Abstract
The energy flow is step-by-step among Lithium-ion-battery when an equalizer based on the buck-boost converter is adopted, resulting in a long energy transmission path and low equalization efficiency. First, a Lithium-ion-battery equalizer based on the dual active half-bridge is studied in this paper. Second, the key parameters of the energy flow between cells in the same group and cells in different groups in the equalizer are analyzed. Third, a phase shift control strategy is put forward according to the analysis results. The equalizer with the proposed control strategy not only can realize the energy flow between cells in the same group and different groups but also work at high frequency. Therefore, the transformer can be designed to be small in size and light in weight, greatly reducing the volume and weight of the equalizer. A prototype of the dual active half-bridge equalizer with four lithium batteries was managed. The experimental results show that the proposed Lithium-ion-battery equalizer based on phase shift control has good equalization performances.
1. Introduction
Lithium-ion batteries have the advantages of high capacity density, long life and low self-discharge rate, and have been widely used in portable electronic equipment, new energy vehicles, energy storage and aerospace fields [1,2,3]. To be applied in high voltage occasions, the Lithium-ion-battery monomer is connected in series to obtain a Lithium-ion-battery pack to obtain the required voltage and required capacity [4,5]. However, differences in the manufacturing process of lithium batteries cause differences in effective capacity, equivalent resistance and output voltage between cells, and this problem becomes more and more obvious with the increase in battery life. In the process of frequent charging and discharge, some cells may be overcharged and over-discharged. This results in extreme cases such as battery capacity reduction, life-shortening, overheating and even explosion [6,7]. Therefore, the series Lithium-ion-battery packs must be equipped with an equalizer to ensure the safe operation of lithium batteries.
There are many classification methods for lithium-ion battery equalizers, and there are differences in classification methods among different kinds of literature, but they can be generally divided into energy-consuming equalizers and non-energy-consuming equalizers [8,9]. The energy consumption equalizer adopts a resistor and switch tube in series and then in parallel with the cell. If the voltage or state of charge (SOC) of a cell is higher than that of other cells, the corresponding resistor releases the excess energy through the switch tube to keep the SOC of all cells consistent [10]. This method is low cost, stable and reliable, but low efficiency, and the heat generated by the resistance makes it difficult to control the battery management system (BMS) [11,12].
Non-energy consumption equalizers are divided into active equalizers and passive equalizers [13]. The passive equalizer uses the diode to form the cascade rectifier to realize the balance of the cell, and its control scheme is simple and the cost is low. Generally, it can be divided into the scheme of transformer single-side coil +/positive straight capacitor and the scheme of transformer multi-side winding [14,15]. In the first scheme, the capacity of the isolating capacitor is required to be very large, otherwise, the equalization speed will be reduced. In the second equalization scheme, the equalization speed is controlled by the leakage inductance of each transformer side and the line impedance [15]. In addition, the efficiency of the passive equalizer is low due to the low voltage of the cell and the minimum on-voltage drop of the diode is 0.5 V.
According to the energy flow, Non-energy consumption Active equalizer can be further classified into four groups as follows.
- (1)
- Adjacent cell-to-cell methods (ACTC)
Generally the specific topology has the switched capacitor, the double-tiered switching capacitor, the Cûk converter, the Pulse Width Modulation (PWM) controlled converter and the Quasi-Resonant and the resonant converter ones. No matter which circuit of the mentioned topology above is utilized, the charge is only transferred from one cell to an adjacent one through an individual cell equalizer with this method. It would take a long time to transport charge from the source cell to the target one, especially when they are on opposite ends of the pack. In addition, the charge would have to travel through all the cells and individual cell equalizers, and this results in extremely low efficiency at high voltage [16].
- (2)
- Direct cell-to-cell methods (DCTC)
To overcome the drawback of the ACTC, a DCTC utilizing a common equalizer is discussed. The DCTC consists of three methods: the flying capacitor [17], the flying inductor, and the multiphase interleaved converter. In these methods, each cell is connected with the capacitor or inductor through two switches. Thus, the energy exchange between any cells at any position in the pack can be achieved by controlling the two switches connected to the battery [18]. Over-equalization is avoided as the equalizing current is proportional to the voltage difference between the source cell and the target one, but this also leads to a slow balance. In addition, this method can not ensure voltage consistency absolutely between cells due to the voltage drop across the power devices.
- (3)
- Cell-to-pack methods (CTP)
This method can be subdivided into five methods: the shunt inductor, boost shunting, multiple transformers, multi secondary windings transformer, and switched transformer ones. In these equalizers, it is important that these balance strategies will take too long time when one cell is less charged than the others while the others are balanced especially when the cell number in series is large.
- (4)
- Pack-to-cell methods (PTC)
The charge is transferred from the pack to the least charged cell in the battery pack. This method can be subdivided into five methods, the voltage multiplier, full-bridge converter, multiple transformer, multi secondary windings transformer, and switched transformer ones. In these equalizers, it is important that these balance strategies will take too long time when one cell is more charged than the others while the others are balanced especially when the cell number in series is large.
Active equalizer with all control switch matching inductance and capacitance, multilink transformer of equilibrium between monomer battery, the specific topology has switched capacitor equalizer [19,20]. The switch inductance equalizer, winding the flyback type equalizer, etc., of this kind of equalizer switch tube, control is more complex, and the energy transfer with the battery monomer is step by step, resulting in extremely low efficiency at high voltage. Therefore, in recent years, studies on monomer-to-monomer, monomer-battery string, and direct energy transfer equalizers between battery strings have attracted wide attention, among which monomer-cell scheme has the highest relative efficiency. Literature of the flyback transformer in two-way switch more than + coil type equalizer to monomer, monomer, the energy transfer between the circuit only uses a core, the structure is relatively simple, but the odd group of battery monomer energy conversion between two-level transformation is needed to complete, and the parity between monomer level transformation can be completed only, due to relatively complex control [21,22]. In Ref. [23], bidirectional switches and a single energy buffer element (single inductor or LC series resonance unit) are used to realize monomer-to-monomer energy single-stage transfer. However, each monomer is equipped with 4 switching tubes, and the circuit topology is relatively complex. In Refs. [24,25] use the forward-fly-back converter structure as the equalizer with a multi-winding transformer. While in this paper power switches are divided into two groups with complementary control modes. The proposed equalizer circuit works as a forward converter in the group unit as well as the fly-back mode between groups. Although the equalizer shows the advantage in the equilibrium speed, the cost is relatively high suffering from an extra snubber circuit which is used to decrease the spike of the switch in fly-back mode. In Refs. [23,26], a dual active half-bridge (DAH) equalizer structure is proposed. Through a high-frequency transformer, four monomers on both sides the primary and secondary sides are coupled. This scheme has a simple circuit structure and low cost but adopts open-loop control with a fixed duty cycle, and the energy transfer between the primary and secondary sides of the transformer is small. The balancing speed is very slow, and the operating frequency is only acceptable under very low conditions, resulting in a large volume and weight of the transformer.
In this study, the energy transfer characteristics of the half-bridge equalizer are analyzed, and a phase shift control strategy is proposed to realize the rapid energy transfer between the primary and secondary sides of the transformer under the condition of the high switching frequency. Experimental results verify the effectiveness of the proposed control scheme.
2. Background Study
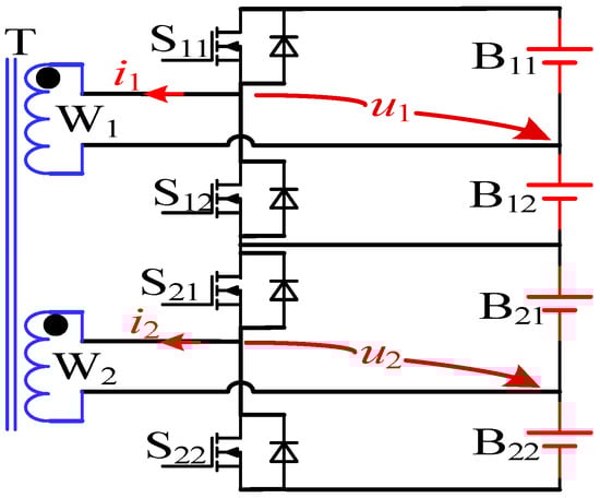
Figure 1 shows the DAH-based Lithium-ion-battery equalizer where i1 and i2 are the first winding current and the second winding current of transformer T respectively. Furthermore, u1 and u2 are the output voltages of the first and second half bridges respectively. In Sij(S11) and Bij, i represents the switch tube and cell in the i-th half-bridge topology, and j represents the j-th switch tube or cell in the i-th half-bridge topology. The topology shown in Figure 1 can be extended by adding a transformer coil and two cells in series to form a multi-active half-bridge equalizer.
Figure 1.
Equalizer based on DAH [26].
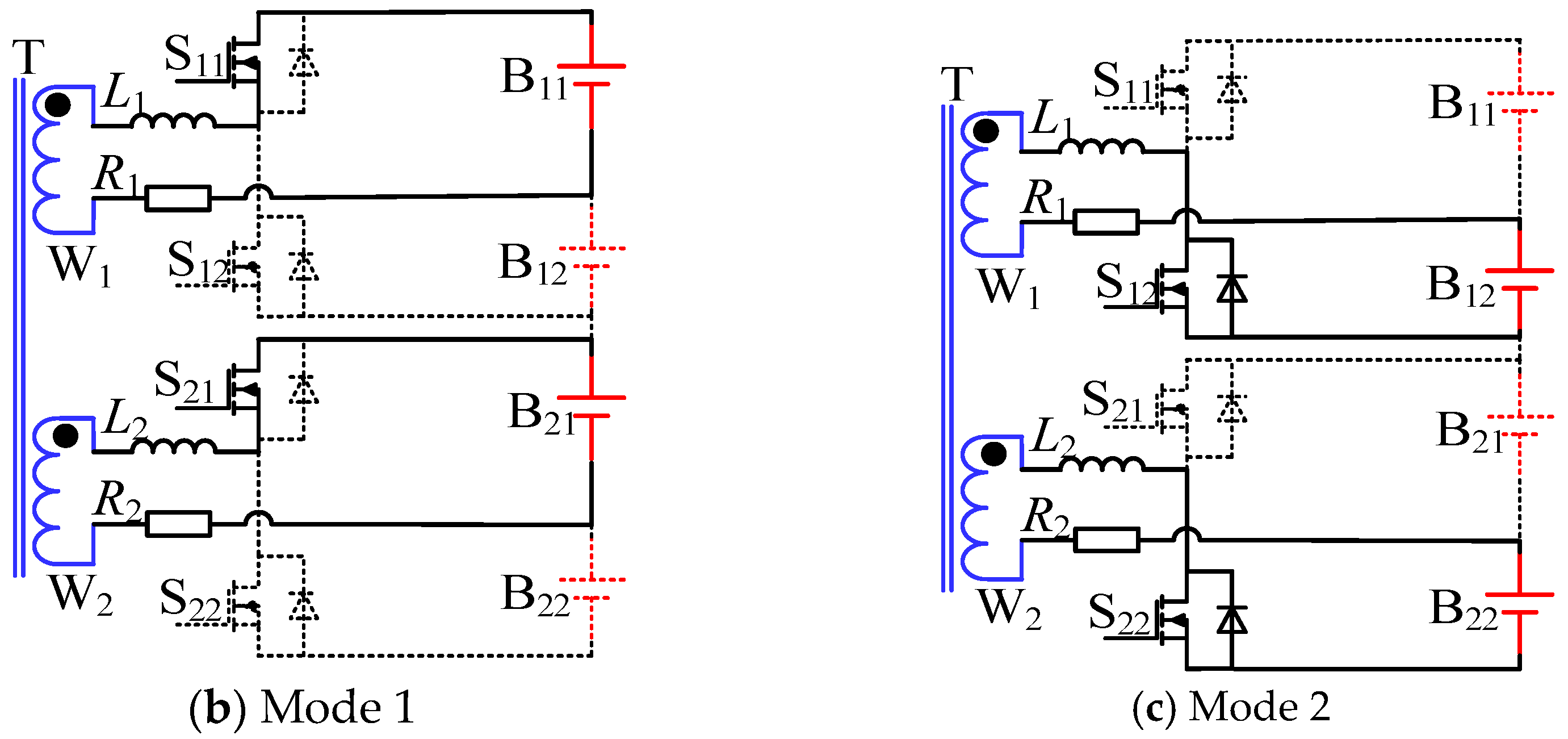
In Refs. [4,26], open-loop control is discussed, that is, the two switch tubes in each half-bridge converter operate with a complementary duty cycle of 0.5, and the odd number of switch tubes (S11/S21) and even number of switch tubes (S12/S22) in different half-bridges switch on and off synchronously respectively. As the voltage of a cell is directly related to the current waveform, only four cell voltages are analyzed here. The corresponding waveform and modal diagram are shown in Figure 2. Table 1 shows the charging and discharging status of the four batteries corresponding to the operating waveform shown in Figure 2a.

Figure 2.
Waveforms and modes circuits of DAH equalizer under open loop control.
Table 1.
The charging or discharging condition of battery cells.
In the mode diagram, leakage inductance L1, L2 and equivalent resistances R1 and R2 are given. A switching period is divided into two working modes, namely mode 1 (corresponding time t0-t3, modal figure shown in Figure 2b) and mode 2 (corresponding time t3-t6, the model Figure shown in Figure 2c). In the same mode (half a switching cycle), the polarity of the primary and secondary side currents i1 and i2 of the transformer changes, that is, the battery is charged and discharged respectively. Due to the voltage difference between cells, there is a DC component in the output voltage of the half-bridge, which leads to the DC component of the primary and secondary side currents i1 and i2 of the transformer, and the DC component of the magnetization current of the transformer. Therefore, the influence of magnetic bias on core saturation should be considered in the design of the transformer.
IBijc and IBijd (i,j = 1,2) are the charging and discharging currents of the corresponding monomer. From Figure 3a that under the condition , monomer B11 outputs the most electric energy. The B22 receives the most electric energy, while B12 and B21 do not receive or release electric energy, which is consistent with the requirement of electric energy transmission under the condition of monomer voltage.
Figure 3.
The Equivalent circuit of DAH with a phase-shift strategy.
3. Proposed Strategy
Although DAH-based Lithium-ion-battery equalizer has few switching devices and simple control, the open-loop DAH equalizer shown in Figure 2a has two obvious disadvantages:
1. When the voltage difference between groups ΔU1-2 is small, the equalization speed is very slow. When the battery pack is in a fully charged or fully discharged state, the slow equalization speed may cause some cells to overcharge or over-discharge, thus harming the battery.
2. When the switching frequency is low, the monomer between the half-bridge group can achieve fast balance. This feature makes the transformer large in size and heavy in weight, which does not conform to the development trend of miniaturization and lightweight equalizer.
The DAB is widely used in high-power occasions, such as flexible DC power transmission, DC transformer, energy storage and other occasions (Lengsfeld et al., 2022). Its phase-shifting control strategy can conveniently realize bi-directional energy flow. The DAH equalizer analyzed in this paper draws lessons from the phase-shifting control strategy of DAB, but it also has its distinct characteristics:
a. DAH equalizer includes multiple battery cells, that is, multiple input sources and the two-way flow of energy between multiple cells should be realized;
b. Different from DAB applied in situations of high voltage and high power, DAH equalizer deals with energy transfer between battery cells, and its voltage (about 2.5–3.6 V) and current (1–1.5 A) are both small and line impedance cannot be ignored, so the circuit characteristics are inconsistent with DAB.
One of the purposes of implementing phase shift control based on the DAH equalizer proposed in this paper is to improve the working frequency of the equalizer. However, the self-sensing Lm of the transformer is very large relative to leakage sensing value L, so Lm can be ignored when analyzing the energy flow between cells. Therefore, the equivalent circuit of energy flow between DAH groups during phase shift control is shown in Figure 3 where R1 and R2 equal R, and L1 and L2 equal L. In Figure 3, iac1 and iac2 are the current of transformer W1 and W2 winding shown in Figure 2b.
The operating waveform of the phase-shifting DAH equalizer is shown in Figure 4. As the switching frequency increases, leakage inductance increases, so the current waveform in Figure 4 is close to linear change.
Figure 4.
The waveforms of DAH with phase-shift control.
In phase shift control, the switch tubes in the two half-bridge converters still operate with a complementary duty ratio of 0.5, while the output voltage of the two half-bridge uac1 and uac2 shifts phase by an angle, and the shift ratio is defined as Φ.
According to the response of the first-order circuit and the characteristics that the current iac1 at ta0 and ta2 is opposite in polarity and equal in magnitude, Equation (2) can be obtained:
In Equation (2): τ = (L/R)
where A1 and A2 are the amplitude of the uac1 and uac2 which is the ac component of the primary and secondary side voltage u1 and u2 of the transformer, R is the transformer’s winding equivalent resistance, L is the transformer’s leakage inductance, Ts is the switching period of the equalizer.
iac1(ta2) = −iac1(ta0), iac1(ta3) = −iac1(ta1)
According to Equations (1) and (2), the average charge and discharge current of each battery cell in each switching cycle under the phase-shifting control strategy can be calculated, and its expression is shown in Equation (3). Since the energy flow between groups under the phase shift control strategy is mainly analyzed, the equivalent equalization current between groups within a switching cycle of DAH equalizer can be calculated, and its expression is shown in Equation (4). Based on the phase-shifting DAH equalizer, there are many factors affecting the balance current between groups, which are not only related to the ac component uac1 and amplitude A1 and A2 of uac2 (the voltage of cells between groups) of the primary and secondary side voltage u1 and u2 of the transformer. It is also related to the switching frequency fs of the equalizer, shift ratio Φ, leakage inductance L of transformer and equivalent resistance R and other factors.
To prevent the reverse phenomenon, considering the restriction of current and heat resistance of the equalizer, a suitable phase shift ratio needs to be chosen, which can avoid damage to the components or local overheating and a series of safety problems suffering from the excessively balanced current. Therefore, a single voltage loop equalization control strategy can be obtained, as shown in Figure 5. The UBref is the reference value of voltage difference between half bridge groups of the equalizer, UBe is the input of the P controller, and its output value is shift ratio is limited at (−Φmax, Φmax). When the voltage difference between groups is large, the shift ratio is limited to its maximum value. When the voltage difference between groups drops to a certain range, the shift ratio decreases with the decrease of the voltage difference between groups. It avoids the reverse transfer of energy between groups and does not produce too large an equalization current. The DAH equalizer has a good balance effect under the premise of safe and stable operation. The control strategy is simple and efficient.
Figure 5.
DAH equalizer control strategy based on phase-shift control explains the UBref and UB11.
4. Results and Discussion
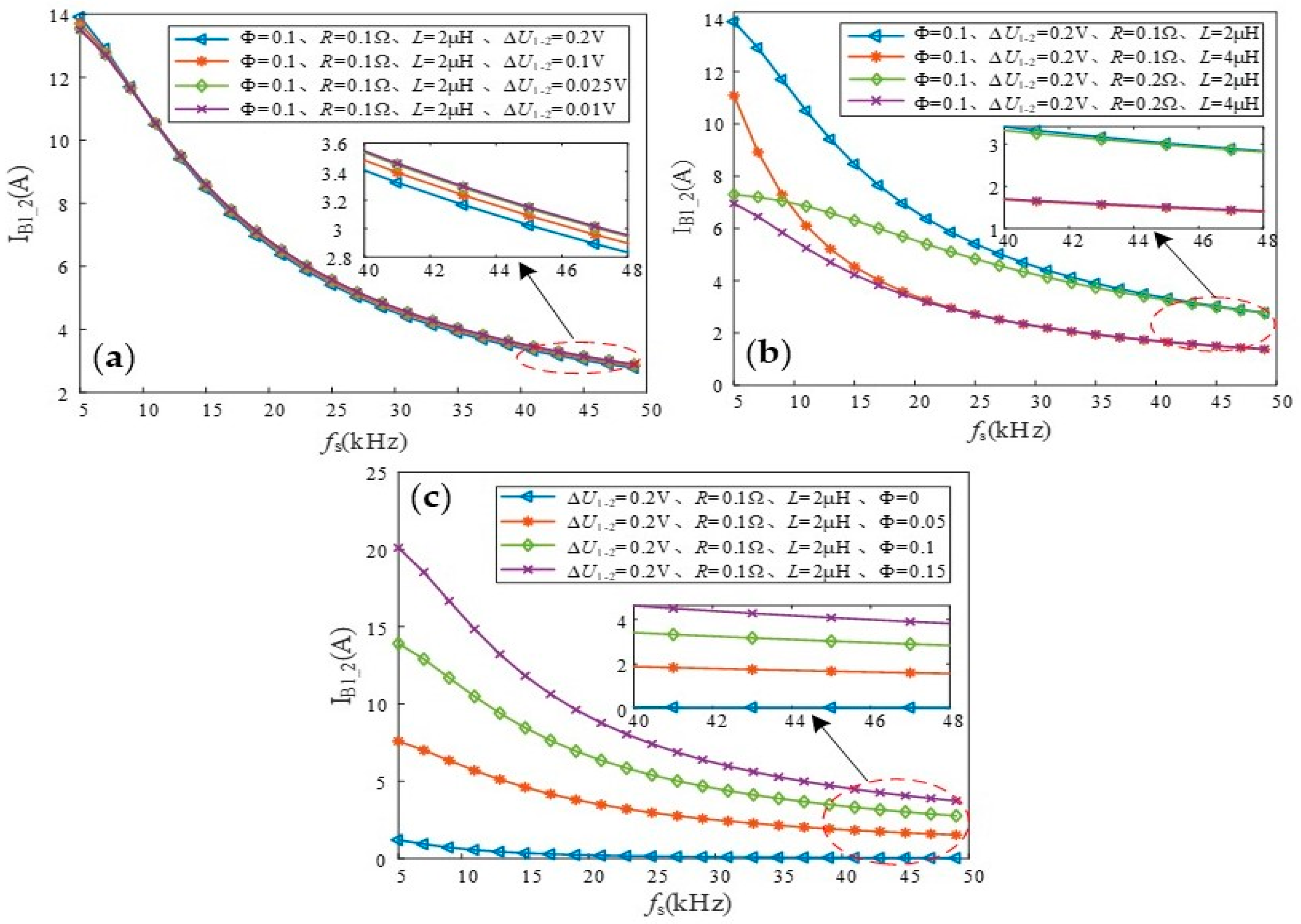
Figure 6 shows the curve of IB1_2 at different switching frequencies (fs), shift ratios Φ and the voltage difference between groups ΔU1-2, L and R between different half-bridge groups in a certain range. Figure 6a shows the IB1_2 variation curve with switching frequency when ΔU1-2 has different data between different half-bridge groups, Φ = 0.1, L = 2 μH, R = 0.1 Ω; Figure 6b shows the IB1_2 variation curve with switching frequency under certain ΔU1-2 = 0.2 V, Φ = 0.1 and different values of L and R between half-bridge groups. Figure 6c shows the curve of IB1_2 changing with switching frequency under the condition of ΔU1-2 = 0.2 V, L = 2 μH, R = 0.1 Ω and different shift ratios Φ between certain half-bridge groups. Under the phase shift control strategy of DAH equalizers, the monomer equalization current IB1_2 between groups is mainly controlled by the shift ratio, and the voltage difference between half-bridge groups has little influence on it. Even if the voltage difference between groups is very small, as long as a certain shift ratio is guaranteed, there is still a large inter-group equilibrium current. When the shift ratio is constant and the switching frequency is high, the difference of equivalent resistance has little effect on IB1_2, but the difference in leakage inductance has a great effect on IB1_2. When the difference between leakage inductance and equivalent resistance was observed smaller, the shift ratio increased, and the larger IB1_2 also increased. But with the increase of fs, the difference in equilibrium current decreases gradually.
Figure 6.
The curves of IB1_2 with phase-shift control under different conditions: (a) IB1_2 variation curve of fs at 5 kHz~50 kHz for pressure difference between different half-bridge groups; (b) IB1_2 change curve of fs at 5 kHz~50 kHz with different leakage inductance and resistance values; (c) IB1_2 change curves of fs at 5 kHz~50 kHz with different shift ratios.
The above analysis results show that compared with the open-loop control DAH equalizer, the phase-shifting DAH equalizer can optimize the shortcomings of the open-loop control DAH equalizer. Even when the difference voltage between the half-bridge group is very small, there is still a great balance current between them with phase shifting control strategy. This high balance current makes the battery cell achieve rapid equilibrium between groups. Generally, some battery cells might be overcharged or over-discharged when the battery pack is in full charge state or completely discharge state. This status can be avoided with the presented phase-shifting DAH equalizer. When the switching frequency is high, the cells between groups can still achieve fast balance. Because the switching frequency of the equalizer is increased, the volume and weight of the transformer are greatly reduced, which is in line with the development trend of miniaturization and lightweight equalizer in the future.
When the parameters of the DAH equalizer are determined, IB1_2 varies obviously with Φ as shown in Figure 6c, and monotonously varies within a certain range. Inverse transfer of energy between battery cells in the half-bridge will increase its voltage difference.
To verify the effectiveness of the proposed DAH equalizer used in lithium-ion batteries and its phase shift control strategy, an experimental prototype with 4 lithium-ion cells is established as shown in Figure 7. It mainly contains the controller, DAH equalizer, transformer, current sensor, oscilloscope and Lithium-ion-battery unit, etc. Equalizer corresponding parameters are Tabulated in Table 2.
Figure 7.
The layout of the prototype.
Table 2.
The parameters of the prototype.
Figure 8 shows the waveform of the voltage u1 and u2 of the primary and secondary sides of the transformer as well as the current i1 and i2 of the primary and secondary sides of the transformer under the condition that the voltage in the half-bridge group is equal (u1 and u2 have no DC component), the voltage difference between the groups is certain and the shift ratio is Φ. The specific voltage of the battery is shown in Table 3. Figure 8a–e respectively Φ = 0, Φ = 0.05, Φ = 0.1, Φ = 0.15, Φ = 0.2 cases u1, u2 and i1 waveform. Figure 8a shows that when the Φ = 0 voltage difference between groups is small and DAH equalizer switching frequency is high, the equalization current between groups is very small, and in a switching cycle, the energy absorbed and released by cells between groups is almost the same, which means that energy will not be transferred between groups, resulting in energy imbalance between cells and groups. Increase the phase shift angle between u1, and u2, absorption and release of energy in battery monomer between groups will be increased in a switching cycle accordingly. The larger the phase shift ratio is, the greater the energy transferred between battery cells between groups. The equalization speed of battery cells is faster even if the voltage difference between battery cells in the group is small and the switching frequency of the equalizer is higher.
Figure 8.
The curves of u1, u2 and i1 with different Φ: (a) Φ = 0, u1, u2 and i1 waveform; (b) Φ = 0.05, u1, u2 and i1 waveform; (c) Φ = 0.1, u1, u2 and i1 waveform; (d) Φ = 0.15, u1, u2 and i1 waveform; (e) Φ = 0.2, u1, u2 and i1 waveform.
Table 3.
The parameters of the experiment.
To verify the rapid equalization of cells between DAH equalizer groups, Figure 9 shows the voltage change curve of cells under the phase shift control strategy. The initial voltage of each cell is as follows: UB11 = 3.807, UB12 = 3.805 V, UB21 = 3.725 V, UB22 = 3.725 V, that under the phase shift control strategy, the rapid energy transfer between battery cells between half-bridge groups can be achieved, and the voltage balancing speed is fast and the balancing effect is good.
Figure 9.
The curves of the battery cell’s voltage equalization.
The DAH equalizer contributes good scalability, only n transformer windings can realize the energy transfer between 2n lithium batteries. The phase shift control strategy is the same as that in Figure 6. It only needs to take the u1 signal as a reference and adjust the phase shift angle between u2…un (which can lead or lag), and then the energy transfer between groups can be easily realized.
5. Conclusions
In this paper, based on half-bridge equalizer lithium-ion batteries, the phase shift control strategy is presented. This strategy shows stronger balance ability in Lithium-ion-battery than the half-bridge equalizer in open loop operation mode without additional switching devices.
- The voltage difference between battery cells in the group is smaller and the switching frequency of the equalizer is higher.
- The proposed phase shift control strategy can still have a large equalizing current in a different group of the battery cell than the battery monomer energy between different groups can be rapid equilibrium.
- The proposed strategy greatly reduces the volume and cost of the equalizer and effectively improves the competitiveness of the active equalizer in the equalizer market.
- To verify the effectiveness of the phase shift control strategy an experimental prototype of a half-bridge Lithium-ion-battery equalizer is established, and the experimental results prove the effectiveness of the proposed method.
In future work, a study on multi-cell-to-multi-cell (MC2MC) topology that holds promise for the solution because it can transfer energy directly from successive strong cells to successive weak cells can be focused. Furthermore, research on the effects of various electric vehicle (EV) charging/discharging strategies on the costs of operation and the removal of pollutants in remote micro-grid (MG) modes is also a significant consideration.
Author Contributions
Conceptualization, W.C., Y.W. and Z.D.; methodology, J.L.; software, W.C.; validation, Z.D.; formal analysis, J.K.; resources, W.C.; writing—original draft preparation, W.C., J.L. and J.K.; re-view and editing, Z.D, M.S.N. and Y.W. All authors have read and agreed to the published version of the manuscript.
Funding
This research was funded by the National Natural Science Foundation of China, grant number 51577164.
Institutional Review Board Statement
Not applicable.
Informed Consent Statement
Not applicable.
Data Availability Statement
Not applicable.
Acknowledgments
Authors appreciate the affiliated institutes for their research support.
Conflicts of Interest
The authors declare no conflict of interest.
Nomenclature
| DAH | dual active half-bridge |
| DAB | dual active bridge |
| SOC | state of charge |
| BMS | battery management system |
| A1, A2 | amplitude |
| R | transformer’s winding equivalent resistance |
| L | transformer’s leakage inductance |
| Ts | switching period of the equalizer |
| Φ | shift ratio |
References
- Ayob, A.; Ansari, S.; Lipu, M.S.H.; Hussain, A.; Saad, M.H.M. SOC, SOH and RUL Estimation for Supercapacitor Management System: Methods, Implementation Factors, Limitations and Future Research Improvements. Batteries 2022, 8, 189. [Google Scholar] [CrossRef]
- Chen, W.; Liu, B.; Nazir, M.S.; Abdalla, A.N.; Mohamed, M.A.; Ding, Z.; Bhutta, M.S.; Gul, M. An energy storage assessment: Using frequency modulation approach to capture optimal coordination. Sustainability 2022, 14, 8510. [Google Scholar] [CrossRef]
- Chen, Y.; Liu, X.; Cui, Y.; Zou, J.; Yang, S. A multiwinding transformer cell-to-cell active equalization method for lithium-ion batteries with reduced number of driving circuits. IEEE Trans. Power Electron. 2015, 31, 4916–4929. [Google Scholar]
- Das, U.K.; Shrivastava, P.; Tey, K.S.; Idris, M.Y.I.B.; Mekhilef, S.; Jamei, E.; Seyedmahmoudian, M.; Stojcevski, A. Advancement of lithium-ion battery cells voltage equalization techniques: A review. Renew. Sustain. Energy Rev. 2020, 134, 110227. [Google Scholar] [CrossRef]
- Fan, S.; Duan, J.; Sun, L.; Zhang, K. A fast modularized multiwinding transformer balancing topology for series-connected super capacitors. IEEE Trans. Power Electron. 2018, 34, 3255–3268. [Google Scholar] [CrossRef]
- Feizi, M.; Beiranvand, R. A high-power high-frequency self-balanced battery charger for lithium-ion batteries energy storage systems. J. Energy Storage 2021, 41, 102886. [Google Scholar] [CrossRef]
- Hasan, M.K.; Habib, A.A.; Islam, S.; Ghani, A.T.A.; Hossain, E. Resonant energy carrier base active charge-balancing algorithm. Electronics 2020, 9, 2166. [Google Scholar] [CrossRef]
- Khan, M.A.; Zeb, K.; Sathishkumar, P.; Ali, M.U.; Uddin, W.; Hussain, S.; Ishfaq, M.; Khan, I.; Cho, H.G.; Kim, H.-J. A novel supercapacitor/lithium-ion hybrid energy system with a fuzzy logic-controlled fast charging and intelligent energy management system. Electronics 2018, 7, 63. [Google Scholar] [CrossRef]
- Lengsfeld, S.; Sprunck, S.; Frank, S.R.; Jung, M.; Hiller, M.; Ponick, B.; Mersche, S. An Approach to the Design and the Interactions of a Fully Superconducting Synchronous Generator and Its Power Converter. Energies 2022, 15, 3751. [Google Scholar] [CrossRef]
- Lipu, M.S.H.; Faisal, M.; Ansari, S.; Hannan, M.A.; Karim, T.F.; Ayob, A.; Saad, M.H.M. Review of electric vehicle converter configurations, control schemes and optimizations: Challenges and suggestions. Electronics 2021, 10, 477. [Google Scholar] [CrossRef]
- Lipu, M.S.H.; Mamun, A.A.; Ansari, S.; Miah, M.S.; Hasan, K.; Meraj, S.T.; Sarker, M.R. Battery Management, Key Technologies, Methods, Issues, and Future Trends of Electric Vehicles: A Pathway toward Achieving Sustainable Development Goals. Batteries 2022, 8, 119. [Google Scholar] [CrossRef]
- Liu, L.; Xu, B.; Yan, Z.; Zhou, W.; Li, Y.; Mai, R.; He, Z. A low-cost multiwinding transformer balancing topology for retired series-connected battery string. IEEE Trans. Power Electron. 2020, 36, 4931–4936. [Google Scholar] [CrossRef]
- Liu, W.; Song, Y.; Liao, H.; Li, H.; Zhang, X.; Jiao, Y.; Peng, J.; Huang, Z. Distributed voltage equalization design for supercapacitors using state observer. IEEE Trans. Ind. Appl. 2018, 55, 620–630. [Google Scholar] [CrossRef]
- Mao, S.; Han, M.; Han, X.; Lu, L.; Feng, X.; Su, A.; Wang, D.; Chen, Z.; Lu, Y.; Ouyang, M. An Electrical–Thermal Coupling Model with Artificial Intelligence for State of Charge and Residual Available Energy Co-Estimation of LiFePO4 Battery System under Various Temperatures. Batteries 2022, 8, 140. [Google Scholar] [CrossRef]
- Mubenga, N.S.; Sharma, K.; Stuart, T. A bilevel equalizer to boost the capacity of second life li ion batteries. Batteries 2019, 5, 55. [Google Scholar] [CrossRef]
- Nazir, M.S.; Abdalla, A.N.; M. Metwally, A.S.; Imran, M.; Bocchetta, P.; Javed, M.S. Cryogenic-Energy-Storage-Based Optimized Green Growth of an Integrated and Sustainable Energy System. Sustainability 2022, 14, 5301. [Google Scholar] [CrossRef]
- Nazir, M.S.; Abdalla, A.N.; Zhao, H.; Chu, Z.; Nazir, H.M.J.; Bhutta, M.S.; Javed, M.S.; Sanjeevikumar, P. Optimized economic operation of energy storage integration using improved gravitational search algorithm and dual stage optimization. J. Energy Storage 2022, 50, 104591. [Google Scholar] [CrossRef]
- Park, S.-H.; Park, K.-B.; Kim, H.-S.; Moon, G.-W.; Youn, M.-J. Single-magnetic cell-to-cell charge equalization converter with reduced number of transformer windings. IEEE Trans. Power Electron. 2011. 27, 2900–2911.
- Peng, F.; Wang, H.; Yu, L. Analysis and design considerations of efficiency enhanced hierarchical battery equalizer based on bipolar CCM buck–boost units. IEEE Trans. Ind. Appl. 2019, 55, 4053–4063. [Google Scholar] [CrossRef]
- Ramai, C.; Ramnarine, V.; Ramharack, S.; Bahadoorsingh, S.; Sharma, C. Framework for Building Low-Cost OBD-II Data-Logging Systems for Battery Electric Vehicles. Vehicles 2022, 4, 1209–1222. [Google Scholar] [CrossRef]
- Shang, Y.; Cui, N.; Zhang, C. An optimized any-cell-to-any-cell equalizer based on coupled half-bridge converters for series-connected battery strings. IEEE Trans. Power Electron. 2018, 34, 8831–8841. [Google Scholar] [CrossRef]
- Shang, Y.; Xia, B.; Zhang, C.; Cui, N.; Yang, J.; Mi, C.C. An automatic equalizer based on forward–flyback converter for series-connected battery strings. IEEE Trans. Ind. Electron. 2017, 64, 5380–5391. [Google Scholar] [CrossRef]
- Shang, Y.; Zhang, C.; Cui, N.; Mi, C.C. A delta-structured switched-capacitor equalizer for series-connected battery strings. IEEE Trans. Power Electron. 2018, 34, 452–461. [Google Scholar] [CrossRef]
- Singirikonda, S.; Obulesu, Y. Active cell voltage balancing of Electric vehicle batteries by using an optimized switched capacitor strategy. J. Energy Storage 2021, 38, 102521. [Google Scholar] [CrossRef]
- Uno, M.; Kukita, A. String-to-battery voltage equalizer based on a half-bridge converter with multistacked current doublers for series-connected batteries. IEEE Trans. Power Electron. 2018, 34, 1286–1298. [Google Scholar] [CrossRef]
- Xu, P.; Kang, L.; Xie, D.; Luo, X.; Lin, H. A Switch-Reduced Multicell-to-Multicell Battery Equalizer Based on Full-Bridge Bipolar-Resonant LC Converter. Batteries 2022, 8, 53. [Google Scholar] [CrossRef]
Disclaimer/Publisher’s Note: The statements, opinions and data contained in all publications are solely those of the individual author(s) and contributor(s) and not of MDPI and/or the editor(s). MDPI and/or the editor(s) disclaim responsibility for any injury to people or property resulting from any ideas, methods, instructions or products referred to in the content. |
© 2023 by the authors. Licensee MDPI, Basel, Switzerland. This article is an open access article distributed under the terms and conditions of the Creative Commons Attribution (CC BY) license (https://creativecommons.org/licenses/by/4.0/).









