Coupling Effects of Terracing and Vegetation on Soil Ecosystem Multifunctionality in the Loess Plateau, China
Abstract
1. Introduction
2. Materials and Methods
2.1. Study Site
2.2. Runoff Plot Design and Soil Sampling
2.3. Measurement of Soil Ecosystem Functions
2.3.1. Soil Fertility
2.3.2. Nutrient Transformation and Cycling
2.3.3. Water Conservation Function
2.4. Calculation of SEMF
2.5. Statistical Analysis
3. Results
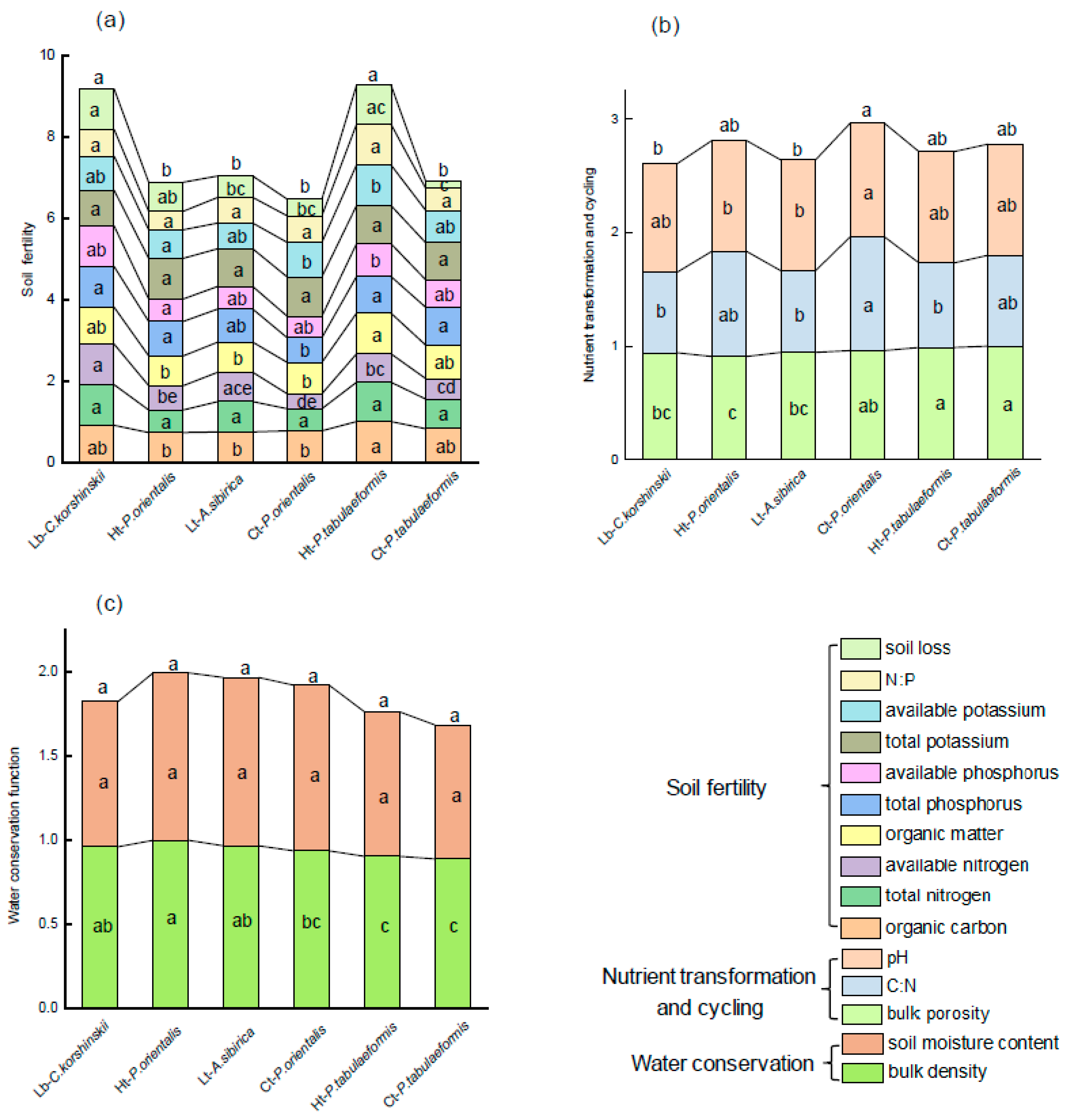
3.1. Individual Ecosystem Services
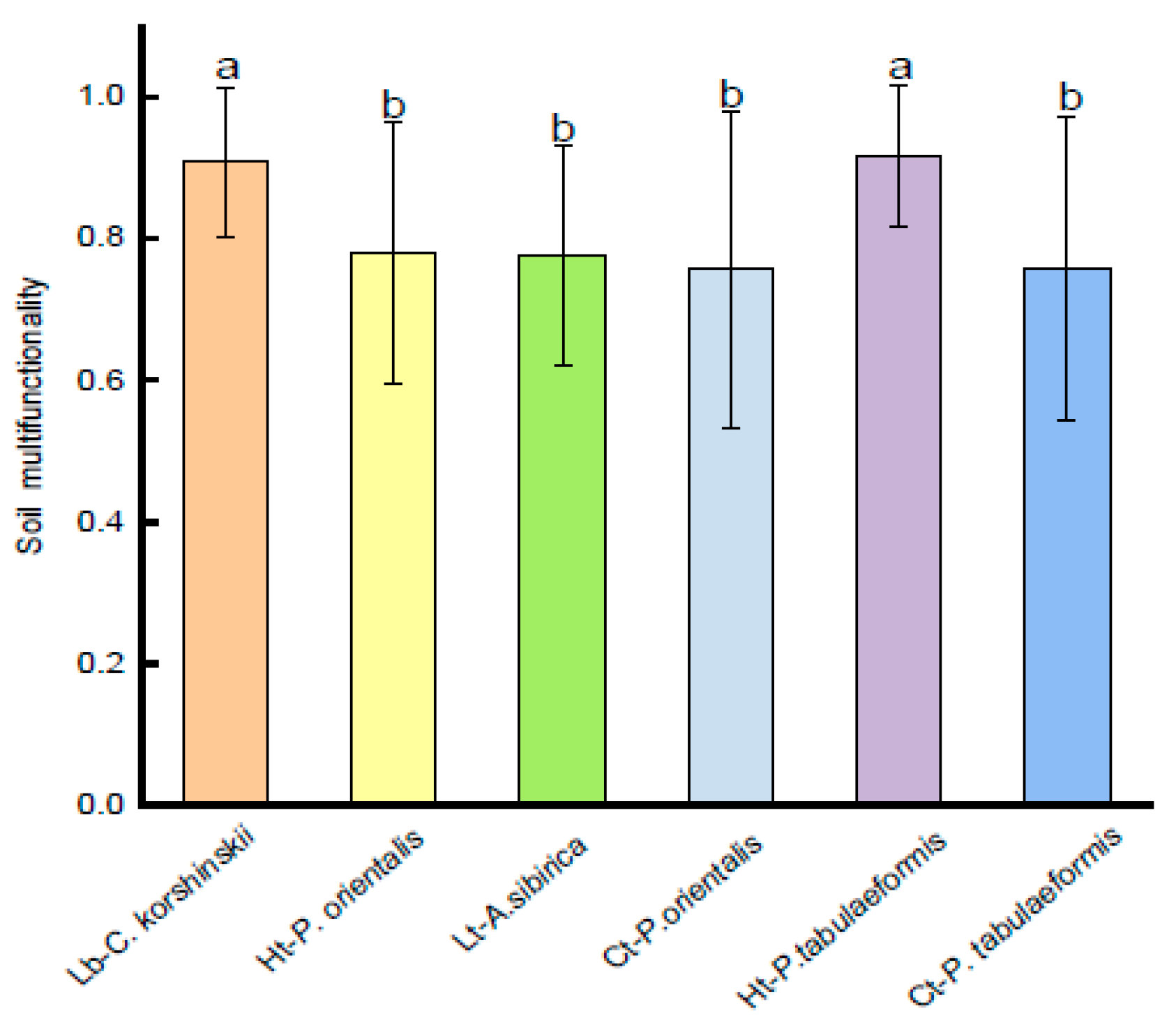
3.2. Differences in SEMF
3.3. Influences of Terracing and Vegetation on SEMF
4. Discussion
4.1. Differences in Individual Ecosystem Function
4.2. Differences in SEMF
4.3. Effects of Terracing and Vegetation on SEMF
5. Conclusions
Author Contributions
Funding
Institutional Review Board Statement
Informed Consent Statement
Data Availability Statement
Conflicts of Interest
References
- Zhao, L.H.; Li, C.Z.; Kang, D.; Ren, C.J.; Han, X.H.; Tong, X.G.; Feng, Y.Z. Effects of vegetation restoration on soil soluble nitrogen in the Loess Hilly Region. Acta Ecol. Sin. 2017, 37, 3533–3542. [Google Scholar]
- Chen, L.; Yang, L.; Wei, W.; Wang, Z.; Mo, B.; Cai, G. Towards sustainable integrated watershed ecosystem management: A case study in Dingxi on the loess plateau, China. Environ. Manag. 2013, 51, 126–137. [Google Scholar] [CrossRef] [PubMed]
- Guobin, L.; Zhouping, S.; Wenyi, Y.; Qinke, Y.; Minjuan, Z.; Xiaohu, D.; Minghang, G.; Guoliang, W.; Bing, W. Ecological effects of soil conservation in Loess Plateau. Bull. Chin. Acad. Sci. 2017, 32, 11–19. (In Chinese) [Google Scholar]
- Borah, D.K. Soil and water conservation engineering. Soil Sci. 1993, 156, 209–211. [Google Scholar] [CrossRef]
- Wang, Z.J.; Jiao, J.Y.; Rayburg, S.; Wang, Q.L.; Su, Y. Soil erosion resistance of “Grain for Green” vegetation types under extreme rainfall conditions on the Loess Plateau, China. Catena 2016, 141, 109–116. [Google Scholar] [CrossRef]
- Shi, H.; Shao, M. Soil and water loss from the Loess Plateau in China. J. Arid Environ. 2000, 45, 9–20. [Google Scholar] [CrossRef]
- Baumhardt, R.; Jones, O. Residue management and tillage effects on soil-water storage and grain yield of dryland wheat and sorghum for a clay loam in Texas. Soil Tillage Res. 2002, 68, 71–82. [Google Scholar] [CrossRef]
- Lin, L.; Chen, J. The effect of conservation practices in sloped croplands on soil hydraulic properties and root-zone moisture dynamics. Hydrol. Process. 2015, 29, 2079–2088. [Google Scholar] [CrossRef]
- Chen, S.K.; Chen, Y.R.; Peng, Y.H. Experimental study on soil erosion characteristics in flooded terraced paddy fields. Paddy. Water. Environ. 2013, 11, 433–444. [Google Scholar] [CrossRef]
- Fuentes, J.P.; Flury, M.; Huggins, D.R.; Bezdicek, D.F. Soil water and nitrogen dynamics in dryland cropping systems of Washington State, USA. Soil Tillage Res. 2003, 71, 33–47. [Google Scholar] [CrossRef]
- Zhang, Y.J.; Guo, S.L.; Nan, Y.F.; Li, J.C. Effects of soil erosion control measures on soil organic carbon and total nitrogen in a small watershed. Acta Ecol. Sin. 2012, 32, 5777–5785. (In Chinese) [Google Scholar] [CrossRef]
- Zheng, F.L. Effect of vegetation changes on soil erosion on the Loess Plateau. Pedosphere 2006, 16, 420–427. [Google Scholar] [CrossRef]
- Zuazo, V.D.; Pleguezuelo, C.R.; Martínez, J.F.; Rodríguez, B.C.; Raya, A.M.; Galindo, P.P. Harvest intensity of aromatic shrubs vs. soil erosion: An equilibrium for sustainable agriculture (SE Spain). Catena 2008, 73, 107–116. [Google Scholar] [CrossRef]
- Vannoppen, W.; Poesen, J.; Peeters, P.; De Baets, S.; Vandevoorde, B. Root properties of vegetation communities and their impact on the erosion resistance of river dikes. Earth. Surf. Process. Landf. 2016, 41, 2038–2046. [Google Scholar] [CrossRef]
- Pulido, M.; Schnabel, S.; Contador, J.F.L.; Lozano-Parra, J.; Gómez-Gutiérrez, Á. Selecting indicators for assessing soil quality and degradation in rangelands of Extre-madura (SW Spain). Ecol. Indic. 2017, 74, 49–61. [Google Scholar] [CrossRef]
- Lü, H.; Zhu, Y.; Skaggs, T.H.; Yu, Z. Comparison of measured and simulated water storage in dryland terraces of the Loess Plateau, China. Agr. Water. Manag. 2009, 96, 299–306. [Google Scholar] [CrossRef]
- Wang, P.F.; Jia, L.T.; Du, J.J.; Zhang, J.C.; Mu, X.P.; Ding, W. Improvement of soil quality by Chinese dwarf cherry cultivation in the Loess Plateau steep hill region. Acta Pratac. Sin. 2017, 26, 65–74. (In Chinese) [Google Scholar]
- Li, Y.Z.; Zhang, J.Z.; Jia, J.Y.; Fan, F.; Zhang, F.S.; Zhang, J.L. Research Progresses on Farmland Soil Ecosystem Multifunctionality. Acta. Pedol. Sin. 2022, 59, 1177–1189. (In Chinese) [Google Scholar]
- Food and Agriculture Organization (FAO). Soil Functions: Soils Deliver Ecosystem Services That Enable Life on Earth-Infographics [EB/OL]. 2015. Available online: http://www.fao.org/resources/infographics (accessed on 28 September 2021).
- Hector, A.; Bagchi, R. Biodiversity and ecosystem multifunctionality. Nature 2007, 448, 188–190. [Google Scholar] [CrossRef]
- Lucas-Borja, M.E.; Delgado-Baquerizo, M. Plant diversity and soil stoichiometry regulates the changes in multifunctionality during pine temperate forest secondary succession. Sci. Total Environ. 2019, 697, 134–204. [Google Scholar] [CrossRef]
- Mori, A.S.; Isbell, F.; Fujii, S.; Makoto, K.; Matsuoka, S.; Osono, T. Low multifunctional redundancy of soil fungal diversity at multiple scales. Ecol. Lett. 2016, 19, 249–259. [Google Scholar] [CrossRef] [PubMed]
- Chandregowda, M.H.; Murthy, K.; Bagchi, S. Woody shrubs increase soil microbial functions and multifunctionality in a tropical semi-arid grazing ecosystem. J. Arid Environ. 2018, 155, 65–72. [Google Scholar] [CrossRef]
- Manning, P.; Van Der Plas, F.; Soliveres, S.; Allan, E.; Maestre, F.T.; Mace, G.; Whittingham, M.J.; Fischer, M. Redefining ecosystem multifunctionality. Nat. Ecol. Evolut. 2018, 2, 427–436. [Google Scholar] [CrossRef] [PubMed]
- Schulte, R.P.; Creamer, R.E.; Donnellan, T.; Farrelly, N.; Fealy, R.; O’Donoghue, C.; O’huallachain, D. Functional land management: A framework for managing soil-based ecosystem services for the sustainable intensification of agriculture. Environ. Sci. Policy 2014, 38, 45–58. [Google Scholar] [CrossRef]
- Maestre, F.T.; Castillo-Monroy, A.P.; Bowker, M.A.; Ochoa-Hueso, R. Species richness effects on ecosystem multifunctionality depend on evenness, composition and spatial pattern. J. Ecol. 2012, 100, 317–330. [Google Scholar] [CrossRef]
- Yu, Y.; Wei, W.; Chen, L.D.; Feng, T.J.; Yang, L.; Zhang, H.D. Coupling effects of different land preparation and vegetation on soil moisture characteristics in a semi-arid loess hilly region. Acta Ecol. Sin. 2016, 36, 3441–3449. (In Chinese) [Google Scholar]
- Yu, Y.; Wei, W.; Chen, L.D.; Jia, F.Y.; Yang, L.; Zhang, H.D.; Feng, T.J. Responses of vertical soil moisture to rainfall pulses and land uses in a typical loess hilly area, China. Solid Earth 2015, 6, 595–608. [Google Scholar] [CrossRef]
- Mu, X.M. Interaction of soil and water conservation measures with soil water in the Loess Plateau in China. Trans. Chin. Soc. Agric. Eng. 2000, 16, 41–45. (In Chinese) [Google Scholar]
- Xie, H.T.; Wang, G.G.; Yu, M.K. Ecosystem multifunctionality is highly related to the shelterbelt structure and plant species diversity in mixed shelterbelts of eastern China. Glob. Ecol. Conserv. 2018, 16, e00470. [Google Scholar] [CrossRef]
- Bao, S.D. Analysis of Soil Agrochemical, 3rd ed.; China Agriculture Press: Beijing, China, 2005; pp. 25–109. [Google Scholar]
- Shi, R.H.; Bao, S.D.; Qin, H.Y. Soil and Agricultural Chemistry Analysis; China Agriculture Press: Beijing, China, 1998. [Google Scholar]
- Lu, R.K. Agrochemical Analysis of Soil; China Agricultural Science and Technology Press: Beijing, China, 2000. (In Chinese) [Google Scholar]
- Byrnes, J.E.K.; Gamfeldt, L.; Isbell, F.; Lefcheck, J.S.; Griffin, J.N.; Hector, A.; Cardinale, B.J.; Hooper, D.U.; Dee, L.E.; Emmett Duffy, J.; et al. Investigating the relationship between biodiversity and ecosystem multifunctionality: Challenges and solutions. Meth. Ecol. Evol. 2014, 5, 111–124. [Google Scholar] [CrossRef]
- Maestre, F.T.; Quero, J.L.; Gotelli, N.J.; Escudero, A.; Ochoa, V.; Delgado-Baquerizo, M.; García-Gómez, M.; Bowker, M.A.; Soliveres, S.; Escolar, C.; et al. Plant species richness and ecosystem multifunctionality in global drylands. Science 2012, 335, 214–218. [Google Scholar] [CrossRef]
- Hooper, D.U.; Vitousek, P.M. Effects of plant composition and diversity on nutrient cycling. Ecol. Monogr. 1998, 68, 121–149. [Google Scholar] [CrossRef]
- Zhang, Z.; Chen, Y.; Xu, B.; Huang, L.; Tan, H.; Dong, X. Topographic differentiations of biological soil crusts and hydraulic properties in fixed sand dunes, Tengger Desert. J. Arid Land 2015, 7, 205–215. [Google Scholar] [CrossRef]
- Bocchi, S.; Castrignano, A.; Fornaro, F.; Maggiore, T. Application of factorial kriging for mapping soil variation at field scale. Eur. J. Agron. 2000, 13, 295–308. [Google Scholar] [CrossRef]
- Burylo, M.; Rey, F.; Mathys, N.; Dutoit, T. Plant root traits affecting the resistance of soils to concentrated flow erosion. Earth Surf. Process. Landf. 2012, 37, 1463–1470. [Google Scholar] [CrossRef]
- Guo, D.; Xia, M.; Wei, X.; Chang, W.; Liu, Y.; Wang, Z. Anatomical traits associated with absorption and mycorrhizal colonization are linked to root branch order in twenty-three Chinese temperate tree species. New Phytol. 2008, 180, 673–683. [Google Scholar] [CrossRef] [PubMed]
- Wang, X.Y.; Zhao, X.Y.; Li, Y.L.; Lian, J.; Qu, H.; Yue, X.F. Effects of environmental factors on litter decomposition in arid and semi-arid regions: A review. Chin. J. Appl. Ecol. 2013, 24, 3300–3310. (In Chinese) [Google Scholar]
- Hou, L.; Xie, X.L.; Yao, C.; Wu, F.Q. Erosion process and characteristics of different specifications of fish-scale pit slope. Trans. Chin. Soc. Agric. Eng. 2020, 36, 62–68. (In Chinese) [Google Scholar]
- Feng, T.J.; Wei, W.; Chen, L.D.; Yu, Y.; Yang, L.; Zhang, H.D. Effects of land preparations and vegetation types on soil chemical features in a loess hilly region. Acta Ecol. Sin. 2016, 36, 3216–3225. (In Chinese) [Google Scholar]
- Lan, D.Y.; Bi, H.X.; Zhao, D.Y.; Wang, N.; Yun, H.Y.; Wang, S.S.; Cui, Y.H. Evaluation on soil conservation function of Pinus tabulaeformis plantation with different densities in the loess area of western Shanxi province. J. Soil Water Conserv. 2022, 36, 189–196. (In Chinese) [Google Scholar]
- Huo, X.Y.; Peng, S.Z.; Ren, J.Y.; Cao, Y.; Chen, Y.M. Dynamic change of Pinus tabulaeformis forest productivity and its response to future climate change in Shaanxi Province, China. Chin. J. Appl. Ecol. 2018, 29, 412–420. (In Chinese) [Google Scholar]
- Zhu, Q.; Zhou, Z.X.; Liu, T.; Bai, J.Z. Vegetation restoration and ecosystem soil conservation service value increment in Yanhe Watershed, Loess Plateau. Acta Ecol. Sin. 2021, 41, 2557–2570. (In Chinese) [Google Scholar]
- Yu, Y.; Wei, W.; Chen, L.D.; Feng, T.J.; Daryanto, S.; Wang, L.X. Land preparation and vegetation type jointly determine soil conditions after long-term land stabilization measures in a typical hilly catchment, Loess Plateau of China. J. Soils Sediments 2016, 17, 144–156. [Google Scholar] [CrossRef]
- Wang, J.X.; Huang, B.L.; Luo, W.X. Influence mechanism of reverse-slope terrace site preparation for afforestation on runoff formation of slope. Trans. Chin. Soc. Agric. Eng. 2004, 20, 292–296. [Google Scholar]
- Yu, Y.; Wei, W.; Chen, L.D.; Feng, T.J.; Yang, L.; Daryanto, S. Quantifying the effects of precipitation, vegetation, and land preparation techniques on runoff and soil erosion in a Loess watershed of China. Sci. Total Environ. 2019, 652, 755–764. [Google Scholar] [CrossRef]
- Zhu, Q.L.; Xing, X.; Zhang, H.; An, S. Soil ecological stoichiometry under different vegetation area on loess hilly-gully region. Acta Ecol. Sin. 2013, 33, 4674–4682. (In Chinese) [Google Scholar]
- Wei, W.; Chen, D.; Wang, L.; Daryanto, S.; Chen, L.; Yu, Y.; Lu, Y.; Sun, G.; Feng, T. Global synthesis of the classifications, distributions, benefits and issues of terracing. Earth-Sci. Rev. 2016, 159, 388–403. [Google Scholar] [CrossRef]
- Xue, Z.; Akae, T. Maximum surface temperature model to evaluate evaporation from a saline soil in arid area. Paddy Water Environ. 2012, 10, 153–159. [Google Scholar] [CrossRef]
- Feng, T.J.; Wei, W.; Chen, L.D.; Chen, D.; Yu, Y.; Yang, L. Comparison of soil hydraulic characteristics under the conditions of long-term land preparation and natural slope in Longtan catchment of the Loess hilly region. Environ. Sci. 2017, 38, 3860–3870. (In Chinese) [Google Scholar]
- Wang, Z.; Wang, K.Q.; Zhao, Y.Y.; Peng, S.X.; Wang, S.B.; Li, K. Responses of tree growth to artificial intervention on micro-topography in degraded wood-land on hillslope. Chin. J. Appl. Ecol. 2019, 30, 2583–2590. (In Chinese) [Google Scholar]
- Sun, L.; Wang, S.; Zhang, Y.; Li, J.; Wang, X.; Wang, R.; Lyu, W.; Chen, N.; Wang, Q. Conservation agriculture based on crop rotation and tillage in the semiarid Loess Plateau, China: Effects on crop yield and soil water use. Agric. Ecosyst. Environ. 2018, 251, 67–77. [Google Scholar] [CrossRef]
- Valentin, C.; Agus, F.; Alamban, R.; Boosaner, A.; Bricquet, J.P.; Chaplot, V.; De Guzman, T.; De Rouw, A.; Janeau, J.-L.; Orange, D. Runoff and sediment losses from 27 upland catchments in Southeast Asia: Impact of rapid land use changes and conservation practices. Agric. Ecosyst. Environ. 2008, 128, 225–238. [Google Scholar] [CrossRef]
- Yang, Y.S.; Wang, J.M.; Wan, D.P. Micro-topography modification and its effects on the conservation of soil and water in artificially piled landform area: A review. Chin. J. Ecol. 2018, 37, 569–579. (In Chinese) [Google Scholar]
- Gong, L.; Ran, Q.; He, G.; Tiyip, T. A soil quality assessment under different land use types in Keriya river basin, Southern Xinjiang, China. Soil Tillage Res. 2015, 146, 223–229. [Google Scholar] [CrossRef]
- Cheng, J.; Wang, J.B.; Cheng, J.M.; Luo, Z.K. Spatial-Temporal variability of Caragana korshinskii vegetation growth in the Loess Plateau. Sci. Silvae Sin. 2013, 49, 14–20. (In Chinese) [Google Scholar]
- Zhao, L.; Hou, R.; Wu, F.; Keesstra, S. Effect of soil surface roughness on infiltration water, ponding and runoff on tilled soils under rainfall simulation experiments. Soil Tillage Res. 2018, 179, 47–53. [Google Scholar] [CrossRef]
- Ding, D.Y.; Feng, H.; Zhao, Y.; Liu, W.Z.; Chen, H.X.; He, J.Q. Impact assessment of climate change and later-maturing cultivars on winter wheat growth and soil water deficit on the Loess Plateau of China. Clim. Chang. 2016, 138, 157–171. [Google Scholar] [CrossRef]
- Wei, W.; Chen, L.D.; Yang, L.; Samadani, F.F.; Sun, G. Microtopography recreation benefits ecosystem restoration. Environ. Sci. Technol. 2012, 46, 10875–10876. [Google Scholar] [CrossRef]
- Liu, Z.J.; Zhou, W.; Shen, J.B.; He, P.; Lei, Q.L.; Liang, G.Q. A simple assessment on spatial variability of rice yield and selected soil chemical properties of paddy fields in South China. Geoderma 2014, 235–236, 39–47. [Google Scholar] [CrossRef]
- Jaiarree, S.; Chidthaisong, A.; Tangtham, N.; Polprasert, C.; Sarobol, E.; Tyler, S.C. Soil organic carbon loss and turnover resulting from forest conversion to maize fields in Eastern Thailand. Pedosphere 2011, 21, 581–590. [Google Scholar] [CrossRef]
- Huang, J.; Wu, P.T.; Zhao, X.N. Impact of slope biological regulated measures on soil water infiltration. Trans. CSAE 2010, 26, 29–37. (In Chinese) [Google Scholar]
- Guner, S.T.; Erkan, N.; Karatas, R. Effects of afforestation with different species on carbon pools and soil and forest fioor properties. Catena 2021, 196, e104871. [Google Scholar] [CrossRef]
- Bever, J.D.; Dickie, I.A.; Facelli, E.; Facelli, J.M.; Klironomos, J.; Moora, M.; Rillig, M.C.; Stock, W.D.; Tibbett, M.; Zobel, M. Rooting theories of plant community ecology in microbial in teractions. Trends Ecol. Evol. 2010, 25, 468–478. [Google Scholar] [CrossRef] [PubMed]




| Study Site | Level Benches-Caragana korshinskii | Half-Moon Terraces-Platycladus orientalis | Level Trenches-Armeniaca sibirica | Counter-Slope Terraces-Platycladus orientalis | Half-Moon Terraces-Pinus tabulaeformis | Counter-Slope Terraces-Pinus tabulaeformis |
|---|---|---|---|---|---|---|
| Study site area (m2) | 60 | 100 | 50 | 100 | 50 | 50 |
| Slope (°) | 26 | 20 | 18 | 24 | 18 | 16 |
| Coordinates | 35°45′12.61″ N 104°33′37.35″ E | 35°44′11.01″ N 104°30′24.94″ E | 35°43′31″ N 104°29′18″ E | 35°43′30.57″ N 104°29′29.71″ E | 35°44′24.69″ N 104°30′39.11″ E | 35°44′11.01″ N 104°30′24.94″ E |
| Plant height (m) | 1.14 ± 0.30 | 1.49 ± 0.38 | 1.97 ± 0.60 | 2.70 ± 0.48 | 5.98 ± 0.53 | 5.71 ± 0.41 |
| DBH (cm) | 1.06 ± 0.95 | 3.31 ± 0.37 | 4.25 ± 0.66 | 4.72 ± 1.02 | 8.97 ± 0.98 | 8.71 ± 0.49 |
| Forest age (years) | 39 | 49 | 47 | 49 | 45 | 45 |
| Terracing techniques description | Slope distance was 3.5–4.0 m, the width of the beach was 1.0–1.5 m, the opposite slope degree was 3–5° | The diameter, length and width were 135, 80 and 50 cm, respectively | A 0.5–1.5 m ditch surface with a length of 1.8 m | Slope distance was 4.0 m and the width of the terrace was 0.6–1.0 m, the opposite slope degree was 5–8° | The diameter, length and width was 135, 80 and 50 cm, respectively | Slope distance was 1.5–2.0 m and the width of the terrace was 1.0–1.5 m, the opposite slope degree was 5–8° |
| Main understory vegetation | Stipa bungeana, Heteropappus altaicus, Peganum harmala, Cymbaria dahurica | Ajania parviflora, Heteropappus altaicus, Stipa bungeana | Artemisia vestita, Medicago sativa, Stipa bungeana, Artemisia capillaris | Stipa bungeana, Thymus mongolicus, Thermopsis lanceolala | Heteropappus altaicus, Cleistogenes chinensis, Leymus secalinus | Heteropappus altaicus, Stipa bungeana, Cleistogenes chinensis |
| Sand% | 20.75 ± 4.03 | 21.68 ± 3.98 | 17.38 ± 3.89 | 21.96 ± 3.70 | 14.87 ± 4.38 | 18.38 ± 6.87 |
| Clay% | 9.72 ± 1.37 | 8.20 ± 0.73 | 10.77 ± 1.19 | 10.25 ± 0.88 | 11.72 ± 0.82 | 9.68 ± 1.92 |
| Silt% | 69.53 ± 3.26 | 70.12 ± 3.71 | 71.84 ± 2.96 | 67.79 ± 2.95 | 73.41 ± 3.63 | 71.94 ± 5.18 |
Disclaimer/Publisher’s Note: The statements, opinions and data contained in all publications are solely those of the individual author(s) and contributor(s) and not of MDPI and/or the editor(s). MDPI and/or the editor(s) disclaim responsibility for any injury to people or property resulting from any ideas, methods, instructions or products referred to in the content. |
© 2023 by the authors. Licensee MDPI, Basel, Switzerland. This article is an open access article distributed under the terms and conditions of the Creative Commons Attribution (CC BY) license (https://creativecommons.org/licenses/by/4.0/).
Share and Cite
Wu, D.; Wei, W.; Li, Z.; Zhang, Q. Coupling Effects of Terracing and Vegetation on Soil Ecosystem Multifunctionality in the Loess Plateau, China. Sustainability 2023, 15, 1682. https://doi.org/10.3390/su15021682
Wu D, Wei W, Li Z, Zhang Q. Coupling Effects of Terracing and Vegetation on Soil Ecosystem Multifunctionality in the Loess Plateau, China. Sustainability. 2023; 15(2):1682. https://doi.org/10.3390/su15021682
Chicago/Turabian StyleWu, Dan, Wei Wei, Zongshan Li, and Qindi Zhang. 2023. "Coupling Effects of Terracing and Vegetation on Soil Ecosystem Multifunctionality in the Loess Plateau, China" Sustainability 15, no. 2: 1682. https://doi.org/10.3390/su15021682
APA StyleWu, D., Wei, W., Li, Z., & Zhang, Q. (2023). Coupling Effects of Terracing and Vegetation on Soil Ecosystem Multifunctionality in the Loess Plateau, China. Sustainability, 15(2), 1682. https://doi.org/10.3390/su15021682

