Geomechanical Characterization of Crushed Concrete–Rubber Waste Mixtures
Abstract
:1. Introduction
2. Materials and Methods
2.1. Characteristics of Research Material
2.2. Mixtures Preparation
2.3. Tests Procedure and Apparatus
3. Results and Discussion
3.1. Standard Resonant Column and Cyclic Torsional Shear Test Curves
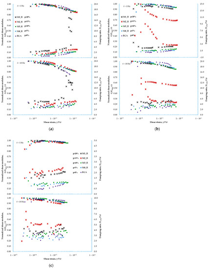
3.2. Shear Modulus and Damping Ratio
3.3. Maximum Shear Modulus and Minimum Damping Ratio
4. Conclusions and Recommendations
- It is possible to improve the dynamic and cyclic properties of crushed concrete, especially damping characteristics, by modifying RCA with the corresponding RTW content. During both dynamic and cyclic loading, the stiffness modulus of the compound created tends to decrease while damping tends to increase due to soil yielding and consequent increase in deformation. The experimental results for mixtures made of small RCA grains and similar size or slightly larger RTW particles [the ratio of median particle sizes (D (50, RTW)/D (50, RCA)) ≈ 1] show that even a small amount of rubber (χ < 10%) results in a reduction of the G and Gmax–modulus by an average of about 20–25% (due to the soft nature of rubber), as well as an increase in the D–ratio by an average of approx. 2–3% (due to the energy absorption nature of rubber). Therefore, it can be seen that on the one hand, there is a reduction in RCA stiffness, but on the other hand an improvement of its capability to transmit vibrations as observed based on the cyclic tests.
- The addition of rubber was deliberately set at 20% by weight of the mixture. In the case of higher rubber content in the mixture acquiring the Gmax−modulus and the Dmin− ratio from RC tests could become a rigorous task due to the deformability of the material. This characteristic of the rubber waste is also the reason why recycled concrete aggregate enriched with rubber has lower stiffness than unmodified crushed concrete.
- Combining the results of the RC and CTS tests, a safe approximation of the smallstrain shear modulus and damping ratio was obtained for rubber contents of up to 15% by weight of the RCA–RTW mixture. Because RCA particle crushing occurs after cyclic stress, the increase in RTW in the designed mixtures reduced the crushing process consequently leading to mixes with higher stiffnesses after cyclic tests than dynamic tests.
Author Contributions
Funding
Institutional Review Board Statement
Informed Consent Statement
Data Availability Statement
Acknowledgments
Conflicts of Interest
References
- ETRMA. Annual Report 2017; Moving Innovation that Cares; ETRMA: Brussels, Belgium, 2017. [Google Scholar]
- Das, S.; Bhowmik, D. Dynamic Behaviour of Sand−Crumbed Rubber Mixture at Low Strain Level. Geotech. Geol. Eng. 2020, 38, 6611–6622. [Google Scholar] [CrossRef]
- Tasalloti, A.; Chiaro, G.; Murali, A.; Banasiak, L. Physical and Mechanical Properties of Granulated Rubber Mixed with Granular Soils—A Literature Review. Sustainability 2021, 13, 4309. [Google Scholar] [CrossRef]
- USTMA. 2017 U.S. Scrap Tire Management Summary; U.S. Tire Manufacturers Association: Washington, DC, USA, 2018. [Google Scholar]
- Takano, D.; Chevalier, B.; Otani, J. Experimental and numerical simulation of shear behavior on sand and tire chips. In Proceedings of the 14th International Conference of International association for Computer Methods and Recent Advances in Geomechanics, Kyoto, Japan, 22–25 September 2014; pp. 1545–1550. [Google Scholar]
- Mistry, M.K.; Shukla, S.J.; Solanki, C.H. Reuse of waste tyre products as a soil reinforcing material: A critical review. Environ. Sci. Pollut. Res. 2021, 28, 24940–24971. [Google Scholar] [CrossRef] [PubMed]
- Siddique, R. Waste Materials and By-Products in Concrete; Springer Science & Business Media: Berlin, Germany, 2008. [Google Scholar]
- Heitzman, M. Design and Construction of Asphalt Paving Materials with Crumb Rubber; Transportation Research Board: Washington, DC, USA, 1992. [Google Scholar]
- Edil, T.B.; Park, J.K.; Kim, J.Y. Effectiveness of scrap tire chips as supportive drainage material. J. Environ. Eng. 2004, 130, 824–831. [Google Scholar] [CrossRef]
- Aydilek, A.H.; Madden, E.T.; Demirkan, M.M. Field evaluation of a leachate collection system constructed with scrap tires. J. Geotech. Geoenviron. 2006, 132, 990–1000. [Google Scholar] [CrossRef]
- Okur, D.V.; Umu, S.U. Dynamic Properties of Clean Sand Modified with Granulated Rubber. Adv. Civ. Eng. 2018, 2018, 5209494. [Google Scholar] [CrossRef]
- Tsang, H.H. Seismic isolation by rubber–soil mixtures for developing countries. Earthq. Eng. Struct. Dynam 2008, 37, 283–303. [Google Scholar] [CrossRef]
- Li, J.; Cui, J.; Shan, Y.; Li, Y.; Ju, B. Dynamic Shear Modulus and Damping Ratio of Sand–Rubber Mixtures under Large Strain Range. Materials 2020, 13, 4017. [Google Scholar] [CrossRef]
- Kaneko, T.; Orense, R.P.; Hyodo, M.; Yoshimoto, N. Seismic response characteristics of saturated sand deposits mixed with tire chips. J. Geotech. Geoenviron. Eng. 2013, 139, 633–643. [Google Scholar] [CrossRef]
- Il-Sang, A.; Lijuan, C. Tire derived aggregate for retaining wall backfill under earthquake loading. Constr. Build. Mater. 2014, 57, 105–116. [Google Scholar] [CrossRef]
- Daud, N.; Yusoff, Z.; Muhammed, A. Ground Improvement of Problematic Soft Soils Using Shredded Waste Tire. In Proceedings of the 6th Jordanian Int. Civil Engineering Conference (JICEC06), Amman, Jordan, 10–12 March 2015. [Google Scholar]
- Cetin, H.; Fener, M.; Gunaydin, O. Geotechnical Properties of Tire-Cohesive Clayey Soil Mixtures as a Fill Material. Eng. Geol. 2006, 88, 110–120. [Google Scholar] [CrossRef]
- Das, T.; Singh, B. Strength Behaviour of Cohesive Soil-Fly Ash-Waste Tyre Mixtures. In Proceedings of the SAITM Research Symposium on Engineering Advancements, University of Moratuwa, Malabe, Sri Lanka, 27–28 April 2012; pp. 35–38. [Google Scholar]
- Tajdini, M.; Nabizadeh, A.; Taherkhani, H.; Zartaj, H. Effect of Added Waste Rubber on the Properties and Failure Mode of Kaolinite Clay. Int. J. Civ. Eng. 2016, 15, 949–958. [Google Scholar] [CrossRef]
- Gabryś, K.; Zając, K.; Sas, W. Compaction characteristics of waste materials: Recycled concrete aggregate, recycled rubber waste, and recycled concrete aggregate−recycled rubber waste mixtures. In Proceedings of the 17th Danube European Conference on Geotechnical Engineering (17DECGE), Bucharest, Romania, 7–9 June 2023. [Google Scholar]
- Gabryś, K. Experimental research on compressibility characteristics of recycled concrete aggregate—Recycled tire waste mixtures. J. Mater. Cycles Waste Manag. 2023, 25, 1966–1977. [Google Scholar] [CrossRef]
- Gabryś, K.; Radzevičius, A.; Szymański, A.; Šadzevičius, R. Shear Strength Characteristics of Recycled Concrete Aggregate and Recycled Tire Waste Mixtures from Monotonic Triaxial Tests. Materials 2021, 14, 7400. [Google Scholar] [CrossRef]
- Lipski, Z.; Wawrzynek, A. Numerical effort analysis of buildings with paraseismic loading, supported with measurements. In 1st International Scientific Seminar ‘New Trends in Statics and Dynamics of Buildings’ Seminar proceedings; Slovak University of Technology: Bratislava, Slovakia, 7 December 2001; pp. 155–160. [Google Scholar]
- Quadrini, F.; Bellisario, D.; Santo, L.; Hren, I. Direct Moulding of Rubber Granules and Powders from Tyre Recycling. Appl. Mech. Mater. 2013, 371, 315–319. [Google Scholar]
- Amiri, M.; Hatami, F.; Golafshani, E.M. Evaluating the synergic effect of waste rubber powder and recycled concrete aggregate on mechanical properties and durability of concrete. Case Stud. Constr. Mater. 2021, 15, e00639. [Google Scholar] [CrossRef]
- Duda, A.; Sobala, D.; Siwowski, T.; Kaleta, D. Wykorzystanie materiałów z recyklingu opon samochodowych w budownictwie komunikacyjnym (In Polish) (Utilization of recycled materials from automobile tires in traffic construction). Arch. Inst. Inżynierii Lądowej 2016, 21, 97–111. [Google Scholar]
- Mehta, P.K.; Monteiro, J.M. Concrete: Structure, Properties, and Materials; Prentice Hall: Englewood Cliffs, NJ, USA, 1993. [Google Scholar]
- Mróz, R. Problem(atyka) gruzu betonowego (In Polish) (Problem(s) of concrete aggregate). Bud. Technol. Archit. 2014, 4, 64–68. [Google Scholar]
- Pepe, M.; Toledo Filho, R.D.; Koenders, E.A.; Martinelli, E. Alternative processing procedures for recycled aggregates in structural concrete. Constr. Build. Mater. 2014, 69, 124–132. [Google Scholar] [CrossRef]
- Tam, V.W.Y.; Tam, C.M. Crushed aggregate production from centralized combined and individual waste sources in Hong Kong. Constr. Build. Mater. 2007, 21, 879–886. [Google Scholar] [CrossRef]
- Wang, J.; Fang, Z.; Cai, Y.; Chai, J.; Wang, P.; Geng, X. Preloading using fill surcharge and prefabricated vertical drains for an airport. Geotext. Geomembr. 2018, 46, 575–585. [Google Scholar] [CrossRef]
- Li, B.; Wang, Y.; Jin, Q.; Chen, H. Liquefaction characteristics of recycled concrete aggregates. Soil. Dyn. Earthq. Eng. 2019, 120, 85–96. [Google Scholar] [CrossRef]
- ISO 17892-4:2016 Geotechnical Investigation and Testing—Laboratory Testing of Soil—Part 4: Determination of Particle Size Distribution. Available online: http://sklep.pkn.pl/pn-en-iso-17892-4-2017-01e.html (accessed on 18 January 2017).
- ASTM D854-02; Standard Test Methods for Specific Gravity of Soil Solids by Water Pycnometer. ASTM International: West Conshohocken, PA, USA, 2002.
- Kim, H.-K.; Santamarina, J.C. Sand–rubber mixtures (large rubber chips). Can. Geotech. J. 2008, 45, 1457–1466. [Google Scholar] [CrossRef]
- Kodicherla, S.P.K.; Gong, G.; Fan, L.; Moy, C.K.S.; He, J. Effects of preparation methods on inherent fabric anisotropy and packing density of reconstituted sand. Cogent Eng. 2018, 5, 1533363. [Google Scholar] [CrossRef]
- Bai, L. Preloading Effects on Dynamic Sand Behavior by Resonant Column Tests. Ph.D. Thesis, Technische Universitaet Berlin, Berlin, Germany, 2011. [Google Scholar]
- Skempton, A.W. The pore-pressure coefficients A and B. Géotechnique 1954, 4, 143–147. [Google Scholar] [CrossRef]
- Tasalloti, A.; Chiaro, G.; Banasiak, L.; Palermo, A. Experimental investigation of the mechanical behaviour of gravel granulated tyre rubber mixtures. Constr. Build. Mater. 2020, 273, 121749. [Google Scholar] [CrossRef]
- Drnevich, V.P. Recent Developments in Resonant Column Testing; Soil Mechanics Series, No. 33; Dept. of Civil Engineering, University of Kentucky: Lexington, KY, USA, 1985. [Google Scholar]
- ASTM D4015-15; Standard Test Methods for Modulus and Damping of Soils by Fixed-Base Resonant Column Devices. ASTM International: West Conshohocken, PA, USA, 2015.
- Gu, X.; Yang, J.; Huang, M.; Gao, G. Bender element tests in dry and saturated sand: Signal interpretation and result comparison. Soils Found. 2015, 55, 951–962. [Google Scholar] [CrossRef]
- Sas, W.; Soból, E.; Gabryś, K.; Markowska-Lech, K. Study of the cohesive soil stiffness in a modified resonant column. Zesz. Nauk. Inst. Gospod. Surowcami Miner. I Energią Pol. Akad. Nauk. 2016, 93, 21–34. [Google Scholar]
- Sas, W.; Gabryś, K.; Szymański, A. Experimental studies of dynamic properties of Quaternary clayey soils. J. Soil Dyn. 2017, 95, 29–39. [Google Scholar] [CrossRef]
- GDS Resonant Column 2010. The GDS Resonant Column System Handbook (Version 2.2.2010). Available online: www.gdsinstruments.com (accessed on 11 March 2010).
- Gabryś, K.; Sas, W.; Markowska-Lech, K.; Soból, E.; Głuchowski, A.; Bieniawski, J. Laboratoryjne metody wyznaczania współczynnika tłumienia drgań na przykładzie gruntu spoistego (In Polish) (Laboratory methods for determination of damping ratio on the example of cohesive soil). Acta Sci. Pol. Archit. 2017, 16, 13–24. [Google Scholar] [CrossRef]
- Lai, C.G.; Pallara, O.; Lo Presti, D.C.F.; Turco, E. Low-Strain Stiffness and Material Damping Ratio Coupling in Soils. In Advanced Laboratory Stress-Strain Testing of Geomaterials; Tatsuoka, F., Shibuya, S., Kuwano, R., Eds.; Routledge: Oxfordshire, UK, 2001; pp. 265–274. [Google Scholar]
- Sabogal, K.G.; Getchell, A.; Santagata, M.; Drnevich, V.P. Resonant Column Calibration and Dynamic Torsional Shear Testing Using Stepped Frequency Sweeps. Geotech. Test. J. 2023, 46, 379–402. [Google Scholar] [CrossRef]
- Gabryś, K. Charakterystyki Odkształceniowe Wybranych Gruntów Spoistych (In Polish) (Deformation Characteristics of Selected Cohesive Soils). Ph.D. Thesis, Warsaw University of Life Sciences, Warsaw, Poland, 2014. [Google Scholar]
- Murono, Y.; Nogami, Y. Shear Stress-Shear Strain Relationship Taking into Account S-Shape Hysteresis Loop. In Proceedings of the Symposium of 12th Japan Earthqake Engineering, Hayama, Japan, 24–29 September 2006; Volume 12, pp. 494–497. [Google Scholar]
- Madhusudhan, B.R.; Boominathan, A.; Banerjee, S. Static and Large-Strain Dynamic Properties of Sand–Rubber Tire Shred Mixtures. J. Mater. Civ. Eng. 2017, 29, 04017165. [Google Scholar] [CrossRef]
- Feng, Z.Y.; Sutter, K.G. Dynamic properties of granulated rubber/sand mixtures. Geotech. Test. J. 2000, 23, 338–344. [Google Scholar] [CrossRef]
- Sarajpoor, S.; Kavand, A.; Zogh, P.; Ghalandarzadeh, A. Dynamic behavior of sand-rubber mixtures based on hollow cylinder tests. Constr. Build. Mater. 2020, 251, 118948. [Google Scholar] [CrossRef]
- Gabryś, K.; Sas, W. Dynamic shear modulus and damping ratio of recycled concrete aggregate−recycled tire waste mixture using resonant column apparatus. In Proceedings of the 8th International Symposium on Deformation Characteristics of Geomaterials, Porto, Portugal, 3−6 September 2023; ISSMGE: Porto, Portugal, 2023; pp. 1–8. [Google Scholar]
- Mog, K.; Anbazhagan, P. Evaluation of the damping ratio of soils in a resonant column using different methods. Soils Found. 2022, 62, 101091. [Google Scholar] [CrossRef]
- Ahmad, M.; Ray, R. The Dynamic Properties of Sand under Torsion: A Literature Review. Geotechnics 2023, 3, 480–514. [Google Scholar] [CrossRef]
- Jastrzębska, M.; Tokarz, K. Strength Characteristics of Clay–Rubber Waste Mixtures in Low-Frequency Cyclic Triaxial Tests. Minerals 2021, 11, 315. [Google Scholar] [CrossRef]
- Liu, F.C.; Wu, M.T.; Yang, J. Experimental Study on Normalized Stress-Strain Behavior of Geogrid Reinforced Rubber Sand Mixtures. In Proceedings of the GeoShanghai International Conference, Shanghai, China, 27–30 May 2018; Springer: Berlin, Germany, 2018; pp. 307–317. [Google Scholar]
- Darendeli, B. Development of a New Family of Normalized Modulus Reduction and Material Damping Curves. Ph.D. Dissertation, University of Texas, Austin, TX, USA, 2001; pp. 1–362. [Google Scholar]
- Hardin, B. The Nature of Damping in Sands. J. Soil Mech. Found. Div. 1965, 91, 63–98. [Google Scholar] [CrossRef]
- Afifi, S.S.; Woods, R.D. Long -Term Pressure Effects on Shear Modulus of Soils. J. Soil Mech. Found. Div. ASCE 1971, 97, 1445–1460. [Google Scholar] [CrossRef]
- Anderson, D.G.; Richart, F.E.J. Effects of straining on shear modulus of clays. J. Geotech. Eng. Div. 1976, 102, 975–987. [Google Scholar] [CrossRef]
- Alarcon-Guzman, A.; Chameau, J.; Leonards, G.A.; Frost, J.D. Shear Modulus and Cyclic Undrained Behavior of Sands. Soils Found. 1989, 29, 105–119. [Google Scholar] [CrossRef] [PubMed]













| Country | Tire Waste Generation per Year | Recovery Rate (%) | Areas of Application | ||
|---|---|---|---|---|---|
| By Weight | By Number | Tire Waste/Person | |||
| (Million Tons) | (Million) | ||||
| United States | 4.200 | 250 | 0.77 | 84 | Tire-derived, Fuel |
| Europe | 3.300 | 270 | 0.53 | 92 | Energy generation |
| Japan | 1.034 | 97 | 0.77 | 93 | Thermal recycling |
| United Kingdom | 0.436 | 40 | 0.62 | 98 | Energy generation |
| Australia | 0.410 | 20 | 0.80 | 38 | Export (Energy generation) |
| Canada | 0.420 | 28 | 0.74 | 98 | Tire crumbs and molded |
| New Zealand | 0.040 | 5 | 1.25 | 30 | Energy generation |
| Tire Component | Car Tire * | Truck Tire * | Car Tire ** | Truck Tire ** | |
|---|---|---|---|---|---|
| (%) | (%) | (%) | (%) | ||
| Rubber | Natural | 19 | 34 | 47 | 45 |
| Synthetic | 24 | 11 | |||
| Fillers (carbon black, silica) | 26 | 24 | 21.5 | 22 | |
| Plasticizers (oil and resin), chemical additives, and others | 14 | 10 | 9.5 | 7 | |
| Reinforcement | Steel | 12 | 25 | 16.5 | 23 |
| Fabric | 5 | - | 5.5 | 3 | |
| No | Nomenclature | Rubber Size (mm) and Design | ||
|---|---|---|---|---|
| 1 | Rough shreds | 40~1000 | ![]() | |
| 2 | Tire–derived aggregate (TDA) | Tire shreds | 10~305 | |
| 3 | Tire chips | 12~50 | ||
| 4 | Particulate rubber | Granulated rubber | 0.425~12 | |
| 5 | Ground rubber | 0.425~2 | ||
| 6 | Buffing rubber | 0.1~1 | ||
| Type | Specific Gravity a Gs | Dimensions | D50 b (mm) | Cu c | Cc d | emax e | emin f |
|---|---|---|---|---|---|---|---|
| RTW | 1.15–1.19 | 0.5–2.0 | 0.65–2.5 | 1.97–2.46 | 0.79–1.14 | 0.88–1.09 | 0.70–0.86 |
| RCA | 2.61–2.62 | 0.015–2.0 | 0.092–0.2 | 2.86–5.60 | 0.91–1.29 | 1.04–1.23 | 0.71–0.91 |
| Designation | % RCA | % Fines of RCA | % RTWP | % RTWG |
|---|---|---|---|---|
| M1_R | 80 | 0 | 10 | 10 |
| M2_R | 75 | 10 | 15 | 0 |
| M3_R | 70 | 20 | 10 | 0 |
| M4_R | 65 | 30 | 5 | 0 |
Disclaimer/Publisher’s Note: The statements, opinions and data contained in all publications are solely those of the individual author(s) and contributor(s) and not of MDPI and/or the editor(s). MDPI and/or the editor(s) disclaim responsibility for any injury to people or property resulting from any ideas, methods, instructions or products referred to in the content. |
© 2023 by the author. Licensee MDPI, Basel, Switzerland. This article is an open access article distributed under the terms and conditions of the Creative Commons Attribution (CC BY) license (https://creativecommons.org/licenses/by/4.0/).
Share and Cite
Gabryś, K. Geomechanical Characterization of Crushed Concrete–Rubber Waste Mixtures. Sustainability 2023, 15, 14446. https://doi.org/10.3390/su151914446
Gabryś K. Geomechanical Characterization of Crushed Concrete–Rubber Waste Mixtures. Sustainability. 2023; 15(19):14446. https://doi.org/10.3390/su151914446
Chicago/Turabian StyleGabryś, Katarzyna. 2023. "Geomechanical Characterization of Crushed Concrete–Rubber Waste Mixtures" Sustainability 15, no. 19: 14446. https://doi.org/10.3390/su151914446
APA StyleGabryś, K. (2023). Geomechanical Characterization of Crushed Concrete–Rubber Waste Mixtures. Sustainability, 15(19), 14446. https://doi.org/10.3390/su151914446

