Controller Design for Optimizing Fuel Consumption of Truck Platoon on Hilly Roads
Abstract
:1. Introduction
2. Preparation
2.1. Longitudinal Dynamics Modeling
2.2. Notations
2.3. Definitions and Control Objectives
3. Controller Design
3.1. Generation of Optimal Speed Profile
3.2. Feedback Controller Design
3.3. DPMC Based Feedforward Controller Design
3.4. Integration of Controllers with Tube Methods
3.5. Triggering Mechanism and Stability Analysis
4. Simulation and Results Discussion
4.1. Simulation Settings
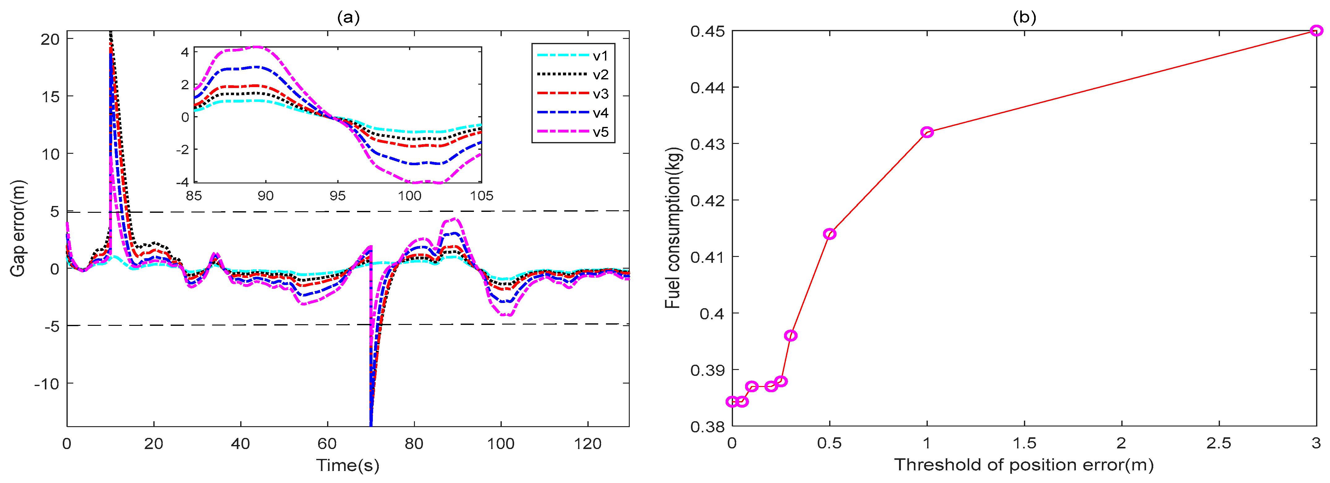
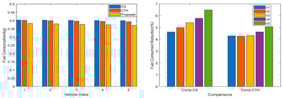
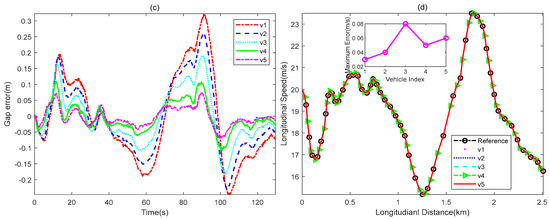
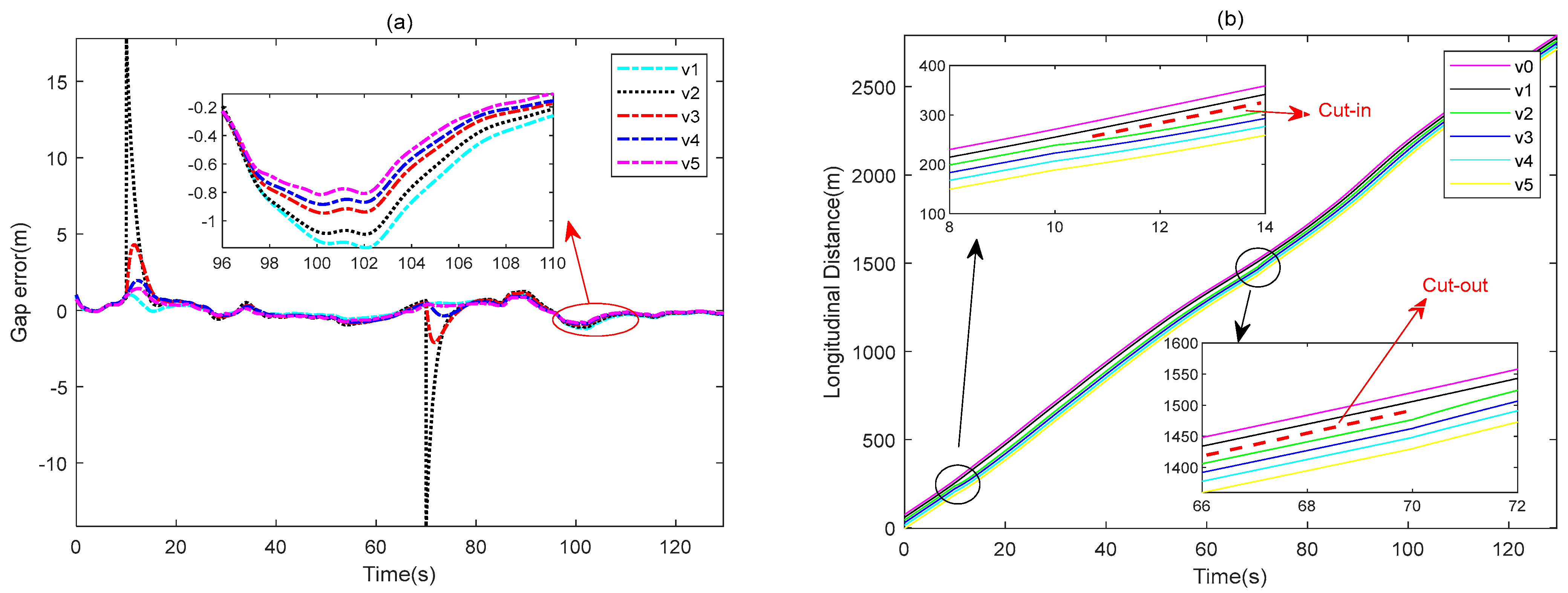
4.2. Simulation Results and Discussion
5. Conclusions
Author Contributions
Funding
Data Availability Statement
Conflicts of Interest
Appendix A
| Parameters/ Variables | Explanation | Parameters/ Variables | Explanation |
|---|---|---|---|
| Vehicle mass | Longitudinal acceleration | ||
| Engine torque | wheel effective radius | ||
| Vehicle characteristic area | Air drag coefficient | ||
| Slope angle | Rolling resistance | ||
| Longitudinal position, velocity and acceleration of vehicle | Time constant of the driving system | ||
| Control input | Number of vehicles | ||
| Node set in the platoon | State of vehicle in actual system | ||
| Threshold of triggering mechanism | State of vehicle in nominal system | ||
| Errors of position and velocity | State disturbance | ||
| Uncertainty term of vehicle | Sampling time interval | ||
| Gap between vehicle | Length of vehicle | ||
| Space interval length in DP | Number of intervals in DP | ||
| Refresh frequency | Braking force | ||
| Resistance force | Spatial position at time | ||
| Speed of vehicle in spatial domain | Spatial reference speed profile | ||
| State for feedback controller | Feedback gain in LQR | ||
| Assumed state trajectory | Number of predictive steps | ||
| RPI set for vehicle | Constraints for control input | ||
| State constraints for the nominal system | Minimal RPI set for vehicle | ||
| String stability constraint for nominal state | Terminal constraint for nominal state | ||
| Terminal constraint for nominal control input | Bounded disturbance set | ||
| Discretization time interval of DMPC | Desired gap between vehicle |
References
- Chen, Y.; Chen, S.; Ren, H.; Gao, Z.; Liu, Z. Path tracking and handling stability control strategy with collision avoidance for the autonomous vehicle under extreme conditions. IEEE Trans. Veh. Technol. 2020, 69, 14602–14617. [Google Scholar] [CrossRef]
- Feng, J.; Chen, S.; Qi, Z. Coordinated chassis control of 4WD vehicles utilizing differential braking, traction distribution and active front steering. IEEE Access 2020, 8, 81055–81068. [Google Scholar] [CrossRef]
- Ren, H.; Chen, S.; Yang, L.; Zhao, Y. Optimal path planning and speed control integration strategy for UGVs in static and dynamic environments. IEEE Trans. Veh. Technol. 2020, 69, 10619–10629. [Google Scholar] [CrossRef]
- Xia, X.; Hashemi, E.; Xiong, L.; Khajepour, A. Autonomous vehicle kinematics and dynamics synthesis for sideslip angle estimation based on consensus kalman filter. IEEE Trans. Control Syst. Technol. 2022, 31, 179–192. [Google Scholar] [CrossRef]
- Guo, H.Y.; Liu, J.; Dai, Q.K.; Chen, H.; Wang, Y.L.; Zhao, W.H. A Distributed Adaptive Triple-Step Nonlinear Control for a Connected Automated Vehicle Platoon With Dynamic Uncertainty. IEEE Internet Things 2020, 7, 3861–3871. [Google Scholar] [CrossRef]
- Xiao, S.; Ge, X.; Han, Q.L.; Zhang, Y. Dynamic Event-Triggered Platooning Control of Automated Vehicles Under Random Communication Topologies and Various Spacing Policies. IEEE Trans. Cybern. 2022, 52, 11477–11490. [Google Scholar] [CrossRef] [PubMed]
- Feng, J.; He, L.; Wang, Y.; Yang, J.; Ren, H. Backstepping method based controller design for third-order truck platoon robust to dynamic uncertainty and external disturbance. J. Mech. Sci. Technol. 2023, 37, 1433–1442. [Google Scholar] [CrossRef]
- Liu, Y.; Yao, D.; Wang, L.; Lu, S. Distributed Adaptive Fixed-Time Robust Platoon Control for Fully Heterogeneous Vehicles. IEEE Trans. Syst. Man Cybern. Syst. 2023, 53, 264–274. [Google Scholar] [CrossRef]
- Wang, J.; Li, X.; Park, J.H.; Guo, G. Distributed MPC-Based String Stable Platoon Control of Networked Vehicle Systems. IEEE Trans. Intell. Transp. 2023, 24, 3078–3090. [Google Scholar] [CrossRef]
- Liu, W.; Quijano, K.; Crawford, M.M. YOLOv5-Tassel: Detecting tassels in RGB UAV imagery with improved YOLOv5 based on transfer learning. IEEE J. Sel. Top. Appl. Earth Obs. Remote Sens. 2022, 15, 8085–8094. [Google Scholar] [CrossRef]
- Xia, X.; Bhatt, N.P.; Khajepour, A.; Hashemi, E. Integrated Inertial-LiDAR-Based Map Matching Localization for Varying Environments. IEEE Trans. Intell. Veh. 2023, 1–12. [Google Scholar] [CrossRef]
- Yamazaki, H.; Okamoto, K. Fuel saving by trucks in single-file platooning on the expressway. JARI Res. J. 2010, 32, 139–143. [Google Scholar]
- Alam, A.; Besselink, B.; Turri, V.; Mårtensson, J.; Johansson, K.H. Heavy-duty vehicle platooning for sustainable freight transportation: A cooperative method to enhance safety and efficiency. IEEE Control Syst. Mag. 2015, 35, 34–56. [Google Scholar]
- Kaluva, S.T.; Pathak, A.; Ongel, A. Aerodynamic Drag Analysis of Autonomous Electric Vehicle Platoons. Energies 2020, 13, 4028. [Google Scholar] [CrossRef]
- Luo, Q.; Li, J.; Zhang, H. Drag coefficient modeling of heterogeneous connected platooning vehicles via BP neural network and PSO algorithm. Neurocomputing 2022, 484, 117–127. [Google Scholar] [CrossRef]
- Zhang, S.; Luo, Y.; Wang, J.; Wang, X.; Li, K. Predictive energy management strategy for fully electric vehicles based on preceding vehicle movement. IEEE Trans. Intell. Transp. 2017, 18, 3049–3060. [Google Scholar] [CrossRef]
- Yu, K.; Yang, H.; Tan, X.; Kawabe, T.; Guo, Y.; Liang, Q.; Fu, Z.; Zheng, Z. Model predictive control for hybrid electric vehicle platooning using slope information. IEEE Trans. Intell. Transp. 2016, 17, 1894–1909. [Google Scholar] [CrossRef]
- Turri, V.; Besselink, B.; Johansson, K.H. Cooperative look-ahead control for fuel-efficient and safe heavy-duty vehicle platooning. IEEE Trans. Control Syst. Technol. 2016, 25, 12–28. [Google Scholar] [CrossRef]
- Gao, F.; Hu, X.; Li, S.E.; Li, K.; Sun, Q. Distributed adaptive sliding mode control of vehicular platoon with uncertain interaction topology. IEEE Trans. Ind. Electron. 2018, 65, 6352–6361. [Google Scholar] [CrossRef]
- Guo, G.; Yue, W. Autonomous platoon control allowing range-limited sensors. IEEE Trans. Veh. Technol. 2012, 61, 2901–2912. [Google Scholar] [CrossRef]
- Xu, L.; Zhuang, W.; Yin, G.; Bian, C. Energy-oriented cruising strategy design of vehicle platoon considering communication delay and disturbance. Transp. Res. Part C Emerg. Technol. 2019, 107, 34–53. [Google Scholar] [CrossRef]
- Wang, C.; Wang, D.; Peng, Z. Distributed Output-Feedback Control of Unmanned Container Transporter Platooning With Uncertainties and Disturbances Using Event-Triggered Mechanism. IEEE Trans. Veh. Technol. 2022, 71, 162–170. [Google Scholar] [CrossRef]
- Chen, J.; Zhang, H.; Yin, G. Distributed dynamic event-triggered secure model predictive control of vehicle platoon against DoS attacks. IEEE Trans. Veh. Technol. 2022, 72, 2863–2877. [Google Scholar] [CrossRef]
- He, D.; Qiu, T.; Luo, R. Fuel efficiency-oriented platooning control of connected nonlinear vehicles: A distributed economic MPC approach. Asian J. Control 2020, 22, 1628–1638. [Google Scholar] [CrossRef]
- Hu, M.; Li, C.; Bian, Y.; Zhang, H.; Qin, Z.; Xu, B. Fuel economy-oriented vehicle platoon control using economic model predictive control. IEEE Trans. Intell. Transp. 2022, 23, 20836–20849. [Google Scholar] [CrossRef]
- You, S.-H.; Hahn, J.-O.; Lee, H. New adaptive approaches to real-time estimation of vehicle sideslip angle. Control Eng. Pract. 2009, 17, 1367–1379. [Google Scholar] [CrossRef]
- Feng, S.; Sun, H.W.; Zhang, Y.; Zheng, J.F.; Liu, H.X.; Li, L. Tube-Based Discrete Controller Design for Vehicle Platoons Subject to Disturbances and Saturation Constraints. IEEE Trans. Control Syst. Technol. 2020, 28, 1066–1073. [Google Scholar] [CrossRef]
- Luo, Q.; Nguyen, A.-T.; Fleming, J.; Zhang, H. Unknown input observer based approach for distributed tube-based model predictive control of heterogeneous vehicle platoons. IEEE Trans. Veh. Technol. 2021, 70, 2930–2944. [Google Scholar] [CrossRef]
- Bian, Y.; Du, C.; Hu, M.; Li, S.E.; Liu, H.; Li, C. Fuel economy optimization for platooning vehicle swarms via distributed economic model predictive control. IEEE Trans. Autom. Sci. Eng. 2021, 19, 2711–2723. [Google Scholar] [CrossRef]
- Bai, W.; Xu, B.; Liu, H.; Qin, Y.; Xiang, C. Robust Longitudinal Distributed Model Predictive Control of Connected and Automated Vehicles With Coupled Safety Constraints. IEEE Trans. Veh. Technol. 2022, 72, 2960–2973. [Google Scholar] [CrossRef]
- Ploeg, J.; Van De Wouw, N.; Nijmeijer, H. Lp string stability of cascaded systems: Application to vehicle platooning. IEEE Trans. Control Syst. Technol. 2013, 22, 786–793. [Google Scholar] [CrossRef]
- Mosharafian, S.; Mohammadpour Velni, J. A hybrid stochastic model predictive design approach for cooperative adaptive cruise control in connected vehicle applications. Control Eng. Pract. 2023, 130, 105383. [Google Scholar] [CrossRef]
- Torabi, S.; Wahde, M. Fuel-Efficient Driving Strategies for Heavy-Duty Vehicles: A Platooning Approach Based on Speed Profile Optimization. J. Adv. Transp. 2018, 2018 Pt 5, 4290763. [Google Scholar] [CrossRef]
- Mayne, D.Q.; Seron, M.M.; Raković, S. Robust model predictive control of constrained linear systems with bounded disturbances. Automatica 2005, 41, 219–224. [Google Scholar] [CrossRef]
- Rakovic, S.V.; Kerrigan, E.C.; Kouramas, K.I.; Mayne, D.Q. Invariant approximations of the minimal robust positively invariant set. IEEE Trans. Autom. Control 2005, 50, 406–410. [Google Scholar] [CrossRef]
- Maestre, J.M.; Negenborn, R.R. Distributed Model Predictive Control Made Easy; Springer: Berlin/Heidelberg, Germany, 2014; Volume 69. [Google Scholar]
- Mayne, D.Q.; Langson, W. Robustifying model predictive control of constrained linear systems. Electron. Lett. 2001, 37, 1422–1423. [Google Scholar] [CrossRef]
- Swaroop, D.; Hedrick, J.K. Constant spacing strategies for platooning in automated highway systems. J. Dyn. Syst. Meas. Control 1999, 121, 462–470. [Google Scholar] [CrossRef]
- Bian, Y.; Zheng, Y.; Ren, W.; Li, S.E.; Wang, J.; Li, K. Reducing time headway for platooning of connected vehicles via V2V communication. Transp. Res. Part C Emerg. Technol. 2019, 102, 87–105. [Google Scholar] [CrossRef]












| Parameters/Variables | Value | Unit |
|---|---|---|
| 4455 | ||
| 5 | ||
| 6.8 | ||
| 0.51 | ||
| - | ||
| 0.02 | - | |
| 40 | - | |
| 20 | ||
| 704.6 | ||
Disclaimer/Publisher’s Note: The statements, opinions and data contained in all publications are solely those of the individual author(s) and contributor(s) and not of MDPI and/or the editor(s). MDPI and/or the editor(s) disclaim responsibility for any injury to people or property resulting from any ideas, methods, instructions or products referred to in the content. |
© 2023 by the authors. Licensee MDPI, Basel, Switzerland. This article is an open access article distributed under the terms and conditions of the Creative Commons Attribution (CC BY) license (https://creativecommons.org/licenses/by/4.0/).
Share and Cite
Feng, J.; Chen, Y.; He, L.; Wang, Y. Controller Design for Optimizing Fuel Consumption of Truck Platoon on Hilly Roads. Sustainability 2023, 15, 13628. https://doi.org/10.3390/su151813628
Feng J, Chen Y, He L, Wang Y. Controller Design for Optimizing Fuel Consumption of Truck Platoon on Hilly Roads. Sustainability. 2023; 15(18):13628. https://doi.org/10.3390/su151813628
Chicago/Turabian StyleFeng, Jianbo, Yang Chen, Liyang He, and Yanxue Wang. 2023. "Controller Design for Optimizing Fuel Consumption of Truck Platoon on Hilly Roads" Sustainability 15, no. 18: 13628. https://doi.org/10.3390/su151813628
APA StyleFeng, J., Chen, Y., He, L., & Wang, Y. (2023). Controller Design for Optimizing Fuel Consumption of Truck Platoon on Hilly Roads. Sustainability, 15(18), 13628. https://doi.org/10.3390/su151813628

