Enzyme Activity and Dissolved Organic Carbon Content in Soils Amended with Different Types of Biochar and Exogenous Organic Matter
Abstract
:1. Introduction
2. Materials and Methods
2.1. Soils, Biochars, and Organic Amendments
2.2. Incubation Experiment
2.3. Activity of Enzymes
2.3.1. β-Glucosidase
2.3.2. Dehydrogenase
2.3.3. Cellulase
2.3.4. Dissolved Organic Carbon
2.4. Data Analysis and Visualization
3. Results
3.1. β-Glucosidase Activity
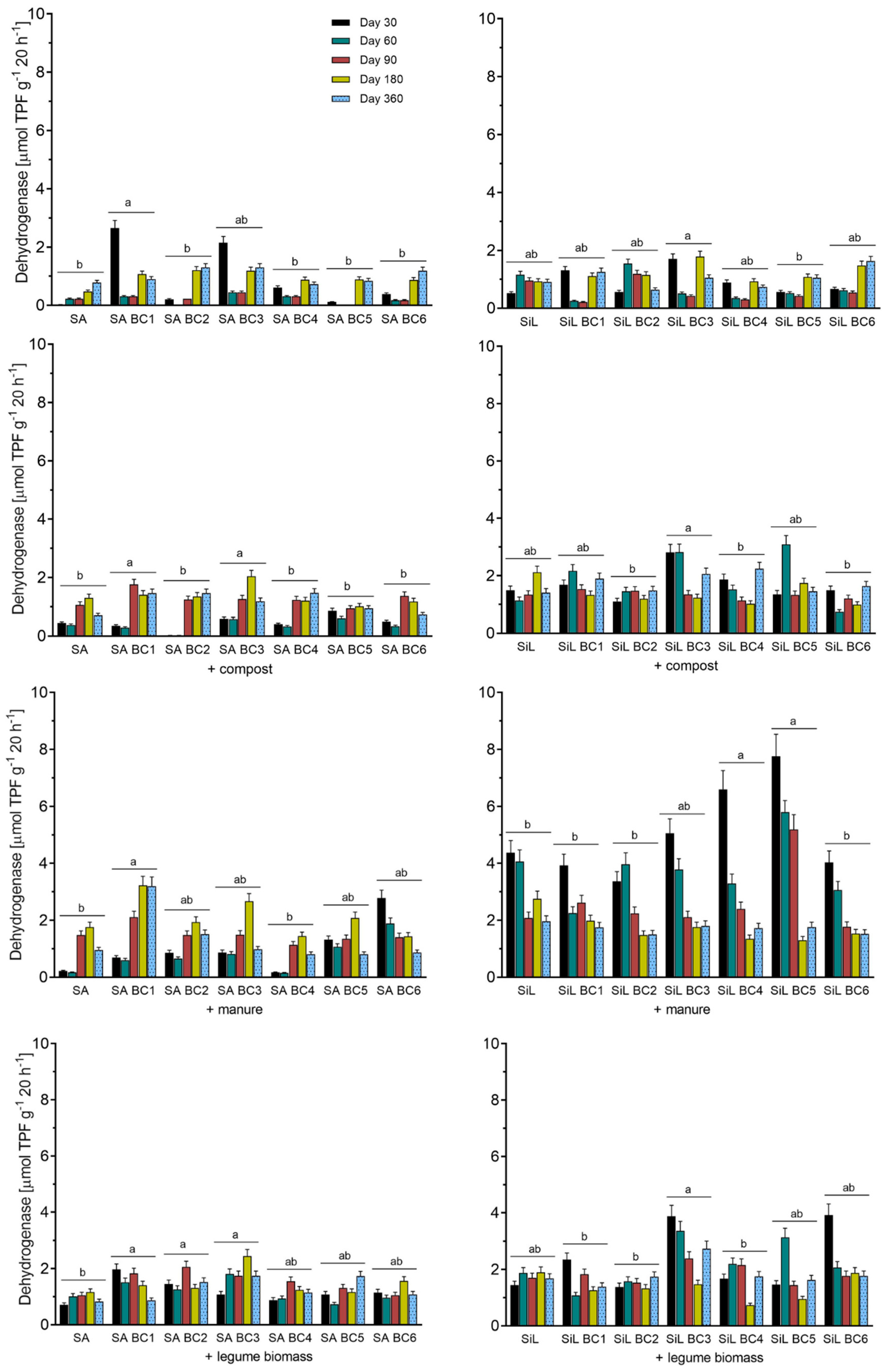
3.2. Dehydrogenase Activity
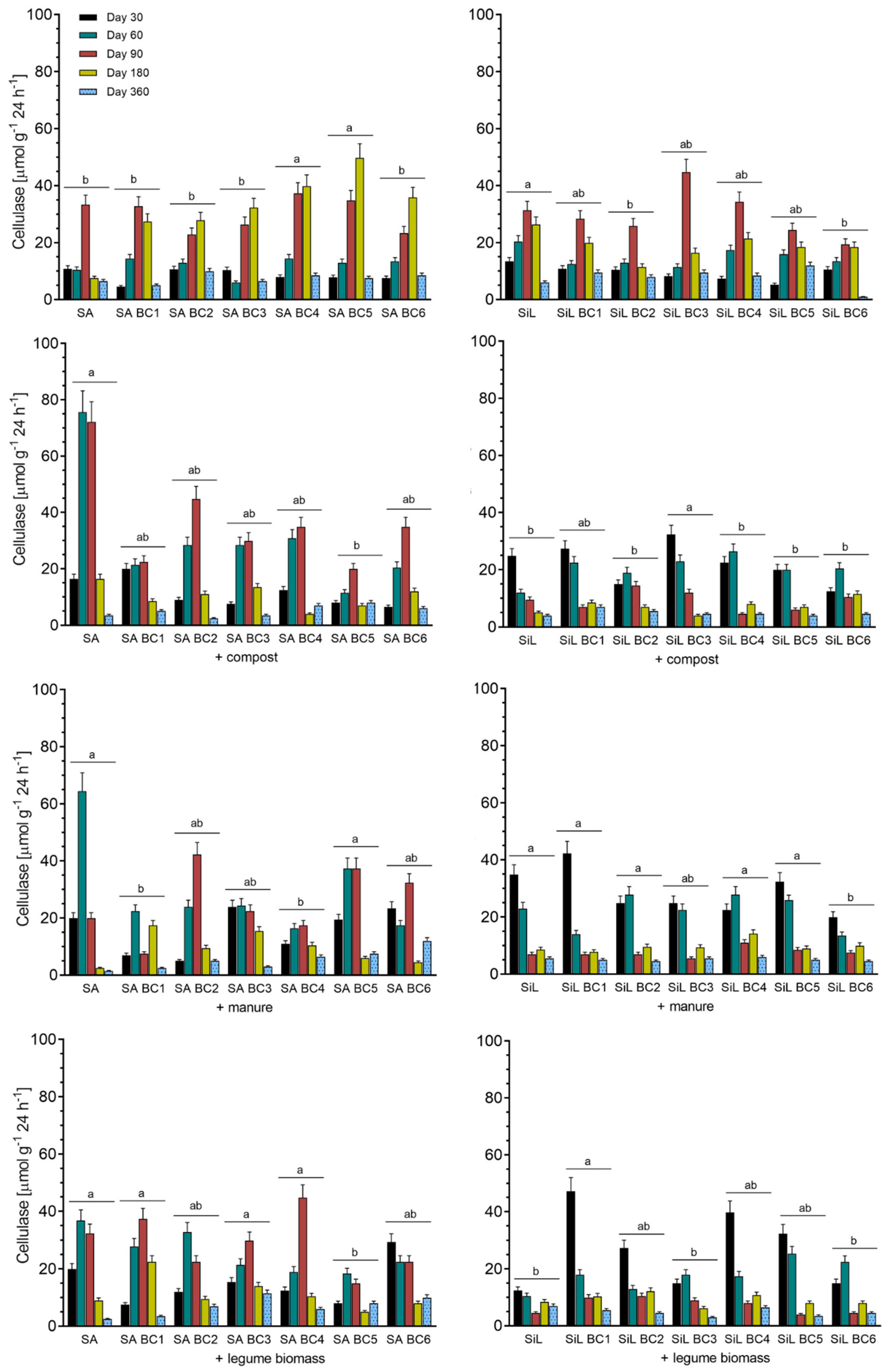
3.3. Cellulase Activity
3.4. Dissolved Organic Carbon
4. Discussion
5. Conclusions
Author Contributions
Funding
Institutional Review Board Statement
Informed Consent Statement
Data Availability Statement
Acknowledgments
Conflicts of Interest
References
- Mona, S.; Malyan, S.K.; Saini, N.; Deepak, B.; Pugazhendhi, A.; Kumar, S.S. Towards Sustainable Agriculture with Carbon Sequestration, and Greenhouse Gas Mitigation Using Algal Biochar. Chemosphere 2021, 275, 129856. [Google Scholar] [CrossRef] [PubMed]
- Hussain, S.; Hussain, S.; Guo, R.; Sarwar, M.; Ren, X.; Krstic, D.; Aslam, Z.; Zulifqar, U.; Rauf, A.; Hano, C.; et al. Carbon Sequestration to Avoid Soil Degradation: A Review on the Role of Conservation Tillage. Plants 2021, 10, 2001. [Google Scholar] [CrossRef] [PubMed]
- Steinbeiss, S.; Gleixner, G.; Antonietti, M. Effect of Biochar Amendment on Soil Carbon Balance and Soil Microbial Activity. Soil Biol. Biochem. 2009, 41, 1301–1310. [Google Scholar] [CrossRef]
- Gross, A.; Bromm, T.; Glaser, B. Soil Organic Carbon Sequestration after Biochar Application: A Global Meta-Analysis. Agronomy 2021, 11, 2474. [Google Scholar] [CrossRef]
- Lehmann, J.; Abiven, S.; Kleber, M.; Pan, G.; Singh, B.; Sohi, S.P.; Zimmerman, A.R. Persistence of Biochar in Soil. In Biochar for Environmental Management: Science, Technology and Implementation; Routledge, Taylor & Francis Group: London, UK; New York, NY, USA, 2015; pp. 267–314. ISBN 978-0-415-70415-1. [Google Scholar]
- Minasny, B.; Malone, B.P.; McBratney, A.B.; Angers, D.A.; Arrouays, D.; Chambers, A.; Chaplot, V.; Chen, Z.-S.; Cheng, K.; Das, B.S.; et al. Soil Carbon 4 per Mille. Geoderma 2017, 292, 59–86. [Google Scholar] [CrossRef]
- Fradette, O.; Marty, C.; Faubert, P.; Dessureault, P.-L.; Paré, M.; Bouchard, S.; Villeneuve, C. Additional Carbon Sequestration Potential of Abandoned Agricultural Land Afforestation in the Boreal Zone: A Modelling Approach. For. Ecol. Manag. 2021, 499, 119565. [Google Scholar] [CrossRef]
- Thibault, M.; Thiffault, E.; Bergeron, Y.; Ouimet, R.; Tremblay, S. Afforestation of Abandoned Agricultural Lands for Carbon Sequestration: How Does It Compare with Natural Succession? Plant Soil 2022, 475, 605–621. [Google Scholar] [CrossRef]
- Kumar, N.; Nath, C.P.; Hazra, K.K.; Das, K.; Venkatesh, M.S.; Singh, M.K.; Singh, S.S.; Praharaj, C.S.; Singh, N.P. Impact of Zero-till Residue Management and Crop Diversification with Legumes on Soil Aggregation and Carbon Sequestration. Soil Tillage Res. 2019, 189, 158–167. [Google Scholar] [CrossRef]
- Wang, H.; Wang, S.; Yu, Q.; Zhang, Y.; Wang, R.; Li, J.; Wang, X. No Tillage Increases Soil Organic Carbon Storage and Decreases Carbon Dioxide Emission in the Crop Residue-Returned Farming System. J. Environ. Manag. 2020, 261, 110261. [Google Scholar] [CrossRef]
- Gupta, D.K.; Gupta, C.K.; Dubey, R.; Fagodiya, R.K.; Sharma, G.; Noor Mohamed, M.B.; Dev, R.; Shukla, A.K. Role of Biochar in Carbon Sequestration and Greenhouse Gas Mitigation. In Biochar Applications in Agriculture and Environment Management; Singh, J.S., Singh, C., Eds.; Springer International Publishing: Cham, Switzerland, 2020; pp. 141–165. ISBN 978-3-030-40996-8. [Google Scholar]
- Smith, P. Soil Carbon Sequestration and Biochar as Negative Emission Technologies. Glob. Chang. Biol. 2016, 22, 1315–1324. [Google Scholar] [CrossRef]
- Glaser, B. Prehistorically Modified Soils of Central Amazonia: A Model for Sustainable Agriculture in the Twenty-First Century. Philos. Trans. R. Soc. B 2007, 362, 187–196. [Google Scholar] [CrossRef] [PubMed]
- Zhang, Y.; Hartemink, A.E.; Huang, J. Spectral Signatures of Soil Horizons and Soil Orders—An Exploratory Study of 270 Soil Profiles. Geoderma 2021, 389, 114961. [Google Scholar] [CrossRef]
- Ahmad Bhat, S.; Kuriqi, A.; Dar, M.U.D.; Bhat, O.; Sammen, S.S.; Towfiqul Islam, A.R.M.; Elbeltagi, A.; Shah, O.; AI-Ansari, N.; Ali, R.; et al. Application of Biochar for Improving Physical, Chemical, and Hydrological Soil Properties: A Systematic Review. Sustainability 2022, 14, 11104. [Google Scholar] [CrossRef]
- Paz-Ferreiro, J.; Lu, H.; Fu, S.; Méndez, A.; Gascó, G. Use of Phytoremediation and Biochar to Remediate Heavy Metal Polluted Soils: A Review. Solid Earth 2014, 5, 65–75. [Google Scholar] [CrossRef]
- Sánchez, E.; Zabaleta, R.; Fabani, M.P.; Rodriguez, R.; Mazza, G. Effects of the Amendment with Almond Shell, Bio-Waste and Almond Shell-Based Biochar on the Quality of Saline-Alkali Soils. J. Environ. Manag. 2022, 318, 115604. [Google Scholar] [CrossRef]
- Zabaleta, R.; Sánchez, E.; Fabani, P.; Mazza, G.; Rodriguez, R. Almond Shell Biochar: Characterization and Application in Soilless Cultivation of Eruca Sativa. Biomass Conv. Bioref. 2023. [Google Scholar] [CrossRef]
- Cheng, L.; Leavitt, S.W.; Kimball, B.A.; Pinter, P.J.; Ottman, M.J.; Matthias, A.; Wall, G.W.; Brooks, T.; Williams, D.G.; Thompson, T.L. Dynamics of Labile and Recalcitrant Soil Carbon Pools in a Sorghum Free-Air CO2 Enrichment (FACE) Agroecosystem. Soil Biol. Biochem. 2007, 39, 2250–2263. [Google Scholar] [CrossRef]
- Zhang, L.; Chen, X.; Xu, Y.; Jin, M.; Ye, X.; Gao, H.; Chu, W.; Mao, J.; Thompson, M.L. Soil Labile Organic Carbon Fractions and Soil Enzyme Activities after 10 Years of Continuous Fertilization and Wheat Residue Incorporation. Sci. Rep. 2020, 10, 11318. [Google Scholar] [CrossRef]
- Mahajan, N.C.; Mrunalini, K.; Prasad, K.S.K.; Naresh, R.K.; Sirisha, L. Soil Quality Indicators, Building Soil Organic Matter and Microbial Derived Inputs to Soil Organic Matter under Conservation Agriculture Ecosystem: A Review. Int. J. Curr. Microbiol. Appl. Sci. 2019, 8, 1859–1879. [Google Scholar] [CrossRef]
- Liu, C.-H.; Chu, W.; Li, H.; Boyd, S.A.; Teppen, B.J.; Mao, J.; Lehmann, J.; Zhang, W. Quantification and Characterization of Dissolved Organic Carbon from Biochars. Geoderma 2019, 335, 161–169. [Google Scholar] [CrossRef]
- Camino-Serrano, M.; Gielen, B.; Luyssaert, S.; Ciais, P.; Vicca, S.; Guenet, B.; Vos, B.D.; Cools, N.; Ahrens, B.; Altaf Arain, M.; et al. Linking Variability in Soil Solution Dissolved Organic Carbon to Climate, Soil Type, and Vegetation Type: Factors Controlling Soil Solution DOC. Glob. Biogeochem. Cycles 2014, 28, 497–509. [Google Scholar] [CrossRef]
- Moore, T.R. Dissolved Organic Carbon: Sources, Sinks, and Fluxes and Role in the Soil Carbon Cycle. In Soil Processes and the Carbon Cycle, 1st ed.; Lal, R., Kimble, J.M., Follett, R.F., Stewart, B.A., Eds.; CRC Press: Boca Raton, FL, USA, 2018; ISBN 978-0-203-73927-3. [Google Scholar]
- Demisie, W.; Liu, Z.; Zhang, M. Effect of Biochar on Carbon Fractions and Enzyme Activity of Red Soil. Catena 2014, 121, 214–221. [Google Scholar] [CrossRef]
- EBC (2012–2022). European Biochar Certificate—Guidelines for a Sustainable Production of Biochar; Carbon Standards International (CSI): Frick, Switzerland, 2022; Version 10.2 from 8 December 2022; Available online: http://european-biochar.org (accessed on 10 March 2023).
- Zalazar-Garcia, D.; Fernandez, A.; Rodriguez-Ortiz, L.; Torres, E.; Reyes-Urrutia, A.; Echegaray, M.; Rodriguez, R.; Mazza, G. Exergo-Ecological Analysis and Life Cycle Assessment of Agro-Wastes Using a Combined Simulation Approach Based on Cape-Open to Cape-Open (COCO) and SimaPro Free-Software. Renew. Energy 2022, 201, 60–71. [Google Scholar] [CrossRef]
- Jeong, C.Y.; Dodla, S.K.; Wang, J.J. Fundamental and Molecular Composition Characteristics of Biochars Produced from Sugarcane and Rice Crop Residues and By-Products. Chemosphere 2016, 142, 4–13. [Google Scholar] [CrossRef] [PubMed]
- Papuga, K.; Kaszubkiewicz, J.; Kawałko, D. Do We Have to Use Suspensions with Low Concentrations in Determination of Particle Size Distribution by Sedimentation Methods? Powder Technol. 2021, 389, 507–521. [Google Scholar] [CrossRef]
- Pansu, M.; Gautheyrou, J. Handbook of Soil Analysis: Mineralogical, Organic and Inorganic Methods; Springer: Berlin, Germany; New York, NY, USA, 2006; ISBN 978-3-540-31211-6. [Google Scholar]
- Beretta, A.N.; Silbermann, A.V.; Paladino, L.; Torres, D.; Bassahun, D.; Musselli, R.; García-Lamohte, A. Soil Texture Analyses Using a Hydrometer: Modification of the Bouyoucos Method. Ciencia Investigación Agrarian 2014, 41, 25–26. [Google Scholar] [CrossRef]
- Munera-Echeverri, J.L.; Martinsen, V.; Strand, L.T.; Zivanovic, V.; Cornelissen, G.; Mulder, J. Cation Exchange Capacity of Biochar: An Urgent Method Modification. Sci. Total Environ. 2018, 642, 190–197. [Google Scholar] [CrossRef]
- Hoogsteen, M.J.J.; Lantinga, E.A.; Bakker, E.J.; Groot, J.C.J.; Tittonell, P.A. Estimating Soil Organic Carbon through Loss on Ignition: Effects of Ignition Conditions and Structural Water Loss: Refining the Loss on Ignition Method. Eur. J. Soil Sci. 2015, 66, 320–328. [Google Scholar] [CrossRef]
- Ochiai, S.; Iwabuchi, K.; Itoh, T.; Watanabe, T.; Osaki, M.; Taniguro, K. Effects of Different Feedstock Type and Carbonization Temperature of Biochar on Oat Growth and Nitrogen Uptake in Coapplication with Compost. J. Soil Sci. Plant Nutr. 2021, 21, 276–285. [Google Scholar] [CrossRef]
- Günal, E.; Erdem, H.; Demirbaş, A. Effects of Three Biochar Types on Activity of β-Glucosidase Enzyme in Two Agricultural Soils of Different Textures. Arch. Agron. Soil Sci. 2018, 64, 1963–1974. [Google Scholar] [CrossRef]
- Gong, Z.; Alef, K.; Wilke, B.; Mai, M.; Li, P. Assessment of Microbial Respiratory Activity of a Manufactured Gas Plant Soil after Remediation Using Sunflower Oil. J. Hazard. Mater. 2005, 124, 217–223. [Google Scholar] [CrossRef] [PubMed]
- Brzezińska, M.; Włodarczyk, T. Enzymy wewnątrzkomórkowych przemian redoks (okydoreduktazy). Acta Agrophys. 2005, 3, 11–26. [Google Scholar]
- Kumar, S.; Chaudhuri, S.; Maiti, S.K. Soil Dehydrogenase Enzyme Activity in Natural and Mine Soil—A Review. Middle East. J. Sci. Res. 2013, 13, 898–906. [Google Scholar]
- Bakshi, M.; Varma, A. Soil Enzyme: The State-of-Art. In Soil Enzymology; Shukla, G., Varma, A., Eds.; Soil Biology; Springer Berlin Heidelberg: Berlin/Heidelberg, Germany, 2010; Volume 22, pp. 1–23. ISBN 978-3-642-14224-6. [Google Scholar]
- Safari Sinegani, A.A.; Safari Sinegani, M. The Effects of Carbonates Removal on Adsorption, Immobilization and Activity of Cellulase in a Calcareous Soil. Geoderma 2012, 173–174, 145–151. [Google Scholar] [CrossRef]
- Jones, D.; Willett, V. Experimental Evaluation of Methods to Quantify Dissolved Organic Nitrogen (DON) and Dissolved Organic Carbon (DOC) in Soil. Soil Biol. Biochem. 2006, 38, 991–999. [Google Scholar] [CrossRef]
- Lehmann, J.; Kleber, M. The Contentious Nature of Soil Organic Matter. Nature 2015, 528, 60–68. [Google Scholar] [CrossRef]
- Bednik, M.; Medyńska-Juraszek, A.; Ćwieląg-Piasecka, I. Effect of Six Different Feedstocks on Biochar’s Properties and Expected Stability. Agronomy 2022, 12, 1525. [Google Scholar] [CrossRef]
- Cleveland, C.C.; Nemergut, D.R.; Schmidt, S.K.; Townsend, A.R. Increases in Soil Respiration Following Labile Carbon Additions Linked to Rapid Shifts in Soil Microbial Community Composition. Biogeochemistry 2007, 82, 229–240. [Google Scholar] [CrossRef]
- Garbuz, S.; Mackay, A.; Camps-Arbestain, M.; DeVantier, B.; Minor, M. Biochar Increases Soil Enzyme Activities in Two Contrasting Pastoral Soils under Different Grazing Management. Crop Pasture Sci. 2022, 74, 101–111. [Google Scholar] [CrossRef]
- Ameloot, N.; De Neve, S.; Jegajeevagan, K.; Yildiz, G.; Buchan, D.; Funkuin, Y.N.; Prins, W.; Bouckaert, L.; Sleutel, S. Short-Term CO2 and N2O Emissions and Microbial Properties of Biochar Amended Sandy Loam Soils. Soil Biol. Biochem. 2013, 57, 401–410. [Google Scholar] [CrossRef]
- Wojewódzki, P.; Lemanowicz, J.; Debska, B.; Haddad, S.A. Soil Enzyme Activity Response under the Amendment of Different Types of Biochar. Agronomy 2022, 12, 569. [Google Scholar] [CrossRef]
- Wang, S.; Gao, B.; Zimmerman, A.R.; Li, Y.; Ma, L.; Harris, W.G.; Migliaccio, K.W. Physicochemical and Sorptive Properties of Biochars Derived from Woody and Herbaceous Biomass. Chemosphere 2015, 134, 257–262. [Google Scholar] [CrossRef]
- Khadem, A.; Raiesi, F. Influence of Biochar on Potential Enzyme Activities in Two Calcareous Soils of Contrasting Texture. Geoderma 2017, 308, 149–158. [Google Scholar] [CrossRef]
- Lammirato, C.; Miltner, A.; Kaestner, M. Effects of Wood Char and Activated Carbon on the Hydrolysis of Cellobiose by β-Glucosidase from Aspergillus Niger. Soil Biol. Biochem. 2011, 43, 1936–1942. [Google Scholar] [CrossRef]
- Ameloot, N.; Sleutel, S.; Case, S.D.C.; Alberti, G.; McNamara, N.P.; Zavalloni, C.; Vervisch, B.; Vedove, G.D.; De Neve, S. C Mineralization and Microbial Activity in Four Biochar Field Experiments Several Years after Incorporation. Soil Biol. Biochem. 2014, 78, 195–203. [Google Scholar] [CrossRef]
- Chen, G.; Fang, Y.; Van Zwieten, L.; Xuan, Y.; Tavakkoli, E.; Wang, X.; Zhang, R. Priming, Stabilization and Temperature Sensitivity of Native SOC Is Controlled by Microbial Responses and Physicochemical Properties of Biochar. Soil Biol. Biochem. 2021, 154, 108139. [Google Scholar] [CrossRef]
- Ouyang, L.; Yu, L.; Zhang, R. Effects of Amendment of Different Biochars on Soil Carbon Mineralisation and Sequestration. Soil Res. 2014, 52, 46. [Google Scholar] [CrossRef]
- Fang, Y.; Singh, B.; Singh, B.P. Effect of Temperature on Biochar Priming Effects and Its Stability in Soils. Soil Biol. Biochem. 2015, 80, 136–145. [Google Scholar] [CrossRef]
- Sandhu, S.; Sekaran, U.; Ozlu, E.; Hoilett, N.O.; Kumar, S. Short-Term Impacts of Biochar and Manure Application on Soil Labile Carbon Fractions, Enzyme Activity, and Microbial Community Structure. Biochar 2019, 1, 271–282. [Google Scholar] [CrossRef]
- Rasul, M.; Cho, J.; Shin, H.-S.; Hur, J. Biochar-Induced Priming Effects in Soil via Modifying the Status of Soil Organic Matter and Microflora: A Review. Sci. Total Environ. 2022, 805, 150304. [Google Scholar] [CrossRef]
- Lehmann, J.; Rillig, M.C.; Thies, J.; Masiello, C.A.; Hockaday, W.C.; Crowley, D. Biochar Effects on Soil Biota—A Review. Soil Biol. Biochem. 2011, 43, 1812–1836. [Google Scholar] [CrossRef]
- Shahbaz, M.; Kuzyakov, Y.; Sanaullah, M.; Heitkamp, F.; Zelenev, V.; Kumar, A.; Blagodatskaya, E. Microbial Decomposition of Soil Organic Matter Is Mediated by Quality and Quantity of Crop Residues: Mechanisms and Thresholds. Biol. Fertil. Soils 2017, 53, 287–301. [Google Scholar] [CrossRef]
- Zheng, J.; Chen, J.; Pan, G.; Liu, X.; Zhang, X.; Li, L.; Bian, R.; Cheng, K.; Zheng, J. Biochar Decreased Microbial Metabolic Quotient and Shifted Community Composition Four Years after a Single Incorporation in a Slightly Acid Rice Paddy from Southwest China. Sci. Total Environ. 2016, 571, 206–217. [Google Scholar] [CrossRef]
- Mierzwa-Hersztek, M.; Wolny-Koładka, K.; Gondek, K.; Gałązka, A.; Gawryjołek, K. Effect of Coapplication of Biochar and Nutrients on Microbiocenotic Composition, Dehydrogenase Activity Index and Chemical Properties of Sandy Soil. Waste Biomass Valor. 2020, 11, 3911–3923. [Google Scholar] [CrossRef]
- Bailey, V.L.; Fansler, S.J.; Smith, J.L.; Bolton, H. Reconciling Apparent Variability in Effects of Biochar Amendment on Soil Enzyme Activities by Assay Optimization. Soil Biol. Biochem. 2011, 43, 296–301. [Google Scholar] [CrossRef]
- Feng, J.; Yu, D.; Sinsabaugh, R.L.; Moorhead, D.L.; Andersen, M.N.; Smith, P.; Song, Y.; Li, X.; Huang, Q.; Liu, Y.; et al. Trade-offs in Carbon-degrading Enzyme Activities Limit Long-term Soil Carbon Sequestration with Biochar Addition. Biol. Rev. 2023, 98, 1184–1199. [Google Scholar] [CrossRef]
- Mitchell, P.J.; Simpson, A.J.; Soong, R.; Simpson, M.J. Biochar Amendment Altered the Molecular-Level Composition of Native Soil Organic Matter in a Temperate Forest Soil. Environ. Chem. 2016, 13, 854. [Google Scholar] [CrossRef]
- Li, X.; Wang, T.; Chang, S.X.; Jiang, X.; Song, Y. Biochar Increases Soil Microbial Biomass but Has Variable Effects on Microbial Diversity: A Meta-Analysis. Sci. Total Environ. 2020, 749, 141593. [Google Scholar] [CrossRef]
- Margida, M.G.; Lashermes, G.; Moorhead, D.L. Estimating Relative Cellulolytic and Ligninolytic Enzyme Activities as Functions of Lignin and Cellulose Content in Decomposing Plant Litter. Soil Biol. Biochem. 2020, 141, 107689. [Google Scholar] [CrossRef]
- Woolf, D.; Lehmann, J. Modelling the Long-Term Response to Positive and Negative Priming of Soil Organic Carbon by Black Carbon. Biogeochemistry 2012, 111, 83–95. [Google Scholar] [CrossRef]
- Wu, D.; Senbayram, M.; Zang, H.; Ugurlar, F.; Aydemir, S.; Brüggemann, N.; Kuzyakov, Y.; Bol, R.; Blagodatskaya, E. Effect of Biochar Origin and Soil pH on Greenhouse Gas Emissions from Sandy and Clay Soils. Appl. Soil Ecol. 2018, 129, 121–127. [Google Scholar] [CrossRef]
- Turner, B.L.; Hopkins, D.W.; Haygarth, P.M.; Ostle, N. β-Glucosidase Activity in Pasture Soils. Appl. Soil Ecol. 2002, 20, 157–162. [Google Scholar] [CrossRef]
- Keeler, B.L.; Hobbie, S.E.; Kellogg, L.E. Effects of Long-Term Nitrogen Addition on Microbial Enzyme Activity in Eight Forested and Grassland Sites: Implications for Litter and Soil Organic Matter Decomposition. Ecosystems 2009, 12, 1–15. [Google Scholar] [CrossRef]
- Chu, H.; Lin, X.; Fujii, T.; Morimoto, S.; Yagi, K.; Hu, J.; Zhang, J. Soil Microbial Biomass, Dehydrogenase Activity, Bacterial Community Structure in Response to Long-Term Fertilizer Management. Soil Biol. Biochem. 2007, 39, 2971–2976. [Google Scholar] [CrossRef]
- Karimi, A.; Moezzi, A.; Chorom, M.; Enayatizamir, N. Application of Biochar Changed the Status of Nutrients and Biological Activity in a Calcareous Soil. J. Soil Sci. Plant Nutr. 2020, 20, 450–459. [Google Scholar] [CrossRef]
- Song, X.; Razavi, B.S.; Ludwig, B.; Zamanian, K.; Zang, H.; Kuzyakov, Y.; Dippold, M.A.; Gunina, A. Combined Biochar and Nitrogen Application Stimulates Enzyme Activity and Root Plasticity. Sci. Total Environ. 2020, 735, 139393. [Google Scholar] [CrossRef]
- Singh, B.; Arbestain, M.C.; Lehmann, J. (Eds.) Biochar: A Guide to Analytical Methods; CSIRO Publishing: Clayton South, Australia, 2017; ISBN 978-1-4987-6553-4. [Google Scholar]
- Lehmann, J.; Cowie, A.; Masiello, C.A.; Kammann, C.; Woolf, D.; Amonette, J.E.; Cayuela, M.L.; Camps-Arbestain, M.; Whitman, T. Biochar in Climate Change Mitigation. Nat. Geosci. 2021, 14, 883–892. [Google Scholar] [CrossRef]






| Abbr. in Paper | Substrate | pH (H2O) | CEC 1 [cmol (+) kg−1] | TOC [g 100 g−1] | TN [g 100 g−1] | Ash [%] | |
|---|---|---|---|---|---|---|---|
| Soils | SA | Loamy sand | 4.62 | 1.62 | 0.72 | 0.04 | n/a |
| SiL | Silt loam | 6.40 | 11.70 | 0.99 | 0.07 | n/a | |
| Biochars | BC1 | Food wastes | 9.41 ± 0.05 | 228 | 53.0 ± 1.10 | 2.05 ± 0.16 | 10.1 ± 1.00 |
| BC2 | Cut green grass | 10.43 ± 0.04 | 228 | 52.0 ± 1.00 | 2.37 ± 0.01 | 31.3 ± 3.10 | |
| BC3 | Coffee grounds | 6.91 ± 0.07 | 35.0 | 68.0 ± 1.40 | 3.16 ± 0.37 | 3.70 ± 0.40 | |
| BC4 | Wheat straw | 7.20 ± 0.13 | 7.41 | 76.0 ± 1.50 | 0.32 ± 0.26 | 1.30 ± 0.1 | |
| BC5 | Sunflower husk | 10.29 ± 0.02 | 35.3 | 78.0 ± 1.60 | 0.80 ± 0.06 | 5.60 ± 0.60 | |
| BC6 | Wood chips | 6.96 ± 0.07 | 22.7 | 70.0 ± 1.40 | 1.23 ± 0.07 | 9.80 ± 1.00 | |
| Organic matter | CO | Compost | 5.66 | 10.8 | 17.6 | 2.01 | n/a |
| MA | Manure | 7.00 | n/a | 28.0 | 1.90 | n/a | |
| LE | Legume plants | n/a | n/a | 51.8 | n/a | 12.20 |
| Description | Abbreviation |
|---|---|
| Loamy sand without amendments | SA |
| Loamy sand + 6 types of biochar | SA BC1–SA BC6 1 |
| Loamy sand + 6 types of biochar + 3 types of organic matter | SA BC1–BC6 + CO for compost SA BC1–BC6 + MA for manure SA BC1–BC6 + LE for legumes |
| Silt loam soil without amendments | SiL |
| Silt loam soil + 6 types of biochar | SiL BC1–SiL BC6 |
| Silt loam + 6 types of biochar + 3 types of organic matter | SiL BC1–BC6 + CO for compost SiL BC1–BC6 + MA for manure SiL BC1–BC6 + LE for legumes |
Disclaimer/Publisher’s Note: The statements, opinions and data contained in all publications are solely those of the individual author(s) and contributor(s) and not of MDPI and/or the editor(s). MDPI and/or the editor(s) disclaim responsibility for any injury to people or property resulting from any ideas, methods, instructions or products referred to in the content. |
© 2023 by the authors. Licensee MDPI, Basel, Switzerland. This article is an open access article distributed under the terms and conditions of the Creative Commons Attribution (CC BY) license (https://creativecommons.org/licenses/by/4.0/).
Share and Cite
Bednik, M.; Medyńska-Juraszek, A.; Ćwieląg-Piasecka, I.; Dudek, M. Enzyme Activity and Dissolved Organic Carbon Content in Soils Amended with Different Types of Biochar and Exogenous Organic Matter. Sustainability 2023, 15, 15396. https://doi.org/10.3390/su152115396
Bednik M, Medyńska-Juraszek A, Ćwieląg-Piasecka I, Dudek M. Enzyme Activity and Dissolved Organic Carbon Content in Soils Amended with Different Types of Biochar and Exogenous Organic Matter. Sustainability. 2023; 15(21):15396. https://doi.org/10.3390/su152115396
Chicago/Turabian StyleBednik, Magdalena, Agnieszka Medyńska-Juraszek, Irmina Ćwieląg-Piasecka, and Michał Dudek. 2023. "Enzyme Activity and Dissolved Organic Carbon Content in Soils Amended with Different Types of Biochar and Exogenous Organic Matter" Sustainability 15, no. 21: 15396. https://doi.org/10.3390/su152115396
APA StyleBednik, M., Medyńska-Juraszek, A., Ćwieląg-Piasecka, I., & Dudek, M. (2023). Enzyme Activity and Dissolved Organic Carbon Content in Soils Amended with Different Types of Biochar and Exogenous Organic Matter. Sustainability, 15(21), 15396. https://doi.org/10.3390/su152115396

