Scholar] [CrossRef]
- Pannullo, F.; Lee, D.; Neal, L.; Dalvi, M.; Agnew, P.; O’Connor, F.M.; Mukhopadhyay, S.; Sahu, S.; Sarran, C. Quantifying the Impact of Current and Future Concentrations of Air Pollutants on Respiratory Disease Risk in England. Environ. Health 2017, 16, 29. [Google Scholar] [CrossRef]
- Li, W.J.; Cao, Y.; Li, R.K.; Ma, X.M.; Chen, J.Y.; Wu, Z.L.; Xu, Q. The Spatial Variation in the Effects of Air Pollution on Cardiovascular Mortality in Beijing, China. J. Expo. Sci. Environ. Epidemiol. 2018, 28, 297–304. [Google Scholar] [CrossRef] [PubMed]
- Bauleo, L.; Bucci, S.; Antonucci, C.; Sozzi, R.; Davoli, M.; Forastiere, F.; Ancona, C. Long-Term Exposure to Air Pollutants from Multiple Sources and Mortality in an Industrial Area: A Cohort Study. Occup. Environ. Med. 2019, 76, 48–57. [Google Scholar] [CrossRef] [PubMed]
- DeVries, R.; Kriebel, D.; Sama, S. Outdoor Air Pollution and COPD-Related Emergency Department Visits, Hospital Admissions, and Mortality: A Meta-Analysis. COPD J. Chronic. Obstr. Pulm. Dis. 2017, 14, 113–121. [Google Scholar] [CrossRef] [PubMed]
- Liu, Y.R.; Wang, Y.R.; Dong, J.Y.; Wang, J.C.; Bao, H.R.; Zhai, G.Y. Association between Air Pollution and Emergency Department Visits for Upper Respiratory Tract Infection in Lanzhou, China. Environ. Sci. Pollut. Res. 2022, 29, 28816–28828. [Google Scholar] [CrossRef]
- Guo, P.; Feng, W.R.; Zheng, M.R.; Lv, J.Y.; Wang, L.; Liu, J.; Zhang, Y.H.; Luo, G.F.; Zhang, Y.T.; Deng, C.Y.; et al. Short-Term Associations of Ambient Air Pollution and Cause-Specific Emergency Department Visits in Guangzhou, China. Sci. Total Environ. 2018, 613–614, 306–313. [Google Scholar] [CrossRef]
- Li, Y.R.; Xiao, C.C.; Li, J.; Tang, J.; Geng, X.Y.; Cui, L.J.; Zhai, J.X. Association between Air Pollution and Upper Respiratory Tract Infection in Hospital Outpatients Aged 0–14 Years in Hefei, China: A Time Series Study. Public Health 2018, 156, 92–100. [Google Scholar] [CrossRef]
- Huang, W.H.; Chen, B.Y.; Kim, H.; Honda, Y.; Guo, Y.L. Significant Effects of Exposure to Relatively Low Level Ozone on Daily Mortality in 17 Cities from Three Eastern Asian Countries. Environ. Res. 2019, 168, 80–84. [Google Scholar] [CrossRef]
- Zhang, Q.L.; Chen, R.J.; Yin, G.J.; Du, X.H.; Meng, X.; Qiu, Y.; Kan, H.D.; Zhou, M.G. The Establishment of a New Air Health Index Integrating the Mortality Risks Due to Ambient Air Pollution and Non-Optimum Temperature. Engineering 2022, 14, 156–162. [Google Scholar] [CrossRef]
- Li, J.; Woodward, A.; Hou, X.Y.; Zhu, T.; Zhang, J.L.; Brown, H.; Yang, J.; Qin, R.N.; Gao, J.H.; Gu, S.H.; et al. Modification of the Effects of Air Pollutants on Mortality by Temperature: A Systematic Review and Meta-Analysis. Sci. Total Environ. 2017, 575, 1556–1570. [Google Scholar] [CrossRef]
- Szyszkowicz, M.; Kousha, T.; Castner, J.; Dales, R. Air Pollution and Emergency Department Visits for Respiratory Diseases: A Multi-City Case Crossover Study. Environ. Res. 2018, 163, 263–269. [Google Scholar] [CrossRef]
- Dong, G.H.; Qian, Z.M.; Wang, J.; Chen, W.Q.; Ma, W.J.; Trevathan, E.; Xaverius, P.K.; DeClue, R.; Wiese, A.; Langston, M.; et al. Associations between Ambient Air Pollution and Prevalence of Stroke and Cardiovascular Diseases in 33 Chinese Communities. Atmos. Environ. 2013, 77, 968–973. [Google Scholar] [CrossRef]
- Zhang, F.X.; Zhang, H.; Wu, C.X.; Zhang, M.X.; Feng, H.; Li, D.J.; Zhu, W. Acute Effects of Ambient Air Pollution on Clinic Visits of College Students for Upper Respiratory Tract Infection in Wuhan, China. Environ. Sci. Pollut. Res. 2021, 28, 29820–29830. [Google Scholar] [CrossRef] [PubMed]






| Air Pollutant | Percentile | Age | Percentile | ||||||||||
|---|---|---|---|---|---|---|---|---|---|---|---|---|---|
| P5 | P25 | P50 | P75 | P95 | P5 | P25 | P50 | P75 | P95 | ||||
| PM2.5 (μg/m3) | 50.80 ± 32.64 | 15 | 28 | 43 | 64 | 113 | 65–72 | 21.0 ± 6.2 | 12 | 17 | 20 | 25 | 32 |
| PM10 (μg/m3) | 78.89 ± 45.39 | 27 | 46 | 68 | 100 | 168 | 73–77 | 18.3 ± 5.6 | 10 | 14 | 18 | 22 | 28 |
| NO2 (μg/m3) | 36.52 ± 20.40 | 12 | 21 | 32 | 47 | 77 | 78–81 | 18.9 ± 6.1 | 11 | 15 | 18 | 23 | 30 |
| SO2 (μg/m3) | 25.56 ± 14.85 | 10 | 16 | 22 | 32 | 55 | 82–85 | 21.5 ± 7.1 | 12 | 16 | 21 | 26 | 35 |
| CO (mg/m3) | 0.789 ± 0.310 | 0.4 | 0.6 | 0.7 | 1 | 1.4 | 86–89 | 19.2 ± 7.1 | 10 | 14 | 18 | 23 | 32 |
| O3 (μg/m3) | 108.2 ± 45.36 | 48 | 76 | 101 | 131 | 201 | 90+ | 19.7 ± 7.7 | 9 | 14 | 18 | 24 | 35 |
| Pollutant | 65–72 | 73–77 | 78–81 | 82–85 | 86–89 | 90+ | |
|---|---|---|---|---|---|---|---|
| PM10 10 μg/m3 | ER (%) | 0.572 | 0.632 | 0.458 | 0.433 | 1.329 | 1.217 |
| 95% CI (%) | 0.148–0.998 | 0.219–1.048 | 0.039–0.879 | 0.006–0.862 | 0.689–1.973 | 0.659–1.778 | |
| p | 0.009 ** | 0.003 ** | 0.033 * | 0.048 * | 0.000 *** | 0.000 *** | |
| NO2 10 μg/m3 | ER (%) | 0.758 | 1.587 | 1.677 | 2.029 | 2.433 | 3.038 |
| 95% CI (%) | −0.049–1.572 | 0.542–2.642 | 0.622–2.743 | 0.953–3.117 | 1.191–3.690 | 1.872–4.217 | |
| p | 0.067 | 0.003 ** | 0.002 ** | 0.000 *** | 0.000 *** | 0.000 *** | |
| SO2 10 μg/m3 | ER (%) | 1.914 | 3.174 | 3.408 | 3.008 | 4.765 | 4.800 |
| 95% CI (%) | 0.455–3.405 | 1.644–4.727 | 1.602–4.515 | 1.473–4.604 | 2.963–6.599 | 3.093–6.535 | |
| p | 0.011 * | 0.000 *** | 0.000 *** | 0.000 *** | 0.000 *** | 0.000 *** | |
| CO 0.1 mg/m3 | ER (%) | 1.090 | 1.501 | 0.940 | 1.462 | 1.938 | 1.989 |
| 95% CI (%) | 0.315–1.922 | 0.661–2.408 | 0.320–1.598 | 0.601–2.392 | 0.925–3.044 | 1.089–2.962 | |
| p | 0.005 ** | 0.000 *** | 0.003 ** | 0.001 *** | 0.000 *** | 0.000 *** | |
| O3 10 μg/m3 | ER (%) | 0.883 | 0.719 | 0.363 | 0.423 | 1.370 | 0.448 |
| 95% CI (%) | 0.314–1.455 | 0.185–1.255 | −0.094–0.822 | −0.047–0.896 | 0.684–2.602 | −0.003–0.902 | |
| p | 0.002 ** | 0.009 ** | 0.122 | 0.080. | 0.000 *** | 0.053 |
Disclaimer/Publisher’s Note: The statements, opinions and data contained in all publications are solely those of the individual author(s) and contributor(s) and not of MDPI and/or the editor(s). MDPI and/or the editor(s) disclaim responsibility for any injury to people or property resulting from any ideas, methods, instructions or products referred to in the content. |
© 2023 by the authors. Licensee MDPI, Basel, Switzerland. This article is an open access article distributed under the terms and conditions of the Creative Commons Attribution (CC BY) license (https://creativecommons.org/licenses/by/4.0/).
Share and Cite
Wang, Y.; Huang, Y.; Li, C. The Effects of Air Pollutants on Mortality in the Elderly at Different Ages: A Case of the Prefecture with Most Serious Aging in China. Sustainability 2023, 15, 15821. https://doi.org/10.3390/su152215821
Wang Y, Huang Y, Li C. The Effects of Air Pollutants on Mortality in the Elderly at Different Ages: A Case of the Prefecture with Most Serious Aging in China. Sustainability. 2023; 15(22):15821. https://doi.org/10.3390/su152215821
Chicago/Turabian StyleWang, Yue, Yi Huang, and Chen Li. 2023. "The Effects of Air Pollutants on Mortality in the Elderly at Different Ages: A Case of the Prefecture with Most Serious Aging in China" Sustainability 15, no. 22: 15821. https://doi.org/10.3390/su152215821
APA StyleWang, Y., Huang, Y., & Li, C. (2023). The Effects of Air Pollutants on Mortality in the Elderly at Different Ages: A Case of the Prefecture with Most Serious Aging in China. Sustainability, 15(22), 15821. https://doi.org/10.3390/su152215821
