Evaluation of Restoration Effect of Submerged Plant Community in Urban Rivers Replenished by Reclaimed Water
Abstract
:1. Introduction
2. Materials and Methods
2.1. Study Area and Data Sources
2.2. Comprehensive Evaluation of River Water Ecological Environment Quality
- Xi—the evaluation index score;
- Wi—the weight of the evaluation index.
2.3. Statistical Analysis
3. Results and Discussion
3.1. Analysis of Submerged Plant Community Characteristics
3.2. Comprehensive Evaluation of River Water Eco-Environmental Quality
3.3. Comparative Evaluation of the Restoration Effect of Submerged Plant Communities
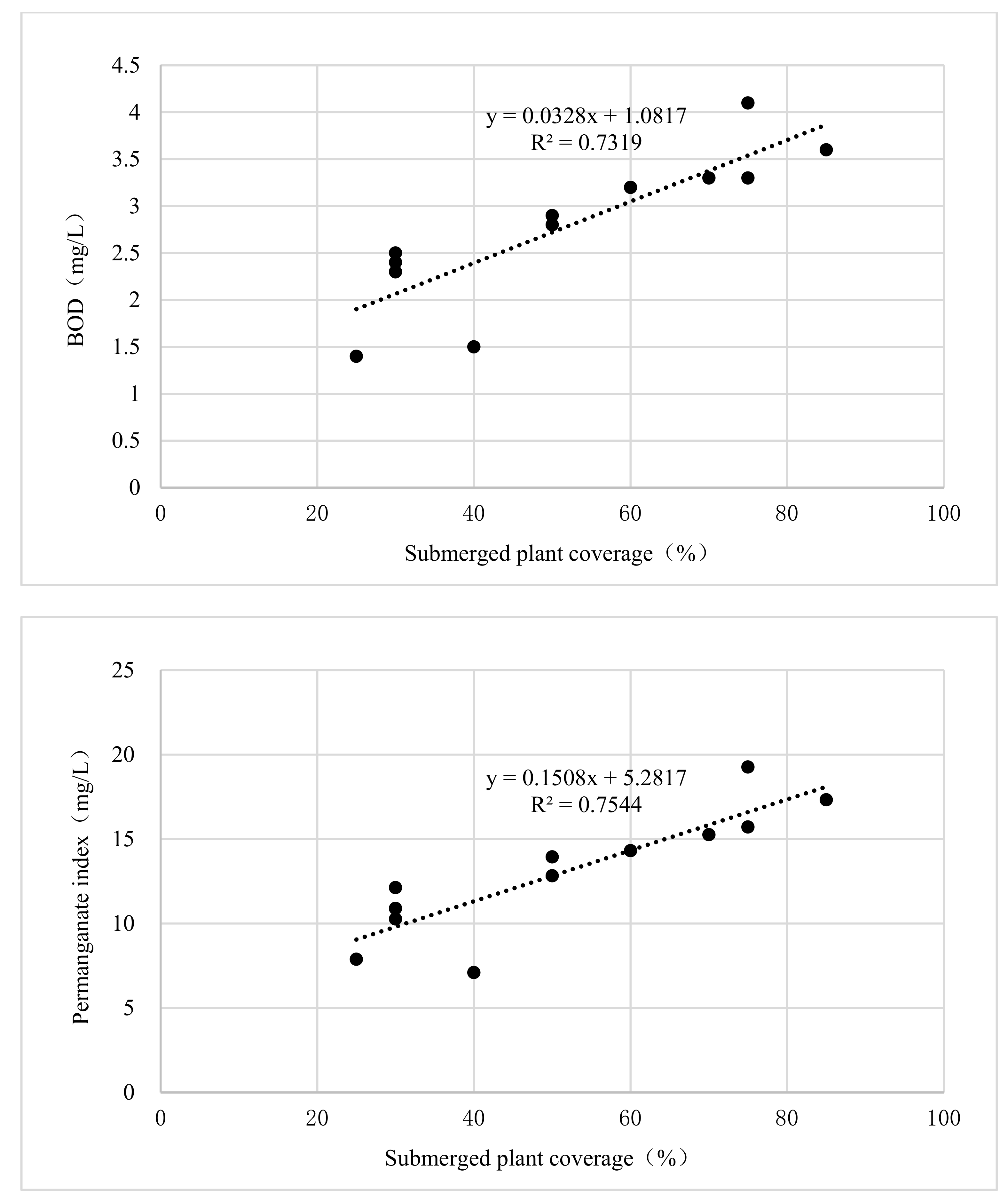
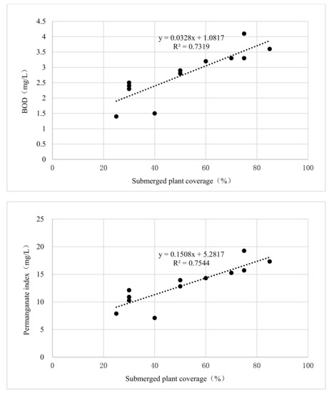
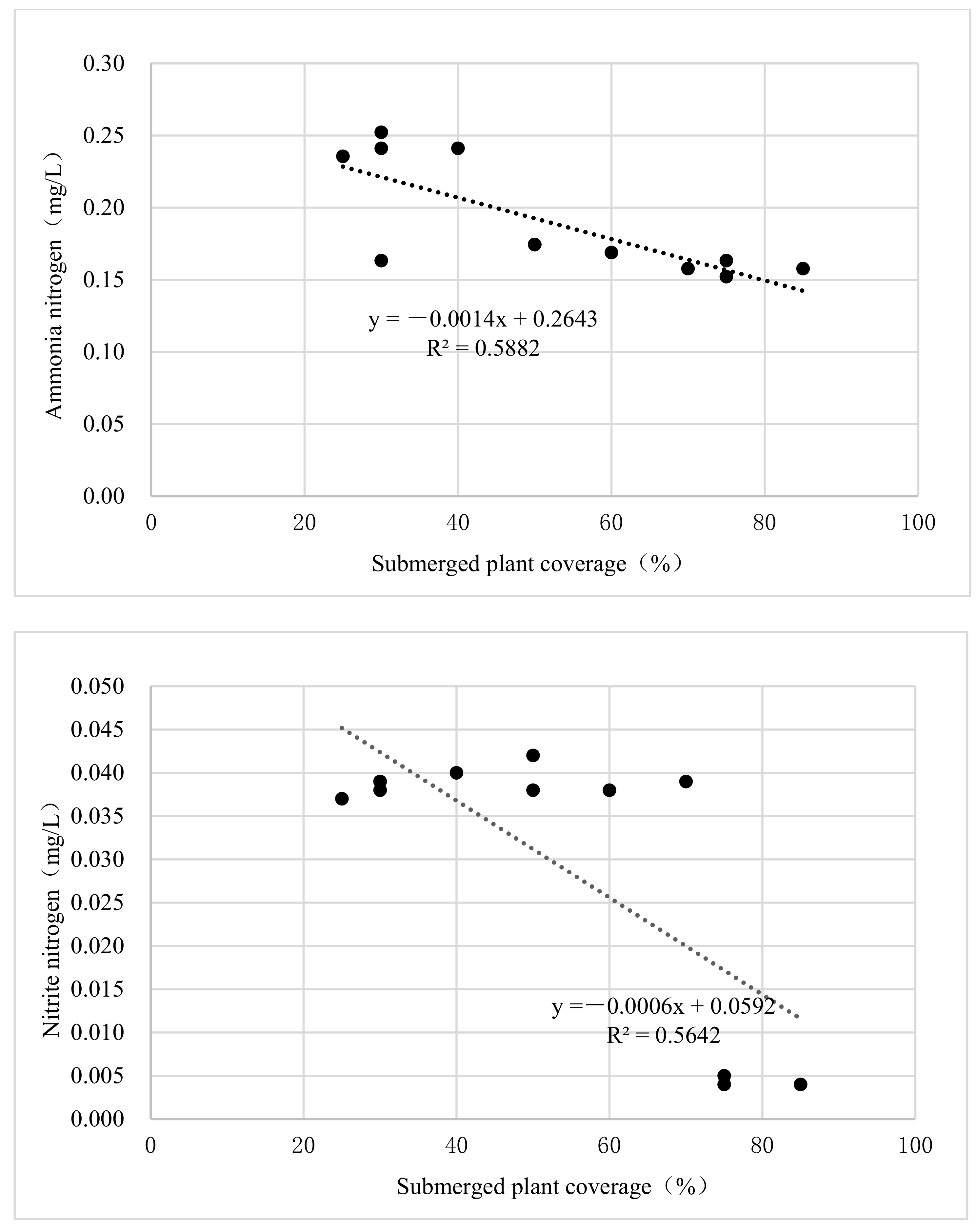
3.4. Analysis of Influencing Factors of Submerged Plant Growth
4. Conclusions
Author Contributions
Funding
Institutional Review Board Statement
Informed Consent Statement
Data Availability Statement
Conflicts of Interest
References
- Karr, J.R.; Chu, E.W. Sustaining living rivers. Hydrobiologia 2000, 422, 1–14. [Google Scholar] [CrossRef]
- Yang, L.R.; Chen, L.D.; Sun, R.H. River ecosystems and their self-purification capability: Research status and challenges. Acta Ecol. Sin. 2009, 29, 5066–5075. [Google Scholar]
- Angela, J.D.; Angela, M.G.; Patrick, D.A. Habitat survey and classification of urban rivers. River Res. Appl. 2004, 20, 687–704. [Google Scholar]
- Ma, K.M.; Kong, H.M.; Guan, W.B.; Fu, B.J. Ecosystem health assessment: Methods and directions. Acta Ecol. Sin. 2001, 21, 2106–2114. [Google Scholar]
- Chovanec, A.; Schiemer, F.; Waidbacher, H.; Spolwind, R. Rehabilitation of a heavily modified river section of the Danube in Vienna (Austria): Biological assessment of landscape linkages on different scales. Int. Rev. Hydrobiol. 2002, 87, 183–195. [Google Scholar] [CrossRef]
- Poudevigne, I.; Alard, D.; Leuven, R.S.E.W.; Nienhuis, P.H. A systems approach to river restoration: A case study in the lower seine valley, France. River Res. Appl. 2002, 18, 239–247. [Google Scholar] [CrossRef]
- Zhao, Y.W.; Yang, Z.F. Brief discussion on ecosystem restoration of urban river. Bull. Soil Water Conserv. 2006, 26, 89–93. [Google Scholar]
- Chen, X.R. Progress of river restoration research at home and abroad. J. Hydroecol. 2011, 32, 122–128. [Google Scholar]
- Gore, J.A.; Shields, F.D. Can large rivers be restored? BioScience 1995, 45, 142–152. [Google Scholar] [CrossRef]
- Nienhuis, P.H.; Leuven, R.S.E.W. River restoration and flood protection: Controversy or synergism? Hydrobiologia 2001, 444, 85–99. [Google Scholar] [CrossRef]
- Wang, W.; Li, C.Q. River corridors and ecological restoration. Water Resour. Hydropower Eng. 2003, 34, 56–59. [Google Scholar]
- Yang, J.P.; Wang, T.L.; Fang, H.M.; Su, Z.L. Research progress of river ecological restoration. Res. Soil Water Conserv. 2012, 19, 209–304. [Google Scholar]
- Liu, K. Ecological and Environmental Effects of Reclaimed Water Replenishment from Typical Rivers and Lakes in Beijing; Capital Normal University: Beijing, China, 2012. [Google Scholar]
- Xie, Y. Study on Field Experiment and Mechanism of Eutrophic Landscape Water Restoration Using Plants; Xi’an University of Architecture and Technology: Xi’an, China, 2011. [Google Scholar]
- Wang, H.; Pang, Y.; Liu, S.B.; Ma, X. Research progress on influencing of environmental factors on the growth of submersed macrophytes. Acta Ecol. Sin. 2008, 28, 3958–3968. [Google Scholar]
- Shen, Y.S.; Zhang, Y.X.; Zhang, C.Y.; Liu, Z.N.; Zhang, M. Experimental study of the effects of 5 species of plant-mattress system on eutrophic water remediation. Environ. Prot. Sci. 2017, 43, 71–76. [Google Scholar]
- Guo, Y.Q.; Xue, J.H.; Wu, Y.B.; Zhou, Z.D.; Hua, J.F. Research progress on purification effects and restoration technologies of submerged macrophytes on eutrophic water. J. Plant Resour. Environ. 2020, 29, 58–68. [Google Scholar]
- Gao, J.Q.; Xiong, Z.T.; Zhang, W.H.; Deng, X.W.; Shang, L.Y.; Fu, C.Y. Removal efficiency of phosphorus in hypertrophic lake Donghu water by common submerged macrophytes. Resour. Environ. Yangtze Basin 2007, 16, 796–800. [Google Scholar]
- Huang, X.L.; Guo, Y.M.; Wan, B.; Hu, H.J.; Tong, L.; Li, X.P. Effect of submerged macrophytes restoration on the ecological environment of urban eutrophic lake. Environ. Eng. 2018, 36, 17–21. [Google Scholar]
- Han, B.; Zhang, S.H.; Wang, P.F.; Wang, C. Effects of water flow on submerged macrophyte-biofilm systems in constructed wetlands. Sci. Rep. 2018, 8, 2650. [Google Scholar] [CrossRef]
- Li, H.M.; Li, Q.; Luo, X.; Fu, J.; Zhang, J. Responses of the submerged macrophyte Vallisneria natans to a water depth gradient. Sci. Total Environ. 2020, 701, 134944. [Google Scholar] [CrossRef]
- Zuo, J.C.; He, F.; Chen, S.P.; Wu, J.; Wu, Z.B. Stresses of eutrophic lake sediment on submerged macrophytes I. Effects of acetic acid on germination and bud growth of Elodea nuttallii and Potamogeton crispus. J. Wuhan Bot. Res. 2006, 24, 424–428. [Google Scholar]
- Ni, L.Y. Stress of fertile sediment on the growth of submersed macrophytes in Eutrophic waters. Acta Hydrobiol. Sin. 2001, 25, 399–405. [Google Scholar]
- Nelson, E.A.; Dulohery, N.C.; Kolka, R.K.; McKee, W.H. Operational restoration of the Pen Branch bottomland hardwood and swamp wetlands—The research setting. Ecol. Eng. 2000, 15 (Suppl. 1), S23–S33. [Google Scholar] [CrossRef]
- Simons, J.H.E.J.; Bakker, C.; Schropp, M.H.I.; Jans, L.H.; Kok, F.R.; Grift, R.E. Man-made secondary channels along the river Rhine (The Netherlands); results of post-project monitoring. Regul. Rivers Res. Manag. 2001, 17, 473–491. [Google Scholar] [CrossRef]
- Ormerod, S.J. A golden age of river restoration science? Aquat. Conserv. Mar. Freshwater Ecosyst. 2004, 14, 543–549. [Google Scholar] [CrossRef]
- Mccormick, A.; Fisher, K.; Brierley, G. Quantitative assessment of the relationships among ecological, morphological and aesthetic values in a river rehabilitation initiative. J. Environ. Manag. 2015, 153, 60–67. [Google Scholar] [CrossRef] [PubMed]
- Saha, D.; Das, D.; Dasgupta, R.; Patel, P.P. Application of ecological and aesthetic parameters of riparian quality assessment of a small tropical river in eastern India. Ecol. Indic. 2020, 117, 106627. [Google Scholar] [CrossRef]
- Schiemer, F.; Baumgartner, C.; Tockner, K. Restoration of floodplain rivers: The ‘Danube restoration project’. Regul. Rivers Res. Manag. 1999, 15, 231–244. [Google Scholar] [CrossRef]
- Caruso, B.S. Effectiveness of braided, gravel-bed river restoration in the upper Waitaki Basin, New Zealand. River Res. Appl. 2006, 22, 905–922. [Google Scholar] [CrossRef]
- Liu, P.B.; Shen, L.X.; Liu, J.G.; Gao, X.W.; Wang, G.Q. Ecological restoration effect evaluation of Yongding River (Beijing Section) based on ecological service value. Water Resour. Hydropower Eng. 2016, 47, 9–13. [Google Scholar]
- Liu, X.Y. Ecological Landscape Management Model and Effect Evaluation of Mencheng Lake in Yongding River; Tsinghua University: Beijing, China, 2017. [Google Scholar]
- Yang, W.; Pei, J.; Li, X.X.; Sun, T.; Wang, W.Y. Effect evaluation and management strategies for freshwater restoration projects in Yellow River Delta wetlands. J. Beijing Norm. Univ. 2018, 54, 98–103. [Google Scholar]
- GB 3838-2002; Environmental Quality Standards for Surface Water. Standardization Administration of China: Beijing, China, 2020.
- Liu, L.; Guan, Y.T.; Qin, T.J.; Wang, Y.Y.; Li, H.L.; Zhi, Y.B. Effects of water regime on the growth of the submerged macrophyte Ceratophyllum demersum at different densities. J. Freshwater Ecol. 2018, 33, 45–56. [Google Scholar] [CrossRef]
- Shen, Y.L.; Wang, M.J.; Li, Y.; Zhang, W.J.; Fei, Z.M.; Luo, L.; Huang, Y. Research on purification efficiency of polluted water remediation by submerged macrophytes. J. Univ. Sci. Technol. Suzhou 2005, 18, 1–4. [Google Scholar]
- Zhong, Q.R.; Yu, F.Y. Study on water quality improvement by ecological restoration of Tianmei River in Guangzhou. Guangdong Water Res. Hydropower 2012, 7, 31–34. [Google Scholar]
- Irfanullah, H.M.; Moss, B. Factors influencing the return of submerged plants to a clear-water, shallow temperate lake. Aquat. Bot. 2004, 80, 177–191. [Google Scholar] [CrossRef]







| Water Eco-Environmental Quality Condition | Excellent | Good | Average | Poor | Very Poor |
|---|---|---|---|---|---|
| Comprehensive index (WEQIriver) | WEQI ≥ 4 | 4 ≥ WEQI > 3 | 3 ≥ WEQI > 2 | 2 ≥ WEQI > 1 | WEQI ≤ 1 |
| Class | Order | Family | Genus | Species | Sample Point | ||
|---|---|---|---|---|---|---|---|
| Liangshui River | Dalong River | Yongding River (Comparison) | |||||
| Monocotyledons | Najadales | Najadaceae | Najas | Chara globularis | +(Breeding period) | ||
| Najas marina | +(3, 4) | ||||||
| Potamogetonaceae | Potamogeton | Potamogeton pectinatus | +(3, 4) | +(3, 4) | |||
| Potamogeton perfoliatus | +(3, 4) | ||||||
| Potamogeton lucens | +(3, 4) | ||||||
| Cyperales | Cyperaceae | Scirpus | Hydrilla verticillata | +(3, 4) | +(1, 3, 4) | +(3, 4) | |
| Green algae | Chlorococcales | Cladophoraceae | Cladophora | Cladophora oligoclona | +(1) | +(1) | |
| Dicotyledons | Ranunculales | Ceratophyllaceae | Ceratophyllum | Hornwort | +(1) | +(1) | |
| Haloragidaceae | Haloragidaceae | Myriophyllum | Myriophyllum verticillatum | +(1, 4) | |||
| River | Plant Species | Number of Plants (Plants/m2) | Biomass (g/m2) | Importance Value (%) |
|---|---|---|---|---|
| Liangshui River | Cladophora oligoclona | 16.7 | 0.7 | 10.1 |
| Hydrilla verticillata | 26.7 | 21.7 | 13.0 | |
| Myriophyllum verticillatum | 36.7 | 35.3 | 33.0 | |
| Hornwort | 20.0 | 33.0 | 21.0 | |
| Potamogeton pectinatus | 10.0 | 48.3 | 22.9 | |
| Dalong River | Cladophora oligoclona | 22.5 | 2.3 | 13.6 |
| Potamogeton lucens | 48.8 | 77.5 | 32.3 | |
| Hydrilla verticillata | 113.8 | 92.0 | 28.4 | |
| Hornwort | 53.8 | 132.5 | 25.7 | |
| Yongding River | Potamogeton perfoliatus | 39.3 | 66.1 | 27.6 |
| Najas marina | 9.3 | 8.7 | 5.5 | |
| Hydrilla verticillata | 82.9 | 43.1 | 13.2 | |
| Potamogeton pectinatus | 87.9 | 266.0 | 33.0 | |
| Chara globularis | 131.4 | 23.0 | 20.7 |
| Name of River Segment | Ammonia Nitrogen (mg/L) | Nitrite Nitrogen (mg/L) | BOD (mg/L) | Permanganate Index (mg/L) | Total Nitrogen (Sediment, mg/kg) | Organic Carbon (Sediment, %) |
|---|---|---|---|---|---|---|
| No. 1 of Yongding River | 0.158 | 0.004 | 3.6 | 17 | 5328 | 7.559 |
| No. 2 of Yongding River | 0.163 | 0.005 | 3.3 | 16 | 4913 | 8.502 |
| No. 3 of Yongding River | 0.152 | 0.004 | 4.1 | 19 | 4662 | 7.903 |
| No. 1 of Liangshui River | 0.169 | 0.038 | 3.2 | 14 | 1953 | 1.515 |
| No. 2 of Liangshui River | 0.174 | 0.042 | 2.9 | 14 | 1801 | 1.321 |
| No. 3 of Liangshui River | 0.163 | 0.038 | 2.5 | 12 | 2029 | 1.914 |
| No. 4 of Liangshui River | 0.158 | 0.039 | 3.3 | 15 | 1675 | 2.070 |
| No. 5 of Liangshui River | 0.174 | 0.038 | 2.8 | 13 | 1986 | 1.775 |
| No. 1 of Dalong River | 0.241 | 0.040 | 1.5 | 7 | 1447 | 3.514 |
| No. 2 of Dalong River | 0.252 | 0.039 | 2.3 | 10 | 1695 | 3.725 |
| No. 3 of Dalong River | 0.236 | 0.037 | 1.4 | 8 | 1728 | 4.001 |
| No. 4 of Dalong River | 0.241 | 0.039 | 2.4 | 11 | 1298 | 3.648 |
| Name of River Segment | Shannon–Wiener Diversity Index | BMWP | Habitat Score | WEQIriver | Grade |
|---|---|---|---|---|---|
| No. 1 of Yongding River | 0.626 | 51 | 178 | 3.4 | Good |
| No. 2 of Yongding River | 0.663 | 71 | 172 | 3.4 | Good |
| No. 3 of Yongding River | 0.425 | 22 | 170 | 3 | Average |
| No. 1 of Liangshui River | 0.257 | 23 | 140 | 2.8 | Average |
| No. 2 of Liangshui River | 0.175 | 13 | 119 | 2.6 | Average |
| No. 3 of Liangshui River | 0.533 | 13 | 116 | 2.6 | Average |
| No. 4 of Liangshui River | 0.416 | 17 | 171 | 3 | Average |
| No. 5 of Liangshui River | 0.230 | 7 | 165 | 2.6 | Average |
| No. 1 of Dalong River | 0.356 | 12 | 112 | 2.6 | Average |
| No. 2 of Dalong River | 0.081 | 1 | 104 | 2.2 | Average |
| No. 3 of Dalong River | 0.000 | 0 | 67 | 2 | Poor |
| No. 4 of Dalong River | 0.273 | 5 | 75 | 2 | Poor |
| Environmental Factors | Correlation Coefficient (r) (95% Confidence Level) | Mean | Standard Deviation |
|---|---|---|---|
| pH | 0.025 | 7.44 | 0.28 |
| Electrical conductivity (µs/cm) | −0.105 | 1019.17 | 134.75 |
| Redox potential (Mv) | −0.131 | 848.88 | 28.05 |
| Dissolved oxygen (mg/L) | −0.43 | 4.97 | 0.21 |
| Transparency (m) | −0.073 | 0.32 | 0.26 |
| Water temperature (°C) | 0.272 | 22.13 | 1.95 |
| Water depth (m) | −0.534 | 0.41 | 0.24 |
| Flow velocity (m/s) | 0.182 | 0.38 | 0.22 |
| Total dissolved phosphorus (mg/L) | −0.049 | 0.02 | 0.02 |
| Total phosphorus (mg/L) | 0.118 | 0.03 | 0.02 |
| Nitrate nitrogen (mg/L) | −0.228 | 6.89 | 4.73 |
| Total dissolved nitrogen (mg/L) | −0.122 | 6.27 | 4.17 |
| Total nitrogen (mg/L) | −0.122 | 9.18 | 5.28 |
| Ammonia nitrogen (mg/L) | −0.767 | 0.19 | 0.04 |
| Nitrite nitrogen (mg/L) | −0.751 | 0.03 | 0.02 |
| Particulate nitrogen (mg/L) | −0.103 | 2.91 | 1.31 |
| Particulate phosphorus (mg/L) | 0.345 | 0.01 | 0.01 |
| Petroleum (mg/L) | 0.363 | 0.13 | 0.02 |
| BOD (mg/L) | 0.855 | 2.78 | 0.81 |
| Permanganate index (mg/L) | 0.869 | 13.07 | 3.65 |
| Arsenic (µg/L) | −0.229 | 0.04 | 0.05 |
| Lead (mg/L) | −0.334 | 0.05 | 0.07 |
| Cadmium (mg/L) | −0.121 | 0.05 | 0.00 |
| Mercury (mg/L) | −0.133 | 0.07 | 0.06 |
| Total phosphorus (sediment, mg/kg) | −0.488 | 1495.24 | 322.77 |
| Total nitrogen (sediment, mg/kg) | 0.786 | 2543.03 | 1483.88 |
| Cadmium (sediment, mg/kg) | 0.244 | 0.96 | 0.44 |
| Lead (sediment, mg/kg) | −0.493 | 39.57 | 8.29 |
| Arsenic (sediment, mg/kg) | −0.602 | 27.69 | 7.69 |
| Mercury (sediment, mg/kg) | −0.07 | 0.78 | 1.16 |
| Organic carbon (sediment, %) | 0.548 | 3.95 | 2.61 |
| Particle size (sediment, mm) | −0.404 | 89.62 | 1.25 |
Disclaimer/Publisher’s Note: The statements, opinions and data contained in all publications are solely those of the individual author(s) and contributor(s) and not of MDPI and/or the editor(s). MDPI and/or the editor(s) disclaim responsibility for any injury to people or property resulting from any ideas, methods, instructions or products referred to in the content. |
© 2023 by the authors. Licensee MDPI, Basel, Switzerland. This article is an open access article distributed under the terms and conditions of the Creative Commons Attribution (CC BY) license (https://creativecommons.org/licenses/by/4.0/).
Share and Cite
Xu, F.; Wang, X.; Wang, Y.; Sun, C.; Dong, J.; Li, Y. Evaluation of Restoration Effect of Submerged Plant Community in Urban Rivers Replenished by Reclaimed Water. Sustainability 2023, 15, 13861. https://doi.org/10.3390/su151813861
Xu F, Wang X, Wang Y, Sun C, Dong J, Li Y. Evaluation of Restoration Effect of Submerged Plant Community in Urban Rivers Replenished by Reclaimed Water. Sustainability. 2023; 15(18):13861. https://doi.org/10.3390/su151813861
Chicago/Turabian StyleXu, Fei, Xu Wang, Yonggang Wang, Changhong Sun, Jing Dong, and Yacui Li. 2023. "Evaluation of Restoration Effect of Submerged Plant Community in Urban Rivers Replenished by Reclaimed Water" Sustainability 15, no. 18: 13861. https://doi.org/10.3390/su151813861
APA StyleXu, F., Wang, X., Wang, Y., Sun, C., Dong, J., & Li, Y. (2023). Evaluation of Restoration Effect of Submerged Plant Community in Urban Rivers Replenished by Reclaimed Water. Sustainability, 15(18), 13861. https://doi.org/10.3390/su151813861
