Next Article in Journal
An In Vitro Study of the Effects of Temperature and pH on Lead Bioremoval Using Serratia marcescens
Previous Article in Journal
A Novel Approach for High-Performance Estimation of SPI Data in Drought Prediction
Previous Article in Special Issue
Marketing Automation: How to Effectively Lead the Advertising Promotion for Social Reconstruction in Hotels
 
 
Font Type:
Arial Georgia Verdana
Font Size:
Aa Aa Aa
Line Spacing:
Column Width:
Background:
Article

Influence of Leadership Styles on Sustainable Development for Social Reconstruction: Current Outcomes and Advisable Reorientation for Two Aerospace Multinationals—Airbus and TASL

by
Rafael García Martín
1,*,
Alfonso Duran-Heras
2 and
Karen Reina Sánchez
2
1
CMI Business School, Conscious Management Institute, 28006 Madrid, Spain
2
Department of Mechanical Engineering (Engineering Management Area), Carlos III University, 28911 Leganés, Spain
*
Author to whom correspondence should be addressed.
Sustainability 2023, 15(19), 14047; https://doi.org/10.3390/su151914047
Submission received: 15 July 2023 / Revised: 16 September 2023 / Accepted: 19 September 2023 / Published: 22 September 2023

Abstract

:
This article analyzes the influence and foreseeable evolution of three main leadership styles in sustainable development for social reconstruction in two leading companies, the European Airbus and the Indian Tata Advanced Systems Ltd. (TASL) (Hyderabad, India). Inductive research was employed, using two cross-national case studies and a comparative analysis applying statistical testing. Data were collected through interviews and a survey among principal company leaders with several functions. The study focused on three styles: transactional, transformational, and servant leadership. The strength of this paper is that it sheds light on an understudied industry by providing findings on both the present (as-is) state and the advisable reorientation (i.e., future state suggested by respondents). This could contribute to filling the current gap in understanding the influence of leadership styles on the aerospace and defense industries’ economic, social, and environmental outcomes. By analyzing the results obtained in both companies, we concluded that even though all three styles are present in both companies, servant and transformational leadership provide better results for sustainable development for social reconstruction. Regarding the advisable reorientation, according to the respondent’s suggestions, the style best suited to influence sustainable development for social reconstruction in the long term in both companies is the servant style. As for the transitional phase, respondents suggest a hybrid leadership model, encompassing features of both the transformational and the servant styles.

1. Introduction

In recent years, as in other industries, the aerospace and defense industry has faced the inexcusable challenge of carrying out its activities in a way that considers the needs not only of its customers, but also of society and the environment, in a local and global context of climate emergency and major social problems. This article carries out a cross-national diagnosis, in two different companies within this industry, of the implementation of three leadership styles chosen for being of great influence in multinationals: transactional, transformational, and servant. On that basis, it then addresses the problem of how leadership models should be updated or reoriented in this industry to ensure that the organization develops sustainably, thus contributing to social reconstruction. Social reconstruction refers to a theoretical framework within social sciences and the field of education that assumes that something can be done to keep society from destroying itself through issues such as racism, war, sexism, poverty, pollution, worker exploitation, global warming, crime, political corruption, population explosion, energy shortage, illiteracy, inadequate health care, and unemployment. Social reconstructionists believe that education can be a powerful tool for fostering social change and tackling environmental problems [1].
In particular, this research seeks to quantify, through interviews and a survey among leaders of these companies, which styles are most commonly used and most influential to achieve sustainable development for social reconstruction, considering for this purpose the observed impact of these styles on corporate social responsibility and on the key objectives of these companies.
There is, however, a scarcity of published literature guiding how to solve these recent challenges in the aerospace industry, as well as in other industrial sectors. Given the wide field of study that the leadership of organizations implies, in this work, we focus on adding value in a specific and poorly studied segment. Thus, we focus on the influence of the leadership model on sustainable development. For the characterization of the leadership model, we base our analysis on a set of leadership styles that have been sufficiently described and contrasted as effective styles in multinationals. It is necessary to know if the traditional styles (transactional, transformational) are still valid and sufficient or if, given the pressing current issues regarding the environment and society, it is necessary to introduce elements that also consider all the external stakeholders into the models, as servant leadership does. Our contribution to the literature, therefore, involves suggesting a leadership model and its composition for a positive impact in Airbus and Tata Advanced Systems Limited (TASL) of the Tata Group, which may inductively serve as a reference for other leaders, researchers, and institutional and business policymakers in this sector and in similar ones.
Academic research on corporate social responsibility (CSR) has experienced significant growth since the 1950s, particularly since the Brundtland Report in 1987 on sustainable development. Nevertheless, it is a broad and complex area of study that still needs to be theoretically developed in various fields, wherein the theory around stakeholders stands out [2]. A sustainable-development-oriented modern interpretation of CSR involves understanding it as a set of context-specific organizational actions and policies that consider stakeholders’ expectations and the triple bottom line of economic, social, and environmental performance [3] in the firm general outcomes. Hence, the sustainable development impact can be studied, as we have carried out in this research, using a CSR and a broader general outcome (in this paper, by “general outcomes”, we refer to the overall economic, social, and environmental performance) approach. Stakeholders constitute an important object of study within the field of CSR research, owing to the relevant role of senior managers’ motivations to apply CSR in companies and the impact of the different leadership styles on the performance of organizations and stakeholders [4]. Undoubtedly, it is an essential but delicate issue to deal with due to the conflicts of interest that may emerge between the parties involved. These parties, although they seem increasingly aware of the need to opt for a non-zero-sum game, are still highly determined by the characteristics of each organization, sector, and country.
Considering that organizational leadership strongly influences the adoption of green and sustainable operations, which in turn influence sustainable performance, it is necessary to shed light on the type of managerial leadership styles that can exert the most influence in sustainable development through CSR and general company performance, through further research to understand the influence of the specific personal traits and behavior of leaders and managers [5,6,7,8,9,10,11,12].

2. Literature Review on Leadership Styles’ Influence on Sustainable Development

Our research work builds on the contribution made by earlier studies. In this paper, we review the existing literature to explain how the research model applied in this study has been developed from it. As previously mentioned, the objective of this work is to contribute to solving the problem of the lack of design parameters in the elaboration of leadership models in the aerospace and defense industry to promote its sustainable development. In the absence of these paradigms, we must cover two specific literature fields. The first field involves analyzing which leadership styles—with contrasting measurement variables—we must consider. The second field encompasses the analysis of the relationships of leadership styles with CSR and with the general objectives of a company in order to measure its performance in the sustainable development of the organization, that is, how micro-level aspects and behavior influence operations and culture, thus affecting holistic results.

2.1. Leadership Styles

Historically, leadership theories have been extensively studied. Academic theoretical development can be divided into four generations—trait, behavioral, contingency, and transformational theories—which are not mutually exclusive or totally time-bound but add to and evolve the overall debate [13].
In the first stage, theories evolved from “great man theory”, based on the concept of born leaders due to innate features and then “trait theory” based on inborn personality traits such as physical characteristics, values, self-confidence, interpersonal abilities, and intelligence. Francis Galton’s study of Hereditary-Genius-based leadership referred to genetic traits that could be passed between generations [14]. Nonetheless, these and the rest of the genetic trait theories were criticized, as innate traits do not change in different environments, and thus leaders would always act similarly.
A second step was behavioral theory, advocating that leadership styles can be identified and learned to exert a positive influence on others, thus focusing on behavior to predict leaders’ effectiveness in organizations. The Managerial Grid Model by Blake and Mouton is a framework intended to determine leadership styles based on two factors, the concern for people versus task production [15]. Theory X and Theory Y are two opposing aspects of human behavior at work that were defined by Douglas McGregor, who described a management theory with two ways of thinking for managers. In the first one, managers consider that workers act only under threats (X), and in the second, that workers want and need to work (Y) [16]. However, theories in this second stage struggled to identify which leadership style was the most effective under different circumstances.
Without disregarding personality and behavior, the third phase featured contingent theory. According to Fiedler’s contingency model, a leadership style is effective when the leader fits the situation’s environment. Fiedler’s model argues that an individual’s leadership style is the outcome of his/her own personal experiences and considers it extremely difficult to change. The Fiedler model was intended to classify leadership styles, to then be able to fit to the environment’s requirements, rather than teaching people a specific leadership style [17]. Nevertheless, the Fiedler model and other contingent theories were found to be rigid and failed to reflect enough personality traits against the complexity of the environmental variables.
After these classical bifactorial models, new paradigms were developed such as change-oriented leadership theory, due to the need to anticipate changes and provide guidance in an era of globalization, new technologies, and a turbulent environment, where organizations face ongoing processes of transformation [18]. The literature on change-oriented leadership is centered on distinguishing transactional and transformational leadership theories. Transformational leadership was introduced by James MacGregor Burns, comparing transactional style, based on the exchange of performance for rewards, with transformational leadership, which inspires followers to achieve ambitious objectives [19]. Transformational and transactional styles were considered independent, but complementary ideas in the transformational leadership theory were developed later by Bernard M. Bass, based on the impact that transformational leaders have on followers [20].
The contemporary literature on leadership research has primarily focused on the personal influence of the leader to develop and inspire followers to achieve organizational goals and make a difference in the community, including charismatic, transactional, transformational, and servant leadership styles [21]. Due to the corporate scandals in the previous decades, the 2008 global financial crisis and the societal and environmental emergencies at the planetary level, such as the ones highlighted by the 2030 Sustainable Development Goals (SDG) by the United Nations (UN), moral-values-based leadership theory was developed. Different leadership styles, such as conscious, responsible, servant, ethical, virtuous, and authentic leadership, brought to the forefront the need to enhance ethics and long-term responsibility in leadership behavior and decision making, to contribute to addressing human and environmental needs [22,23,24,25,26,27,28,29].
Leadership theories such as transformational or transactional leadership are not sufficient to explain behavior that is altruistic in nature and employee-focused, since their main focus is only the organization [30]. Thus, for this study, we selected three main leadership styles (transactional, transformational, and servant) while drawing upon previous research on transactional and transformational leadership styles and their influence on CSR [21,31] and their call for further research on other types of leadership and on their correlation with CSR. We have excluded charismatic leadership as it raised concerns regarding its absence of moral safeguards [32]. We incorporated the servant leadership style into the analysis of transactional and transformational styles as this service-oriented style, first described by Robert K. Greenleaf [33] as servant leadership, includes a deep regard for external stakeholders, in contrast with the other two styles, which is relevant when studying the CSR and general outcomes of an organization, also based on the following definitions and considerations.

2.1.1. Transactional Leadership Style

Transactional leadership is defined as a contractual or exchange process between leaders and followers in which the leaders provide rewards in exchange for the followers’ performance with respect to agreed-upon expectations [20]. Characterized as “contingent reinforcement” [20] and based largely on status quo performance standards, transactional leadership does not involve the leader influencing the followers’ personal values nor developing a collective vision that seeks to exceed performance expectations [7].
Transactional leadership’s major components are the contingent reward, Management By Exception, and laissez-faire. Transactional leaders influence followers through two main tools: Contingent Rewards, given to recognize good performance and efforts, and Management By Exception, intervening, either passively if the subordinate does not achieve acceptable performance targets or actively when the leader is involved during the whole process, taking a corrective action necessary to improve performance. The laissez-faire leadership component gives subordinates complete autonomy; leaders completely avoid getting involved in how subordinates carry out their work [21].

2.1.2. Transformational Leadership Style

Transformational leadership is defined as leadership that motivates followers by raising their level of awareness about the importance and value of designated outcomes and by transforming followers’ personal values to support the collective vision of the organization [20].
The primary focus of transformational leadership style is on the organization, with follower development and empowerment secondary to accomplishing the organizational objectives [22].
Transformational leaders implement several developmentally oriented behaviors such as coaching, identifying and providing adequate training courses, and encouraging followers to develop their job-related skills and abilities to foster their self-confidence in undertaking a wide range of proactive tasks [34].

2.1.3. Servant Leadership Style

Servant leadership is defined as an understanding and practice of leadership that places the good of those led over the self-interest of the leader, promoting the valuing and development of people, the building of community, the practice of authenticity, the provision of leadership for the good of those led, and the sharing of power and status for the common good of each individual, the total organization, and those served by the organization [35].
The servant leadership style is focused on the followers so as to achieve social objectives; the servant leader should have the ability to be both a great leader and a great follower because only then will they be able to inspire and motivate others [22]. Servant leadership is especially relevant in explaining a leader’s moral legitimacy because the main mission of a servant leader is institutional building and empowering employees to realize their maximum potential [36].
The characteristics of the servant leadership style share central themes—reflection, integrity and passion—with conscious leadership [37]. The virtues of servant leadership are regarded as personal characteristics that include ethical values such as being good, trustworthy, and not motivated by self-interest; instead, they should ascend to a higher plane of motivation [33]. Servant leaders focus first on the service to others, from the workplace to home and the community, and they develop people, helping them to strive and flourish [38].
Once the leadership styles to be included in the analysis have been selected, described, and interrelated, data about the leadership styles in the companies were obtained through interview questions and a survey. The survey was necessary to determine the intrinsic characteristics of each style that allow them to be identified in the behavior and actions of managers. The variables that define the measurement scale for each leadership style that was used in the survey have been taken from previous studies on the same subject, as explained in Section 3.2, Materials and Methods—Variables, and have been included in Appendix A Part II (8 dimensions for transactional style (hereinafter also referred to as L1), 16 for transformational style (hereinafter also referred to as L2), and 17 for servant style (hereinafter also referred to as L3)).

2.2. Leadership Styles’ Relationships with Sustainable Development

Regarding the second field of study about the relationship between leadership styles and sustainable development, in particular in the aerospace and defense sector, the literature is scarce and should be developed to measure firms’ sustainable development performance [39]. Thus, to understand previous contributions in the literature to the research objectives, we have looked at different studies aiming at the same or similar goals providing a conceptual framework to undertake our research model.
A study on transactional and transformational styles in aerospace and defense organizations has revealed that both leadership styles are present at the senior management level. Transactional leadership is used mostly for the purposes of cost reduction in production operations, partly because of structural and environmental constraints. Simultaneously, some limited form of transformational leadership style is also applied for exploratory innovation purposes [40]. Considering these findings, we contribute by complementing this analysis through the study of the influence of leadership styles on sustainable development and by adding servant leadership style, following their call to develop future studies to empirically test the orientation of leaders in organizations of different sizes and ages, as we have carried out in this study with Airbus and TASL.
A previous study drawing on the theory of micro-foundations to confirm how factors at the individual level drive sustainability development sheds light on the growing need to cultivate micro-level leadership skills and employee behaviors to achieve effective organizational sustainability; in particular, in achieving the multifaceted goals of sustainability, the servant leadership style was found to be effective in mobilizing resources and implementing the sustainability strategies among stakeholders [41], this reinforces the inclusion of servant leadership style in this study.
Some case studies performed in multinational companies (MNCs) in Europe have contributed to elucidating this complex phenomenon by demonstrating how the values of founders, firm owners, and top management and personal traits (personal and professional characteristics, experience, and networks) have a determining role and influence on the attention and emphasis paid to CSR. The characteristics and motivations of managers, manifested in the organization through their leadership style, can be considered one of the most powerful drivers of the adoption of a specific CSR perspective about the firm’s organizational culture and strategy. The primary shareholders, a block holder, or a CEO can determine the applicability level of CSR. This applicability level could range, for example, from being the core mission of the company to merely considering it as a means of boosting the firm’s image and reputation, only at a superficial level, due to core exploitative, low-cost, and country-sourcing practices of the business [42,43].
Looking for evidence in other industries, such as in the logistics sector in South Korea, a study examined and identified the influence of the top management as a critical antecedent of the adaptation of corporate environmental responsibility and green practices, highlighting that the higher the job titles, the more willing they were to adopt green practices [44]. This study helped to configure our sampling technique, focusing only on high-level management positions due to their higher level of influence in sustainable development practices, as detailed in the last paragraph of Section 3.1, Participants and context.
A study on Indian green organizations about developing leadership styles and green entrepreneurial orientation for organization growth found that different leadership styles (charismatic, transformational, visionary, and servant leadership) feature an influence on organization activity and have a positive effect on green entrepreneurship and organization growth [45]. Another previous study suggests a new paradigm of leadership development to foster leadership that fosters the long-term health and performance of the organization and its broader environment [46]. It would help to reflect on the style of leadership and attempt to introduce a new style of leadership that supports and is suitable for the green organization’s growth.
Consequently, in accordance with the previous conceptual framework, the research objective is formalized in terms of three main research questions for both firms under study: Which style(s) best fit(s) the leadership style applied in the firm? Which leadership style(s) under study influence(s) the sustainable development of the firm the most? Which would be the best style(s) foreseeable for an advisable future in the firm regarding their influence on sustainable development?

3. Materials and Methods

The methodology chosen to achieve the objectives of this study is qualitative research, based on in-depth case studies using interviews, a survey, and statistical analysis, following the approach applied in research within the same field of study [47,48,49,50]. The methodology design, instruments, and procedure are further described in the following sections.
To measure the influence on sustainable development, we used CSR and general outcomes variables to obtain data through interview questions. Additionally, a quantitative approach was adopted to complement the qualitative research to process and support the analysis carried out from the structured surveys applied in both companies. This approach also served to complement the comparison of the data studied in both companies. The variables for measuring in the survey the leadership styles’ influence on CSR and the general outcomes of the companies form part of the measurement instrument used by Du et al. (2013) [31] in their research work on transactional and transformational leadership styles. Drawing on such dimensions, which are included in Appendix A, Part II, we included servant leadership to enlarge and perform the analysis in both firms from the aerospace and defense sector.

3.1. Participants and Context

Two corporations from the same sector were chosen for the development of these in-depth case studies: the Indian Tata Advanced Systems Ltd. (TASL), which belongs to the multinational Tata Group, and the European multinational corporation Airbus, which are both leaders in their respective markets, hailing from different origins, continents, and developmental states. Research on the most important CSR drivers and barriers both in the current state and in the foreseeable future was previously carried by the authors out in these two companies [51].
Both companies have challenges in transforming the business model into a sustainable one, where aircraft manufacturers, in the context of greener aviation, need to also care about the footprint of planes at the end of life [52]. In terms of the policy context, Airbus, as part of the European Union, has the support of the European Union, which will continue to strive to strengthen its position as a global countervailing power, symbolized in air transport by a leadership position including environmental policy [53].
Regarding the selection of the two firms and participants, the employment relationship of one of the authors with Airbus, and through this the access to communication with senior managers of TASL, allowed us to develop a more detailed study of these reputable organizations, which otherwise might not have been feasible.
Regarding the sampling technique, Airbus and TASL managers were selected from high-responsibility departments across the companies. Thirty-five top leaders from both companies participated in this study and were interviewed. The managers belonged to different areas; in Airbus, eleven (n = 11) participants were from CSR and Sustainability, four (n = 4) from Procurement and Supply Chain, and three (n = 3) from Communication and one (n = 1) from General Management. In TASL, four (n = 4) participants belonged to Human Resources and Corporate Social Responsibility, four (n = 4) to General Management, three (n = 3) to Manufacturing, two (n = 2) to Procurement and Supply Chain, two (n = 2) to Project Management, and one (n = 1) to Engineering. Regarding the methodology for managers selection and their representativeness, we selected as many top managers as possible across the firm, with a total of 35 for the two firms which is in line with other similar case studies [9], achieving participants, as shown above, belonging to various key functions, in line with the adopted theoretical perspective, which spans organizational behavior (i.e., leadership styles), because CSR is inherently a cross-disciplinary phenomenon [31].

3.2. Variables

In this section, we present the questionnaire items that have been selected from existing literature to ensure replicability, as they have already been used and tested. Regarding the variable dimensions of transactional and transformational styles and the variables of the CSR and general outcomes, we have drawn upon the measurement instrument developed by Du et al. (2013) [31]. For the variable dimensions for servant leadership style, we have drawn upon the previous research conducted by Sengupta and Sengupta (2018) [22], using Laub’s (1999) scale [35]. All the items are included in Appendix A, Part II.
In particular, transactional leadership (L1) was measured using the same variables used by Avolio et al. (1999) [54] and Du et al. (2013) [31], comprising a total of eight items: four items of Management By Exception—Active (MBEA), which focuses on monitoring task execution for any problems that might arise and correcting those problems to maintain current performance levels [54], and four items of Contingent Rewards (CRs), which clarifies what is expected from followers and what they will receive if they meet expected levels of performance (Avolio et al., 1999, pp. 444–445, [54]).
The transformational leadership (L2) style consists of three major measurement dimensions [11,20]: (1) Twelve items on charisma, which provide followers with a clear and encouraging sense of purpose, are a role model for ethical conduct, and build identification with the leader and their articulated vision; (2) four items on intellectual stimulation, which get followers to question the tried and true ways of solving problems and encourage them to question the methods they use to improve upon them; and (3) four items about individualized considerations, which focus on understanding the needs of each follower and work continuously to get them to develop to their full potential (Avolio et al., 1999, pp. 444–445, [54]). The third dimension was not used because, due to its focus on the individual-level, a clear conceptual linkage with higher-level organizational phenomena, such as CSR, may be difficult to establish [11].
Finally, servant leadership (L3) was measured using a scale with six different dimensions [35]: (1) valuing people, (2) developing people, (3) building the community, (4) displaying authenticity, (5) providing leadership, and (6) sharing leadership. The scale is composed of 60 items; however, to facilitate field research by avoiding the inclusion of too many survey items, we selected 17 representative items for the survey.

3.3. Procedure

The research fieldwork was carried out using the same procedure for both companies. First, an individual interview was conducted with each participant, followed by a relevant survey. The interview questions and typology were elaborated based on semi-structured sample interview questions used in previous research in this field [7,9]. All the interviews were recorded and transcribed with the written and verbal consent of the participants to be processed later for analysis. Interview questions are included in Appendix A, Part I.
A survey was conducted after the interview with the participants in both companies to obtain specific inputs on the subject of how the three leadership styles are observed and how they influence CSR and general outcomes, as well as for the consistency of interview data results. Participants were asked to rate on a 5-point Likert scale (“In our company, managers…”, where 1 = “never”, 2 = “rarely”, 3 = “sometimes”, 4 = “often”, and 5 = “frequently, if not always”), evaluating the implementation of each leadership style and its category items, and their influence on both company CSR and organizational outcomes. Data collection was performed using the testimonies of the interviewees and the survey results as primary data and studying the companies’ public reports and documents from the Airbus and TASL websites as secondary data. Much more sustainable development information was found on Airbus’s website than on TASL’s, corresponding with previous research on firm size and leverage, which have been positively associated with sustainability reporting [55]. The interviews and surveys for this study were conducted from 19 November 2019, to 24 July 2020, at both the Airbus premises in Europe and the TASL premises in India, using both in-person and telephone interviews. Surveys were completed by the participants and delivered by email, and in some cases, they were completed in the researcher’s presence right after the interview.
Concerning the survey results, we also applied statistical analysis by using the nonparametric Wilcoxon Signed Rank test, comparing data obtained from the leaders in Airbus and TASL.
The results are presented by contrasting both the inputs of the testimonies collected in the interviews and the data resulting from the statistical processing of the surveys.
The research methodology’s high-level procedure is depicted in the following Figure 1 to show the elaboration of the theoretical construct used in this empirical study.

4. Results

In the following subsections, the results of the interviews and surveys in Airbus and Tata are presented. As previously mentioned, the first part of the study consisted of collecting information from the main leaders of the companies, through interviews, on the degree to which each of the leadership styles being analyzed (L1, L2, and L3) are being used in each firm, the purpose they should pursue, and future perspectives in the adoption of these styles. The second part involved the conduct of a survey to obtain more precise results. In the survey, L1 and L2 were measured using the same variables used by Avolio et al. (1999) [54] and Du et al. (2013) [31], comprising for L1 a total of eight items, from L1.1 to L1.8, and for L2 a total of sixteen items, from L2.1 to L2.16. L3 was measured using the same variables used by Sengupta and Sengupta (2018) [22], using Laub’s (1999) scale [35], comprising, for L3, a total of seventeen items from L1.1 to L1.17. For more details, all the items are defined and included in Appendix A, Part II A, B, C.

4.1. Leadership Styles at Airbus

4.1.1. Interview Results

In this section, the results of the testimonies of the Airbus leaders are provided.
Predominant purpose of the firm’s leadership model (economic vs. values)
The results in Airbus show that 37% of the participants perceive that the current focus is on the values, another 37% are more prone toward a combination of economic purpose and values, and 26% consider that it has a fundamentally economic purpose.
Defining the leadership style used in Airbus
In terms of defining the leadership style currently used in Airbus, 36% identify it with a business- or profit-led model. Another 32% conceive the leadership as one determined by CSR value and ambition, focused on engagement and humility. The remaining 32% had an intermediate opinion, believing it to be a technical and innovative leadership style, as expected from an engineering company like Airbus.
The style that fits the leadership applied in Airbus
According to the responses, 42% thought that Airbus currently employs a combination of transformational and transactional leadership, followed by 26% identifying the current approach as transformational, 21% identifying it as transactional, and 11% describing it as a combination of the transformational and servant styles.

4.1.2. Survey Results

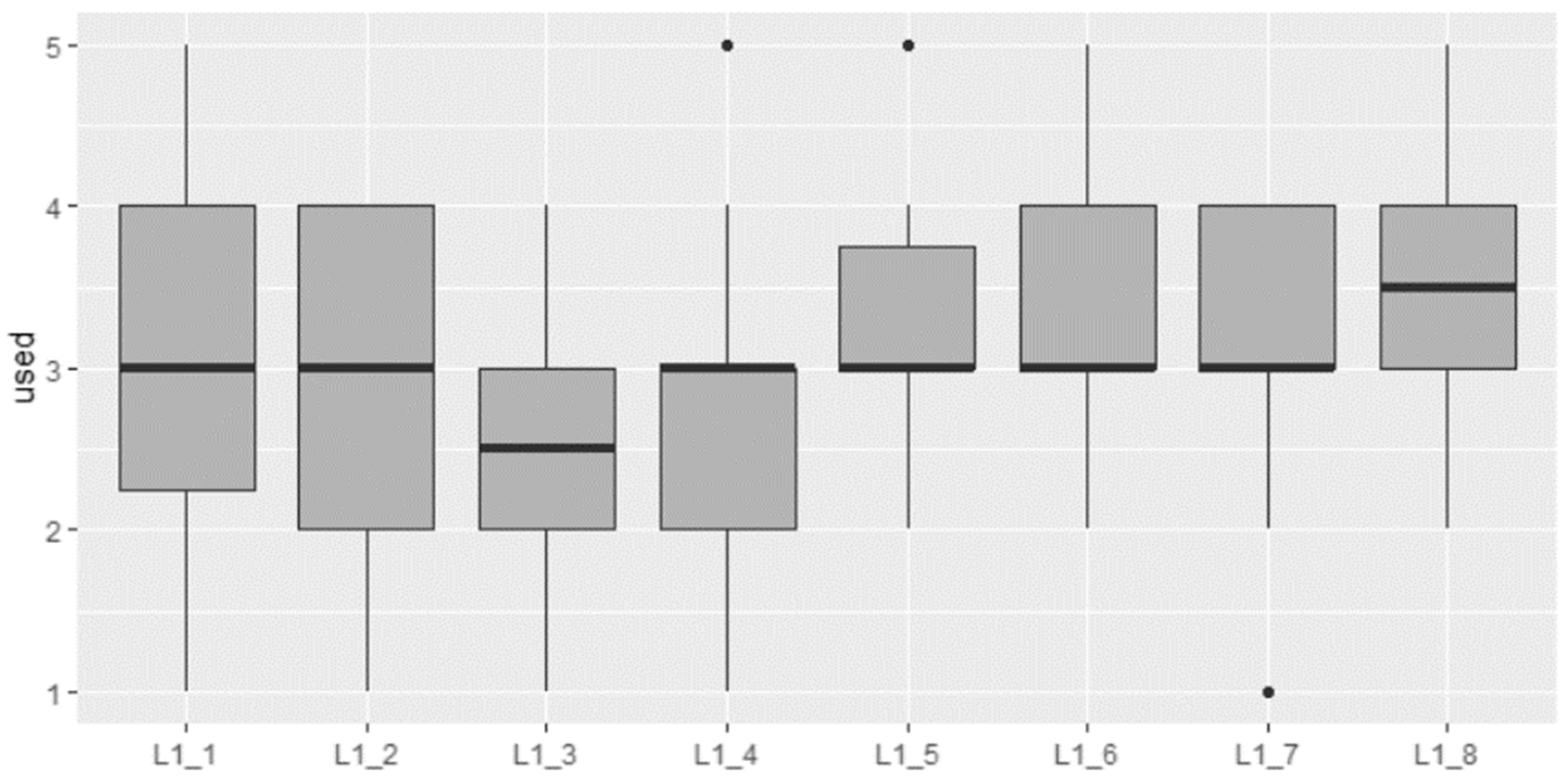
The survey data of Airbus reveal that the variables regarding the extent to which the three leadership styles are present have very similar values, exhibiting a balanced leadership pattern, with a median value of 3 for all levels (on a 5-point Likert scale). However, differences can be observed in the distribution of the assessments of the dimensions associated with each style (dimensions for the three styles are detailed in Appendix A Part II, A, B, C). Figure 2, Figure 3 and Figure 4 below depict the data details using boxplots.

4.1.3. Interview Results on Advisable Future

Predominant purpose of the firm’s leadership model (economic vs. values)
From the perspective of assessing an advisable future, when deciding whether the focus of an ideal leadership style should be values, economic objectives, or a mixture of both, 95% of the participants from Airbus believed that the leadership model should focus on values, while only 5% chose to focus on a mix based on the company’s objectives.
Defining the leadership style to be used by Airbus
When participants were asked more specifically from a should-be perspective how they would define the leadership style that should be used at Airbus, all the obtained responses were similar. Airbus’s leadership style should be purpose-driven, inspirational, and more diplomatic by assuming a broader view in consideration of other stakeholders. It was also posited that it should be more employee-oriented to promote CSR and holistic missions supporting the environment and society as a whole.
Selection of the leadership style that should be adopted by Airbus
The responses reflected a preference for servant style at 58%, followed by 32% who indicated a combination of transformational and servant, and 10% who prefer a combination of the three styles. A balance is needed to make the desired style sustainable. The preference for the servant style comes from the nature of the products and services provided by the company, which have a significant impact on the world (e.g., transportation).

4.2. Leadership Styles in TASL

4.2.1. Interview Results

In this section, data obtained from interviews performed with TASL employees are analyzed to address the research questions of this study.
Predominant purpose of the firm leadership model (economic vs. values)
The responses regarding the primary purpose or focus of the TASL leadership style can be classified into two distinct categories: (1) 50% of participants felt that the TASL exhibited a servant leadership style, thereby indicating the value-based leadership spirit of the group, and (2) the other 50% comprised participants who observed the importance of charismatic leadership, rectifying errors, quality and customer-centric values, and styles that depend on analyses of specific situations by referring to the objectives of fast economic growth and the achievement of business financial objectives.
Defining the leadership style used in TASL
The participants defined the current leadership style in TASL as being the same as in the overall Tata Group: as a particular TASL style, using expressions such as “involved”, “flat organization”, “empowering”, “trusting”, “friendly”, “leading by example”, “participative and inclusive”, “proactive”, “caring”, and “supportive”. Primarily, the leadership style is under the influence of the value-based Tata system and the TASL Code of Conduct. However, contrary terms were also used, such as reactive (vs. proactive) and authoritative (vs. participative and inclusive), revealing some diverse views and room for alignment.
The style that fits the leadership applied in TASL
The results obtained indicated that 38% of the participants believed that transformational leadership best fits TASL. A combination of transformational and servant leadership styles was chosen by 31% of the participants, and the combination of transactional and transformational leadership styles was chosen by 19%. Only 6% of the participants selected the transactional leadership style, and another 6% chose the servant leadership style.

4.2.2. Survey Results

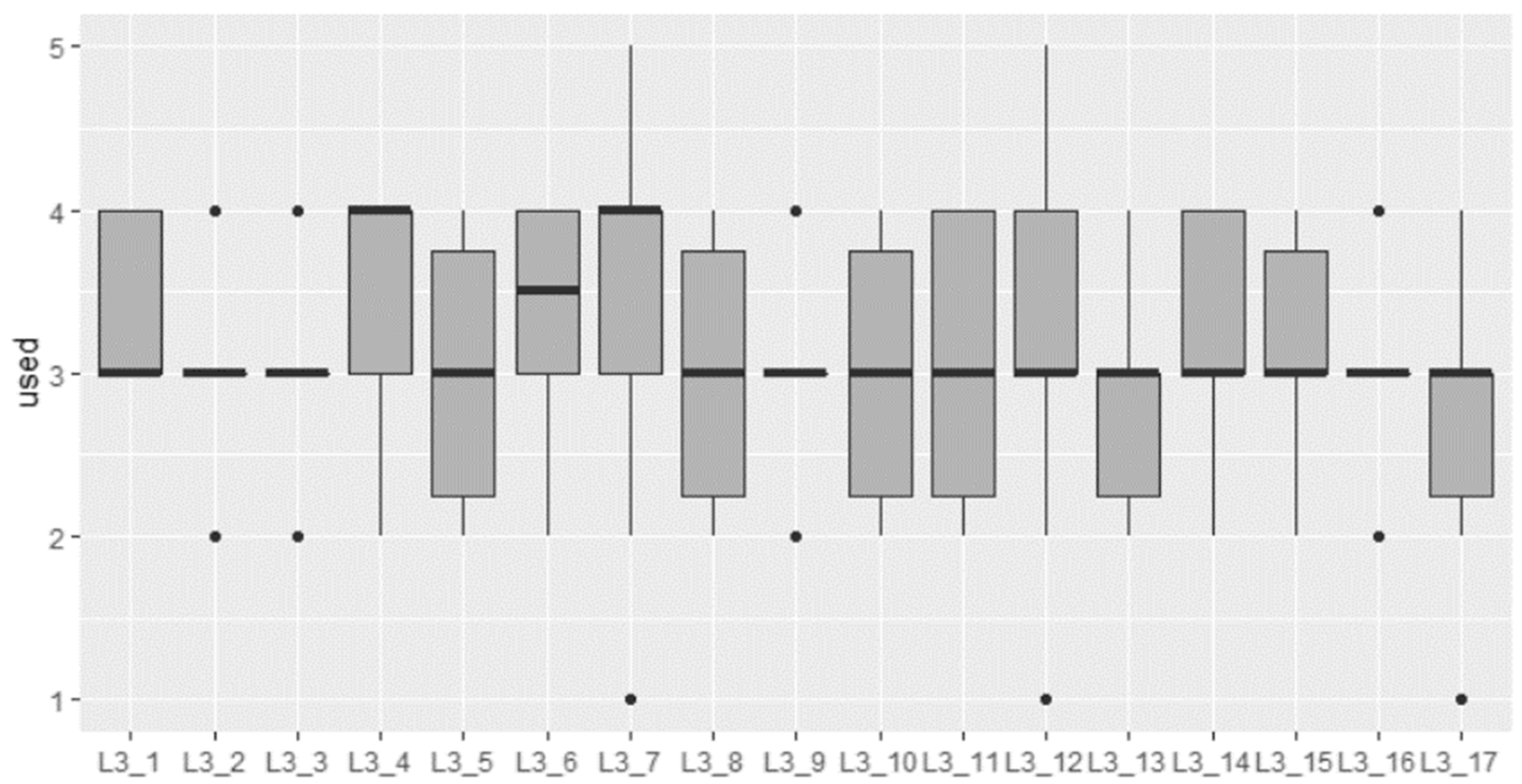
In TASL, the results of the survey highlight an even perception of the application of the three styles, with a median of 4 for each of them. The variables measured are the same as in Airbus, as outlined in Appendix A, Part II A, B, C. The survey is in alignment with the aforementioned interview results, reinforcing the role of transformational leadership as the one perceived by TASL managers, while recognizing the servant leadership style as the second most influential style. Figure 5, Figure 6 and Figure 7 demonstrate the results using boxplots.

4.2.3. Interview Results about the Advisable Future

Predominant purpose of the firm leadership model (economic vs. values)
Respondents suggested that, compared to the current situation, they perceive the need to increase the role of the value-based potential style (from the current 50% to a suggested 56%), supported by the social objective of the company, that is, a service to all social communities and the nation. It is believed that the leadership model should focus on having CSR at the core.
Defining the leadership style to be used in TASL
Of the participants, 87% believed that the leadership style that should be used in TASL should be aligned with Tata’s value-based system. The other participants believed that it should change from authoritative to collaborative and from reactive to proactive.
Selection of the leadership style that should be adopted in TASL
The leadership styles that should be adopted at TASL (from among those being analyzed in this study), with the objective of best serving and promoting CSR and benefitting general company outcomes, is a combination of transformational and servant leadership styles, according to 43% of participants, followed by transformational style as per 22% of participants. Following this, 14% of participants recommended the servant style, another 14% recommended a combination of transactional and transformational leadership style, and 7% of participants recommended a combination of transactional and servant leadership styles. The training of TASL employees in CSR is important to achieve TASL business goals in a sustainable manner.

4.3. Leadership Styles Influence on Airbus CSR and General Outcomes

4.3.1. Interview Results

Roles of Airbus leadership style in CSR
Only 20% identified strong roles of leadership in CSR as CSR objectives are becoming an inextricable part of the leadership model and because the leadership model plays an active role in leading by example and achieving internal and external engagement that works in a responsible and sustainable way. The roles of the leadership model concerning CSR continue to be technical, regarding the financial requirements or expectations of investors, to ensure that the necessary protocols and procedures are in place to comply with current regulations and laws.
Influence of the Airbus leadership in CSR
Of the participants, 61% believe that the behavior of present Airbus leaders has positive effects on CSR in terms of leading by example and making CSR more real by assigning budgets and making it a priority. Other interviewees highlighted the commitment to decarbonization and the creation of a framework that is employed and outlines sustainability goals. Nonetheless, a significant 39% of participants believe that there is still room for improvement in several areas concerning how leaders’ behavior can positively influence CSR. Certain participants believe that leaders’ behaviors do not significantly influence CSR since it is considered secondary in terms of leadership style and that the efforts made are only business-oriented; managers focus only on the business because they are overburdened with business work, and they do not have enough time and energy to focus on the world outside of Airbus. The management itself must be convinced of the relevance of CSR. Otherwise, it is hard to change or promote sustainability, as the team’s performance depends on its leadership, and the leadership guidelines that the manager gives to the team are personal, and therefore highly influenced by the manager’s traits and beliefs. Hence, the team’s behavior differs depending on the value attributed by the manager to CSR; the inflection point comprises an understanding that CSR helps to achieve objectives.
Selection of the most influential leadership style for Airbus CSR and general outcomes
In response to which of the three leadership styles under analysis is the most influential for CSR at Airbus, 42% of the participants identified the servant style, 42% denoted the transformational style, and the remaining 16% chose the following three options equally: transactional, transformational and servant, and a mix of all three.
When evaluating which leadership styles are the most influential for Airbus’s general outcomes, 32% of the participants indicated the transformational style, followed by 26% who identified the servant style, 21% who denoted the transactional style, and 10.5% who reported it to be a combination of transformational and servant styles, while 10.5% responded that it was a combination of transformational and transactional styles.

4.3.2. Survey Results

The survey results revealed that the servant leadership style positively influences Airbus’s CSR practices, with a median value of 4. Transactional and transformational leadership styles do not exert a significant influence, as they were both evaluated with a median level of 3 (“neutral”). These results reveal the predominant view that a service philosophy provides a higher degree of CSR impact.
In terms of the impact on the general company outcomes, by which we are referring to the improvement of the economic, social, and environmental performance; the reputation of CSR and sustainability; and gaining national and international visibility, the highest-ranked leadership styles were servant and transformational. Variables measuring whether respondents considered them conducive to contributing to the general outcomes in the firm had a median response value of 4. The transactional style was perceived as neutral, with a median of 3. The servant style is notably valuable in providing the best results for the company’s general performance, with a positive contribution of a balanced leadership style that uses a lower scale of transformational and transactional features.

4.3.3. Interview Results about the Advisable Future

Advisable roles of Airbus leadership style in CSR
In terms of the role that the leadership model should, in the future, play in CSR, respondents stated that Airbus should fully support CSR and be more authentic and purpose-driven. The leadership role in CSR should be more central, with clear communication of the CSR strategy and targets. The leadership model should have a stronger link to CSR and the manner of managing and planning for the future; further, sustainability should be integrated into the leadership model to be more focused on it and not on mainly short-term results.
Advisable influence of the Airbus leadership in CSR
From a potential future-oriented perspective, interviewees shared several views on how the leadership style (leaders’ behavior) should influence CSR. It was considered that CSR initiatives and contributions should be a priority; leaders’ behavior should be inclusive and open to new ideas and be more specific in setting objectives and clear performance goals. Training courses could have a strong impact on leadership, the CSR approach, and the manner of implementing the Airbus values, to be better prepared for the daily work. Actually, some managers and employees are not aware of the fact that CSR encompasses more than just the social component. Participants stated that the company should be fed with external perspectives, scale up local initiatives, and implement CSR by example; they should reward the drive for sustainability in their area of influence. Managers and leaders should promote CSR to empower teams to take action and champion it. Accordingly, performance indicators should be outlined, and governance should communicate that CSR is an important priority, with team objectives for sustainability focused on company goals.
Most influential advisable leadership style for Airbus CSR and general outcomes
From a future potential perspective, the responses and results change. The style that should be the most influential on Airbus’s CSR is servant leadership, selected by 78% of the participants. Only 16% of the participants opted for a combination of transformational and servant styles, and 6% preferred a combination of all three styles. However, it was noted that the full application of the servant style may take 5 to 10 years. As for the results obtained while assessing which leadership styles are the most influential for Airbus’s general outcomes, 58% chose the servant leadership style, 21% the transformational style, 16% a combination of transformational and servant styles, and 5% a combination of all three styles.

4.4. Leadership Styles Influence on TASL CSR and General Outcomes

4.4.1. Interview Results

Roles of TASL leadership style in CSR.
Data show a very high (94%) common understanding that there is indeed a specific role of CSR in the company leadership model. As stated by the participants, TASL managers should be CSR leaders. As CSR is at the core of the business, managers must take CSR seriously and not as a side activity and be collaborative, since it represents the opportunity to give back to society. In the company, if people are considered equal, then they must have equal opportunities. Regarding company objectives, they are defined collectively and are based on trust. The involvement of the top management in CSR is highlighted as they take initiatives directly and select and actively monitor CSR projects. Their alignment with corporate values is considered critical.
Influence of the TASL leadership in CSR
Responding to the question of how leadership styles (the observed behavior of leaders across TASL) influence CSR, 75% declared a positive influence on CSR primarily through cases, personal traits such as active involvement, transparency among the team, openness, and working with passion on the subject. In some cases, their influence is very significant, as they create a positive environment for CSR; this happens when leaders’ personal values reflect their strong focus on CSR and they are perceived as fully aligned with the company’s values and purpose. By contrast, even if Tata’s group values are enmeshed in the performance management system, there are other more critical views indicating that it depends a lot on specific leaders, since they influence CSR more if they believe CSR is beneficial, as opposed to a compliance requirement. Other views of participants were that managers are generally not highly engaged in CSR and that they provide a neutral influence. A cultural issue was also considered, as it was stated that the leader, owing to the professional status achieved, is sometimes considered a superior human being as compared to the subordinates.
Selection of the most influential leadership style for TASL CSR and general outcomes
In response to which leadership styles influence TASL CSR the most, 56% of participants selected the transformational style, 25% opted for the servant style, 13% selected a combination of transformational and servant styles, and 6% chose a combination of transactional and transformational styles. The transactional style also reinforces CSR, though on a much smaller scale. Regarding which leadership style influences the company’s general objectives, transformational and servant styles were selected by 47%, transformational style by 33%, a combination of transactional and transformational styles by 13%, and servant style by 7%.

4.4.2. Survey Results

According to the survey responses to which leadership style most influences CSR in TASL, all styles exhibit a median of 4 and exert a positive influence on the firm’s CSR. In terms of the general company outcomes, the three styles also obtained a median of 4; thus, all exert a positive influence. Therefore, in TASL, all three styles are perceived to play an important role in both CSR and general company outcomes. These data reveal that to follow the Tata Group principle of “returning wealth to the society they serve”, key elements of the three leadership styles are equally present in the company and are believed to provide positive benefits to stakeholders.

4.4.3. Interview Results about the Advisable Future

Advisable roles of TASL leadership style in CSR
Regarding the specific role that the company leadership model should have in CSR, the opinions generally aligned with the existing role of leadership in CSR. It is believed that the leadership style should embrace company values and promote said values. Consequently, the organization should be accountable to its stakeholders and the environment, wherein it operates voluntarily, without compulsion.
Advisable influence of the TASL leadership in CSR
In the should-be scenario, 50% of the participants considered that leaders’ behavior should continue to positively influence CSR. The remaining participants believe that leaders should align company values to be responsible toward society, employees, and partners. As the leadership style influences CSR, there is a need to be sure that the right leader is in place to understand the importance of leadership in CSR. In particular, it is believed that the leadership style should influence CSR by communicating the company’s vision and strategy first and then fostering engagement and building the team to achieve CSR goals and encouraging innovation. Leaders should feel genuinely engaged in CSR; otherwise, they will not be truly involved in its development. Being motivated and feeling that one is a part of the sustainable evolutionary path of the company is important for inspiring others and promoting a leadership style that positively influences employees’ voluntary contribution to CSR. It is also considered that the time available to influence CSR is limited since TASL is a fast-growing organization in which the lack of time has been considered as a CSR barrier.
Most influential advisable leadership style for TASL CSR and general outcomes
From the should-be perspective, the situation varies. When asked about which leadership style should be the most influential in promoting CSR at TASL, 40% of participants responded with a combination of transformational and servant styles. The transformational style was selected by 26% of participants, the servant style by 20%, 7% opted for a combination of transformational and transactional styles, and the remaining 7% chose a combination of transactional and servant styles. The should-be approach regarding the influence on the general company objectives still prefers the transformational and servant styles at 47%, followed by servant at 20%, transformational at 13%, and other combinations of styles at 20%.

5. Discussion

5.1. Airbus and TASL Interviews Comparison Analysis

As shown in Figure 8, concerning the main purpose of the leadership style, we found that in Airbus, the purpose is not clearly defined, as opinions ranged from economic goals to values or a combination of them. In TASL, the purpose is more polarized, since one half considered it to be value-driven, while the other half indicated the objective to be business growth. Regarding the potential leadership purpose, in Airbus, the hope for change is greater, from the current 37% to a suggested 95% aiming at a value-based model, while in TASL, there is only an increase from 50% to 56%.
In TASL, 94% of participants believed that there is and should continue to be a specific role of CSR in the company leadership model. The situation is the opposite in Airbus, where 80% consider that the role of CSR is not sufficient, while hoping for a change to rectify this situation, with the aim of having an embedded role of CSR in the leadership model. However, 39% of participants at Airbus and 50% of participants at TASL consider that there is still room for improvement in leaders’ behavior to positively influence CSR.
In both companies, the identification or naming of the applied leadership style yielded similar results. The leadership of Airbus and TASL are identified with several names, being mainly related to their value system but also as profit-led companies. Nevertheless, in the potential state, participants from both companies concurred that leadership should be associated with an evolutionary values-based, purpose-driven, collaborative, and holistic path. Participants from both companies identified transformational leadership as the style that best fits the current leadership style of the company, with influences of servant leadership in TASL and transactional leadership in Airbus.
Details about the leadership style that has the highest influence on CSR and general outcomes and the potential advisable development are outlined in the following figures. Figure 9 highlights the predominance of transformational and servant styles for CSR in Airbus, indicating that the servant style is advisable. In TASL, a combination of transformational and servant styles is deemed advisable.
As indicated in Figure 10, in Airbus, the servant style should be the most influential for general outcomes. In TASL, a combination of styles—primarily transformational and servant leadership styles—is considered predominant in both scenarios.
One finding from the interviews is that, with regard to CSR and general outcomes, both companies agree on the importance of the transformational style; looking forward to the advisable future, both consider it more important than the servant style. Additionally, the training of employees in CSR is deemed important to achieve business goals in a sustainable way and in alignment with the servant leadership style. This is essential for customer-centric companies like Airbus and TASL, since customer-perceived CSR has a more consistent effect on customer satisfaction as compared to perceived firm innovation [56].
In large companies, styles may be adapted according to need. Transactional leadership can benefit CSR by exerting control on project execution monitoring and by providing rewards for the achievement of objectives.
Previous research in the Norwegian manufacturing sector has revealed that adopting the objective of reducing environmental impacts has a significantly negative effect on the productivity level of large companies in the short term; however, this effect is not significant among small companies. For large and small companies alike, the environmental impact reduction may be profitable in the long run, but “it pays to be green” sooner for small companies undertaking this transformation [57]. Based on this inference, when comparing Airbus and TASL, the latter is at an advantage, being a younger and smaller firm.
The creation and maintenance of relationships with green customers, as well as boosting their loyalty, are extremely important and can guarantee long-term competitive advantage for companies [58]. Companies may pursue similar diversification growth strategies, offering a portfolio with various products and services. Along with the diversification, a company’s range of business operations enhances the quantity and diversity of stakeholders and could further affect the range of stakeholder demands and social issues; this may enable leaders to also be concerned with managing related and unrelated diversification effects to maintain social performance [59].

5.2. Airbus and TASL Surveys Comparison Analysis

Interviews were conducted first during the data-collection process. To obtain additional specific assessments and further consistency concerning the three different styles, participants were requested to complete a survey. Table 1 presents the data highlighting the arithmetic median obtained for each category of leadership as per the survey variables set out in Appendix A, Part II, on a 5-point Likert scale from 1 = “never” to 5 = “frequently, if not always”. The results reveal that Airbus respondents observe these styles at a median level of 3 (“sometimes”); in TASL, all are observed at a median level of 4; TASL managers observe these different leadership behaviors with higher frequency. A possible cause of this difference may be that, in Airbus, 95% of participants suggest that the purpose of the leadership model is changed toward a values-based model; therefore, the lower observations of the three styles may reflect this perceived need for an evolution.
Figure 11 shows a further comparison of the obtained results when perceiving leadership styles, indicating a greater coincidence in both companies regarding the selection of the transformational and servant styles. However, a greater range of values is observed in the responses for the transactional style.
For each leadership style, Table 2 shows the survey results obtained on a 5-point Likert scale (where 1 = severely hinders and 5 = strongly supports) to identify which leadership style has the most influence on Airbus and TASL CSR practices and organizational outcomes.
According to the data outlined in Table 2, the servant leadership style influences Airbus CSR practices more positively. In the case of TASL, all influence levels are the same, with a median value of 4 obtained in all cases. In Airbus, there is a predominant view that service philosophy creates a higher degree of CSR impact. It is important to note that transformational and transactional styles are considered to have a good impact on TASL’s CSR; therefore, a balanced combination of applied styles can positively influence the company’s CSR practices. This combination can respond to several managerial needs related to leadership dimensions present in the three styles for implementing CSR, especially in aerospace and defense due to the complexity of both the sector and the CSR management process.
Similar results were obtained from participants from both companies when assessing the impact on the general outcomes. In Airbus, the survey responses regarding servant and transformational leadership achieved a median value of 4 and were the most influential styles. However, in TASL, all three styles reached the 4-point level concerning the influence on the general outcomes.
As shown in Table 2, respondents from both companies believe that the servant style possessed the highest median value of 4 points for the impact on both CSR and general outcomes. A particular strength of servant leadership is that it encourages everyone to actively seek opportunities to both serve and lead others, thereby encouraging the potential for raising the quality of life throughout society [22]. Servant leadership, or a combination of servant features with other leadership styles, can address certain deficiencies in current leadership theories, particularly in the interface between leadership and CSR; further, it also contributes to broadening the leader–subordinate notion to a leader–stakeholder relationship [60,61]. A Wilcoxon test was performed to analyze whether there are significant differences between the characteristics of each leadership style perceived in the two companies. The results are shown in Table 3.
The results suggest significant differences in 94% of the servant behaviors, 81% of the transformational style behaviors, and 50% of the transactional style. Only four behavioral variables, L1_2, L1_3, L1 4, and L1_6, three Management by Exception—Active, and one Contingent Reward in the transactional style indicate a significant difference; therefore, there is statistical evidence refuting the idea that the median score of TASL and Airbus have the same value. In the transformational style, we identified this situation in thirteen out of sixteen variables, with mostly Charisma/Inspiration behaviors. In the servant style, there is a statistically significant difference between the scores in both companies for all behaviors, except “facilitate the building of community and team” (L3_7). Consequently, we can conclude that even if both companies apply the three styles, they are applied with different intensities. TASL managers observe most of the leadership behaviors with more frequency, and more differences among companies are found in the servant and transformational leadership variables.

5.3. Limitations of the Study

This research work is limited to a case study of two companies—Airbus and TASL. Therefore, the results cannot be generalized to be applicable to the whole aerospace and defense sector. The comparative analysis is centered on the study of the different variables of three types of leadership styles. Further research on the leadership styles’ influence on CSR and general outcomes can be undertaken by other aerospace and defense sector companies, along with the study of other types of leadership styles.

6. Conclusions

Drawing upon the results obtained for both companies, we can conclude that the leadership styles studied and used by both companies have more similarities than differences. Both companies apply the three styles to a significant degree; this is truer for TASL, which had higher scores in the survey for all styles. According to the interview data, it is remarkable that both companies use the same combination: more transformational, followed by servant and transactional leadership styles. This combination was observed in Airbus, but with lower correspondence. In general, it revealed an important application and use of the three styles in both corporations, which endorses the effectiveness of the three styles in these aerospace and defense companies.
We can conclude that their influence on the general outcomes for the sustainable development of the companies indicates the practical utility of all the leadership styles; the specificities of each style complement the other styles’ characteristics and thus can be applied depending on the specific managerial situation. Additionally, the majority of the participants from both companies identify transformational and servant styles as the main drivers, including features of the transactional style for effective support.
Regarding the advisable reorientation, considering both the interviews and the survey conducted on Airbus participants, it can be concluded that current hybrid leadership models that consider both economic and value purposes should, according to the respondents, evolve into a more focused leadership model based on values and a holistic approach with servant leadership features and prevailing roles focused on sustainable development and CSR. In TASL, the purpose of the leadership model also equally includes economic growth and values. The style is identified with the Tata Group and is widely believed to adequately fit this model. Respondents suggest that this should be continued along the same lines, with more emphasis on values in the future, in line with its identified role for CSR in the company. In contrast to Airbus, in TASL, the combination of leadership styles is used with more intensity, suggesting that the combination of the transformational and servant styles should be the most effective for the company in the future, for both CSR and general outcomes. Both companies consider that greater alignment with the model in terms of values on the part of the leaders would be necessary to further reinforce the positive impacts for the company on sustainable development. Consequently, whenever it is necessary to study aspects of the leadership model, this study suggests that, among the three leadership styles influencing sustainable development through CSR and general outcomes, servant features should be considered, as they are considered effective by the participants from both Airbus and TASL. The servant style fits a renewed purpose in aerospace companies, such as Airbus, that intend to pioneer sustainable aerospace; in TASL, the servant and transformational leadership styles fit the TASL and Tata Group core values of serving and giving back to society.
It is important to highlight that the use of both interviews and surveys has been decisive in fully undserstanding the complexities and the abundance of the data collected. The use of statistical testing and graphical representation has helped to analyze the various facets of this study in detail.
Overall, in this research, we have studied the leadership models and the influence of transactional, transformational, and servant leadership styles on the sustainable development of Airbus and TASL. Three key contributions of this study are provided as follows.
  • This study reveals that there is an important application and usage of the three styles analyzed in both companies, which endorses the effectiveness of these three styles in these leading aerospace and defense companies.
  • Both companies consider that both servant and transformational styles provide the best results to further sustainable development, CSR, and general outcomes.
  • Both companies deem servant leadership essential as a key constituent of their leadership model, along with transformational features for future development; features of the servant style are ideally considered the unique base of the leadership model in the long term to achieve sustainable growth.
These key contributions draw out the practice, policy, and social implications of our findings. Regarding practice, the first and second main contributions of the study confirm the benefits of applying a mixed leadership model for sustainable development. The findings suggest that the best results may be achieved when servant and transformational styles take precedence in the design of the leadership model to be applied in the organization. This implies that leadership policies oriented to company culture, behaviors, and performance should consider the influence of these styles in driving sustainable development due to the environmental and social focus that servant leadership provides, combined with the focus on organization development provided by the transformational and transactional styles.

Author Contributions

Conceptualization and project administration, R.G.M. and A.D.-H.; methodology, formal analysis, software, investigation, and visualization, R.G.M., A.D.-H. and K.R.S.; supervision, validation, writing—review and editing, A.D.-H. and K.R.S.; resources, A.D.-H.; data curation and writing, R.G.M. and K.R.S.; funding acquisition, R.G.M. All authors have read and agreed to the published version of the manuscript.

Funding

This work has been supported by the Conscious Management Institute (CMI) Business School and by the Madrid Government (Comunidad de Madrid-Spain) under the Multiannual Agreement with UC3M in the line of Excellence of University Professors (EPUC3M20), in the context of the V PRICIT (Regional Program of Research and Technological Innovation).

Institutional Review Board Statement

Not applicable.

Informed Consent Statement

Informed consent was obtained from all subjects involved in the study.

Data Availability Statement

Data sharing not applicable.

Acknowledgments

The authors wish to thank the kind collaboration of all participants in this research work within Airbus and Tata Advanced Systems Ltd. (TASL).

Conflicts of Interest

The authors declare no conflict of interest.

Appendix A

PART I—INTERVIEW QUESTIONNAIRE (Based on Groves & la Rocca, 2011 [7]; Angus-Leppan et al., 2010 [9]).
#TypeQuestion
1OpenWhat is the current prevalent leadership style’s main purpose? In other words, which focus does the prevalent leadership style have?
2OpenWhat should be the prevalent leadership style’s main purpose? In other words, which focus should the ideal leadership style have?
3OpenWhich roles does the current company leadership style have in CSR?
4OpenWhich roles should the current company leadership style have in CSR?
5OpenHow are leadership styles (observed leaders’ behavior across the company) influencing CSR?
6OpenHow should leadership styles (company leaders’ behavior) influence CSR?
7OpenHow would you define the current leadership style that is used in the company? (Name/type of leadership)
8OpenHow would you define the leadership style that should be used in the company? (Name/type of leadership)
9ClosedAmong these leadership styles, which one do you think best fits the current one applied in the company leadership style?
1
Transactional Leadership: Objective: satisfy shareholders and maximize profit. Style: similar to the traditional dominance approach, imposing orders, exerting control, and achieving rewards. Main stakeholders: internal.
2
Transformational Leadership: Objective: The transformation of followers into leaders. Changes and inspiration for performance and growth. Style: motivation engaging followers in the visioning process. Focus on followers’ needs (above leader needs) for achievement and growth such as teaching and coaching. No behavior control; intellectual stimulation by promoting innovation and creativity. Main stakeholders: internal.
3
Servant Leadership: Objective: Serve and lead others to raise the quality of life throughout society. Steward of social, moral, and environmental values and resources (e.g., triple bottom line goals). Style: integrity, empowering people, trust, education, and delegation. Main stakeholders: internal and external.
10ClosedWhich leadership styles (1,2,3) do you think are the most influential in the company’s CSR?
11ClosedWhich leadership styles (1,2,3) do you think are the most influential for the company’s general benefit?
12ClosedWhich leadership styles (1,2,3) do you think should be the most influential in the company’s CSR?
13ClosedWhich leadership styles (1,2,3) do you think should be the most influential for the company’s general benefit?
14ClosedAmong these leadership styles above, which one do you think should be applied as company’s leadership style?
PART II—SURVEY FOR MEASURING LEADERSHIP STYLES AND THEIR INFLUENCE ON CSR AND ORGANIZATIONAL OUTCOMES.
A. 
Transactional Leadership survey (Du et al. (2013) (MBEA = Management by Exception-Active, CR = Contingent Reward)
In Our Firm, Managers…(5-Point Scale, 1 = “Never”, 5 = “Frequently, If Not Always”)
  • focus attention on irregularities, mistakes, exceptions, and deviations from standards (MBEA)
2.
concentrate their full attention on dealing with mistakes, complaints, and failures (MBEA)
3.
keep track of all mistakes (MBEA)
4.
direct their attention toward failure to meet standard (MBEA)
5.
provide others with assistance in exchange for their efforts (CR)
6.
discuss in specific terms who is responsible for achieving performance targets (CR)
7.
make clear what one can expect to receive when performance goals are achieved (CR)
8.
express satisfaction when others meet expectations (CR)
B. 
Transformational Leadership survey (Du et al. (2013) (IS = Intellectual Stimulation, CHI = Charisma/Inspiration)
  • re-examine critical assumptions to question whether these are appropriate (IS)
             
2.
seek differing perspectives when solving problems (IS)
3.
get others to look at problems from many different angles (IS)
4.
suggest new ways of looking at how to complete assignments (IS)
5.
talk about their most important values and beliefs (CHI)
6.
specify the importance of having a strong sense of purpose (CHI)
7.
consider the moral and ethical consequences of decisions (CHI)
8.
emphasize the importance of having a collective sense of mission (CHI)
9.
talk optimistically about the future (CHI)
10.
talk enthusiastically about what needs to be accomplished (CHI)
11.
articulate a compelling vision of the future (CHI)
12.
express confidence that goals will be achieved (CHI)
13.
instill pride in others for being associated with them (CHI)
14.
go beyond self-interest for the good of the group (CHI)
15.
act in ways that build others’ respect for me (CHI)
16.
display a sense of power and confidence (CHI)
C. 
Servant Leadership survey (Sengupta and Sengupta, 2018).((1) valuing people, (2) developing people, (3) building community, (4) displaying authenticity, (5) providing leadership, and (6) sharing leadership).
  • trust each other (1 value people)
             
2.
are non-judgmental–they keep an open mind (4 display authenticity)
3.
are caring and compassionate towards each other (1 value people)
4.
demonstrate high integrity and honesty (4 display authenticity)
5.
give workers the power to make important decisions (empowerment) (6 share leadership)
6.
create an environment that encourages learning (2 develop people)
7.
facilitate the building of community and team (3 build community)
8.
lead by example by modelling appropriate behavior (2 develop people)
9.
seek to influence others from a positive relationship rather than from the authority of their position (6 share leadership)
10.
provide opportunities for all workers to develop to their full potential (2 develop people)
11.
build people up through encouragement and affirmation (2 develop people)
12.
encourage workers to work together rather than competing against each other (3 build community)
13.
are humble–they do not promote themselves (6 share leadership)
14.
communicate clear plans and goals for the organization (5 provide leadership)
15.
are accountable and responsible to others (4 display authenticity)
16.
are receptive listeners (1 value people)
17.
put the needs of the workers ahead of their own (1 value people)
D. 
Observed leadership styles (Part II results) influence on CSR survey (Du et al. (2013)
Please Assess How This Type of Leadership Style Influences the Firm in Systematically Attempting to…TransactionalTransformationalServant
  • incorporate the interests of the communities where we operate in our business decisions.
2.
financially support education in the communities where we operate.
3.
stimulate the economic development in the communities where we operate.
4.
help improve the quality of life in the communities where we operate.
5.
give money to charities in the communities where we operate.
6.
financially support activities (arts, culture, sports) in the communities where we operate.
7.
voluntarily exceed government-imposed environmental regulations.
8.
incorporate environmental concerns in our business decisions.
9.
incorporate environmental performance objectives in our organizational plans.
10.
financially support environmental initiatives.
11.
measure our organization’s environmental performance.
12.
minimiaze the environmental impact of all our firm’s activities.
E. 
Observed leadership styles (Part II results) influence on general outcomes survey (Du et al. (2013))
Please Assess How Leadership Style Influences the Firm’s Performance Relative to Expectations of…TransactionalTransformationalServant
  • improving economic performance
2.
improving social performance
3.
improving environmental performance.
4.
improving corporate responsibility and sustainability image/reputation.
5.
gaining national and international visibility.

References

  1. Schiro, M. Curriculum Theory: Conflicting Visions and Enduring Concerns, 1st ed.; Sage Publications: Los Angeles, CA, USA, 2007. [Google Scholar]
  2. Wang, H.; Gibson, C.; Zander, U. Editors’ Comments: Is Research on Corporate Social Responsibility Undertheorized? Acad. Manag. Rev. 2020, 45, 1–6. [Google Scholar] [CrossRef]
  3. Aguinis, H. Organizational responsibility: Doing good and doing well. In APA Handbook of Industrial and Organizational Psychology; American Psychological Association: Washington, DC, USA, 2011; Volume 3, pp. 855–879. [Google Scholar] [CrossRef]
  4. Ditlev-Simonsen, C.D.; Midttun, A. What motivates managers to pursue corporate responsibility? a survey among key stakeholders. Corp. Soc. Responsible Environ. Manag. 2011, 18, 25–38. [Google Scholar] [CrossRef]
  5. Fontana, E.; Egels-Zandén, N. Non Sibi, Sed Omnibus: Influence of Supplier Collective Behaviour on Corporate Social Responsibility in the Bangladeshi Apparel Supply Chain. J. Bus. Ethics 2018, 159, 1047–1064. [Google Scholar] [CrossRef]
  6. Frynas, J.G.; Yamahaki, C. Corporate social responsibility: Review and roadmap of theoretical perspectives. Bus. Ethics A Eur. Rev. 2016, 25, 258–285. [Google Scholar] [CrossRef]
  7. Groves, K.S.; LaRocca, M.A. Responsible Leadership Outcomes Via Stakeholder CSR Values: Testing a Values-Centered Model of Transformational Leadership. J. Bus. Ethics 2011, 98, 37–55. [Google Scholar] [CrossRef]
  8. Siegel, D. Green management matters only if it yields more green: An economic/strategic perspective. Strat. Dir. 2010, 26, 26–27. [Google Scholar] [CrossRef]
  9. Angus-Leppan, T.; Metcalf, L.; Benn, S. Leadership Styles and CSR Practice: An Examination of Sensemaking, Institutional Drivers and CSR Leadership. J. Bus. Ethics 2010, 93, 189–213. [Google Scholar] [CrossRef]
  10. Waldman, D.A.; Siegel, D. Defining the socially responsible leader. Leadersh. Q. 2008, 19, 117–131. [Google Scholar] [CrossRef]
  11. Waldman, D.A.; Siegel, D.S.; Javidan, M. Components of CEO Transformational Leadership and Corporate Social Responsibility. J. Manag. Stud. 2006, 43, 1703–1725. [Google Scholar] [CrossRef]
  12. Dai, Y.; Abdul-Samad, Z.; Chupradit, S.; Nassani, A.A.; Haffar, M.; Michel, M. Influence of CSR and leadership style on sustainable performance: Moderating impact of sustainable entrepreneurship and mediating role of organizational commitment. Econ. Res. Ekon. Istraz. 2021, 35, 3917–3939. [Google Scholar] [CrossRef]
  13. Doyle, M.E.; Smith, M.K. Classical Models of Managerial Leadership: Trait, Behavioural, Contingency and Transformational Theory. In The Encyclopedia of Pedagogy and Informal Education; Infed: Nagpur, India, 2001; Available online: https://infed.org/mobi/classical-models-of-managerial-leadership-trait-behavioural-contingency-and-transformational-theory/ (accessed on 15 September 2023).
  14. Galton, F. Hereditary Genius; Macmillan: New York, NY, USA, 1869; Available online: http://galton.org (accessed on 15 September 2023).
  15. Blake, R.R.; Mouton, J.S. The Managerial Grid: The Key to Leadership Excellence, 1st ed.; Gulf Publishing Company: Houston, TX, USA, 1964. [Google Scholar]
  16. McGregor, D. The Human Side of Enterprise, 1st ed.; McGraw-Hill Book Co.: New York, NY, USA, 1960. [Google Scholar]
  17. Fiedler, F.E. A Contingency Model of Leadership Effectiveness. Adv. Exp. Soc. Psychol. 1964, 1, 149–190. [Google Scholar] [CrossRef]
  18. Kotter, J.P. Force for Change: How Leadership Differs from Management, 1st ed.; The Free Press: New York, NY, USA, 1990. [Google Scholar]
  19. McGregor Burns, J. Leadership, 1st ed.; Harper & Row, Publisher Inc.: New York, NY, USA, 1978. [Google Scholar]
  20. Bass, B.M. Leadership and Performance beyond Expectations, 1st ed.; Free Press: New York, NY, USA, 1985. [Google Scholar]
  21. Changar, M.; Atan, T. The Role of Transformational and Transactional Leadership Approaches on Environmental and Ethical Aspects of CSR. Sustainability 2021, 13, 1411. [Google Scholar] [CrossRef]
  22. Sengupta, S.S.; Sengupta, J.S. Service-Oriented Leadership Style for CSR: A Perceptions-Based View. IUP J. Bus. Strategy 2018, 15, 7–31. [Google Scholar]
  23. Wang, G.; Hackett, R.D. Conceptualization and Measurement of Virtuous Leadership: Doing Well by Doing Good. J. Bus. Ethics 2016, 137, 321–345. [Google Scholar] [CrossRef]
  24. Bedi, A.; Alpaslan, C.M.; Green, S. A Meta-analytic Review of Ethical Leadership Outcomes and Moderators. J. Bus. Ethics 2016, 139, 517–536. [Google Scholar] [CrossRef]
  25. Hirst, G.; Walumbwa, F.; Aryee, S.; Butarbutar, I.; Chen, C.J.H. A Multi-level Investigation of Authentic Leadership as an Antecedent of Helping Behavior. J. Bus. Ethics 2016, 139, 485–499. [Google Scholar] [CrossRef]
  26. Dethmer, J.; Chapman, D.; Warnen, K.K. The 15 Commitments of Conscious Leadership: A New Paradigm for Sustainable Success, 1st ed.; Conscious Leadership Group: Chicago, IL, USA, 2015. [Google Scholar]
  27. Jones, V.; Brazdau, O. Conscious Leadership, a Reciprocal Connected Practice. A Qualitative Study on Postsecondary Education. Procedia Soc. Behav. Sci. 2015, 203, 251–256. [Google Scholar] [CrossRef]
  28. Ketola, T. Editorial Responsible Leadership. Corp. Soc. Responsible Environ. Manag. 2010, 17, 123–124. [Google Scholar] [CrossRef]
  29. Ketola, T. Responsible leadership: Building blocks of individual, organizational and societal behavior. Corp. Soc. Responsible Environ. Manag. 2010, 17, 173–184. [Google Scholar] [CrossRef]
  30. Patterson, K. Servant Leadership: A Theoretical Model; School of Leadership Studies-Regent University: Virginia Beach, VA, USA, 2003. [Google Scholar]
  31. Du, S.; Swaen, V.; Lindgreen, A.; Sen, S. The Roles of Leadership Styles in Corporate Social Responsibility. J. Bus. Ethics 2013, 114, 155–169. [Google Scholar] [CrossRef]
  32. Graham, J.W. Servant-leadership in organizations: Inspirational and moral. Leadersh. Q. 1991, 2, 105–119. [Google Scholar] [CrossRef]
  33. Greenleaf, R.K. Servant Leadership: A Journey into the Nature of Legitimate Power and Greatness, 1st ed.; Paulist Press: New York, NY, USA, 1977. [Google Scholar]
  34. Rafferty, A.E.; Griffin, M.A. Dimensions of transformational leadership: Conceptual and empirical extensions. Leadersh. Q. 2004, 15, 329–354. [Google Scholar] [CrossRef]
  35. Laub, J.A. Assessing the Servant Organization: Development of the Servant Organizational Leadership Assessment (SOLA) Instrument; Florida Atlantic University: Boca Raton, FL, USA, 1999. [Google Scholar]
  36. Ng, D.W.; Vanduinkerken, W. A Crisis in Leadership: Transforming Opportunistic Leaders into Leaders that can be Trusted. J. Manag. Gov. 2021, 25, 1267–1288. [Google Scholar] [CrossRef]
  37. DeGraaf, D.; Tilley, C.; Neal, L. Servant Leadership Characteristics in Organizational Life, 1st ed.; The Greenleaf Center for Servant Leadership: South Orange, NJ, USA, 2012. [Google Scholar]
  38. Mc Minn, T.F. The Conceptualization and Perception of Biblical Servant Leadership in the Southern Baptist Convention; Southern Baptist Theological Seminary: Louisville, KY, USA, 2001. [Google Scholar]
  39. Raj, A.; Srivastava, S.K. Sustainability performance assessment of an aircraft manufacturing firm. Benchmarking Int. J. 2018, 25, 1500–1527. [Google Scholar] [CrossRef]
  40. Kassotaki, O. Explaining ambidextrous leadership in the aerospace and defense organizations. Eur. Manag. J. 2019, 37, 552–563. [Google Scholar] [CrossRef]
  41. Tripathi, D.; Priyadarshi, P.; Kumar, P.; Kumar, S. Micro-foundations for sustainable development: Leadership and employee performance. Int. J. Organ. Anal. 2020, 28, 92–108. [Google Scholar] [CrossRef]
  42. Kourula, A.; Delalieux, G. The Micro-level Foundations and Dynamics of Political Corporate Social Responsibility: Hegemony and Passive Revolution through Civil Society. J. Bus. Ethics 2016, 135, 769–785. [Google Scholar] [CrossRef]
  43. Pistoni, A.; Songini, L.; Perrone, O. The how and why of a firm’s approach to CSR and sustainability: A case study of a large European company. J. Manag. Gov. 2016, 20, 655–685. [Google Scholar] [CrossRef]
  44. Lee, M.; Kim, H. Exploring the Organizational Culture’s Moderating Role of Effects of Corporate Social Responsibility (CSR) on Firm Performance: Focused on Corporate Contributions in Korea. Sustainability 2017, 9, 1883. [Google Scholar] [CrossRef]
  45. Verma, P.; Kumar, V. Developing leadership styles and green entrepreneurial orientation to measure organization growth: A study on Indian green organizations. J. Entrep. Emerg. Econ. 2022, 14, 1299–1324. [Google Scholar] [CrossRef]
  46. Casserley, T.; Critchley, B. A new paradigm of leadership development. Ind. Commer. Train. 2010, 42, 287–295. [Google Scholar] [CrossRef]
  47. Anholon, R.; Quelhas, O.L.G.; Filho, W.L.; Pinto, J.d.S.; Feher, A. Assessing corporate social responsibility concepts used by a Brazilian manufacturer of airplanes: A case study at Embraer. J. Clean. Prod. 2016, 135, 740–749. [Google Scholar] [CrossRef]
  48. May, G.; Stahl, B.; Taisch, M. Energy management in manufacturing: Toward eco-factories of the future—A focus group study. Appl. Energy 2016, 164, 628–638. [Google Scholar] [CrossRef]
  49. Gond, J.-P.; Igalens, J.; Swaen, V.; El Akremi, A. The Human Resources Contribution to Responsible Leadership: An Exploration of the CSR–HR Interface. J. Bus. Ethics 2012, 98, 115–132. [Google Scholar] [CrossRef]
  50. Babiak, K.; Trendafilova, S. CSR and environmental responsibility: Motives and pressures to adopt green management practices. Corp. Soc. Responsible Environ. Manag. 2011, 18, 11–24. [Google Scholar] [CrossRef]
  51. García Martín, R.; Duran-Heras, A.; Reina Sánchez, K. Analysis of the Main Corporate Social Responsibility Drivers and Barriers and Their Foreseeable Evolution—Evidence from Two Leading Multinationals: The Airbus and TASL Cases. Sustainability 2022, 14, 8167. [Google Scholar] [CrossRef]
  52. Keivanpour, S.; Kadi, D.A.; Mascle, C. End of life aircrafts recovery and green supply chain (a conceptual framework for addressing opportunities and challenges). Manag. Res. Rev. 2015, 38, 1098–1124. [Google Scholar] [CrossRef]
  53. Gudmundsson, S.V. European Air Transport Regulation: Achievements and Future Challenges. Adv. Airl. Econ. 2019, 8, 9–56. [Google Scholar] [CrossRef]
  54. Avolio, B.J.; Bass, B.M.; Jung, D.I. Re-examining the components of transformational and transactional leadership using the Multifactor Leadership. J. Occup. Organ. Psychol. 1999, 72, 441–462. [Google Scholar] [CrossRef]
  55. Karaman, A.S.; Kilic, M.; Uyar, A. Sustainability reporting in the aviation industry: Worldwide evidence. Sustain. Account. Manag. Policy J. 2018, 9, 362–391. [Google Scholar] [CrossRef]
  56. Ghanbarpour, T.; Gustafsson, A. How do corporate social responsibility (CSR) and innovativeness increase financial gains? A customer perspective analysis. J. Bus. Res. 2022, 140, 471–481. [Google Scholar] [CrossRef]
  57. Børing, P. The relationship between firm productivity, firm size and CSR objectives for innovations. Eurasian Bus. Rev. 2019, 9, 269–297. [Google Scholar] [CrossRef]
  58. Gadeikiene, A.; Banyte, J.; Kasiuliene, I. The Development of Long-Term Relationships With Green Consumers in the Context of Sustainability Trends in Lithuanian Textile Market. Eurasian Bus. Rev. 2012, 2, 71–95. [Google Scholar] [CrossRef]
  59. Patrisia, D.; Dastgir, S. Diversification and corporate social performance in manufacturing companies. Eurasian Bus. Rev. 2017, 7, 121–139. [Google Scholar] [CrossRef]
  60. Pless, N.M.; Maak, T. Responsible Leadership: Pathways to the Future. J. Bus. Ethics 2011, 98, 3–13. [Google Scholar] [CrossRef]
  61. Maak, T.; Pless, N.M. Responsible Leadership in a Stakeholder Society—A Relational Perspective. J. Bus. Ethics 2006, 66, 99–115. [Google Scholar] [CrossRef]
Figure 1. Theoretical and field research methodological process.
Figure 1. Theoretical and field research methodological process.
Sustainability 15 14047 g001
Figure 2. Boxplot of L1 transactional leadership dimensions at Airbus.
Figure 2. Boxplot of L1 transactional leadership dimensions at Airbus.
Sustainability 15 14047 g002
Figure 3. Boxplot of L2 transformational leadership dimensions at Airbus.
Figure 3. Boxplot of L2 transformational leadership dimensions at Airbus.
Sustainability 15 14047 g003
Figure 4. Boxplot of L3 servant leadership dimensions at Airbus.
Figure 4. Boxplot of L3 servant leadership dimensions at Airbus.
Sustainability 15 14047 g004
Figure 5. Boxplot of L1 transactional leadership dimensions at TASL.
Figure 5. Boxplot of L1 transactional leadership dimensions at TASL.
Sustainability 15 14047 g005
Figure 6. Boxplot of L2 transformational leadership dimensions at TASL.
Figure 6. Boxplot of L2 transformational leadership dimensions at TASL.
Sustainability 15 14047 g006
Figure 7. Boxplot of L3 servant leadership dimensions at TASL.
Figure 7. Boxplot of L3 servant leadership dimensions at TASL.
Sustainability 15 14047 g007
Figure 8. Leadership model.
Figure 8. Leadership model.
Sustainability 15 14047 g008
Figure 9. Leadership style for CSR.
Figure 9. Leadership style for CSR.
Sustainability 15 14047 g009
Figure 10. Leadership style for general outcomes.
Figure 10. Leadership style for general outcomes.
Sustainability 15 14047 g010
Figure 11. Boxplot of leadership styles perceived at Airbus and TASL.
Figure 11. Boxplot of leadership styles perceived at Airbus and TASL.
Sustainability 15 14047 g011
Table 1. Statistical results of median values of the styles of leadership applied in Airbus and TASL.
Table 1. Statistical results of median values of the styles of leadership applied in Airbus and TASL.
Leadership Style Measured by the Variables Set out in Appendix A, Part IIAirbus Survey Median ValuesTASL Survey Median Values
Transactional leadership in the firm34
Transformational leadership in the firm34
Servant Leadership in the firm34
Table 2. Statistical results for median values regarding which influence each leadership style exerts on companies’ CSR practices and organizational general outcomes.
Table 2. Statistical results for median values regarding which influence each leadership style exerts on companies’ CSR practices and organizational general outcomes.
Influence Measured by the Variables Set Out in Appendix A, Part IIAirbus Survey Median ValuesTASL Survey Median Values
Influence of transactional leadership on corporate social responsibility34
Influence of transactional leadership on organizational outcomes34
Influence of transformational leadership on corporate social responsibility34
Influence of transformational leadership on organizational outcomes44
Influence of servant leadership on
corporate social responsibility
44
Influence of servant leadership on organizational outcomes44
Table 3. Wilcoxon test for leadership styles at Airbus and TASL.
Table 3. Wilcoxon test for leadership styles at Airbus and TASL.
Transactional Variables (L1)p-ValueTransformational Variables (L2)p-ValueServant Variables (L3)p-Value
L1_10.09L2_10.09L3_1≦0.05
L1_2≦0.05L2_2≦0.05L3_2≦0.05
L1_3≦0.05L2_30.06L3_3≦0.05
L1_4≦0.05L2_4≦0.05L3_4≦0.05
L1_50.21L2_5≦0.05L3_5≦0.05
L1_6≦0.05L2_6≦0.05L3_6≦0.05
L1_70.10L2_7≦0.05L3_70.28
L1_80.06L2_8≦0.05L3_8≦0.05
L2_9≦0.05L3_9≦0.05
L2_10≦0.05L3_10≦0.05
L2_11≦0.05L3_11≦0.05
L2_12≦0.05L3_12≦0.05
L2_13≦0.05L3_13≦0.05
L2_14≦0.05L3_14≦0.05
L2_15≦0.05L3_15≦0.05
L2_160.27L3_16≦0.05
L3_17≦0.05
Disclaimer/Publisher’s Note: The statements, opinions and data contained in all publications are solely those of the individual author(s) and contributor(s) and not of MDPI and/or the editor(s). MDPI and/or the editor(s) disclaim responsibility for any injury to people or property resulting from any ideas, methods, instructions or products referred to in the content.

Share and Cite

MDPI and ACS Style

García Martín, R.; Duran-Heras, A.; Reina Sánchez, K. Influence of Leadership Styles on Sustainable Development for Social Reconstruction: Current Outcomes and Advisable Reorientation for Two Aerospace Multinationals—Airbus and TASL. Sustainability 2023, 15, 14047. https://doi.org/10.3390/su151914047

AMA Style

García Martín R, Duran-Heras A, Reina Sánchez K. Influence of Leadership Styles on Sustainable Development for Social Reconstruction: Current Outcomes and Advisable Reorientation for Two Aerospace Multinationals—Airbus and TASL. Sustainability. 2023; 15(19):14047. https://doi.org/10.3390/su151914047

Chicago/Turabian Style

García Martín, Rafael, Alfonso Duran-Heras, and Karen Reina Sánchez. 2023. "Influence of Leadership Styles on Sustainable Development for Social Reconstruction: Current Outcomes and Advisable Reorientation for Two Aerospace Multinationals—Airbus and TASL" Sustainability 15, no. 19: 14047. https://doi.org/10.3390/su151914047

APA Style

García Martín, R., Duran-Heras, A., & Reina Sánchez, K. (2023). Influence of Leadership Styles on Sustainable Development for Social Reconstruction: Current Outcomes and Advisable Reorientation for Two Aerospace Multinationals—Airbus and TASL. Sustainability, 15(19), 14047. https://doi.org/10.3390/su151914047

Note that from the first issue of 2016, this journal uses article numbers instead of page numbers. See further details here.

Article Metrics

Back to TopTop