Next Article in Journal
A Two-Stage Robust Optimization Microgrid Model Considering Carbon Trading and Demand Response
Previous Article in Journal
Representation and Visualization Processes for a Sustainable Approach to Landscape/Heritage
 
 
Font Type:
Arial Georgia Verdana
Font Size:
Aa Aa Aa
Line Spacing:
Column Width:
Background:
Article

The Effects of FC and CSR on Bilateral Quality Efforts of Agricultural Products Supply Chain

School of Management, Chongqing University of Technology, Chongqing 400054, China
*
Author to whom correspondence should be addressed.
Sustainability 2023, 15(19), 14590; https://doi.org/10.3390/su151914590
Submission received: 18 August 2023 / Revised: 4 October 2023 / Accepted: 7 October 2023 / Published: 8 October 2023
(This article belongs to the Section Sustainable Agriculture)

Abstract

:
The aim of this study was to analyze the effect of fairness concern (FC) and corporate social responsibility (CSR) on the quality improvement of the agricultural product supply chain (APSC) composed of an agricultural product processor (processor) and an agricultural product supermarket (supermarket) so as to ensure the stable supply of high-quality agricultural products. This paper considered both FC and CSR, established four Stackelberg game models, and obtained the effects of FC and CSR on bilateral quality efforts in APSC through comparative analysis and numerical analysis. We prove that the supermarket’s FC can take the role of “profit distribution mechanism”, but it is not conducive to improving all bilateral quality efforts, the utility of the whole supply chain system, and consumer surplus. Additionally, APSC members sharing CSR can not only both improve the quality of agricultural products and promote the expansion of market demand, but they also can improve both the profit of all members and the supply chain. The CSR shared by both members has a greater impact on bilateral quality efforts than the supermarket’s FC, and thus the positive effect of CSR can overcome the negative effect of the supermarket’s FC.

1. Introduction

In order to strengthen the supervision of both the quality and safety of agricultural products and to ensure the “tip of tongue safety” of consumers, the Law of the People’s Republic of China on the quality and safety of agricultural products, which was passed in 2022, emphasizes the importance of ensuring the stable and sustainable supply of high-quality agricultural products. In 2023, the central document No. 1 of the Central Committee of the People’s Republic of China was repeatedly proposed to ensure the supply safety of agricultural products, further highlighting the importance of improving the supply quality of agricultural products. However, in recent years, there have been frequent quality and safety incidents of agricultural products, such as excessive aflatoxin in milk and overnight dead crabs impersonating live crabs, which have attracted widespread attention to the quality and safety issues of agricultural products and corporate social responsibility (CSR).
On the one hand, the fundamental reasons for the quality and safety issues of agricultural products lie in the lack of CSR in APSC and inadequate quality control. It is necessary for supply chain members to actively undertake CSR to improve the quality of agricultural products, thereby promoting the high quality and sustainable development of agricultural products. On the other hand, an important reason for the quality issues of agricultural products is that some supply chain members perceive the unfair distribution of channel profits and make decisions that are detrimental to the quality of agricultural products, leading to the occurrence of quality and safety incidents, such as the “Sanlu Poison Milk Powder” incident caused by the imbalance of profit distribution in the milk powder industry chain. The cause of the “Sanlu Poisoned Milk Powder” incident was that dairy farmers added melamine to raw milk, and the milk powder industry chain had a serious imbalance in income distribution due to being squeezed by manufacturers. Poisoned milk powder posed a threat to life, leading to the breakdown of supply chain cooperation and bankruptcy. Therefore, considering CSR and FC to study bilateral quality effort improvement in APSC is of great significance for improving the quality of agricultural products.
Our work intended to study the bilateral quality improvement of APSC under CSR and FC by mathematical model. The main operating mode of APSC is made up of processor and supermarket; thus, we focused on the quality improvement of processors and supermarkets under CSR and FC. CSR and FC are the most important factors influencing quality effort decision, and thus, we focused on the effect of CSR and FC on the bilateral quality decision, respectively. We took a two-echelon APSC composed of a single processor and single supermarket as the research object. We established four Stackelberg game models with or without considering FC and CSR, i.e., in Model I, both FC and CSR were not considered; in Model II, only CSR was considered; in Model III, only FC was considered; in Model IV, both FC and CSR were considered, respectively. Then, the backward induction method was applied to solve each model and to the influence mechanism of FC and CSR on bilateral quality efforts in APSC through comparative analysis, sensitivity analysis, and numerical analysis to ensure the high-quality supply of agricultural products and improve the operational efficiency of APSC.
The remainder of this paper is organized as follows. Section 2 presents the related literature, discusses the gap of exciting research, and illustrates the uniqueness of our research. Section 3 introduces the two-echelon APSC, including a single processer and a single supermarket, problem description, and assumptions. Section 4 shows the four decision models for each scenario. Section 5 compares the equilibrium solution in each scenario and analyzes the effect of FC and CSR on bilateral quality efforts and APSC. Section 6 conducts the numerical simulation to verify our conclusions. Section 7 concludes our research and proposes certain future directions.

2. Literature Review

To analyze the effects of FC and CSR on bilateral quality efforts in APSC, we reviewed the literatures from three aspects: the quality management of APSC, the effect of CSR on APSC, and the effect of FC on APSC.
(1) The quality management of APSC
This article studied the quality management of the two-echelon APSC, and therefore, sorted out the research on APSC quality management from both upstream and downstream perspectives.
Firstly, some scholars focus on the unilateral quality management of agricultural products by upstream enterprises in APSC. Controlling producers is the top priority in ensuring the quality and safety of agricultural products because the production process of agricultural products directly affects food safety [1]. A manufacturer’s production efforts can effectively ensure high standards of initial quality of agricultural products, which can help improve the overall quality of the supply chain and thereby increase overall profits [2]. The “wholesale price + preservation cost sharing” contract was designed to motivate suppliers to improve preservation efforts while considering consumer utility [3]. The impact of suppliers’ preservation efforts on the freshness of fresh agricultural products was analyzed [4]. Upstream enterprises made efforts to strictly control the quality and safety of agricultural products [5]. The revenue sharing contract based on effort cost sharing can be designed to effectively motivate agricultural producers to invest in quality efforts and achieve supply chain coordination [6,7].
Secondly, some scholars focus on the unilateral quality management of agricultural products by downstream enterprises in APSC. The optimal investment is in the preservation technology and retailers’ replenishment strategies based on sale efforts to reduce the spoilage of fresh agricultural products through preservation technology investment [8,9]. The quality testing and control of agricultural products were investigated in the retail process, and it can effectively improve both the quality and safety of agricultural products [10]. The quality effort of the agricultural supermarket has a positive impact on the quality and safety control effectiveness of agricultural products [11]. The quality control of agricultural products by the agricultural supermarket was considered, and the quality of agricultural products can be improved through an income sharing contract with retained earnings [12]. The quality and safety of fresh agricultural products in the internet environment were studied, and both strategies and suggestions were proposed to improve the unilateral quality effort of agricultural product sellers [13,14]. It is necessary to strengthen the sale process of agricultural products to solve the quality problems of agricultural products and to propose that supermarkets should develop a quality testing standard of agricultural products, responsible for cold chain distribution, to ensure the supply quality of agricultural products [15,16].
Finally, only some of the literature involves bilateral quality management in APSC. The impact of bilateral quality efforts between suppliers and retailers of agricultural products on the APSC was studied, and a quality improvement mechanism for retailers to supervise suppliers was proposed [17]. The bilateral quality decision-making and coordination model was set for APSC based on the concept of “company + farmer”, and when both company and farmer jointly bear the quality loss of agricultural products, both the APSC coordination and high-quality supply of agricultural products can be achieved [18]. The bilateral quality and safety investment between suppliers and producers of agricultural products was investigated to prove that when the government’s punishment reaches a certain threshold, it can encourage suppliers and producers to simultaneously invest in quality and safety [19].
However, the above research has studied the quality management of upstream and downstream in APSC, with less research on bilateral quality management in APSC and without considering FC and CSR. Agricultural products have characteristics such as perishability, difficulty in preservation, and strict transportation conditions, and the quality of agricultural products is jointly influenced by bilateral quality efforts. Additionally, ignoring the FC of members leads to making decisions that are detrimental to the quality of agricultural products due to the unfair distribution of supply chain benefits, leading to agricultural products with low quality flowing into the market, and the quality safety of agricultural products is related to social security. In the APSC, CSR requires members to not only focus on their own profit but also on social benefit; thus, CSR affects the quality decisions of both parties. Therefore, it is necessary to simultaneously study the impact of FC and CSR on quality management in APSC.
(2) The effect of CSR on APSC
At present, most of the literature focuses on the impact of CSR on relevant decisions in the industrial product supply chain, while there is only some literature considering CSR to study APSC. Given the unique nature of APSC, i.e., perishability, difficulty in preservation, etc., the research findings on the impact of the CSR industrial product supply chain cannot better study the impact of CSR on APSC. Therefore, this section of the literature review is divided into two parts: the effect of CSR on supply chain and the effect of CSR on APSC.
① The effect of CSR on supply chain: Firstly, some scholars consider the CSR of upstream enterprises in the supply chain to conduct research. The impact of CSR input from upstream enterprises on market equilibrium results was analyzed under different pricing rules [20]. It validated that revenue sharing contract can motivate the manufacturer to fulfill CSR under uncertain market demand [21]. The supplier’s CSR in the coordination model was considered to prove that the supplier’s investment in CSR activities can improve product awareness and market demand [22]. The upstream enterprises in the supply chain were considered to undertake CSR and establish a quality-signal game model to improve product quality [23]. The assumption of CSR by original manufacturers helps to improve product greenness and consumer welfare, and a two-part pricing contract can be adopted to achieve Pareto improvement in the supply chain [24]. The manufacturer undertaking CSR can enhance social welfare and improve other members of the supply chain [25]. Secondly, some scholars considered the CSR of downstream enterprises in the supply chain to conduct research. The impact of CSR in a dual channel competition model was investigated to demonstrate that, as consumers’ recognition of retailers’ CSR behavior increases, the profits of each enterprise in the supply chain increase, and CSR behavior can help to reduce market competition [26,27]. Improving the retailer’s CSR is beneficial for achieving balance between corporate interest and social welfare [28]. Increasing the retailers’ CSR can improve social welfare, manufacturers’ emission reduction, and profit [29]. An online retail supply chain composed of manufacturers and online retailers was studied to demonstrate that retailers’ CSR can effectively improve the overall utility of the supply chain system [30]. CSR attention can be considered to characterize the retailers’ CSR, and increasing the retailers’ CSR attention can benefit both manufacturers and retailers [31]. Finally, only some research considered CSR sharing between both parties in the supply chain. When both members bear CSR in the supply chain, the profit of the supply chain is positively correlated with the degree of CSR sharing, and the two-part pricing contract and revenue sharing contract was designed to achieve the coordination of a closed-loop supply chain [32]. Sharing CSR between manufacturers and retailers can help improve the quality of supply chain products and the profitability of supply chain enterprises [33,34]. The shared CSR between manufacturers and retailers under nonlinear cost was considered to prove that, regardless of whether manufacturers have scale economy, both manufacturers and retailers are always willing to share CSR [35].
② The effect of CSR on APSC: Fulfilling CSR is beneficial for improving the performance of APSC [36]. In the process of transforming the agricultural product processing trade model to the agricultural technology transfer model, agricultural product processing enterprises should attach importance to CSR and adopt new agricultural technologies and equipment, which is beneficial for improving the quality level of agricultural products and improving the utilization rate of agricultural resources [37]. Chain supermarket enterprises, as the end of the supply chain, should first bear CSR, form a scale advantage through centralized procurement, and ensure the timely listing of high-quality agricultural products through logistic network advantages [38].
The above literature has studied the impact of CSR on relevant decisions by a single member of the industrial product supply chain, while there is less research on the impact of CSR shared by members and CSR on agricultural product quality. The quality and safety of agricultural products are related to social stability, and sharing CSR among members of the APSC affects bilateral quality decisions and further ensures the quality of agricultural products. Therefore, it is necessary to study the impact of CSR shared by members of the APSC on the quality of agricultural products.
(3) The effect of FC on APSC
Unfair performance in APSC is more complex [39]. The retailers’ fairness concern can affect the investment decision of members in fresh APSC. Both profit and order quantity of fresh APSC members strictly decrease with retailers’ FC [40,41]. The FC of APSC enterprises exacerbates the double marginalization of the supply chain, reduces the profits of both members, and leads to a decrease in APSC efficiency [42]. A three-level APSC model was set up to demonstrate that retailers’ FC has a significant impact on the coordination of the revenue sharing contract [43]. The FC was introduced into the dual channel supply chain of fresh agricultural products, and the supplier’s FC has the function of automatically coordinating the supply chain [44]. The impact of suppliers’ FC on the quality input and pricing of fresh agricultural products by retailers was investigated [45]. FC between manufacturers and retailers leads to a decrease in the overall effectiveness of the fresh APSC, and revenue sharing contract can be designed to improve both parties’ profit and motivate manufacturers to implement preservation work [46].
The above literature proved that the FC of members in APSC can affect order quantity, profit of each member, and coordination of the supply chain. Only reference [46] studied the impact of FC on quality decision in the APSC. The supply of high-quality agricultural products is key to the stable operation of the APSC, and the FC also affects the quality investment of both members. Therefore, it is necessary to consider FC in studying the quality management of APSC.
To sum up, the above research has studied the quality control of agricultural products, and some have considered the impact of CSR or FC on the decision-making of the APSC, but there are still the following shortcomings. Firstly, the research only studied unilateral quality management in the APSC, with few studies referring to bilateral quality management in the APSC, and none considered both FC and CSR simultaneously. Secondly, some literature studied the impact of CSR on relevant decisions by a single member in the industrial product supply chain, while there are few studies on the impact of CSR shared by members and CSR on the quality of agricultural products. Finally, the above literature proves that the FC can affect order quantity, profits of each member, and coordination of the supply chain. There is relatively little research on the impact of FC on quality decision in the APSC.
In reality, the quality of agricultural products is jointly influenced by bilateral quality efforts in the APSC, and the fulfillment of CSR by both parties and the FC of members in APSC affects bilateral quality efforts. Therefore, this article considered both FC and CSR, established four Stackelberg game models with or without FC and CSR, and obtained the influence mechanism of FC and CSR on bilateral quality efforts in the agricultural product supply chain through comparative analysis and numerical analysis.

3. Problem Description and Assumptions

We focused on a two-echelon APSC composed of a processor and a supermarket. The processor is in a dominant position to take action first due to its unique processing technology and other advantages, while the supermarket is in a subordinate position to take action later. In order to study the impact of CSR on bilateral quality efforts, there are two scenarios.
(1) When CSR is not considered:
Assumption 1.
The processor first determines wholesale price  w , and then the supermarket determines the order quantity  q .
Assumption 2.
Market demand is only affected by retail price, denoted as  q = a α p , where  a ( a > 0 ) represents the market demand scale, and  α  represents the sensitivity coefficient of market demand to the retail price.
Assumption 3.
According to the literature [41,42], the consumer surplus  C S  can be used to measure the fulfillment of CSR in the APSC. According to the demand function in Assumption 2, it is easy to know that  p ( a q α , a α ) , and thus, C S  can be computed as  C S = p min p max q d p = a q α a α ( a α p ) d p = q 2 2 α .
(2) When CSR is considered:
Assumption 4.
The processor makes the decision on wholesale price  w  and quality effort  e s  in the first place, and then the supermarket makes the decision on order quantity q  and quality effort  e r . In order to highlight the importance of CSR, bilateral quality efforts only represent additional quality efforts made by both the processor and supermarket to fulfill CSR and do not include general quality efforts made by them to ensure the basic quality of agricultural products.
Assumption 5.
The processor’s CSR awareness can be denoted as  θ , and the supermarket’s CSR awareness is  1 θ , while  θ [ 1 2 , 2 3 )  denotes that the processor should bear the majority of CSR as the leader and should ensure that both parties are willing to jointly bear CSR.
Assumption 6.
The processer’s cost and supermarket’s cost function can be denoted as c s = 1 2 e s 2  and  c r = 1 2 e r 2 , respectively. The quality effort cost function indicates that the higher the quality effort paid by APSC members to fulfill CSR, the higher the cost incurred.
Assumption 7.
The market demand for agricultural products is jointly influenced by retail price and quality, and the market demand function is  q = a α p + β ( e s + e r ) , where  β  represents the sensitivity coefficient of market demand to the quality of agricultural products. To ensure that the supermarket’s order quantity is positive under any circumstances, we assumed that 2 β 2 < α < 8 3 β 2  and  2 α θ > β 2 .
Assumption 8.
Similar to assumption 3, according to the market demand function under CSR, we can obtain  p ( a + β e s + β e r q α , a + β e s + β e r α ) , and then the consumer surplus  C S = p min p max q d p = a + β ( e s + e r ) q α a + β ( e s + e r ) α [ a α p + β ( e s + e r ) ] d p = q 2 2 α .
To simplify the calculation, it is assumed that the order quantity of agricultural supermarkets is equal to the market demand, without considering stockout cost and surplus cost. The subscripts “ s ”, “ r ”, and “ s c ” were used to represent processor, supermarket, and supply chain system, respectively. The superscript “ n ” was used to indicate decision without FC or CSR, “ n C S R ” indicates the condition only considering CSR without FC, “ f ” indicates the condition only considering FC without CSR, and “ f C S R ” indicates the condition only considering both FC and CSR. The superscript “ * ” denotes the optimal solution. “ π ” denotes profit, and “ ” denotes utility.

4. Models and Solutions under Four Scenarios

In order to study the impact mechanism of FC and CSR on bilateral quality effort decision-making in APSC, this section displays the four decision models under four scenarios, i.e., Model I: both FC and CSR are not considered; Model II: only CSR is considered; Model III: only FC is considered; Model IV: both FC and CSR are considered, respectively, and computes the optimal solution.
Model I: Both FC and CSR are not considered
When both FC and CSR are not considered, the processor’s profit refers to the reduction of sales revenue and procurement cost, while utility refers to the utility obtained through direct income, i.e., π s n = ( w c 0 ) q , s n = ( w c 0 ) q . Similarly, the supermarket’s profit and utility can be denoted as π r n = ( p w ) q = ( a q α w ) q and r n = ( p w ) q = ( a q α w ) q . Thus, the utility of supply chain is s c n = s n + r n = ( a q α c 0 ) q .
Both the processor and supermarket make decisions based on maximizing profit. The decision-making model for the APSC can be denoted as:
M a x w π s n = ( w c 0 ) q
s.t. M a x q π r n = ( p w ) q = ( a q α w ) q
π r n is strictly concave in q , and π s n is strictly concave in w ; thus, both π r n and π s n have a unique optimal solution, and the backward induction method can be applied to compute an equilibrium solution, which is shown in Table 1.
Model II: Only CSR is considered
In the real business process, more and more enterprises have actively undertaken CSR and believe that improving the interests of stakeholders is beneficial for long-term stable cooperation and for obtaining more economic benefits. Model II only considers that both APSC members make quality efforts to jointly undertake CSR, and thus, both them make decisions to maximize the total utility, including profit and consumer surplus. Under CSR, the processor’s profit is the reduction of their sale revenue, procurement cost, and quality effort cost, i.e., π s n C S R = ( w c 0 ) q 1 2 e s 2 , and utility function is s n C S R = π s + θ C S , i.e., s n C S R = π s + θ C S = ( w c 0 ) q 1 2 e s 2 + θ q 2 2 α . Similarly, the supermarket’s profit and utility function is as shown below:
π r n C S R = ( p w ) q 1 2 e r 2 = [ a + β ( e s + e r ) q α w ] q 1 2 e r 2
r n C S R = π r + ( 1 θ ) C S = [ a + β ( e s + e r ) q α w ] q 1 2 e r 2 + ( 1 θ ) q 2 2 α
s c n C S R = s n C S R + r n C S R = [ a + β ( e s + e r ) q α c 0 ] q 1 2 e s 2 1 2 e r 2 + q 2 2 α
The APSC decision model can be denoted as below:
M a x w , e s s n C S R = ( w c 0 ) q 1 2 e s 2 + θ q 2 2 α
s.t. M a x q , e r r n C S R = [ a + β ( e s + e r ) q α w ] q 1 2 e r 2 + ( 1 θ ) q 2 2 α
r n C S R is strictly concave in q and e r , and s n C S R is strictly concave in w and e ; thus, both r n C S R and s n C S R have a unique optimal solution, and the backward induction method can be applied to compute equilibrium solution, which is shown in Table 1.
Model III: Only fairness concern is considered
From Model I, we find that the supermarket’s profit is always lower than the processor’s ( π r n < π s n ), and the supermarket may perceive the unfair distribution of benefits in the supply chain and then care about fairness. Therefore, the FC coefficient λ ( 0 < λ < 1 ) is introduced [41]. At this time, the supermarket’s utility includes the utility obtained from direct income and the negative unfair utility r = π r λ ( π s π r ) , and the supermarket’s profit is the same as Model I; thus the supermarket’s profit and utility can be denoted as π r f = ( p w ) q = ( a q α w ) q and r f = π r λ ( π s π r ) = ( 1 + λ ) ( a q α w ) q λ ( w c 0 ) q , while the processor’s profit and utility is the same as Model I, i.e., π s f = ( w c 0 ) q and s f = ( w c 0 ) q . Then, the utility of the supply chain is s c f = s f + r f = ( 1 + λ ) ( a q α w ) q + ( 1 λ ) ( w c 0 ) q .
The APSC decision model can be denoted as below:
M a x w π s f = ( w c 0 ) q
s.t. M a x q r f = ( 1 + λ ) ( a q α w ) q λ ( w c 0 ) q
r f is strictly concave in q , and π s f is strictly concave in w ; thus, both r f and π s n have a unique optimal solution, and the backward induction method can be applied to compute the equilibrium solution, which is shown in Table 2.
Model IV: Both FC and CSR are considered
According to Model II, we find that the supermarket’s profit is always lower than the processor’s ( π r n C S R < π s n C S R ). Therefore, Model III considers the supermarket’s FC. At this time, the supermarket’s utility includes the utility obtained from direct income, negative unfair utility, and the utility obtained from creating consumer surplus. The supermarket’s utility function is r = π r λ ( π s π r ) + ( 1 θ ) C S , while the profit is the same as Model II. The supermarket’s profit and utility are as follows:
π r f C S R = ( a + β ( e s + e r ) q α w ) q 1 2 e r 2
r f C S R = ( 1 + λ ) [ ( a + β ( e s + e r ) q α w ) q 1 2 e r 2 ] λ [ ( w c 0 ) q 1 2 e s 2 ] + ( 1 θ ) q 2 2 α
The processor’s profit and utility are the same as Model II, i.e., π s f C S R = ( w c 0 ) q 1 2 e s 2 and s f C S R = ( w c 0 ) q 1 2 e s 2 + θ q 2 2 α . Then, the utility of supply chain is as follows:
s c f C S R = ( 1 + λ ) [ ( a + β ( e s + e r ) q α w ) q 1 2 e r 2 ] + ( 1 λ ) [ ( w c 0 ) q 1 2 e s 2 ] + q 2 2 α
The APSC decision model can be denoted as below:
M a x q , e s s f C S R = ( w c 0 ) q 1 2 e s 2 + θ q 2 2 α
s.t. M a x q , e r r f C S R = ( 1 + λ ) [ ( a + β e s + β e r q α w ) q 1 2 e r 2 ] λ [ ( w c 0 ) q 1 2 e s 2 ] + ( 1 θ ) q 2 2 α
r f C S R is strictly concave in q , and s f C S R is strictly concave in w ; thus, both r f C S R and s f C S R have a unique optimal solution, and the backward induction method can be applied to compute an equilibrium solution, which is shown in Table 2.

5. The Impact Mechanism of FC and CSR

(1) The effect of FC
When CSR is not considered, we can compare Model I and Model III to analyze whether the supermarket’s FC affects the operation of APSC.
Proposition 1.
w f < w n , q f = q n .
For w n w f = λ ( a α c 0 ) 2 α ( 1 + 2 λ ) > 0  , it is easy to obtain w f < w n .
Proposition 1 indicates that the supermarket’s FC leads to a decrease in wholesale price, but it does not reduce order quantity. It can be seen that the processor reduced wholesale price to alleviate the negative unfair utility of the supermarket, but the quality of agricultural products remains unchanged; thus, market demand remains unchanged.
Proposition 2.
  π s f < π s n , π r f > π r n . If  0 < λ < 1 2 , then  π s f > π r f , and if  1 2 < λ < 1 , then  π s f < π r f .   s f < s n , r f > r n . If  0 < λ < 1 2 , s c n > s c f , and if  1 2 < λ < 1 , s c n < s c f .   C S f = C S n .
For  π s n π s f = λ ( a α c 0 ) 2 8 α ( 1 + 2 λ ) > 0 , it is easy to obtain  π s f < π s n , and  π r n π r f = λ ( a α c 0 ) 2 8 α ( 1 + 2 λ ) < 0 ; thus, π r f > π r n . For  π s f π r f = ( 2 λ 1 ) ( a α c 0 ) 2 16 α ( 1 + 2 λ ) , if  0 < λ < 1 2 , then  π s f > π r f , and if  1 2 < λ < 1 , then  π s f < π r f . s n s f = λ ( a α c 0 ) 2 8 α ( 1 + 2 λ ) > 0 , and thus  s f < s n . Similarly,  r n r f = λ ( a α c 0 ) 2 16 α < 0 , and  r f > r n . For  s c n s c f = λ ( a α c 0 ) 2 ( 2 λ 1 ) 16 α ( 1 + 2 λ ) , if  0 < λ < 1 2 , then  s c n > s c f ; otherwise,  s c n < s c f .
Proposition 2 indicates that when supermarket’s FC is weak, the supermarket’s profit increases with FC, but the supermarket’s profit is still lower than the processor’s, while the supermarket’s utility increases. When the supermarket’s FC is strong, the processor transfers most of the profit to the supermarket, resulting in a decrease in the processor’s profit lower than the supermarket. This indicates that the supermarket’s FC plays a role in the “profit distribution mechanism”. Secondly, although strong FC increases the utility of APSC, it does not mean that the supermarket’s strong FC is beneficial to the supply chain system, as the unfair distribution of profit in the supply chain system may lead to more complex decision-making problems by both parties and hinder the supply chain operation. Finally, combined with Proposition 1, regardless of whether the supermarket has FC or not, the demand and quality of the agricultural product market remain unchanged, and consumer surplus remains unchanged. Furthermore, when the CSR is considered, we can compare Model II and Model IV to analyze whether supermarket’s FC affects the operation of the APSC.
Proposition 3.
e s n C S R = e r n C S R > e r f C S R > e s f C S R , q f C S R < q n C S R , w f C S R < w n C S R .
For  1 2 θ < 2 3  and  2 β 2 < θ < 8 3 β 2 , we can obtain  e r n C S R e r f C S R = λ β ( a α c 0 ) [ ( 4 6 θ ) λ + 2 3 θ ] α + ( 1 + λ ) β 2 [ ( 2 + θ ) α 3 β 2 ] y 1 > 0 . e r f C S R e s f C S R = λ β ( a α c 0 ) ( 1 + λ ) λ 2 [ ( 8 4 θ ) α 5 β 2 ] + 8 λ ( α β 2 ) + ( 2 + θ ) α 3 β 2 > 0 , i.e.,  e r f C S R > e s f C S R , and thus,  e s n C S R = e r n C S R > e r f C S R > e s f C S R . q n C S R q f C S R = λ α ( a α c 0 ) [ ( 4 6 θ ) λ + 2 3 θ ] α + ( 1 + λ ) β 2 [ ( 2 + θ ) α 3 β 2 ] y 1 > 0 , i.e.,  q f C S R < q n C S R , and  w n C S R w f C S R = λ ( a α c 0 ) [ ( 2 θ 2 2 θ + 4 ) λ + 2 θ 2 + θ + 2 ] α 2 [ ( 5 + θ ) λ + 3 + 4 θ ] α β 2 + 2 ( 1 + λ ) β 4 α [ ( 2 + θ ) α 3 β 2 ] y 1 > 0 , i.e.,  w f C S R < w n C S R .
( y 1 = [ ( 4 2 θ ) λ + 2 + θ ] ( 1 + 2 λ ) α ( 1 + λ ) ( 3 + 5 λ ) β 2 )
Combining Proposition 1 and Proposition 3, regardless of whether CSR is considered or not, the supermarket’s FC will always lead to a decrease in wholesale price, while the processor will reduce the cost of quality effort to reduce operational risk. In the face of lower quality agricultural products, the supermarket will lack the motivation to invest in higher quality effort due to the inability to improve the quality of agricultural products from the supplying source. However, in order to further reduce loss and ensure consumer safety, the supermarket will pay higher quality effort than the processor. However, low-quality agricultural products cannot meet consumers’ demand, resulting in demand decrease.
Proposition 4.
  π r f C S R > π r n C S R , π s f C S R < π s n C S R . If  0 < λ < λ 1 , then  π s f C S R > π r f C S R , and if  λ 1 < λ < 1 , π s f C S R < π r f C S R . ( λ 1 ( 0 , 1 ) ).   s f C S R < s n C S R , r f C S R > r n C S R , s c f C S R < s c n C S R .   C S f C S R < C S n C S R
Proof. 
Let y 3 = π r n C S R π r f C S R , y 3 λ = ( a α c 0 ) 2 9 y 4 + ( 1 + λ ) ( 9 λ + 4 ) β 4 [ ( 4 2 θ ) λ + 2 + θ ] ( 1 + 2 λ ) α ( 1 + λ ) ( 3 + 5 λ ) β 2 3 ,
y 4 = 8 9 ( λ + 1 2 ) ( θ 2 2 θ ) λ 3 + ( 9 2 θ 2 + 5 θ 4 ) ( λ 2 + λ ) 5 4 θ 2 + θ 1 α 2 + 10 9 ( 1 + λ ) ( θ 12 5 ) λ 3 + ( 7 5 θ 26 5 ) λ 2 + ( 1 5 θ 16 5 ) λ 3 10 θ 3 5 α β 2 = ( A α B β 2 ) α .
A B = 1 9 ( 8 θ 2 + 6 θ + 24 ) λ 4 + ( 32 θ 2 56 θ + 108 ) λ 3 + ( 54 θ 2 72 θ + 132 ) λ 2 + ( 28 θ 2 23 θ + 62 ) λ + 5 θ 2 θ + 10 > 0 , and α > 2 β 2 ; thus, y 4 > 0 , i.e., y 3 λ < 0 , which indicates that y 3 strictly decreases in λ , y 3 ( λ ) < y 3 ( λ = 0 ) = 0 , i.e., π r f C S R > π r n C S R . Similarly, let y 5 = π s n C S R π s f C S R , and
y 5 λ = ( a α c 0 ) 2 ( 1 + λ ) y 6 + ( 1 + λ ) ( 5 λ + 3 ) β 4 [ ( 4 2 θ ) λ + 2 + θ ] ( 1 + 2 λ ) α ( 1 + λ ) ( 3 + 5 λ ) β 2 3 ,
y 6 = 8 ( λ + 1 2 ) ( 5 θ 2 8 θ + 4 ) λ 2 + ( 5 2 θ 2 5 θ + 4 ) λ + 1 2 θ 2 1 2 θ + 1 α 2 + 22 ( 1 + λ ) ( θ 14 11 ) λ 2 + ( 7 11 θ 15 11 ) λ + 1 22 θ 4 11 α β 2
For α > 2 β 2 , we can obtain the following:
y 6 > { 8 ( 2 λ + 1 ) ( 5 θ 2 8 θ + 4 ) λ 2 + ( 5 2 θ 2 5 θ + 4 ) λ + 1 2 θ 2 1 2 θ + 1 + 22 ( 1 + λ ) ( θ 14 11 ) λ 2 + ( 7 11 θ 15 11 ) λ + 1 22 θ 4 11 } α β 2 = ( 80 θ 2 106 θ + 36 ) λ 3 + ( 80 θ 2 108 θ + 38 ) λ 2 + ( 28 θ 2 33 θ + 10 ) λ + 4 θ 2 3 θ > 0
y 5 λ > 0 indicates that y 5 strictly increases in λ , where y 5 ( λ ) > y 5 ( λ = 0 ) = 0 , i.e., π s f C S R < π s n C S R . π s f C S R λ < 0 and π r f C S R λ > 0 , π s n C S R > π r n C S R ; thus, π s f C S R ( λ = 0 ) > π r f C S R ( λ = 0 ) , π s f C S R ( λ = 1 ) < π r f C S R ( λ = 1 ) , and there is only one critical parameter λ 2 ( 0 , 1 ) subjected to π s f C S R = π r f C S R . When 0 < λ < λ 2 , then π s f C S R > π r f C S R , but when λ 2 < λ < 1 , then π s f C S R < π r f C S R .
s n C S R s f C S R = ( a α c 0 ) 2 λ [ ( 3 2.5 θ ) λ + 2 θ ] α ( 1 + λ ) β 2 [ ( 2 + θ ) α 3 β 2 ] [ ( 4 2 θ ) λ + 2 + θ ] ( 1 + 2 λ ) α ( 1 + λ ) ( 3 + 5 λ ) β 2 > 0 , i.e., s f C S R < s n C S R . For r f C S R λ > 0 , r f C S R ( λ ) > r f C S R ( λ = 0 ) = ( a α c 0 ) 2 [ ( 1 + θ ) β 2 ] [ ( 2 + θ ) 3 β 2 ] 2 = r n C S R , i.e., r f C S R > r n C S R . For s c f C S R λ < 0 , we can obtain s c f C S R ( λ ) < s c f C S R ( λ = 0 ) = s c n C S R , i.e., s c f C S R < s c n C S R .
C S n C S R C S f C S R = ( a α c 0 ) 2 α λ λ [ ( 4 6 θ ) α + β 2 ] + [ ( 2 3 θ ) α + β 2 ] y 7 2 [ ( 2 + θ ) α 3 β 2 ] [ ( 4 2 θ ) λ + 2 + θ ] ( 1 + 2 λ ) α ( 1 + λ ) ( 3 + 5 λ ) β 2
y 7 = ( 1 + 2 λ ) [ ( 6 θ ) λ + 4 + 2 θ ] α ( 1 + λ ) ( 6 + 11 λ ) β 2 > λ 2 ( 13 4 θ ) + λ ( 11 + 6 θ ) + 4 θ + 2 > 0
Thus, we can prove that C S f C S R < C S n C S R . □
Proposition 4 indicates that the supermarket’s FC plays a role as a “profit distribution mechanism”. At the same time, combined with Proposition 3, the decrease in quality and quantity of agricultural products is not conducive to the improvement of consumers’ welfare, resulting in consumer surplus decreasing.
Conclusion 1.
The supermarket’s FC only serves as “profit distribution mechanism” and cannot improve consumer surplus.
On the one hand, the supermarket’s FC can lead to a decrease in wholesale price, leading to an increase in profit and a decrease in the processor’s profit. Therefore, the supermarket’s FC plays a role as a “profit distribution mechanism”, but it is not conducive to the stable operation of APSC. On the other hand, the supermarket’s FC is not conducive to the quality improvement of agricultural products and the expansion of market demand; thus, the effectiveness of both the supply chain system and consumer surplus cannot be improved.
(1) The effect of CSR
When the FC is not considered, we can compare Model I and Model II to analyze whether CSR affects APSC operation.
Proposition 5.
q n C S R > q n , w n C S R < w n .
Proof. 
For q n C S R q n = ( a α c 0 ) [ ( 2 θ ) α + 3 β 2 ] [ ( 8 + 4 θ ) α 12 β 2 ] > 0 , it is easy to obtain q n C S R > q n . Let y 2 = w n w n C S R = ( a α c 0 ) ( α θ β 2 ) α [ ( 4 + 2 θ ) α 6 β 2 ] , for y 2 θ = ( a α c 0 ) ( α β 2 ) [ ( 2 + θ ) α 3 β 2 ] 2 > 0 , which indicates that y 2 strictly increases in θ , and y 2 ( θ = 1 2 ) = ( α 2 β 2 ) ( a α c 0 ) 2 α ( 5 α 6 β 2 ) > 0 , y 2 ( θ = 2 3 ) = ( a α c 0 ) ( 2 α 3 β 2 ) 2 α ( 8 α 9 β 2 ) > 0 ; thus, w n C S R < w n . □
Through Proposition 5, sharing CSR among members of the APSC leads to a decrease in wholesale price and an increase in market demand. This is because the processor’s CSR awareness indirectly encourages the supermarket to set a reasonable retail price to bring benefits to consumers by reducing wholesale price and reducing supermarket cost. At the same time, bilateral quality efforts made by members of the APSC will improve the quality of agricultural products and promote an increase in market demand.
Proposition 6.
  π s n C S R > π s n , π r n C S R > π r n .   s n C S R > s n , r n C S R > r n , s c n C S R > s c n .   C S n C S R > C S n .
Proof. 
Let y 8 = π s n C S R π s n = ( a α c 0 ) 2 ( α 2 θ 2 6 α β 2 θ + 9 β 4 + 4 α 2 θ 4 α 2 ) 8 α [ ( 2 + θ ) α 3 β 2 ] 2 , y 8 θ = α ( a α c 0 ) 2 ( 2 α 3 β 2 ) [ ( 2 + θ ) α 3 β 2 ] 3 < 0 , which indicates that y 8 strictly decreases in θ , y 8 ( θ = 1 2 ) = ( a α c 0 ) 2 ( 7 α 2 + 12 α β 2 36 β 4 ) 8 α ( 5 α 6 β 2 ) > 0 , and y 8 ( θ = 2 3 ) = ( a α c 0 ) 2 ( 8 α 2 + 36 α β 2 81 β 4 ) 8 α ( 8 α 9 β 2 ) 2 > 0 , i.e., π s n C S R > π s n .
Similarly, let y 9 = π r n C S R π r n = ( a α c 0 ) 2 ( α 2 θ 2 6 α β 2 θ + 9 β 4 12 α 2 θ 4 α β 2 + 4 α 2 ) 16 α [ ( 2 + θ ) α 3 β 2 ] 2 y 9 θ = ( a α c 0 ) 2 α [ ( 2 θ ) α β 2 ] [ ( 2 + θ ) α 3 β 2 ] 3 > 0 ; y 9 strictly increases in θ , y 9 ( θ = 1 2 ) = ( a α c 0 ) 2 ( 7 α 2 + 28 α β 2 36 β 4 ) 16 α ( 5 α 6 β 2 ) 2 > 0 , and y 9 ( θ = 2 3 ) = ( a α c 0 ) 2 ( 32 α 2 + 72 α β 2 81 β 4 ) 16 α ( 8 α 9 β 2 ) 2 > 0 , i.e., π r n < π r n C S R . s n C S R s n = ( a α c 0 ) 2 [ ( 2 θ ) α + 3 β 2 ] 8 α [ ( 2 + θ ) α 3 β 2 ] > 0 , s n C S R > s n .
Let y 10 = r n C S R r n = ( a α c 0 ) 2 ( α 2 θ 2 6 α β 2 θ + 9 β 4 4 α 2 θ 4 α β 2 4 α 2 ) 16 α [ ( 2 + θ ) α 3 β 2 ] 2 , y 10 θ = ( a α c 0 ) 2 α ( α θ + β 2 ) 2 [ ( 2 + θ ) α 3 β 2 ] 3 < 0 , i.e., y 10 strictly decreases in θ , and y 10 ( θ = 1 2 ) = ( a α c 0 ) 2 ( α + 2 β 2 ) ( 23 α 18 β 2 ) 16 α ( 5 α 6 β 2 ) 2 > 0 , y 10 ( θ = 2 3 ) = ( a α c 0 ) 2 ( 56 α 2 + 72 α β 2 81 β 4 ) 16 α ( 8 α 9 β 2 ) 2 > 0 ; thus, y 10 = r n C S R r n > 0 , i.e., r n C S R > r n . s c c C S R s c c = ( a α c 0 ) 2 ( α + 2 β 2 ) 4 α ( α 2 β 2 ) > 0 , i.e., s c c C S R > s c c .
Let y 11 = s c n C S R s c n = ( a α c 0 ) 2 ( 3 α 2 θ 2 18 α β 2 θ + 27 β 4 4 α 2 θ 4 α β 2 12 α 2 ) 16 α [ ( 2 + θ ) α 3 β 2 ] 2 , y 11 θ = α ( a α c 0 ) 2 [ ( 1 + θ ) α β 2 ] [ ( 2 + θ ) α 3 β 2 ] 3 < 0 , i.e., y 11 strictly decreases in θ , y 11 ( θ = 1 2 ) = ( a α c 0 ) 2 ( α + 2 β 2 ) ( 53 α 54 β 2 ) 16 α ( 5 α 6 β 2 ) 2 > 0 , y 11 ( θ = 2 3 ) = 3 ( a α c 0 ) 2 ( 40 α 2 + 48 α β 2 81 β 4 ) 16 α ( 8 α 9 β 2 ) 2 > 0 ; thus, y 11 = s c n C S R s c n > 0 , i.e., s c n C S R > s c n . □
Through Proposition 6, sharing CSR among members of the APSC can lead to an increase in both members’ own profits and utility, supply chain system utility, and consumer surplus. This is because members of the APSC invest in bilateral quality efforts to promote the improvement of agricultural product quality, stimulate market demand, and ensure the stable supply of high-quality agricultural products. This not only benefits members themselves and the supply chain system, but it also brings welfare to consumers.
Furthermore, when FC is considered, we can compare Model III and Model IV to analyze whether CSR affects the APSC operation.
Proposition 7.
q f C S R > q f , w f C S R < w f .
For q f q f C S R = ( a α c 0 ) λ 2 ( 4 θ α + 5 β 2 ) + λ ( 4 α + 8 β 2 ) + ( 2 θ ) α + 3 β 2 4 λ 2 [ ( 8 4 θ ) α 5 β 2 ] + 8 λ ( α β 2 ) + ( 2 + θ ) α 3 β 2 < 0 , q f C S R > q f  and 1 2 θ < 2 3 ; thus, w f w f C S R = ( a α c 0 ) ( 1 + λ ) λ 2 ( 4 θ α β 2 ) + λ ( 4 θ α 2 β 2 ) + θ α β 2 2 α ( 1 + 2 λ ) λ 2 [ ( 8 4 θ ) α 5 β 2 ] + 8 λ ( α β 2 ) + ( 2 + θ ) α 3 β 2 > 0 , i.e.,  w f C S R < w f .
By combining Proposition 7 and Proposition 5, regardless of FC, sharing CSR between the supermarket and processor will lower wholesale price and increase market demand, which indicates that APSC members with CSR awareness can be beneficial to the welfare of stakeholders. On the one hand, the processor shares the operating pressure of the supermarket by reducing wholesale price. On the other hand, both the supermarket and processor invest in bilateral quality efforts to stimulate consumers’ demand for agricultural products and expand market share by improving the quality of agricultural products.
Proposition 8.
  π s f C S R > π s f , π r f C S R > π r f .   s f C S R > s f , r f C S R > r f , s c f C S R > s c f .   C S f C S R > C S f .
Proof. 
π s f π s f C S R = ( a α c 0 ) 2 ( 1 + λ ) λ 4 [ 16 θ 2 α 2 + 40 ( 1 θ ) α β 2 + 25 β 4 ] + λ 3 [ ( 64 32 θ ) α 2 + ( 84 64 θ ) α β 2 + 80 β 4 ] + λ 2 [ ( 8 θ 2 80 θ + 48 ) α 2 + 14 ( 4 θ ) α β 2 + 96 β 4 ] + λ [ ( 32 24 θ ) α 2 ( 12 16 θ ) α β 2 + 48 β 4 + ( θ 2 4 θ + 4 ) α 2 + 6 α β 2 + 9 β 4 8 α ( 1 + 2 λ ) λ 2 [ ( 8 4 θ ) α 5 β 2 ] + 8 λ ( α β 2 ) + ( 2 + θ ) α 3 β 2 2 < 0 , i.e., π s f C S R > π s f .
π r f π r f C S R = ( a α c 0 ) 2 λ 5 [ ( 128 θ 64 θ 2 ) α 2 + ( 192 160 θ ) α β 2 100 β 4 ] + λ 4 [ ( 64 192 θ 16 θ 2 ) α 2 + ( 496 296 θ ) α β 2 345 β 4 ] + λ 3 [ ( 32 θ 2 + 224 θ + 64 ) α 2 + ( 480 120 θ ) α β 2 456 β 4 ] + λ 2 [ ( 8 θ 2 + 192 θ ) α 2 + ( 220 + 50 θ ) α β 2 286 β 4 ] + λ [ ( 4 θ 2 80 θ + 64 ) α 2 + ( 48 + 40 θ ) α β 2 84 β 4 ] + ( 4 + 12 θ θ 2 ) α 2 + ( 4 + 6 θ ) α β 2 9 β 4 16 α ( 1 + 2 λ ) λ 2 [ ( 8 4 θ ) α 5 β 2 ] + 8 λ ( α β 2 ) + ( 2 + θ ) α 3 β 2 2 < 0 ,
i.e., π r f C S R > π r f .
s f s f C S R = ( a α c 0 ) 2 ( 1 + λ ) λ 2 [ ( 8 + 4 θ ) α + 5 β 2 ] + λ ( 4 α + 8 β 2 ) + ( 2 θ ) α + 3 β 2 8 α ( 1 + 2 λ ) λ 2 [ ( 8 4 θ ) α 5 β 2 ] + 8 λ ( α β 2 ) + ( 2 + θ ) α 3 β 2 < 0 , i.e., s f C S R > s f .
r f r f C S R = ( a α c 0 ) 2 ( 1 + λ ) [ ( 4 θ θ 2 ) λ 2 + ( θ 2 + 2 θ + 2 ) λ + 1 + θ 1 4 θ 2 ] ( λ + 1 2 ) α 2 + y 15 16 α λ 2 [ ( 8 4 θ ) α 5 β 2 ] + 8 λ ( α β 2 ) + ( 2 + θ ) α 3 β 2 2
y 12 = 40 ( 1 + λ ) ( 7 5 θ ) λ 3 + ( 2 3 5 θ ) λ 2 + ( 9 10 + 1 4 θ ) λ + ( 1 10 + 3 20 θ ) α β 2 ( 1 + λ ) 2 ( 3 + 5 λ ) 2 β 4 . For α > 2 β 2 , and 1 2 α β 2 > β 4 ; thus
y 12 > 40 ( 1 + λ ) ( 7 5 θ ) λ 3 + ( 2 3 5 θ ) λ 2 + ( 9 10 + 1 4 θ ) λ + ( 1 10 + 3 20 θ ) α β 2 ( 1 + λ ) 2 ( 3 + 5 λ ) 2 × 1 2 α β 2 = 1 2 ( 1 + λ ) ( 87 80 θ ) λ 3 + ( 105 48 θ ) λ 2 + ( 33 + 20 θ ) λ 12 θ 1 > 0
r f r f C S R < 0 , i.e., r f C S R > r f . For s c f C S R = s f C S R + r f C S R , s c f = s f + r f , s f C S R > s f , and r f C S R > r f ; we can obtain s c f C S R > s c f , C S f C S f C S R = ( a α c 0 ) 2 ( 4 λ 2 θ θ + 4 λ + 2 ) α + ( 1 + λ ) ( 3 + 5 λ ) β 2 y 13 32 α λ 2 [ ( 8 4 θ ) α 5 β 2 ] + 8 λ ( α β 2 ) + ( 2 + θ ) α 3 β 2 2 .
y 13 = ( 16 4 θ ) λ 2 + 20 λ + θ + 6 ) α ( 1 + λ ) ( 3 + 5 λ ) β 2 > 2 ( 16 4 θ ) λ 2 + 20 λ + θ + 6 ) ( 1 + λ ) ( 3 + 5 λ ) β 2 = ( 27 8 θ ) λ 2 + 32 λ + 2 θ + 9 β 2 > 0
Thus, C S f C S f C S R < 0 , i.e., C S f C S R > C S f . □
By combining Proposition 8 and Proposition 6, sharing CSR between the supermarket and processor can improve the profit and utility of both members, the utility of the supply chain system, and consumer surplus. For both members, sharing CSR can help to enhance the corporate image and improve both profit and utility. For consumers, their needs for quantity and quality of agricultural products can be met. For the APSC system, the increase of member’s profit and utility can promote closer cooperation, providing consumers with higher quality agricultural products, expanding consumer groups, and thereby improving the competitiveness of the APSC system. Therefore, sharing CSR among the supermarket and processor is conducive to achieving a win-win situation among the three and promoting the good operation of the APSC.
Conclusion 2.
Sharing CSR between the supermarket and processor is beneficial for improving the quality of agricultural products, and Pareto improves the profit and utility of the APSC and consumer surplus.
According to Conclusion 1 and Conclusion 2, supermarket’s FC has a negative impact on the operation of the supply chain, and sharing CSR between the supermarket and processor has a positive impact. From Proposition 8, the performance considering both FC and CSR is better than that only considering FC. Therefore, sharing CSR between the supermarket and processor can alleviate the negative impact of FC on the supply chain.
(3) Sensitivity analysis
Property 1.
  q f C S R λ < 0 , e r f C S R λ < 0 , e s f C S R λ < 0 , w f C S R λ < 0 .   q f C S R θ > 0 , e r f C S R θ > 0 , e s f C S R θ > 0 , w f C S R θ < 0 .
Proof. 
q f C S R λ = α ( a α c 0 ) ( 2 3 θ ) ( 1 + 2 λ ) 2 α + ( 1 + λ ) 2 β 2 λ 2 [ ( 8 4 θ ) α 5 β 2 ] + 8 λ ( α β 2 ) + ( 2 + θ ) α 3 β 2 2 < 0 ,
e r f C S R λ = β ( a α c 0 ) ( 2 3 θ ) ( 1 + 2 λ ) 2 α + ( 1 + λ ) 2 β 2 λ 2 [ ( 8 4 θ ) α 5 β 2 ] + 8 λ ( α β 2 ) + ( 2 + θ ) α 3 β 2 2 < 0 ,
e s f C S R λ = 2 β ( a α c 0 ) ( 1 + λ ) [ ( 4 4 θ ) λ + 2 θ ] α ( 1 + λ ) β 2 λ 2 [ ( 8 4 θ ) α 5 β 2 ] + 8 λ ( α β 2 ) + ( 2 + θ ) α 3 β 2 2 < 0 ,
w f C S R λ = ( a α c 0 ) [ ( 8 θ 2 12 θ + 8 ) λ 2 + ( 4 θ 2 4 θ + 8 ) λ + 2 θ 2 + θ + 2 ] α 2 ( 1 + λ ) [ ( 7 2 θ ) λ + 4 θ + 3 ] α β 2 + 2 ( 1 + λ ) 2 β 4 α λ 2 [ ( 8 4 θ ) α 5 β 2 ] + 8 λ ( α β 2 ) + ( 2 + θ ) α 3 β 2 2 < 0 ,
q f C S R θ = α 2 ( a α c 0 ) ( 1 + λ ) ( 1 + 2 λ ) ( 1 + 4 λ 2 ) λ 2 [ ( 8 4 θ ) α 5 β 2 ] + 8 λ ( α β 2 ) + ( 2 + θ ) α 3 β 2 2 > 0 ,
e r f C S R θ = α β ( a α c 0 ) ( 1 + λ ) ( 1 + 2 λ ) ( 1 + 4 λ 2 ) λ 2 [ ( 8 4 θ ) α 5 β 2 ] + 8 λ ( α β 2 ) + ( 2 + θ ) α 3 β 2 2 > 0 ,
e s f C S R θ = α β ( a α c 0 ) ( 1 + λ ) 2 ( 1 + 4 λ 2 ) λ 2 [ ( 8 4 θ ) α 5 β 2 ] + 8 λ ( α β 2 ) + ( 2 + θ ) α 3 β 2 2 > 0 ,
w f C S R θ = ( a α c 0 ) ( 1 + λ ) 2 λ 3 ( 4 α 3 β 2 ) + 12 λ 2 ( α β 2 ) + λ ( 6 α 7 β 2 ) + α β 2 λ 2 [ ( 8 4 θ ) α 5 β 2 ] + 8 λ ( α β 2 ) + ( 2 + θ ) α 3 β 2 2 < 0 . □
From Property 1, as supermarket’s FC increases, all the optimal order quantity, wholesale price, and bilateral quality efforts in APSC will decrease. With the enhancement of the processor’s CSR awareness, both the optimal order quantity and bilateral quality efforts increase, while wholesale price declines. This is consistent with Propositions 1, 3, 5, and 7.
Property 2.
q f C S R θ > q f C S R λ , e r f C S R θ > e r f C S R λ , e s f C S R θ > e s f C S R λ , w f C S R θ > w f C S R λ .
Proof. 
q f C S R θ q f C S R λ = α ( a α c 0 ) 8 λ 4 α + 12 λ 3 α + λ 2 [ ( 10 12 θ ) α + β 2 ] + λ [ ( 5 4 θ ) α + 2 β 2 ] + ( 1 θ ) α + β 2 λ 2 [ ( 8 4 θ ) α 5 β 2 ] + 8 λ ( α β 2 ) + ( 2 + θ ) α 3 β 2 2 > 0 , e s f C S R θ e s f C S R λ = β ( a α c 0 ) ( 1 + λ ) 4 λ 3 α + 4 λ 2 α + λ [ ( 7 8 θ ) α 2 β 2 ] + ( 3 2 θ ) α 2 β 2 λ 2 [ ( 8 4 θ ) α 5 β 2 ] + 8 λ ( α β 2 ) + ( 2 + θ ) α 3 β 2 2 > 0 , w f C S R θ w f C S R λ = ( a α c 0 ) [ ( 8 λ 4 + 20 λ 3 + 2 λ 2 ( 5 + 6 θ 4 θ 2 ) + λ ( 2 θ 1 ) 2 2 θ 2 θ + 1 ] α 2 2 ( 1 + λ ) ( 3 λ 3 + 6 λ 2 + λ θ 2 θ 1 ) α β 2 + 2 ( 1 + λ ) 2 β 4 α λ 2 [ ( 8 4 θ ) α 5 β 2 ] + 8 λ ( α β 2 ) + ( 2 + θ ) α 3 β 2 2 > 0 . □
From Property 2, the impact of CSR shared by both parties on bilateral quality efforts is greater than the supermarket’s FC. At the same time, combining with Property 1, sharing CSR between the supermarket and processor can alleviate the negative impact of FC on APSC, further verifying Inference 1.

6. Numerical Analysis

In order to more intuitively compare the effects of the supermarket’s FC and CSR on the optimal quality efforts, order quantity, profit, and utility of the APSC, this section conducts a numerical analysis. The relevant parameters are a = 100 , α = β = 0.4 , c 0 = 0.5 , and θ = 0 . 5 .
(1) Bilateral quality efforts
In Figure 1, the optimal bilateral quality efforts of the APSC are highest in Model II, followed by Model IV, and they decrease with supermarket’s FC. In Figure 2, the optimal order quantity is the highest in Model II, followed by Model IV, and the lowest and equal in Model I and Model III. In Figure 3, the wholesale price is the lowest in Model IV and the highest in Model I, and it decreases with the supermarket’s FC. The changes in bilateral quality efforts, order quantity, and wholesale prices in APSC with the supermarket’s FC are consistent with Propositions 1, 3, 5, and 7. Meanwhile, by comparing four scenarios, we can find that the impact of CSR shared by both parties on bilateral quality effort decision-making is greater than FC, further confirming Property 2.
From Figure 1, Figure 2 and Figure 3, both the bilateral quality efforts and market demand are the highest in Model II, and this indicates that when members have no FC and both share CSR, it is most advantageous for a stable supply of high-quality agricultural products. Secondly, the supermarket’s FC and CSR can significantly reduce wholesale price, which is the most unfavorable for the processor. Finally, combining Model II and Model IV, it can be concluded that sharing CSR among members of APSC can alleviate the negative impact of FC on the APSC.
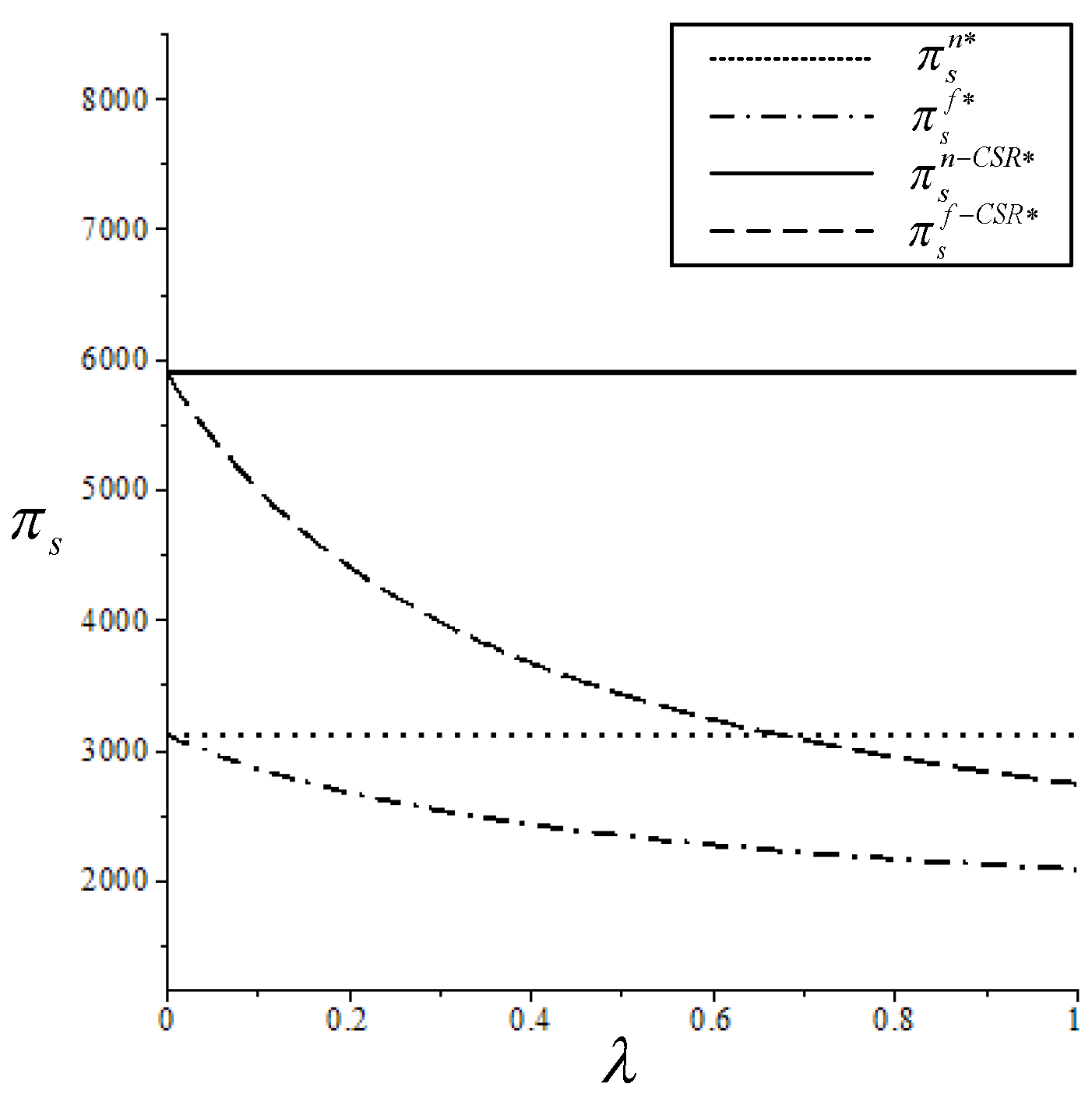
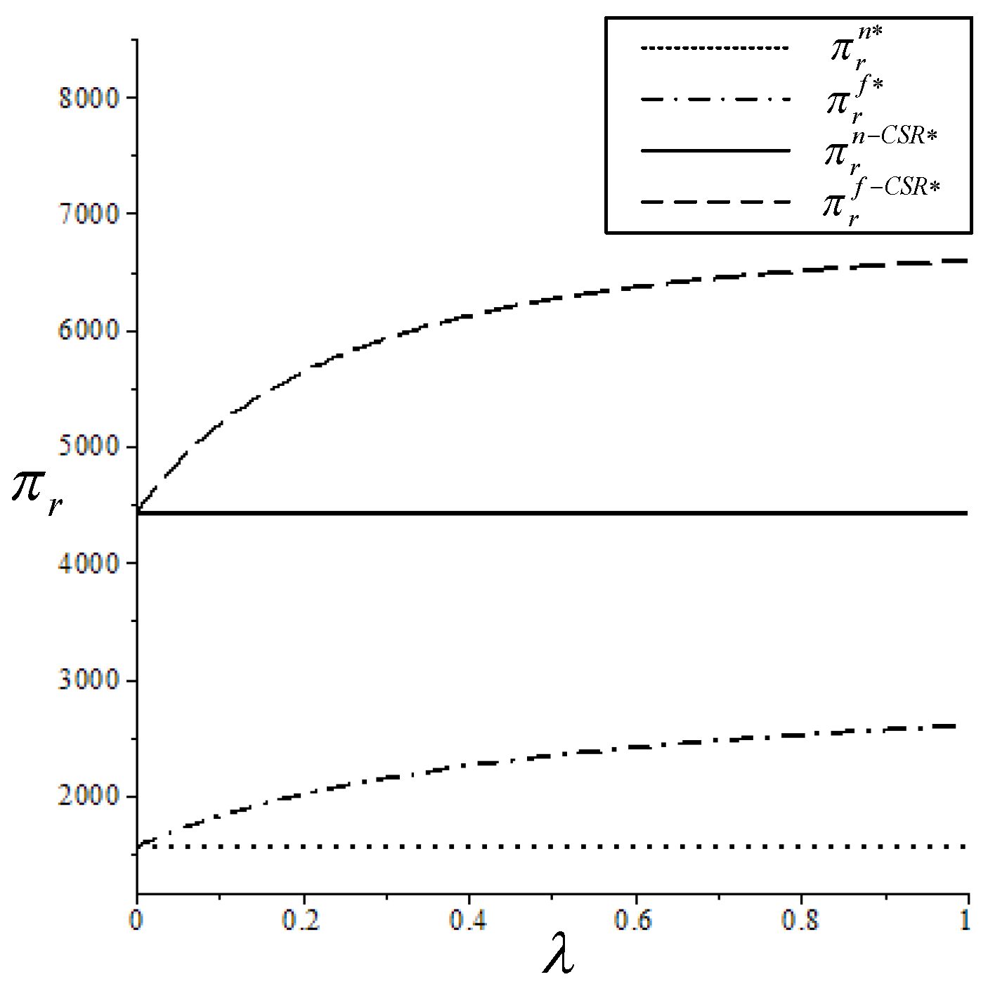
(2) Profit and utility
In Figure 4, the processor’s profit is the highest in Model II and the lowest in Model III, and it decreases with the supermarket’s FC. In Figure 5, the supermarket’s profit is highest in Model IV, followed by Model II, lower in Model III, and lowest in Model I, and it increases with FC. The changes in the profits of both members with the enhanced supermarket’s FC are consistent with Propositions 2①, 4①, 6①, and 8①.
In Figure 4 and Figure 5, when the supermarket has no FC and both share CSR, it is most advantageous for the processor, but when the supermarket cares about FC and none bear CSR, it is most unfavorable for the processor. Therefore, it is necessary for the supermarket to judge whether the processor has CSR awareness to choose the right partner. For the supermarket, once the supermarket has FC or both parties share CSR, they can increase their profits. Especially, when both FC and CSR exist, it can increase profit to the most extent. Therefore, the supermarket should also choose the processor with CSR awareness.
In Figure 6, the processor’s utility is highest in Model II, followed by Model IV, lower in Model I, and lowest in Model III, and it decreases with the supermarket’s FC. The utility of the supermarket is highest in Model IV, followed by Model II, lower in Model I, and lowest in Model III, and it decreases with the supermarket’s FC. The utility of the APSC is the highest in Model II, followed by Model IV, and the lowest in Models I and III, with a small difference between the two scenarios. The above numerical analysis confirms the consistency of Propositions 2②, 4②, 6②, and 8②.
From Figure 6, Figure 7 and Figure 8, it can be observed that the supermarket’s FC is always detrimental to the improvement of the processor’s utility, but sharing CSR between both parties can alleviate the negative impact of FC. The supermarket’s FC is beneficial for improving utility, and the joint existence of FC and CSR results in the greatest increase in the supermarket’s utility of agricultural product supermarkets. In addition, for agricultural product supply chain systems, sharing CSR among members of both parties can greatly improve system utility, while the supermarket’s FC is not always favorable for system utility, and the enhancement effect is weak. This indicates that sharing CSR between both parties is beneficial for Pareto improvement and alleviating the negative impact of FC, further confirming Conclusion 2.
(3) The consumer surplus
In Figure 9, consumer surplus is the highest in Model II, followed by Model IV, and lowest and equal in Model I and Model III, which is consistent with Propositions 2③, 4③, 6③, and 8③. From Figure 9, it can be observed that sharing CSR with both processor and supermarket can greatly enhance consumer surplus by supplying high-quality agricultural products, while the supermarket’s FC cannot improve consumer surplus or even lead to a decrease, further verifying Conclusions 1 and 2.

7. Discussion

(1) Conclusions
This paper studied the influence of FC and CSR on the bilateral quality effort improvement in the APSC. This study took a two-echelon APSC composed of a processor and a supermarket as the research object, and the processor dominated the supply chain. We established four Stackelberg game models with or without FC and CSR, i.e., in Model I, both FC and CSR were not considered; in Model II, only CSR was considered; in Model III, only FC was considered; in Model IV, both FC and CSR were considered, respectively. Then, the backward induction method was applied to solve each model and the influence mechanism of FC and CSR on bilateral quality efforts in the APSC through comparative analysis, sensitivity analysis, and numerical analysis, ensuring the stable supply of agricultural products with high quality and improving the operational efficiency of the APSC. Research shows that the supermarket ‘s FC can take the role of “profit distribution mechanism”, but it cannot improve bilateral quality efforts, resulting in the inability to improve market demand, and it is not conducive to improving the utility of the whole supply chain system and consumer surplus; both members of the APSC sharing CSR can improve the quality of agricultural products and promote the expansion of market demand, but they also can achieve the Pareto improvement of both profit of all members and the supply chain system. The CSR shared by both members had a greater impact on bilateral quality effort decisions than the supermarket’s FC, and thus, the positive effect of CSR can overcome the negative effect of FC. Based on the above research conclusions, we can suggest the following strategies. The processor can actively share the operating pressure of the supermarket, sign a flexible contract with agricultural product supermarkets, and increase attention to stakeholder welfare. The supermarket can actively disclose cost information, actively convey FC intensity information, and increase investment in agricultural product quality testing.
(2) Theoretical implications
The findings of this study extend previous research, and most of them focused on the product quality of APSC. The traditional literature studies largely concentrated on the quality effort of a certain member in the supply chain, but agricultural products are perishable, inciting a large loss in circulation, and thus the quality of agricultural products is determined by the both the simultaneous efforts of the processor and terminal sale supermarket. Then, most of scholars focused on the contract coordination or pricing strategies under FC or CSR in the supply chain, and little research referred to the influence of both FC and CSR on the quality decision and improvement in the APSC. In reality, both FC and CSR have important effects on the quality effort decision. For example, in 2014, Shandong dairy farmers’ inaccurate prediction of milk market demand and the dairy companies in the milk industry chain who have full control over the bargaining power continued to reduce milk purchase prices to maintain their own profit. Both these reasons resulted in a serious imbalance in the distribution of benefits in the milk supply chain, i.e., dairy companies dominating the supply chain obtained more than 90% profit of milk industry chain. Both the negative effect of unsalable milk and unequal treatment finally led to the pouring-milk incident by herdsmen. Therefore, FC is an important element effecting the decision of supply chain, and it is necessary to consider the FC in supply chain quality management.
In this study, we made three theoretical contributions as follows:
Firstly, we considered the bilateral quality improvement in APSC. The research on quality control of the APSC is a hot topic in theory and practice, and most of the existing research only studied the bilateral quality effort decision from the supplier or seller of agricultural products, respectively, but only one literature study mentioned the bilateral quality effort decision from both the supplier and seller [41]. Our research can enrich the quality management of the APSC and improve the quality of agricultural products in line with more realistic conditions.
Secondly, we investigated the effect of both FC and CSR on quality effort decisions. We illustrated that the FC of the agricultural product supermarket can take the role of “profit distribution mechanism”, but it is not conducive to improving bilateral quality efforts, resulting in the inability to improve market demand, and it cannot improve the utility of the supply chain system and consumer surplus; both APSC members sharing CSR can obviously improve the quality of agricultural products and promote expansion of market demand, but they also can achieve the Pareto profit improvement of all members and the supply chain system.
(3) Limitations
We established a mathematic model to investigate the quality effort improvement of APSC and obtained some important conclusions, but there still exists three limitations.
Firstly, we set a theoretical model to study the effect of FC and CSR on the quality effort improvement of APSC. The conclusions of the mathematic model depend on some assumptions, and it is the abstraction and simplification of a realistic problem; thus, it is necessary to adopt the empirical study, such as a case study, questionnaire investigation, and so on, to investigate the quality effort improvement of the APSC.
Secondly, the cognition and information about FC are completely accurate in this paper, i.e., we assumed that the FC information is symmetric. Not only do the members with FC know their own FC information, but also other members know the exact FC parameter information. Obviously, it is unreasonable because FC is of subjective and psychological information. The decision maker would not display his own private psychological information, and it is difficult for other decision makers to understand the private FC information.
Finally, we only investigated the effect of both FC and CSR on the quality effort decision and improvement in the short term. The game and interaction were repeated, and both FC and CSR information were obtained in the long term, and all the members made decisions and distribute profit according to the contribution in the APSC, and it is necessary to consider the strategy interaction, evolutionary game, and information changing in the long term to reflect the impact mechanism of both FC and CSR better.
(4) Future study
In order to obtain intuitive research conclusions, this article only considered a two-echelon APSC structure composed of one processor and one supermarket. In fact, the APSC is a complex network structure composed of multiple agricultural product processors and multiple agricultural product supermarkets. In the future, the “many to many” APSC structure can be studied to make the research more in line with the actual operation and improve the explanatory and guiding power of theory to practice. Secondly, we only studied the impact of FC on the APSC operation, but in reality, supply chain members also have other social preferences, such as jealousy, altruism, reciprocity, and so on. The impact mechanism of different social preferences and the combination of multiple social preferences on APSC are more complex, but they are more meaningful. Future research can simultaneously consider FC, altruism, and the combined impact of various social preferences on the APSC, which can be closer to the decision-making conditions in reality and obtain more realistic conclusions. Finally, we adopted a theoretical model to study the effects of FC and CSR on the APSC, but the mathematic model and numerical analysis were only the abstraction and simplification of a practical problem.
It is necessary to adopt the empirical study, such as a case study, questionnaire investigation, and so on, to investigate the quality effort improvement of the APSC under more real conditions, verify the mathematic conclusions, and thus, suggest a more effective strategy for the quality improvement of the APSC.

Author Contributions

Methodology, Y.Q.; Writing—review & editing, B.Z.; Formal analysis, L.X. All authors have read and agreed to the published version of the manuscript.

Funding

The research is supported by the Chongqing Education Commission Humanities and Social Sciences Planning Major Project (No. 23SKGH245).

Data Availability Statement

Not applicable.

Conflicts of Interest

The authors declare no conflict of interest.

References

  1. Henson, S.; Masakure, O.; Boselie, D. Private food safety and quality standards for fresh produce exporters: The case of hortico agrisystems. Food Policy 2005, 30, 371–384. [Google Scholar]
  2. Liang, W.W.; Zhou, L.N.; Zhou, G.G. Research on the supply chain network model of fresh agricultural products based on the effort level of all parties. Jiangsu Agric. Sci. 2019, 47, 337–343. [Google Scholar]
  3. Wang, L.; Dan, B. The Incentive mechanism for preservation in fresh agricultural supply chain considering consumer utility. J. Ind. Eng. Eng. Manag. 2015, 29, 200–206. [Google Scholar]
  4. Seo, S.; Jang, S.; Miao, L.; Almanza, B.; Behnke, C. The impact of food safety events on the value of food-related firms: An event study approach. Int. J. Hosp. Manag. 2017, 33, 153–164. [Google Scholar]
  5. Fei, W. The Effort of agricultural product quality and safety between enterprises and farmers: Based on different cooperation models between enterprises and farmers. Econ. Manag. 2016, 30, 82–87. [Google Scholar]
  6. Yang, H.Z.; Liu, R.H. Three-stage supply chain coordination of connecting agriculture with supermarkets considering loss and effort level. J. Syst. Sci. 2018, 26, 47–52. [Google Scholar]
  7. Hu, J.Y.; Zhang, J.; Mei, M. Quality control of a four-echelon agri-food supply chain with multiple strategies. Inf. Process. Agric. 2019, 6, 425–437. [Google Scholar]
  8. Hsu, P.H.; Wee, H.; Teng, H.M. Preservation technology investment for deteriorating inventory. Int. J. Prod. Econ. 2010, 124, 388–394. [Google Scholar] [CrossRef]
  9. Lee, Y.P.; Dye, C.Y. An inventory model for deteriorating items under stock-dependent demand and controllable deterioration rate. Comput. Ind. Eng. 2012, 63, 474–482. [Google Scholar] [CrossRef]
  10. Pu, X.J.; Fan, W.D.; Cao, W.B. Research on bilateral investment behavior between company and farmers and cooperatives’ optimal size under different transaction modes. Manag. Rev. 2014, 26, 126–134. [Google Scholar]
  11. Ding, N. The analysis of circulation innovation promoting agricultural products quality safety: Case study in Hefei traceability system of meat and vegetables circulation and Zhougudui agricultural products wholesale market. Issues Agric. Econ. 2015, 36, 16–24+110. [Google Scholar]
  12. Zhong, Z.; Mu, N.N.; Qi, J.L. Research on improving the quality and safety level of agricultural products through circulation innovation: Taking the traceability system of meat and vegetable circulation in Hefei and the wholesale market of agricultural products in Zhougudui as examples. China Rural. Econ. 2016, 1, 40–52. [Google Scholar]
  13. Wen, H.; Tao, J.P.; Cao, X.G. Fresh agricultural product supply chain decision based on bilateral quality control. Control Eng. China 2017, 24, 2478–2484. [Google Scholar]
  14. Shi, L.; Zhang, F.H.; Liu, W.J. Quality and safety of fruit and vegetable agricultural products based on the Internet. Rural Econ. Technol. 2019, 30, 139–141. [Google Scholar]
  15. Liu, H.; Huang, J.C.; You, W.D. Analysis of quality and safety elements of agricultural product supply chain under the situation of “Internet plus” and research on countermeasures. Agric. Prod. Process. 2018, 16, 90–93. [Google Scholar]
  16. Chen, J. Game analysis of agri-food quality classification under consumer selection behavior. Oper. Res. Manag. Sci. 2020, 29, 68–75. [Google Scholar]
  17. Yoo, S.H.; Cheong, T. Quality improvement incentive strategies in a supply chain. Transp. Res. Part E Logist. Transp. Rev. 2018, 114, 331–342. [Google Scholar]
  18. Huo, H.; Wang, Z.T. Research on agricultural product quality coordination based on the supply chain of “company + farmers”. Jiangsu Agric. Sci. 2019, 47, 278–281. [Google Scholar]
  19. Yang, S.; Zang, J.C.; Wang, A.F. Evolutionary game of quality and safety investment of agricultural products under punishment mechanism. Chin. J. Manag. Sci. 2019, 27, 181–190. [Google Scholar]
  20. Chen, C.L.; Liu, Q.; Li, J. Corporate social responsibility and downstream price competition with retailer’s effort. Int. Rev. Econ. Financ. 2016, 46, 36–54. [Google Scholar] [CrossRef]
  21. Hsueh, C.F. Improving corporate social responsibility in a supply chain through a new revenue sharing contract. Int. J. Prod. Econ. 2014, 151, 214–222. [Google Scholar]
  22. Nematollahi, M.; Hosseini-Motlagh, S.M.; Heydari, J. Coordination of social responsibility and order quantity in a two-echelon supply chain: A collaborative decision-making perspective. Int. J. Prod. Econ. 2017, 184, 107–121. [Google Scholar]
  23. Li, Y.H.; Ni, D.B.; Tang, X.W. Signaling quality in supply chains by corporate social responsibility considering CSR-preference. J. Syst. Manag. 2018, 27, 559–570. [Google Scholar]
  24. Liang, X.; Wei, C.L. Decision and coordination of dual channel closed-loop supply chain considering social responsibility and consumer green preferences. Control Eng. 2023; ahead of print. [Google Scholar]
  25. Liang, Y.S.; Ni, D.B.; Tang, X.W. Corporate social responsibility-based model on dual-channel competition in supply chains. Chin. J. Manag. Sci. 2013, 21, 453–460. [Google Scholar]
  26. Liu, Y.; Quan, B.T.; Xu, Q. Corporate social responsibility and decision analysis in a supply chain through government subsidy. J. Clean. Prod. 2019, 208, 436–447. [Google Scholar]
  27. Lin, Z.B.; Bao, L. Research about the effects of CSR on supply chain emission reduction decision-making and government subsidy efficiency. Chin. J. Manag. Sci. 2021, 29, 111–121. [Google Scholar]
  28. Jin, L.; Hao, G.S. Research on pricing and promotion strategies for online retail supply chain considering social responsibility. Soft Sci. 2018, 32, 106–111. [Google Scholar]
  29. Tang, S.C.; Liu, Y.Z.; Xiao, T.J. Supply chain pricing and carbon reduction decision considering social responsibility. Chin. J. Manag. Sci. 2020, 28, 99–108. [Google Scholar]
  30. Gao, J.H.; Han, H.S.; Hou, L.T. Closed-loop supply chain decision-making and coordination considering social responsibility. Comput. Integr. Manuf. Syst. 2014, 20, 1453–1461. [Google Scholar]
  31. Fan, J.C.; Liang, X.Z.; Ni, D.B. A study on corporate social responsibility and product quality in supply chains under different channel power structures. Chin. J. Manag. 2019, 16, 754–764. [Google Scholar]
  32. Lie, J.J.; Liu, M.T. Effect of nonlinear production cost on sharing strategy of social responsibility in supply chain. Ind. Eng. Manag. 2021, 26, 57–65. [Google Scholar]
  33. Liu, B.B.; Xiao, J.L. Empirical study on the social responsibility fulfillment of supply chain enterprises and the performance of agricultural product supply chain: Based on the perspective of responsibility driving forces and responsibility collaboration. Rural Mark. 2019, 1, 128–131. [Google Scholar]
  34. Ji, Y.N. Research on social responsibility of fresh agricultural products e-commerce supply chain under public health emergencies––While analyzing the role of supply and price stabilization in COVID-19. Price Theory Pract. 2021, 2, 71–74+94. [Google Scholar]
  35. Li, Z.; Wang, D.Y.; Hu, Z.Q. The current situation, difficulties and countermeasures of Chinese agricultural enterprises “going global” under the “the Belt and Road” initiative. Agric. Econ. Issues 2020, 3, 93–101. [Google Scholar]
  36. Wei, P.C.; Yang, J.L.; Lu, M.L. Optimization model for logistics distribution network of agricultural supermarket integration under CSR background. Logist. Eng. Manag. 2016, 38, 118–121. [Google Scholar]
  37. Hendrickson, M.K.; James, H.S.; Kendall, A. The assessment of fairness in agricultural markets. Geoforum 2018, 96, 41–50. [Google Scholar] [CrossRef]
  38. Moon, I.; Jeong, Y.J.; Saha, S. Investment and coordination decisions in a supply chain of fresh agricultural products. Oper. Res. 2018, 20, 2307–2331. [Google Scholar] [CrossRef]
  39. Hong, M.N.; Sun, Y.L.; Shi, K.R. Ordering decision of fresh agricultural product supply chain with fairness concern. Ind. Eng. J. 2014, 17, 99–105. [Google Scholar]
  40. Kang, K.; Wang, M.Z.; Luan, X.F. Decision-making and coordination with government subsidies and fairness concerns in the poverty alleviation supply chain. Comput. Ind. Eng. 2021, 152, 107058. [Google Scholar] [CrossRef]
  41. Zhang, X.; Zhang, Q. Coordination of fresh agricultural supply chain considering fairness concerns under controlling the loss by freshness keeping. J. Syst. Sci. 2017, 25, 112–116. [Google Scholar]
  42. Zhang, X.; Zhang, Q. The coordination mechanism of fresh product supply chain under retailer equity concern. J. Syst. Eng. 2017, 32, 461–471. [Google Scholar]
  43. Liu, P.P.; Dai, J.S. Retailers’ fairness concern and coordination of the third level fresh agricultural product supply chain. Logist. Technol. 2019, 42, 117–121. [Google Scholar]
  44. Cao, W.J.; Li, X.Y. Study on dual-channel supply chain coordination of fresh agricultural product with the fairness concern of supplier. J. Zhengzhou Univ. (Natl. Sci. Ed.) 2014, 46, 115–118. [Google Scholar]
  45. Xiong, F.; Yuan, J.; Wang, M. Research on quality input and pricing of fresh agricultural products under fair preference. Soft Sci. 2017, 31, 122–127. [Google Scholar]
  46. Yan, B.; Chen, Y.R.; He, S.Y. Decision making and coordination of fresh agriculture product supply chain considering fairness concerns. Rairo-Oper. Res. 2020, 54, 1231–1248. [Google Scholar]
Figure 1. The bilateral quality efforts.
Figure 1. The bilateral quality efforts.
Sustainability 15 14590 g001
Figure 2. The order quantity.
Figure 2. The order quantity.
Sustainability 15 14590 g002
Figure 3. The wholesale price.
Figure 3. The wholesale price.
Sustainability 15 14590 g003
Figure 4. The profit of the processor.
Figure 4. The profit of the processor.
Sustainability 15 14590 g004
Figure 5. The profit of the supermarket.
Figure 5. The profit of the supermarket.
Sustainability 15 14590 g005
Figure 6. The utility of the processor.
Figure 6. The utility of the processor.
Sustainability 15 14590 g006
Figure 7. The utility of the supermarket.
Figure 7. The utility of the supermarket.
Sustainability 15 14590 g007
Figure 8. The utility of the APSC.
Figure 8. The utility of the APSC.
Sustainability 15 14590 g008
Figure 9. The consumer surplus.
Figure 9. The consumer surplus.
Sustainability 15 14590 g009
Table 1. Equilibrium results with and without CSR under non-FC.
Table 1. Equilibrium results with and without CSR under non-FC.
VariableModel ⅠModel Ⅱ
w a + α c 0 2 α α c 0 [ ( 1 + θ ) α 2 β 2 ] + a ( α β 2 ) α [ ( 2 + θ ) α 3 β 2 ]
q a α c 0 4 α ( a α c 0 ) ( 2 + θ ) α 3 β 2
e s 0 β ( a α c 0 ) ( 2 + θ ) α 3 β 2
e r 0 β ( a α c 0 ) ( 2 + θ ) α 3 β 2
π s ( a α c 0 ) 2 8 α ( a α c 0 ) 2 ( 2 α 3 β 2 ) 2 [ ( 2 + θ ) α 3 β 2 ] 2
π r ( a α c 0 ) 2 16 α ( a α c 0 ) 2 ( 2 α θ β 2 ) 2 [ ( 2 + θ ) α 3 β 2 ] 2
s ( a α c 0 ) 2 8 α ( a α c 0 ) 2 2 [ ( 2 + θ ) α 3 β 2 ]
r ( a α c 0 ) 2 16 α ( a α c 0 ) 2 [ ( 1 + θ ) α β 2 ] 2 [ ( 2 + θ ) α 3 β 2 ] 2
s c 3 ( a α c 0 ) 2 16 α ( a α c 0 ) 2 [ ( 3 + 2 θ ) α 4 β 2 ] 2 [ ( 2 + θ ) α 3 β 2 ] 2
C S ( a α c 0 ) 2 32 α α ( a α c 0 ) 2 2 [ ( 2 + θ ) α 3 β 2 ] 2
Table 2. Equilibrium results with and without CSR under FC.
Table 2. Equilibrium results with and without CSR under FC.
VariableModel IIIModel IV
w ( 1 + λ ) a + ( 1 + 3 λ ) α c 0 ( 1 + 2 λ ) α α 2 c 0 [ ( 6 2 θ ) λ 2 + ( 5 + 2 θ ) λ + 1 + θ ] + ( 1 + λ ) α [ a β 2 c 0 + λ [ ( 1 θ ) a 2 β 2 c 0 ] + ( 1 + λ ) 2 a β 2 α λ 2 [ ( 8 4 θ ) α 5 β 2 ] + 8 λ ( α β 2 ) + ( 2 + θ ) α 3 β 2
q a α c 0 4 α ( 1 + λ ) ( 1 + 2 λ ) ( a α c 0 ) λ 2 [ ( 8 4 θ ) α 5 β 2 ] + 8 λ ( α β 2 ) + ( 2 + θ ) α 3 β 2
e s 0 β ( 1 + λ ) 2 ( a α c 0 ) λ 2 [ ( 8 4 θ ) α 5 β 2 ] + 8 λ ( α β 2 ) + ( 2 + θ ) α 3 β 2
e r 0 β ( 1 + λ ) ( 1 + 2 λ ) ( a α c 0 ) λ 2 [ ( 8 4 θ ) α 5 β 2 ] + 8 λ ( α β 2 ) + ( 2 + θ ) α 3 β 2
π s ( 1 + λ ) ( a α c 0 ) 2 8 α ( 1 + 2 λ ) ( 1 + λ ) 2 ( a α c 0 ) 2 ( 1 + 2 λ ) [ ( 4 4 θ ) 2 ] α ( 1 + λ ) ( 3 + 5 λ ) β 2 2 λ 2 [ ( 8 4 θ ) α 5 β 2 ] + 8 λ ( α β 2 ) + ( 2 + θ ) α 3 β 2 2
π r ( 1 + 4 λ ) ( a α c 0 ) 2 16 α ( 1 + 2 λ ) ( 1 + λ ) ( 1 + 2 λ ) ( a α c 0 ) 2 [ ( 8 4 θ ) λ 2 + ( 4 + 4 θ ) λ 2 θ ] α ( 1 + λ ) ( 1 + 4 λ ) β 2 2 λ 2 [ ( 8 4 θ ) α 5 β 2 ] + 8 λ ( α β 2 ) + ( 2 + θ ) α 3 β 2 2
s ( 1 + λ ) ( a α c 0 ) 2 8 α ( 1 + 2 λ ) ( 1 + λ ) 2 ( a α c 0 ) 2 2 λ 2 [ ( 8 4 θ ) α 5 β 2 ] + 8 λ ( α β 2 ) + ( 2 + θ ) α 3 β 2
r ( 1 + λ ) ( a α c 0 ) 2 16 α ( 1 + λ ) 2 ( a α c 0 ) 2 ( 1 + 2 λ + θ ) ( 1 + 2 λ ) 2 α ( 1 + λ ) ( 3 λ 2 + 3 λ + 1 ) β 2 2 λ 2 [ ( 8 4 θ ) α 5 β 2 ] + 8 λ ( α β 2 ) + ( 2 + θ ) α 3 β 2 2
s c ( 1 + λ ) ( 3 + 2 λ ) ( a α c 0 ) 2 16 α ( 1 + 2 λ ) ( 1 + λ ) 2 ( a α c 0 ) 2 ( 4 λ 2 + 8 λ + 2 θ + 3 ) ( 1 + 2 λ ) α ( 1 + λ ) ( 2 + λ ) ( 2 + 3 λ ) β 2 2 λ 2 [ ( 8 4 θ ) α 5 β 2 ] + 8 λ ( α β 2 ) + ( 2 + θ ) α 3 β 2 2
C S ( a α c 0 ) 2 32 α α ( 1 + λ ) 2 ( 1 + 2 λ ) 2 ( a α c 0 ) 2 2 λ 2 [ ( 8 4 θ ) α 5 β 2 ] + 8 λ ( α β 2 ) + ( 2 + θ ) α 3 β 2 2
Disclaimer/Publisher’s Note: The statements, opinions and data contained in all publications are solely those of the individual author(s) and contributor(s) and not of MDPI and/or the editor(s). MDPI and/or the editor(s) disclaim responsibility for any injury to people or property resulting from any ideas, methods, instructions or products referred to in the content.

Share and Cite

MDPI and ACS Style

Qin, Y.; Zhang, B.; Xiang, L. The Effects of FC and CSR on Bilateral Quality Efforts of Agricultural Products Supply Chain. Sustainability 2023, 15, 14590. https://doi.org/10.3390/su151914590

AMA Style

Qin Y, Zhang B, Xiang L. The Effects of FC and CSR on Bilateral Quality Efforts of Agricultural Products Supply Chain. Sustainability. 2023; 15(19):14590. https://doi.org/10.3390/su151914590

Chicago/Turabian Style

Qin, Yanhong, Bing Zhang, and Lin Xiang. 2023. "The Effects of FC and CSR on Bilateral Quality Efforts of Agricultural Products Supply Chain" Sustainability 15, no. 19: 14590. https://doi.org/10.3390/su151914590

APA Style

Qin, Y., Zhang, B., & Xiang, L. (2023). The Effects of FC and CSR on Bilateral Quality Efforts of Agricultural Products Supply Chain. Sustainability, 15(19), 14590. https://doi.org/10.3390/su151914590

Note that from the first issue of 2016, this journal uses article numbers instead of page numbers. See further details here.

Article Metrics

Back to TopTop