Investigation on Effect of Reflective Coating on Temperature Field of CRTS Ⅱ Slab Ballastless Track under Sunlight
Abstract
1. Introduction
2. Temperature Field of Track Based on Regional Environmental Parameters
2.1. Heat Transfer Equation and Initial Boundary Conditions
- (1)
- Solar radiation: After the absorption, reflection, and scattering of the Earth’s atmosphere, the solar radiation reaches the surface of the concrete structure, part of which is absorbed by the concrete, and the other part is reflected back. The energy is mainly concentrated in the visible band range, and the wavelength is relatively short, thus, solar radiation is also called short-wave radiation.
- (2)
- Radiation heat transfer: The concrete structure emits heat radiation to the outside in the form of an electromagnetic wave through its surface, and constantly absorbs the heat radiation from the surface, atmosphere, and surrounding objects. The comprehensive result of this radiation and absorption is the radiation heat transfer between the concrete structure and the outside. This form of heat radiation is called long-wave radiation.
- (3)
- Convective heat transfer: When the surface temperature of concrete is different from the surrounding air temperature, the heat transfer between the concrete surface and the surrounding fluid is called convective heat transfer. Convective heat transfer also exists between the air inside the box girder and the inner surface.
2.1.1. Solar Radiation
2.1.2. Convective Heat Transfer
2.1.3. Radiation Heat Transfer
2.2. Model Foundation and Validation of CRTS II Slab Ballastless Track
2.2.1. The Model of Temperature Field
2.2.2. Model Verification
2.2.3. Ballastless Track Temperature Field in Changsha
- (1)
- The daytime temperature is higher, and the temperature rise and fall rate are faster, the large temperature difference between day and night, and the track slab, makes it easy to produce a larger temperature gradient and deformation.
- (2)
- Strong solar radiation, up to 1000 W/m2 or more, makes the track slab produce a large positive temperature gradient, which makes it easy to produce track slab warping.
- (3)
- The wind speed in the Changsha area is between 1 m/s to 2 m/s in summer, and the wind speed is low, which is not conducive to the release of heat from the track slab.
3. Results and Discussion
3.1. The Temperature Distribution Characteristics of CRTS II Slab Ballastless Track
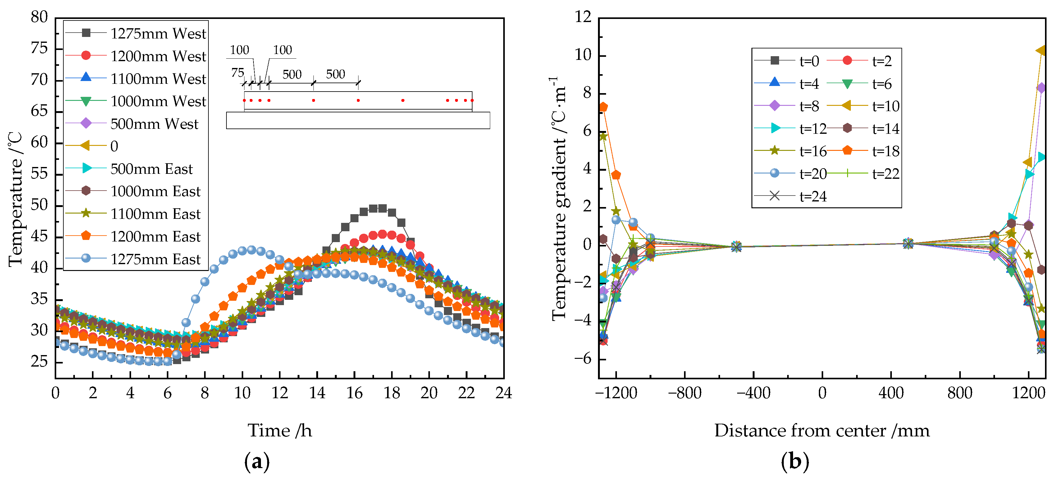
3.2. Vertical Temperature and Temperature Gradient
3.3. Transverse Temperature and Temperature Gradient
3.4. Effect of Reflective Coating on the Temperature Field of Ballastless Track
3.4.1. Determination of Coating Parameters
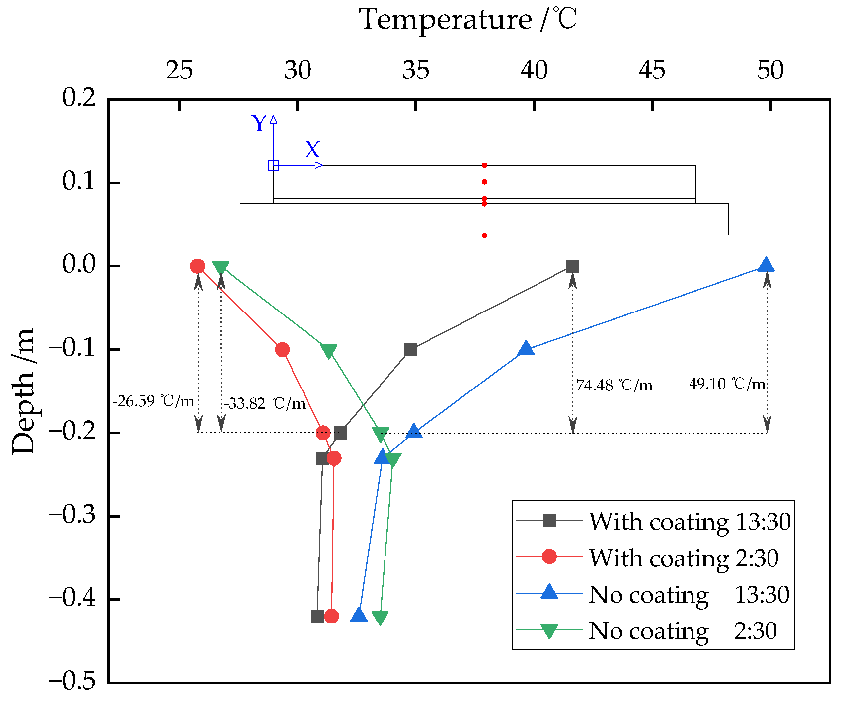
3.4.2. Effect of Coating on Temperature of Track Structure
3.4.3. Effect of Coating on the Temperature Gradient of the Track Structure
3.4.4. Effect of Side Coating on Track Structure
4. Conclusions
- (1)
- The thermal exchange between a ballastless track and the environment is divided into three categories: solar radiation, convective heat transfer, and radiation heat transfer, and then converted into heat flux boundary conditions related to time, surface temperature, and coordinates. This model can consider the influence of meteorological conditions, time, and the geographical locations of ballastless track, fully. The model’s results were compared with the measured data, and the error meets the requirements of temperature analysis. The parametric study showed that the intensity of solar radiation is the most important factor affecting the temperature difference of the structure.
- (2)
- The heat transfer boundary conditions established in this paper can be used to analyze and calculate the sunlight temperature response of complex concrete bridge structures in any area. Taking the Changsha area as an example, the sunlight temperature effect upon ballastless track in summer was analyzed. The results show that the temperature of the track slab varies significantly with the external temperature and time, while the internal temperature has a certain time lag. The highest vertical temperature of ballastless track in the Changsha area in summer is 7.24 times that of the highest transverse temperature. The highest vertical temperature gradient is 74.48 °C/m, which occurs at 13:30.
- (3)
- The ANSYS was used to simulate the application effect of a reflective coating under high temperature in summer in the Changsha area. The coating was found to have a cooling effect on ballastless track. The coating mainly acts on the middle and upper areas of the track’s slab. The coating on the surface of the track slab can reduce the maximum and vertical temperature of the surface.
- (4)
- If the track is north-south, applying a reflective coating to the side of the track has little effect on the overall temperature, but can significantly reduce the transverse temperature gradient in the edge region of the track side by up to 54%.
- (1)
- Study on the calculation method of the temperature field considering interlayer cracking separation and its influence on the cooling effect of the coating.
- (2)
- Study on the effect of the coating’s cooling effect under the combination of sunlight’s temperature effect and other loading effects.
- (3)
- Study on the effect of wind speed and other factors on the cooling effect of coatings.
Author Contributions
Funding
Institutional Review Board Statement
Informed Consent Statement
Data Availability Statement
Conflicts of Interest
References
- Edwards, J.R.; Mechitov, K.A.; Barbosa, I.G.; Lima, A.D.; Spencer, B.F.; Tutumluer, E.; Dersch, M.S. A Roadmap for Sustainable Smart Track-Wireless Continuous Monitoring of Railway Track Condition. Sustainability 2021, 13, 7456. [Google Scholar] [CrossRef]
- Hsu, W.K.; Shih, N.H.; Lee, Y.L. Railway Continuous Prestressed Concrete Bridge Design in Ballastless Track Turnout Zones. Technologies 2017, 5, 11. [Google Scholar] [CrossRef]
- Cho, H.C.; Han, S.J.; Heo, I.; Kang, H.; Kang, W.H.; Kim, K.S. Heating Temperature Prediction of Concrete Structure Damaged by Fire Using a Bayesian Approach. Sustainability 2020, 12, 4225. [Google Scholar] [CrossRef]
- Yang, R.S.; Li, J.L.; Kang, W.X.; Liu, X.Y.; Cao, S.H. Temperature Characteristics Analysis of the Ballastless Track under Continuous Hot Weather. J. Transp. Eng. Part A Syst. 2017, 143, 04017048. [Google Scholar] [CrossRef]
- Su, M.; Dai, G.L.; Marx, S.; Liu, W.S.; Zhang, S.S. A Brief Review of Developments and Challenges for High-speed Rail Bridges in China and Germany. Struct. Eng. Int. 2019, 29, 160–166. [Google Scholar] [CrossRef]
- Liu, Y.; Yi, X.; Huang, J.C.; Zhao, G.T. Experimental Research on Temperature Field of CRTS II Slab Ballastless Track Structure. In Proceedings of the Construction and Maintenance of Railway Infrastructure in Complex Environment, Beijing, China, 2–3 August 2014. [Google Scholar]
- Xu, Y.D.; Yan, D.B.; Zhu, W.J.; Zhou, Y. Study on the mechanical performance and interface damage of CRTS II slab track with debonding repairment. Constr. Build. Mater. 2020, 257, 119600. [Google Scholar] [CrossRef]
- Xiao, H.; Zhang, Y.R.; Li, Q.H.; Jin, F.; Nadakatti, M.M. Analysis of the initiation and propagation of fatigue cracks in the CRTS II slab track inter-layer using FE-SAFE and XFEM. Proc. Inst. Mech. Eng. Part F J. Rail Rapid Transit 2019, 233, 678–690. [Google Scholar] [CrossRef]
- Hwang, S.H.; Kim, S.; Lee, K.C.; Jang, S.Y. Effects of Long-Wavelength Track Irregularities Due to Thermal Deformations of Railway Bridge on Dynamic Response of Running Train. Appl. Sci. 2018, 8, 2549. [Google Scholar] [CrossRef]
- Sher, F.; Hazafa, A.; Marintseva, K.; Rasheed, T.; Ali, U.; Rashid, T.; Babu, A.; Khzouz, M. Fully solar powered Doncaster Sheffield Airport: Energy evaluation, glare analysis and CO2 mitigation. Sustain. Energy Technol. Assess. 2021, 45, 101122. [Google Scholar] [CrossRef]
- Ullah, S.; Branquinho, R.; Mateus, T.; Martins, R.; Fortunato, E.; Rasheed, T.; Sher, F. Solution Combustion Synthesis of Transparent Conducting Thin Films for Sustainable Photovoltaic Applications. Sustainability 2020, 12, 10423. [Google Scholar] [CrossRef]
- Li, Y.; Chen, J.J.; Wang, J.X.; Shi, X.F.; Wang, R. Study on the effects of solar reflective coatings on the interfacial damage of the CRTS II slab track. Constr. Build. Mater. 2022, 325, 126711. [Google Scholar] [CrossRef]
- Zhang, J.W.; Jiang, H.L.; Ding, F.; Zhang, P.Z.; Zhou, F.; Li, T.; Duan, N. Effects of metal-ceramic anticorrosion coating on the performance of ballastless tracks at high temperature. Arch. Civ. Mech. Eng. 2020, 20, 120. [Google Scholar] [CrossRef]
- Synnefa, A.; Santamouris, M.; Akbari, H. Estimating the effect of using cool coatings on energy loads and thermal comfort in residential buildings in various climatic conditions. Energy Build. 2007, 39, 1167–1174. [Google Scholar] [CrossRef]
- Anting, N.; Din, M.F.M.; Iwao, K.; Ponraj, M.; Siang, A.J.L.M.; Yong, L.Y.; Prasetijo, J. Optimizing of near infrared region reflectance of mix-waste tile aggregate as coating material for cool pavement with surface temperature measurement. Energy Build. 2018, 158, 172–180. [Google Scholar] [CrossRef]
- Jiang, H.L.; Zhang, J.W.; Zhou, F.; Wang, Y. Optimization of PCM coating and its influence on the temperature field of CRTSII ballastless track slab. Constr. Build. Mater. 2020, 236, 117498. [Google Scholar] [CrossRef]
- Zhao, L.; Zhou, L.Y.; Zhang, G.C.; Wei, T.Y.; Mahunon, A.D.; Jiang, L.Q.; Zhang, Y.Y. Experimental study of the temperature distribution in CRTS-II ballastless tracks on a high-speed railway bridge. Appl. Sci. 2020, 10, 1980. [Google Scholar] [CrossRef]
- Zhou, R.; Zhu, X.; Huang, J.Q.; Zhou, H.J.; Liu, H.L.; Ma, C.; Zhang, L.H. Structural damage analysis of CRTS II slab track with various interface models under temperature combinations. Eng. Fail. Anal. 2022, 134, 106029. [Google Scholar] [CrossRef]
- Dai, G.L.; Chen, G.R.; Zheng, R.R.; Chen, Y.F. A new bilinear resistance algorithm to analyze the track-bridge interaction on long-span steel bridge under thermal action. J. Bridge Eng. 2020, 25, 04019138. [Google Scholar] [CrossRef]
- Yang, S.M.; Tao, W.Q. Heat Transfer; Higher Education Press: Beijing, China, 2006. [Google Scholar]
- Li, S.S. Solar Physics; China Capital Normal University Press: Beijing, China, 1996. [Google Scholar]
- Kelbick, F. Effect of Solar Radiation on Bridge Structure; China Railway Press: Beijing, China, 1981. [Google Scholar]
- Dilger, W.H.; Ghali, A.; Chan, M.; Cheung, M.S.; Maes, M.A. Temperature stresses in composite box girder bridges. J. Struct. Eng. 1983, 109, 1460–1478. [Google Scholar] [CrossRef]
- Barber, E.S. Calculation of Maximum Pavement Temperatures from Weather Reports; Highway Research Board Bulletin; Highway Research Board: Washington, DC, USA, 1957. [Google Scholar]
- Elbadry, M.M.; Ghali, A. Temperature variations in concrete bridges. J. Struct. Eng. 1983, 109, 2355–2374. [Google Scholar] [CrossRef]
- Yan, B.; Cheng, R.Q.; Xie, H.R.; Zhang, X.M. Vertical Nonlinear Temperature Gradient and Temperature Load Mode of Ballastless Track in China. Mathematics 2022, 10, 120. [Google Scholar] [CrossRef]
- Chen, Z.H. Analysis of Characteristic about Urban Heat Island Effect in Changsha. Master’s Thesis, Lanzhou University, Lanzhou, China, 2012. (In Chinese). [Google Scholar]
- GB/T 25261-2018; Solar Heat Reflecting Insulation Coatings for Buildings. National Standard of the People’s Republic of China: Beijing, China, 2018.
- Kang, W.X. Applicability Analysis of the Solar Heat Reflective and Insulation Coating Used in the Ballastless Track. Master’s Thesis, Southwest Jiaotong University, Chengdu, China, 2015. (In Chinese). [Google Scholar]
- GB/T 50176-2016; Thermal Design Code for CIVIL building. National Standard of the Peopletion Coating Used in the Ijing, China. National Standard of the People’s Republic of China: Beijing, China, 2016.















| Component | Length × Width × Height (mm) | Density (10−9 kg/m3) | Poisson Ratio | Thermal Conductivity (W/m·°C) | Specific Heat (J/kg·°C) |
|---|---|---|---|---|---|
| Track slab | 6450 × 2550 × 200 | 2500 | 0.2 | 2 | 921 |
| CA mortar layer | 6450 × 2550 × 30 | 2000 | 0.34 | 1 | 1200 |
| Base plate | 6450 × 2550 × 190 | 2500 | 0.2 | 2 | 921 |
| Beam | - | 2500 | 0.2 | 2 | 921 |
| Wide joints | 50 × 2550 × 200 | 2500 | 0.2 | 2 | 921 |
| Measurement Points | Percentage Decrease in Daily Maximum Temperature/% | Percentage Decrease in Average Daily Temperature/% |
|---|---|---|
| M − 1 | 16.25 | 10.12 |
| M − 2 | 13.06 | 9.24 |
| M − 3 | 10.63 | 8.32 |
| M − 4 | 9.31 | 7.72 |
| M − 5 | 6.35 | 5.87 |
Disclaimer/Publisher’s Note: The statements, opinions and data contained in all publications are solely those of the individual author(s) and contributor(s) and not of MDPI and/or the editor(s). MDPI and/or the editor(s) disclaim responsibility for any injury to people or property resulting from any ideas, methods, instructions or products referred to in the content. |
© 2023 by the authors. Licensee MDPI, Basel, Switzerland. This article is an open access article distributed under the terms and conditions of the Creative Commons Attribution (CC BY) license (https://creativecommons.org/licenses/by/4.0/).
Share and Cite
Quan, X.; Guo, W.; Tian, J.; Zhang, W. Investigation on Effect of Reflective Coating on Temperature Field of CRTS Ⅱ Slab Ballastless Track under Sunlight. Sustainability 2023, 15, 915. https://doi.org/10.3390/su15020915
Quan X, Guo W, Tian J, Zhang W. Investigation on Effect of Reflective Coating on Temperature Field of CRTS Ⅱ Slab Ballastless Track under Sunlight. Sustainability. 2023; 15(2):915. https://doi.org/10.3390/su15020915
Chicago/Turabian StyleQuan, Xiankai, Wenhua Guo, Jun Tian, and Weiguo Zhang. 2023. "Investigation on Effect of Reflective Coating on Temperature Field of CRTS Ⅱ Slab Ballastless Track under Sunlight" Sustainability 15, no. 2: 915. https://doi.org/10.3390/su15020915
APA StyleQuan, X., Guo, W., Tian, J., & Zhang, W. (2023). Investigation on Effect of Reflective Coating on Temperature Field of CRTS Ⅱ Slab Ballastless Track under Sunlight. Sustainability, 15(2), 915. https://doi.org/10.3390/su15020915

