Next Article in Journal
Investigation of Thermochemical Properties and Pyrolysis of Barley Waste as a Source for Renewable Energy
Previous Article in Journal
A New Fast Deterministic Economic Dispatch Method and Statistical Performance Evaluation for the Cascaded Short-Term Hydrothermal Scheduling Problem
 
 
Font Type:
Arial Georgia Verdana
Font Size:
Aa Aa Aa
Line Spacing:
Column Width:
Background:
Article

Enhanced Sewage Sludge Disintegration and Nutrients Release by Catalytic Microbubbles Ozonation Using Sewage Sludge-Based Char as Catalyst

1
School of Environmental Science and Engineering, Tongji University, Shanghai 200092, China
2
Shanghai Municipal Water Resources Development and Utilization National Engineering Center Co., Ltd., Shanghai 200082, China
*
Author to whom correspondence should be addressed.
Sustainability 2023, 15(2), 1641; https://doi.org/10.3390/su15021641
Submission received: 21 December 2022 / Revised: 8 January 2023 / Accepted: 11 January 2023 / Published: 14 January 2023

Abstract

:
Using microbubble ozonation (MO) technique to disintegrate sludge is a promising sludge treatment process. To enhance the lysis and reduction of sludge, the catalytic ozonation consisting of MO and sewage sludge derived char (SC) were combined. Total solids (TS), volatile solids (VS), total nitrogen and phosphate (TN and TP) were selected as main parameters for evaluating the treatment performance both in solids and supernatant. With the utilization of the catalytic MO, the ozone utilization and sludge reduction were largely improved. At a reaction time of 90 min, an ozone utilization efficiency exceeding 99% was achieved by using a MO system. The optical ozone and sludge char dosages of 150 mg/g suspended solids (SS) and 1 g/L were found for sludge lysis, respectively. TS and VS concentrations decreased by 43% and 56%, respectively, as compared to those of 16.7% and 17.9% obtained by the treatment with MO alone under the condition of sludge solution pH 4. The supernatant soluble chemical oxygen demand (SCOD), TN, TP, NH4+-N and NO3-N increased by 1750%, 205%, 25%, 31% and 43%, respectively. A small amount of additional SC exhibited strong catalytic activity on dissolving organic matter of the sludge, demonstrating the positive effect caused by the heterogeneous catalytic ozonation on sludge disintegration.

1. Introduction

The largely increased sewage sludge produced from wastewater treatment plants has become the burden of the environment. A high cost of 25–60% of the total operating cost is normally needed for the treatment of extra sludge [1,2,3,4,5]. The stabilization and minimization strategy for sludge is a promising way to meet the requirement of zero waste discharge, since the cost of sludge treatment can be reduced and the circumstance of sludge secondary pollution can be avoided. Lysis–cryptic growth is an effective reduction method for excess sludge [6,7,8], and the lysis process determines the rate-limiting step. When the disintegration process is implemented to enhance lysis, cells of microorganism can be destroyed to release the intracellular matters (e.g., extracellular polymeric substances (EPS)), which is utilized again, contributing to the reduction of overall biomass yield [9,10,11]. In recent years, many chemical and physical approaches for sludge destruction have been studied, such as ultrasonic process [1,12,13], mechanical disintegration [14,15], thermal hydrolysis [16,17] and ozonation [18]. In these mentioned strategies, ozonation has attracted intense interest, since 50–100% of the activated sludge production can be reduced [19,20,21]. At the same time, the cost of ozonation for sludge disintegration is lower than those of other methods.
Many researchers have contributed to the application of ozonation for sludge disintegration [15,22,23,24]. Kianmehr et al. found that ozonation could greatly improve the hydrolysis rate of sludge [25]. Braguglia et al. [26] observed that the ozonized sludge (4000 kJ/kg TS) possessed a high initial soluble COD, which greatly improved the digestion performance compared with that of untreated sludge. Considering the low efficiency on mass transfer of ozone molecules, the sludge solubilization by microbubble ozonation has been a subject of recent study. In comparison to common bubbles, the ozone microbubbles have smaller sizes with a diameter less than 50 μm, which increases specific surface area and lowers rising speed [27]. Moreover, that microbubble collapse can also prompt the formation of hydroxyl radicals, which has higher oxidation potential than ozone.
It is important to noted that previous study on sludge disintegration mainly focused on the ozonation itself, while few studies focused on the heterogeneous catalytic ozonation, which can provide fast degradation of sewage sludge and its reduction, especially in the system of sludge char catalyzed microbubble ozonation. In the past, the conversion of sewage sludge into carbonaceous catalyst has been one of the emerging attempts [28,29,30,31]. Wen et al. [31] found that a strong synergistic effect could be exhibited on the integration of SC with ozone for the improvement of oxalic acid removal. In general, the decorating of active iron species on raw sludge is expected to result in higher catalytic efficiency on catalytic ozone disintegration [32]. Huang et al. [33] had successfully used sewage sludge activated carbon/MnOx to improve the aqueous oxalic acid degradation performance through ozonation. However, until now, the utilization of microbubble ozonation catalyzed by SC on the behavior of sewage sludge disintegration and nutrient release was scarcely reported. Therefore, in this work, the synergetic effect of SC and microbubble ozonation was investigated in heterogeneous microbubble disintegration of sewage sludge. The enhancement mechanism of sludge solubilization by the combined system of sludge char and micro-ozone bubbles was also discussed.

2. Materials and Methods

The sewage sludge used was collected from the secondary sentimental tank of Dongqu municipal wastewater treatment plant in Shanghai, China. The raw sludge was stored in a plastic container at 4 °C prior to use, and its basic characteristics are given in Table 1.
The raw sewage sludge was immediately centrifuged at 4000 rpm and dried at 105 °C to a constant weight. Then, the samples were carbonized in a furnace under 600 °C with N2 protection. The resultant powder was washed several times, and the catalyst marked as SC was obtained. A volume of 20 L of sludge was added into an ozonation reactor designed in semi-batch mode. Before experiment, the ozone concentration and stability of the ozone-containing gas in the KI solution were confirmed by a three-way valve. The SC (0.1–1 g/L) and the continuous ozone gas were introduced into the reactor. At a certain interval, the ozonated sludges were collected for measurement. For the off-gas, its ozone concentration was also detected during the ozonation process. The millibubbles were produced by a stainless-steel diffuser (MBO-75S, Foshan, China) and the size range of the millibubbles was estimated by analyze the snapshot using Nanoparticle Tracking Analysis Technology. The output flow rate of inlet ozone concentration was controlled at 90 mg/L and ozone concentration is determined by the iodometric method. In the ozonation experiments, for comparison, the microbubble generator (contact time: 100 min) and the conventional bubble contactor (contact time: 120 min) were used, wherein the contact time is different due to their different ozone utilization efficiencies. The diagram illustration of the experimental set-up is shown in Figure 1. The whole distribution diagram of bubbles particles in the range of 0 to 600 nm within 20 min after Nanoparticle Tracking Analyzer (LM10-HSBFT14, Malvern Co, Britain) start can be seen in Figure 2; most particle were 100 nanometers, which is also relatively stable.

3. Results

3.1. Characterizations of SC

Figure 3a shows the X-ray diffraction (XRD) pattern of SC to determine the phases and crystallinity. Through the high temperature carbonization process, several crystal phases are obtained in SC, in which the peaks at 2θ = 26.2° correspond to the (002) plane of the graphite structure, which contributes to the carbonization of sewage sludge. Besides, the massive presence of minerals, such as Fe-based oxide, quartz and illite, is expected, as they remain in existence under the carbonization conditions employed. The N2 adsorption–desorption isotherm of SC is given in Figure 3b, and the mesoporous structure can be exhibited due to it being type-IV with the H2 hysteresis loop. The specific surface area is calculated by the BET method, and a high value of 121.1 m2/g is obtained for SC. These results demonstrated that SC with good crystallinity can provide many stable active sites for the catalytic reaction induced by microbubble ozonation.

3.2. Performance of Catalytic Ozonation with SC on Sludge Disintegration

With the catalytic treatment, the organics in sludge can be released into the liquid phase, leading to the reduction of the TSS and VSS in sludge [34]. Meanwhile, the disintegration efficiency is evaluated by the SCOD value. As shown in Figure 4a, with the combination of SC and microbubble ozone, the largely enhanced degree of disintegration (DDSCOD) and SCOD are present. During the 160 min treatment, the SCOD increases from 0 to 1991 mg/L as the dosage changes from 0.5 to 275 mg/g SS. Then, the balance between the sludge lysis and the oxidation of the soluble substances is built, and the stable SCOD value is obtained. It is noted that, the introduction of 0.5 g/L SC substantially increased the SCOD in the first 60 min, indicating the strong catalytic effect of SC on ozone particles and the synergetic effect on both microbubbles and SC catalyst.
The cumulative ozonation efficiency of SC catalyzed sludge oxidation was further compared by using microbubble and SC catalyzed microbubble systems (Figure 4b). It is obvious that in the beginning of the reaction, the cumulative ozonation efficiency in SC catalyzed ozone system is much higher than that of the microbubble system, which demonstrates the synergetic effect of SC and microbubble oxidation. The obvious synergetic effect on both microbubbles and SC catalyst was mainly attributed to the high ozonation utilization efficiency in the SC catalyzed sludge oxidation system, which produced the formation of hydroxyl radicals for sludge disintegration and lysis.

3.3. Comparative Performance of Phosphorus and Nitrogen Release by Microbubble Ozonation with and without SC Addition

Ozone oxidation is able to decompose the microorganism cells, causing the release of cytoplasm compounds, and then the soluble protein and phosphorus concentrations in the bulk solutions increase. The rapid release of TN (Figure 5a) and ammonium (Figure 5b) is discovered for SC catalyzed ozone system when the dosage of O3 is below 75 mg/L. Different from the continuous increase of TN concentration, the ammonium concentrations are initially increased rapidly and then increased slightly. The initial rapidly increasing content for amine is the result of the oxidative transformation of organic nitrogen. However, the slight increment of ammonium in SC catalyzed microbubble systems when O3 dosage exceeded 150 mg/g SS further suggests the oxidation of ammonium to nitrogen. As O3 alone cannot oxidize NH3 to N2, the indirect oxidation must contribute to the reactions. As some inorganic anions such as chloride and sulfate can exist in sludge solutions, the side reactions between SC catalyzed hydroxyl radicals and Cl or SO42− can prompt the formation of Cl• and SO42−•. As most literature has suggested, the Cl ions are capable of oxidizing the ammonium into N2 [35,36,37] thus resulting in the slight reduction of TN as the O3 input reaches 200 mg/g SS. In comparison to microbubble ozonation in the absence of SC, the continuous increase of ammonium and TN in bulk solutions are expected due to the destruction and release of cytoplasm of sludge cells.
Cl + HO• → OH + Cl•
2Cl• + O2 → 2ClO• + O2
The concentration of TP (Figure 5c) proceeds to grow when ozone dosage is below 150 mg/g SS and reaches equilibrium with a further increase to the ozone dosage. It is attributed, when the ozone dose exceeds 150 mg/g SS, to the rection between the organic substance released from sludge flocs when the hydroxyl radicals can be produced, leading to the smaller increasing tendency of TP at higher ozone input.

3.4. Effect of pH on the Performance of SC Catalyzed Microbubble Sludge Ozonation

In the SC catalyzed ozonation systems, the influences of pH contain the decomposition of ozone molecules, the surface properties of SC, and the charge of solubilized organic molecules, which inhibit prediction of the behavior of sludge decomposition and destruction. Thus, the effect of the initial pH on the removal efficiencies of MLSS and MLVSS removal efficiency in the SC catalyzed microbubble systems are investigated. Figure 6 shows that the highest MLSS and MLVSS removals are achieved at alkaline pH of 10. When the pH descends to 7, the MLSS and MLVSS removal efficiencies decrease rapidly, especially when the ozone dosage exceeds 150 mg/g SS. As pH decreases to 4, it is interesting to find that the MLSS and MLVSS removal efficiencies recover. It is reported that alkaline pH is favorable for O3 decomposition. The OH- assisted H2O formation contributes to produce the highly oxidative hydroxyl radicals, which play a dominant role in sludge destruction due to the higher O3 dosage.
O3 + HO → HO2 + O2
O3 + HO2 → HO• + O2 + O2
The measured pHpzc of SC catalyst is 4.1 by titration, and the higher MLSS removal is achieved at pH 4.0 in the alkaline region (Figure 6). The best organic removal is often achieved at the pH near pHpzc in catalytic ozonation process. pHpzc refers to the pH at which the catalyst surface is zero charged. When the solution pH is higher than this point, the electrophilic H in the surface hydroxyl groups will be ionized to decrease the surface OH groups. The SC surface is positively charged and the protonation process is strengthened when pH = 4, which promotes the decomposition efficiency of microbubble ozone due to the decreased nucleophilicity of the O in surface hydroxyl groups. In this case, the SC catalyzed ozonation probably occurred at the catalyst surface, and the radical reaction in bulk phases should be subordinate in the SC catalyzed microbubble ozonation process.
It can be observed from Figure 6 that the SC catalyzed ozonation of sewage sludge can be divided into two phases with the increase in the ozone dosage. The first phase occurs at the ozone dosage below 150 mg/g SS, which is the process of sludge particle dissolution by the direct attack of ozone molecules. In this period, the sludge floc structure is firstly disrupted by ozone, and then a portion of zoogloeal was dispersed into individual cells. In the second stage, namely when the ozone dosage exceeds 150 mg/g SS, the accumulated ozone in aqueous phase reacts with SC to produce hydroxyl radicals, thus promoting the damage of cell membrane, releasing and degrading the extracellular and intracellular matters in liquid phase. As a result, the MLSS and MLVSS in this study present a sharp increase. The dissolved organics released from EPS and cells are also mineralized by the oxidative radicals, and then the ozone quantity that reacts with the sludge is decreased. Moreover, as some volatile fatty acids (VFA) are recalcitrant to radicals’ attack, the VFA can be produced from the reaction of the mater containing C, leading to the lower pH values. As shown in Figure 7, the pH decreases slightly as the reaction proceeds, especially for the initial pH at 10.
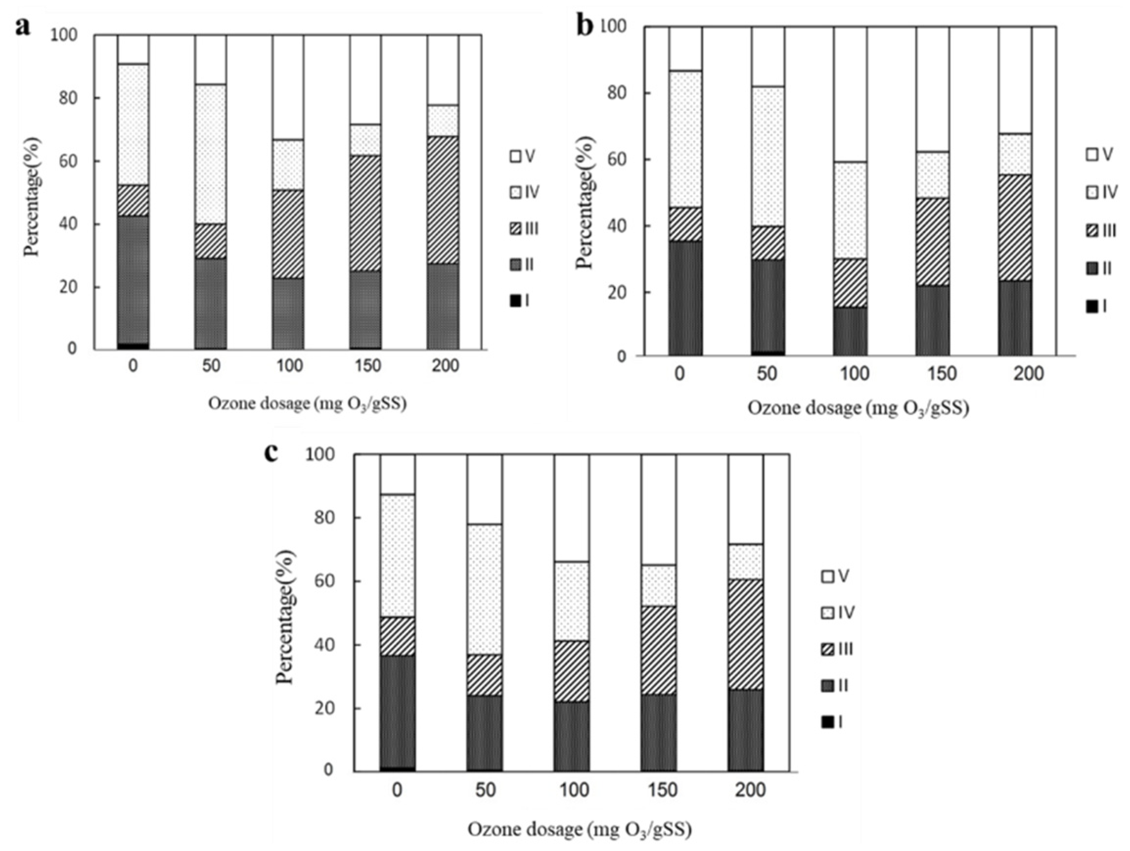
Figure 8 shows the fluorescence intensity of organics in SB-EPS (slightly bonded extracellular polymeric substance) with different initial pH which is greatly reduced over the combined SC and microbubble ozonation. SB-EPS is the substance dissolved in the supernatant [38]. The fluorescence peaks related to the compositions of EPS can be categorized into five zones, shown in Figure 9. The I and II zones, which have the excitation wavelength (ex) and emission wavelength (em) lower than 250 and 350 nm, correspond to the protein-like substances having aromatic structures. The III zone, which has the ex and em between 200–250 and lower than 380 nm, is indicative of fulvic acids. The IV zone, which has the ex between 250–280 nm and the em < 380 nm, corresponds to the dissolved cellular substance. The V zone, having the ex and em higher than 280 and 380 nm, respectively, is the range representing humic acids.
Only the aromatic protein-like substance is found in SB-EPS for the raw sludge. Differently, with the introduction of O3, aromatic protein-like, fulvic acid-like, soluble microbial by-product-like, and humic acid-like substances can be detected in the spectra. Compared with the treated sludge at initial pH 7, the fluorescence peaks of SB-EPS at pH 10 and 4 are mainly covered in the II–V zones, confirming the release of large number of EPS and its degradation into volatile acids. Furthermore, the SB-EPS content in supernatant increases due to the release of more fulvic acid-like substances at pH 4.
According to above results, with the combination of SC and microbubble ozone, the sludge networks have been effectively destroyed to release organics into supernatants, and then the SB-EPS content increases. Meanwhile, the pH serves an important role in determining the release of LB-EPS into supernatant, as shown the Figure 9. The proportion of humic acids obviously increases when initial pH is 4, which demonstrates that the surface catalyzed ozone oxidation can further destroy and degrade the protein into small acids in bulk solutions. However, for pH 10, the formation of fulvic acids can be primarily induced by the ozonation.

3.5. Mechanism Discussion

As shown in Figure 10, the sludge flocs, particularly the Zoogloea structures, are first disrupted by ozone through the oxidation of TB-EPS and LB-EPS, and bridging matter and individual cells are formed from sludge flocs. Since microbubble ozone has a strong oxidative efficiency, the extracellular and intracellular matters can be released into the bulk phase from the destruction of the cell membrane.
In addition, the microbubbles at acidic pH are protonated and could be adsorbed onto SC surface. The surface catalyzed ozone decomposition promotes the formation of hydroxyl radicals. It is reported that O3 can be decomposed to produce •O, which can react with the surface hydroxyl surface groups of SC to form O2H [39], and then •O2H can be produced by the reaction of O2H with another O3. These •O2H radicals subsequently react with another O3 to generate •O3 or transfer into •O2 and react with O3 to yield •O3, and finally the O2 and free •OH are produced. These highly oxidative radicals can react with the soluble maters such as proteins, C, N, P from EPS and cells. The reaction of the mater containing C promotes the formation of the volatile fatty acids. The radicals can mineralize the dissolved organics which is released from the destruction of EPS and cells to form CO2 and H2O, resulting in removal of MLSS and MLVSS.
To clarify the contribution of SC and microbubble ozonation, the hydroxyl radical scavenger of thiobarbituric acid (TBA) is introduced. It had been confirmed that TBA can react quickly with hydroxyl radicals with a rate constant of 6 × 108 M−1 S−1, but react slowly with ozone [40]. The added TBA inhibits the MLSS and MLVSS removals in SC catalyzed systems and had no obvious adverse effect in microbubble ozone system (5.1% reduction of MLSS removal). Therefore, the surface catalyzed oxidation from SC and ozone molecules can contribute to the degradation and mineralization of soluble substances. Both ozone and soluble substances released from EPS and cells are adsorbed onto the SC surface, where ozone is complexed with surface-OH and reduced by transition metals such as Fe (II) in a carbon matrix, resulting in the formation of hydroxyl radicals and thus destroying the adsorbed EPS into final humic acids.

4. Conclusions

Sludge disintegration by SC catalyzed microbubble ozonation (MO) was conducted in this study to obtain the enhanced oxidative performance on sludge decomposition and destruction. The SCOD, TN, NH4-N and TP were selected as main parameters to compare the catalytic effect on sludge lysis and reduction. The effect of initial pH was discussed on the removal efficiency of MLSS and MLVSS. The results show that when ozone dosage is below 150 mg/g SS, the ozone destruction of sludge flocs dominate the reaction. When ozone dosage exceeds 150 mg/g SS, the degradation of the released SCOD plays a key role in the process. The mechanism of surface catalyzed degradation is further discussed by TBA inhibiting experiments, and the results show a strong surface catalyzed effect at pH = 4. Therefore, the novel combination of SC and microbubble ozonation has proven to be a promising solution for sewage sludge disintegration.

Author Contributions

X.Z. (Xin Zhang): Investigation, writing draft, Writing—Reviewing and Editing; G.L.: Investigation, writing draft, Writing—Reviewing and Editing; Y.L.: Investigation, Writing—Reviewing and Editing; Y.M.: Investigation, Writing—Reviewing and Editing; X.H.: Conceptualization, Supervision, Investigation, Writing—Reviewing and Editing; X.Z. (Xinyu Zhou): Conceptualization, Supervision, Investigation, Writing—Reviewing and Editing. All authors have read and agreed to the published version of the manuscript.

Funding

The authors are grateful for the Central Government Leads Local Special Funds (YDZX20163100004535), and the Open Project of State Key Laboratory of Urban Water Resource and Environment, Harbin Institute of Technology (QA201612 and QA201613).

Institutional Review Board Statement

Not applicable.

Informed Consent Statement

Not applicable.

Data Availability Statement

Not applicable.

Conflicts of Interest

The authors declare no conflict of interest.

References

  1. Gao, J.; Liu, Y.; Yan, Y.; Wan, J.; Liu, F. Promotion of sludge process reduction using low-intensity ultrasonic treatment. J. Clean. Prod. 2021, 325, 129289. [Google Scholar] [CrossRef]
  2. Sengar, A.; Vijayanandan, A. Effects of pharmaceuticals on membrane bioreactor: Review on membrane fouling mechanisms and fouling control strategies. Sci. Total Environ. 2022, 808, 152132. [Google Scholar] [CrossRef]
  3. Shrestha, B.; Hernandez, R.; Fortela, D.L.B.; Sharp, W.; Chistoserdov, A.; Gang, D.; Revellame, E.; Holmes, W.; Zappi, M.E. A review of pretreatment methods to enhance solids reduction during anaerobic digestion of municipal wastewater sludges and the resulting digester performance: Implications to future urban biorefineries. Appl. Sci. 2020, 10, 9141. [Google Scholar] [CrossRef]
  4. Zhang, G.; Zhang, P.; Yang, J.; Chen, Y. Ultrasonic reduction of excess sludge from the activated sludge system. J. Hazard. Mater. 2007, 145, 515–519. [Google Scholar] [CrossRef] [PubMed]
  5. Yuan, H.; Zhu, N.; Song, L. Conditioning of sewage sludge with electrolysis: Effectiveness and optimizing study to improve dewaterability. Bioresour. Technol. 2010, 101, 4285–4290. [Google Scholar] [CrossRef]
  6. Wang, Y.W.; Xiao, Q.C.; Liu, J.B.; Yan, H.; Wei, Y.S. Pilot-scale study of sludge pretreatment by microwave and sludge reduction based on lysis-cryptic growth. Bioresour. Technol. 2015, 190, 140–147. [Google Scholar] [CrossRef] [PubMed]
  7. Lan, W.C.; Li, Y.Y.; Bi, Q.; Hu, Y.Y. Reduction of excess sludge production in sequencing batch reactor (SBR) by lysis-cryptic growth using homogenization disruption. Bioresour. Technol. 2013, 134, 43–50. [Google Scholar] [CrossRef]
  8. Zhang, J.; Xu, D.; Zhang, G.; Ren, Z.; Zhu, Y. Critical review on ultrasound lysis-cryptic growth for sludge reduction. J. Environ. Chem. Eng. 2021, 9, 106263. [Google Scholar] [CrossRef]
  9. Zhang, J.; Zhang, J.; Tian, Y.; Li, N.; Kong, L.; Sun, L.; Yu, M.; Zuo, W. Changes of physicochemical properties of sewage sludge during ozonation treatment: Correlation to sludge dewaterability. Chem. Eng. J. 2016, 301, 238–248. [Google Scholar] [CrossRef]
  10. Feng, L.; Chen, Y.; Chen, X.; Duan, X.; Xie, J.; Chen, Y. Anaerobic accumulation of short-chain fatty acids from algae enhanced by damaging cell structure and promoting hydrolase activity. Bioresour. Technol. 2018, 250, 777–783. [Google Scholar] [CrossRef]
  11. Zhou, J.; You, X.; Niu, B.; Yang, X.; Gong, L.; Zhou, Y.; Wang, J.; Zhang, H. Enhancement of methanogenic activity in anaerobic digestion of high solids sludge by nano zero-valent iron. Sci. Total Environ. 2020, 703, 135532. [Google Scholar] [CrossRef]
  12. Zhao, H.; Zhang, P.; Zhang, G.; Cheng, R. Enhancement of ultrasonic disintegration of sewage sludge by aeration. J. Environ. Sci. 2016, 42, 163–167. [Google Scholar] [CrossRef] [PubMed]
  13. Ghafarzadeh, M.; Abedini, R.; Rajabi, R. Optimization of ultrasonic waves application in municipal wastewater sludge treatment using response surface method. J. Clean. Prod. 2017, 150, 361–370. [Google Scholar] [CrossRef]
  14. Horttanainen, M.; Deviatkin, I.; Havukainen, J. Nitrogen release from mechanically dewatered sewage sludge during thermal drying and potential for recovery. J. Clean. Prod. 2017, 142, 1819–1826. [Google Scholar] [CrossRef]
  15. Zubrowska-Sudol, M.; Walczak, J. Effects of mechanical disintegration of activated sludge on the activity of nitrifying and denitrifying bacteria and phosphorus accumulating organisms. Water Res. 2014, 61, 200–209. [Google Scholar] [CrossRef] [PubMed]
  16. Lu, D.; Sun, F.; Zhou, Y. Insights into anaerobic transformation of key dissolved organic matters produced by thermal hydrolysis sludge pretreatment. Bioresour. Technol. 2018, 266, 60–67. [Google Scholar] [CrossRef] [PubMed]
  17. Zhang, W.; Dong, B.; Dai, X.; Dai, L. Enhancement of sludge dewaterability via the thermal hydrolysis anaerobic digestion mechanism based on moisture and organic matter interactions. Sci. Total Environ. 2021, 798, 149229. [Google Scholar] [CrossRef] [PubMed]
  18. Zhang, G.; Yang, J.; Liu, H.; Zhang, J. Sludge ozonation: Disintegration, supernatant changes and mechanisms. Bioresour. Technol. 2009, 100, 1505–1509. [Google Scholar] [CrossRef]
  19. Alfonso-Muniozguren, P.; Lee, J.; Bussemaker, M.; Chadeesingh, R.; Jones, C.; Oakley, D.; Saroj, D. A combined activated sludge-filtration-ozonation process for abattoir wastewater treatment. J. Water Process Eng. 2018, 25, 157–163. [Google Scholar] [CrossRef]
  20. Otieno, B.; Apollo, S.; Kabuba, J.; Naidoo, B.; Simate, G.; Ochieng, A. Ozonolysis pre-treatment of waste activated sludge for solubilization and biodegradability enhancement. J. Environ. Chem. Eng. 2019, 7, 102945. [Google Scholar] [CrossRef]
  21. Hodaei, M.; Ghasemi, S.; Khosravi, A.; Vossoughi, M. Effect of the ozonation pretreatment on biogas production from waste activated sludge of tehran wastewater treatment plant. Biomass Bioenergy 2021, 152, 106198. [Google Scholar] [CrossRef]
  22. Parandoush, S.; Mokhtarani, N. Reducing excess sludge volume in sequencing batch reactor by integrating ultrasonic waves and ozonation. J. Environ. Manag. 2022, 317, 115405. [Google Scholar] [CrossRef] [PubMed]
  23. Salsabil, M.R.; Laurent, J.; Casellas, M.; Dagot, C. Techno-economic evaluation of thermal treatment, ozonation and sonication for the reduction of wastewater biomass volume before aerobic or anaerobic digestion. J. Hazard. Mater. 2010, 174, 323–333. [Google Scholar] [CrossRef] [PubMed]
  24. Ge, D.D.; Bian, C.; Yuan, H.P.; Zhu, N.W. An in-depth study on the deep-dewatering mechanism of waste activated sludge by ozonation pre-oxidation and chitosan re-flocculation conditioning. Sci. Total Environ. 2020, 714, 136627. [Google Scholar] [CrossRef]
  25. Kianmehr, P.; Parker, W.; Seto, P. An evaluation of protocols for characterization of ozone impacts on WAS properties and digestibility. Bioresour. Technol. 2010, 101, 8565–8572. [Google Scholar] [CrossRef] [PubMed]
  26. Braguglia, C.M.; Gianico, A.; Mininni, G. Comparison between ozone and ultrasound disintegration on sludge anaerobic digestion. J. Environ. Manag. 2012, 95, S139–S143. [Google Scholar] [CrossRef] [PubMed]
  27. Chu, L.-B.; Yan, S.-T.; Xing, X.-H.; Yu, A.-F.; Sun, X.-L.; Jurcik, B. Enhanced sludge solubilization by microbubble ozonation. Chemosphere 2008, 72, 205–212. [Google Scholar] [CrossRef]
  28. Wen, H.; Gu, L.; Yu, H.; Qiao, X.; Zhang, D.; Ye, J. Radical assisted iron impregnation on preparing sewage sludge derived Fe/carbon as highly stable catalyst for heterogeneous Fenton reaction. Chem. Eng. J. 2018, 352, 837–846. [Google Scholar] [CrossRef]
  29. Wang, X.; Gu, L.; Zhou, P.; Zhu, N.; Li, C.; Tao, H.; Wen, H.; Zhang, D. Pyrolytic temperature dependent conversion of sewage sludge to carbon catalyst and their performance in persulfate degradation of 2-Naphthol. Chem. Eng. J. 2017, 324, 203–215. [Google Scholar] [CrossRef]
  30. Mian, M.M.; Liu, G.; Fu, B. Conversion of sewage sludge into environmental catalyst and microbial fuel cell electrode material: A review. Sci. Total Environ. 2019, 666, 525–539. [Google Scholar] [CrossRef]
  31. Wen, G.; Pan, Z.-H.; Ma, J.; Liu, Z.-Q.; Zhao, L.; Li, J.-J. Reuse of sewage sludge as a catalyst in ozonation—Efficiency for the removal of oxalic acid and the control of bromate formation. J. Hazard. Mater. 2012, 239, 381–388. [Google Scholar] [CrossRef] [PubMed]
  32. Tu, Y.; Xiong, Y.; Tian, S.; Kong, L.; Descorme, C. Catalytic wet air oxidation of 2-chlorophenol over sewage sludge-derived carbon-based catalysts. J. Hazard. Mater. 2014, 276, 88–96. [Google Scholar] [CrossRef] [PubMed]
  33. Huang, B.-C.; Jiang, J.; Huang, G.-X.; Yu, H.-Q. Sludge biochar-based catalysts for improved pollutant degradation by activating peroxymonosulfate. J. Mater. Chem. A 2018, 6, 8978–8985. [Google Scholar] [CrossRef]
  34. He, D.-Q.; Wang, L.-F.; Jiang, H.; Yu, H.-Q. A Fenton-like process for the enhanced activated sludge dewatering. Chem. Eng. J. 2015, 272, 128–134. [Google Scholar] [CrossRef]
  35. Shih, Y.-J.; Hsu, C.-H. Kinetics and highly selective N2 conversion of direct electrochemical ammonia oxidation in an undivided cell using NiCo oxide nanoparticle as the anode and metallic Cu/Ni foam as the cathode. Chem. Eng. J. 2021, 409, 128024. [Google Scholar] [CrossRef]
  36. Lv, Z.; Hao, L.; Yao, Z.; Li, W.; Robertson, A.W.; Sun, Z. Rigorous Assessment of Cl-Based Anolytes on Electrochemical Ammonia Synthesis. Adv. Sci. 2022, 9, 2204205. [Google Scholar] [CrossRef]
  37. Song, Q.; Li, M.; Wang, L.; Ma, X.; Liu, F.; Liu, X. Mechanism and optimization of electrochemical system for simultaneous removal of nitrate and ammonia. J. Hazard. Mater. 2019, 363, 119–126. [Google Scholar] [CrossRef] [PubMed]
  38. Hu, S.; Hu, J.; Liu, B.; Wang, D.; Wu, L.; Xiao, K.; Liang, S.; Hou, H.; Yang, J. In situ generation of zero valent iron for enhanced hydroxyl radical oxidation in an electrooxidation system for sewage sludge dewatering. Water Res. 2018, 145, 162–171. [Google Scholar] [CrossRef]
  39. Ernst, M.; Lurot, F.; Schrotter, J.C. Catalytic ozonation of refractory organic model compounds in aqueous solution by aluminum oxide. Appl. Catal. B 2004, 47, 15–25. [Google Scholar] [CrossRef]
  40. Xu, L.; Liu, W.; Li, X.; Rashid, S.; Shen, C.; Wen, Y. Fabrication of MnOx heterogeneous catalysts from wet sludge for degradation of azo dyes by activated peroxymonosulfate. RSC Adv. 2015, 5, 12248–12256. [Google Scholar] [CrossRef]
Figure 1. The diagram illustration of catalytic ozonation of sewage sludge. (1. Reactor; 2. Pump; 3. Microbubble generator; 4. Ozone generator; 5. In/off-gas detector).
Figure 1. The diagram illustration of catalytic ozonation of sewage sludge. (1. Reactor; 2. Pump; 3. Microbubble generator; 4. Ozone generator; 5. In/off-gas detector).
Sustainability 15 01641 g001
Figure 2. Particle size distribution map of bubbles nanoparticles.
Figure 2. Particle size distribution map of bubbles nanoparticles.
Sustainability 15 01641 g002
Figure 3. (a) XRD pattern and N2 adsorption–desorption isotherm for SC; (b) relative pressure of SC.
Figure 3. (a) XRD pattern and N2 adsorption–desorption isotherm for SC; (b) relative pressure of SC.
Sustainability 15 01641 g003
Figure 4. (a) Effect of ozone dosage on SCOD increment in the combined process of microbubble ozone and SC. (b) Comparative results of cumulative ozonation efficiency by using microbubble and SC catalyzed microbubble.
Figure 4. (a) Effect of ozone dosage on SCOD increment in the combined process of microbubble ozone and SC. (b) Comparative results of cumulative ozonation efficiency by using microbubble and SC catalyzed microbubble.
Sustainability 15 01641 g004
Figure 5. Effect of ozone dosage on variation of TN (a), ammonium (b) and TP (c) concentration in microbubble and SC catalyzed microbubble ozonation systems.
Figure 5. Effect of ozone dosage on variation of TN (a), ammonium (b) and TP (c) concentration in microbubble and SC catalyzed microbubble ozonation systems.
Sustainability 15 01641 g005
Figure 6. Effect of initial pH on MLSS (a) and MLVSS (b) removal efficiencies in SC catalyzed microbubble ozonation.
Figure 6. Effect of initial pH on MLSS (a) and MLVSS (b) removal efficiencies in SC catalyzed microbubble ozonation.
Sustainability 15 01641 g006
Figure 7. The pH variation in SC catalyzed ozonation system with the function of ozone dosage.
Figure 7. The pH variation in SC catalyzed ozonation system with the function of ozone dosage.
Sustainability 15 01641 g007
Figure 8. EEM spectra of SB-EPS fractions in sludge conditioned in SC catalyzed ozone systems with different pH (4, 7 and 10) and ozone dosage.
Figure 8. EEM spectra of SB-EPS fractions in sludge conditioned in SC catalyzed ozone systems with different pH (4, 7 and 10) and ozone dosage.
Sustainability 15 01641 g008
Figure 9. The proportion of different substance distribution (a) 55 mg/L, (b) 110 mg/L, (c) 140 mg/L in sludge supernatant by SC catalyzed ozonation.
Figure 9. The proportion of different substance distribution (a) 55 mg/L, (b) 110 mg/L, (c) 140 mg/L in sludge supernatant by SC catalyzed ozonation.
Sustainability 15 01641 g009
Figure 10. Schematic diagram of SC catalyzed ozonation of sewage sludge.
Figure 10. Schematic diagram of SC catalyzed ozonation of sewage sludge.
Sustainability 15 01641 g010
Table 1. Basic characteristics of raw sewage sludge used.
Table 1. Basic characteristics of raw sewage sludge used.
ParametersData (mg/L)
Mixed liquid suspended solids (MLSS)4500–6500
Mixed liquid volatile suspended solids (MLVSS)3000–3500
pH6.5–7.5
Soluble chemical oxygen demand (SCOD)40–250
TP1.5–6.0
TN4.5–10.3
NH4+-N2.0–6.2
NO3-N0.12–0.67
Disclaimer/Publisher’s Note: The statements, opinions and data contained in all publications are solely those of the individual author(s) and contributor(s) and not of MDPI and/or the editor(s). MDPI and/or the editor(s) disclaim responsibility for any injury to people or property resulting from any ideas, methods, instructions or products referred to in the content.

Share and Cite

MDPI and ACS Style

Zhang, X.; Li, G.; Li, Y.; Ma, Y.; Han, X.; Zhou, X. Enhanced Sewage Sludge Disintegration and Nutrients Release by Catalytic Microbubbles Ozonation Using Sewage Sludge-Based Char as Catalyst. Sustainability 2023, 15, 1641. https://doi.org/10.3390/su15021641

AMA Style

Zhang X, Li G, Li Y, Ma Y, Han X, Zhou X. Enhanced Sewage Sludge Disintegration and Nutrients Release by Catalytic Microbubbles Ozonation Using Sewage Sludge-Based Char as Catalyst. Sustainability. 2023; 15(2):1641. https://doi.org/10.3390/su15021641

Chicago/Turabian Style

Zhang, Xin, Guangming Li, Yijing Li, Yan Ma, Xiaomeng Han, and Xinyu Zhou. 2023. "Enhanced Sewage Sludge Disintegration and Nutrients Release by Catalytic Microbubbles Ozonation Using Sewage Sludge-Based Char as Catalyst" Sustainability 15, no. 2: 1641. https://doi.org/10.3390/su15021641

APA Style

Zhang, X., Li, G., Li, Y., Ma, Y., Han, X., & Zhou, X. (2023). Enhanced Sewage Sludge Disintegration and Nutrients Release by Catalytic Microbubbles Ozonation Using Sewage Sludge-Based Char as Catalyst. Sustainability, 15(2), 1641. https://doi.org/10.3390/su15021641

Note that from the first issue of 2016, this journal uses article numbers instead of page numbers. See further details here.

Article Metrics

Back to TopTop