Next Article in Journal
Pesticides, Heavy Metals and Plasticizers: Contamination and Risk Assessment of Drinking-Water Quality
Next Article in Special Issue
Blockchain Adoption in the Wine Supply Chain: A Systematic Literature Review
Previous Article in Journal
Innovation-Driven Industrial Agglomeration Impact on Green Economic Growth in the Yellow River Basin: An Empirical Analysis
Previous Article in Special Issue
Problems and Solution Methods of Machine Scheduling in Semiconductor Manufacturing Operations: A Survey
 
 
Font Type:
Arial Georgia Verdana
Font Size:
Aa Aa Aa
Line Spacing:
Column Width:
Background:
Article

Agricultural Products’ Bundled Pricing Based on Consumers’ Organic Preferences

1
Business School, Hohai University, Nanjing 210098, China
2
College of Information Management, Nanjing Agricultural University, Nanjing 210031, China
3
International Business School Suzhou, Xi’an Jiaotong-Liverpool University, Suzhou 215123, China
*
Author to whom correspondence should be addressed.
Sustainability 2023, 15(17), 13256; https://doi.org/10.3390/su151713256
Submission received: 2 June 2023 / Revised: 5 August 2023 / Accepted: 1 September 2023 / Published: 4 September 2023
(This article belongs to the Special Issue Sustainable Innovation in Logistics and Supply Chain Management)

Abstract

:
To improve the market competitiveness of agricultural e-retailers, we offer an interactive bundle pricing strategy (IBPS). Compared to existing fixed bundling strategies, IBPS takes into account the variability of customer needs and provides consumers with more and more flexible choice opportunities. As more and more consumers tend to buy more environmentally friendly and healthy organic produce, a hybrid bundle pricing model for organic and inorganic produce is developed with the goal of maximizing retailers’ profit and optimizing consumers’ surplus, taking into account consumers’ organic preferences. Meanwhile, we introduce a free shipping strategy to further stimulate consumption. Then, we propose a heuristic algorithm to solve it and derive the optimal price for various bundled packages. Through numerical analysis, we draw some conclusions and propose corresponding management insights: (1) Compared with traditional online retailing methods, IBPS can effectively stimulate consumption and increase retailers’ profits; (2) as the free shipping threshold increases, total profits show a trend of first increasing and then decreasing, indicating that an appropriate free shipping threshold can optimize retailers’ profits; (3) as consumers’ green preferences increase, the sales of organic products increase while the total profit rises, so it is suggested that retailers increase consumer green preference through appropriate advertising; (4) the higher the consumption level, the higher the total value of consumers’ word purchases, so retailers can appropriately increase the free shipping threshold at high consumption levels.

1. Introduction

Online shopping has become one of the essential shopping modes for many consumers, and it is expected that global e-commerce sales will account for 20.8% of global retail sales in 2023 [1]. In the agricultural products industry, with the improvement of the agricultural product supply chain and the increase of online retail platforms, the online sales of agricultural products have been rapidly developed. For China, agricultural e-commerce has experienced explosive growth in the past few years. In 2022, the online retail sales of agricultural e-commerce in China reached RMB 531.38 billion, a year-on-year increase of 9.2% [2]. It can be seen that agricultural product e-commerce has huge development prospects and a vast consumer market. Therefore, it is necessary to explore consumers’ online purchasing decisions for agricultural products and pricing optimization strategies for agricultural e-commerce.
With the development of e-commerce for agricultural products, the competition within the industry has become more and more intense. Agricultural retailers have started to adopt a variety of marketing strategies to enhance their competitiveness and thus capture more market share. Among them, bundling strategy has become one of the most popular marketing strategies, i.e., offering consumers the opportunity to save by selling a combination of products at a low price, thus promoting consumption [3]. However, in the existing bundle selling model, the products within the bundle are determined by the retailer. In this scenario, customers can only achieve savings by purchasing a specific bundle [4]. This fixed product bundle is too rigid because it ignores the issue of differences in customer preferences. When customers want to buy other non-bundled products, they do not get any savings. In order to meet the different needs of consumers for multiple products, this paper proposes a more flexible bundle selling strategy in which consumers choose their own products in the bundle to stimulate consumption to a greater extent.
In addition to the price factor, the organic attributes of agricultural products are one of the main factors that influence consumers’ purchasing decisions. Organic agricultural products are not only environmentally friendly, but they are also of high quality and nutritious, so they are sold at a higher price than non-organic agricultural products [5]. With the increase in income in developing countries such as China, more and more consumers are attempting to purchase organic products to improve their quality of life [6]. For consumers with higher green preferences, they are willing to pay higher prices to purchase organic agricultural products. For consumers with lower green preferences, they are more inclined to choose inorganic agricultural products with higher cost-effectiveness. Therefore, in the pricing process of agricultural products, it is necessary to consider the degree of consumer organic preference.
Based on the above, this paper proposes an interactive bundle pricing strategy (IBPS) for online retailers of agricultural products that takes into account consumers’ organic preferences. In addition, we introduce a free shipping strategy to enhance consumer surplus and maximize agricultural e-retailer profits. When customers shop online, they usually put the products they need into their shopping cart. At this point, IBPS can determine the bundled pricing of agricultural product combinations in the shopping cart. When customers add or delete certain agricultural products in their shopping cart, IBPS can capture these real-time events and generate new bundled prices. Due to the fact that bundled prices are cheaper than the sum of individual selling prices, it can stimulate customers to purchase more agricultural products in a single transaction. Through numerical research, it has been found that this interactive bundling pricing strategy is a win-win strategy. It not only creates more profits for agricultural e-commerce, but also enables consumers to obtain higher consumer surplus.
Then, we review relevant studies and illustrate the differences between our study and the existing literature.
The first stream of this study is mainly related to pricing strategies for agricultural products. Many scholars have studied the optimal pricing problem of agricultural products from the perspective of supply chain using game theory. He et al. (2022) [7] studied the pricing strategies when the supplier has a limited output and the retailer has substitute suppliers in a fresh agricultural product supply chain. Wang et al. (2017) [8] built a fresh produce supply chain consisting of a supplier and a retailer and derived the optimal pricing strategy of supplier in the presence of portfolio contracts and circulation losses. Wang et al. (2022) [9] established the agricultural product supply chain with farmer cooperatives as the core enterprise and developed dynamic pricing models under decentralized decision-making and centralized decision-making. Li et al. (2023) [10] built a three-level agricultural supply chain model and explored the impact of block-chain traceability and retailers’ altruistic preference on pricing decisions. Some articles have considered the characteristic attributes of agricultural products to study their optimal pricing strategies. Hasan et al. (2020) [11] considered the effect of external factors that induce deterioration investigated ways to reduce the product deterioration rate by accelerating the sales of the near defective items at a discounted price. Perlman et al., (2019) [12] assumed that the agricultural products can depreciate in value and studied the optimal pricing strategy for organic and inorganic agricultural products under dual channels. Zhang et al. (2018) [13] combined transportation methods and market uncertainty risks to determine the optimal retail price, and set the optimal wholesale price based on the Stackelberg game.
The second stream of this research is related to bundle pricing. Some articles have studied bundling pricing strategies for complementary products. Taleizadeh et al. (2017) [14] developed an integrated pricing-inventory model for two complementary products under three selling strategies (single, bundling and mixed bundling). Giri et al. (2020) [15] compared the individual sales strategy and bundled sales strategy in a duopoly market where two manufacturers separately produce and sell two complementary products through a common retailer. Hemmati et al. (2023) [16] studied the name-your-own-price (NYOP) mechanism for complementary products in which customers participate in the pricing mechanism by submitting bids. Some scholars have studied bundling pricing from the perspective of perishability. Fang et al. (2018) [17] considered the bundle pricing decisions for homogeneous fresh products with quality deterioration. Azadeh et al. (2017) [18] studied the bundling pricing strategy for two perishable products, taking into account the benefit–lost cost and the shortage cost. Pan et al. (2022) [19] proposed a physical Internet-enabled real-time system for a retailer that sells two complementary perishable products and considered both bundling and separate policies with repricing strategies. In addition, some researchers have proposed bundling pricing strategies from a data-driven perspective. Ettl et al. (2020) [20] constructed a data-driven model to recommend personalized discount product packages to shoppers while selecting products related to consumer preferences. Jiang et al. (2011) [21] proposed an online dynamic bundling pricing model based on customer online behavior (e.g., clicking on Web pages, rating products). Li et al. (2023) [22] developed game-theoretic models to examine the effect of review volume and valence on different players’ pricing strategies and coordination structures composed of an online retailer and a manufacturer.
For agricultural pricing, most studies have taken a game approach from a supply chain perspective to study the optimal decision of each subject. For bundle pricing, most existing studies have adopted a fixed bundle strategy, considering complementarity, perishability, and data-driven factors. Based on this, this paper will develop a more flexible interactive bundle pricing model from the perspective of e-retailers of agricultural products, and consider consumers’ organic preferences. The research results of this paper will further enrich the marketing strategies of agricultural e-retailers.

2. The Model

2.1. Hypothesis of the Research Object

From the perspective of agricultural e-retailers, this paper establishes a nonlinear mixed Integer programming model for interactive bundle pricing strategy (IBPS) of organic and inorganic agricultural products with the goal of maximizing the profit of agricultural e-retailers and optimizing consumer surplus. Simultaneously, we consider the free shipping strategy and consumer organic preferences. The key point of the model is how agricultural product e-commerce platforms price packages to maximize profits under the optimal decision of consumer surplus. The core issue is the optimal price corresponding to each bundle combination. Consumers maximize their surplus based on the difference between the total retained price of the items in the package and their payment price, while agricultural e-commerce platforms maximize their total profit through pricing and free shipping. The specific bundled pricing process is shown in Figure 1.
Assuming the following conditions:
(1)
Each consumer purchases package with the largest consumer surplus within their own budget constraints;
(2)
The consumer’s reserve price for the package is equal to the sum of the consumer’s reserve prices for all products in the package;
(3)
Consumer costs include agricultural product prices and shipping costs. When the customer’s purchase amount reaches a certain amount, the shipping costs are borne by the platform;
(4)
Each type of agricultural product has two varieties: organic and inorganic;
(5)
All agricultural products in one order are combined into one package and only one shipping cost is calculated. For the same product, each consumer is limited to purchasing one unit; and
(6)
The consumer reserve price is the highest price that consumers are willing to pay for the product, which is affected by the market price of the product, the organic attribute of the product, and the organic preference of consumers.

2.2. Symbol Settings

The parameters and variables involved in the model are shown in Table 1.

2.3. Modeling

max i I j J k K b B y i b [ P b c j k · x j k b f b ( 1 I b G ) ]
s . t . R i j k = R i j k 0 ( 1 + k μ ) , i I , j J , k K
S i = b B j J k K y i b ( R i j k · x j k b P b f b · I { P b < G } ) , i I
S i j J k K R i j k · x j k b P b f b · I { P b < G } , i I
P b j J k K c j k · x j k b , b B
P b P u P v , b B
u , v = { u , v | X u X v = X b }
b B y i b ( P b + f b · I { P b < G } ) E i , i I
b B y i b · S i 0 , i I
b B y i b 1 , i I
I b L = { 1 , P b < G 0 , P b > G
x j k b , y i b { 0 , 1 } , i I , j J , k K , b B
Formula (1) is the objective function that represents the maximum profit of agricultural product e-commerce platforms, which is equal to sales revenue minus agricultural product costs and distribution costs; Constraint (2) refers to consumers reverse prices; Constraint (3) indicates that consumer surplus is equal to the difference between the consumer’s reverse price and the actual paid price; Constraint (4) signals that consumers will choose to purchase the largest remaining bundled package; Constraint (5) describes that the pricing of the package is not less than the sum of the agricultural product costs within the package; Constraints (6) and (7) show that the price of each package is not greater than the sum of the prices divided into multiple packages; Constraint (8) denotes that the bundle purchased by consumers does not exceed their budget; Constraint (9) means that consumers will only purchase when their consumer surplus is not less than 0; Constraint (10) indicates that each consumer can purchase at most one package; Constraint (11) expresses that when the price of the bundle reaches a certain threshold, the distribution cost is borne by the platform; Constraint (12) represents 0–1 variables.

3. Algorithm

In the IBPS model, agricultural e-retailer aims to maximize profits, while the consumer chooses the bundle with the largest surplus. With reference to Jiang et al., (2018) [23], local search is a mature solution to combinatorial optimization and a high-quality solution to practical problems within a reasonable time period. This paper proposes a heuristic algorithm-based shrinkage to optimize the price of each bundle. The flow chart of the algorithm is shown in Figure 2 and the specific steps are as follows:
Step 1: Set the consumer budget constraint E i , the distribution cost f b for each combination, and the free shipping threshold G . Set the price reduction step p , and the price adjustment for each bundle can only be an integer multiple of p .
Step 2: Divide all bundles b = 1 , 2 , , 4 n into two groups. Group 1: b = 1 denotes bundle with no produce. Group 2: b = 2 , , 4 n denotes bundles containing one or more units of produce.
Step 3: For each bundle, the sum of the costs of all products in the bundle and the sum of the market prices are denoted as the price lower bound L b and the price upper bound U b of the bundle, respectively. Then the price of the bundle is initialized to the sum of the market prices of the products in the bundle, i.e., P b = U b .
Step 4: Within the consumer budget E i , each consumer selects a bundle with the largest consumer surplus. We then calculate the e-retailer’s profit, denoted as W .
Step 5: Keeping the bundle price of group 1 unchanged, optimize the price of the remaining bundles, this is starting from b = 2 .
Step 6: Get a new lower bound L b = max { P u P v | X u X v = X b } for bundle b and set the price lower bound for bundle b to L b = m a x { L b , L b } .
Step 7: When P b > L b , the price of bundle b is reduced by one unit, i.e., P b = P b p . Within the consumer budget E i , each consumer chooses a bundle with the largest consumer surplus, and then we calculate the new total profit W . If W > W , reset the bundle price and total profit, i.e., P b = P b , W = W , and return to step 6. When W W , if b 4 n , reset b = b + 1 and return to step 6, if b > 4 n , go to step 8.
Step 8: Output the optimal total profit W and the set of optimal prices for the bundles { P 1 , P 2 , P 4 n } .

4. Numerical Analysis

4.1. Data Description

This section verifies the effectiveness of the model and algorithm proposed above through numerical cases and simulation analysis. We analyze the trend of changes in agricultural e-retailer profits and consumer surplus by adjusting parameters such as free shipping thresholds and consumer organic preferences, providing management suggestions for agricultural e-retailer.
In this paper, we assume that an agricultural e-retailer sells three agricultural products simultaneously on an online platform, including bananas, peaches, and lychees. We investigated and counted the cost and selling price of for the three kinds of inorganic agricultural products in 10 online stores, as shown in Table 2, in which 1 unit denotes 500 g.
Referring to the study of Ye et al. (2021) [24], we assume that the unit cost and market price of agricultural products obey a uniform distribution, and get the distribution interval of inorganic agricultural products based on the above statistics, as shown in Table 3. Based on the findings of Perlman et al. (2019) [12], the unit cost and market price of organic agricultural products are about 1.5 times and 2 times of those of inorganic agricultural products, respectively, and this is used as the case parameter of this paper.
Assuming that consumers’ reserve prices for agricultural products follow a uniform distribution without considering their organic preferences, i.e., R i j ~ U ( R j l , R j u ) . R j l and R j u , respectively, reserve the lower and upper limits of prices for consumers. According to Zhou et al. (2022) [25], the reserved price ceiling can be estimated by market price and unit cost, that is   R j u = 2 × p j c j 0 ( p j is the market price of inorganic agricultural product j , c j 0 is the unit cost of inorganic agricultural product j ). Reserve Price floor R j l is calculated based on the highest retention price R j u , which is defined as R j l = θ · R j u , 0 < θ < 1 . With the increase of θ , the lower limit of reserve price floor magnifies, indicating that consumers are willing to pay higher prices for agricultural products. Therefore, θ can be used to express the level of consumer consumption. The higher the value of θ , the higher the level of consumer consumption. This section sets for θ = 0.3 . In addition, considering that consumers are willing to pay higher prices for organic agricultural products, this paper introduces consumers’ organic preference into the reserve price, i.e., R i j k = R i j k 0 1 + k μ (represents the reserved price without considering consumer organic preferences). In this section we set consumer organic preferences μ = 0.5 .
According to the actual operation of the platform, the distribution cost is equal to ¥4 plus ¥4 multiplied by the number of products in the bundle, setting the free shipping threshold as ¥30. We assume that the number of potential consumers for this agricultural product e-retailer is 50. Consumer budget value follows normal distribution N ( μ , σ 2 ) in which μ = 50 ,     σ 2 = 0.2 μ .

4.2. Analysis of Algorithm Results

Based on the above data and parameters, the optimal pricing decision for the platform is calculated and the sales volume, consumer surplus and total retailer profit under the optimal decision are derived. To verify that the IBPS proposed in this paper outperforms the traditional stand-alone retailing model, the optimal results of the two strategies are compared, and the details are shown in Table 4.
Table 4 shows that the IBPS strategy exhibits greater benefits in terms of both product sales and total sales revenue. The improvements under IBPS were significant compared to the traditional separate retail model, including an 8.39% increase in total profit and a 10.86% increase in total consumer surplus. In addition, under bundled pricing, the more produce consumers purchase, the more savings they receive. Therefore, within the budget constraint, consumers would buy as much produce as possible, thus making the market demand larger. As the data results show, total sales of produce increased by 14.00%. This includes a 28.57% increase in sales of inorganic products and a 10.34% increase in sales of organic produce.

5. Result

In the previous subsection, we compared IBPS with the traditional retail model by using specific numerical arithmetic examples. It is demonstrated that IBPS is effective in stimulating consumption and increasing consumer purchases for produce, thus increasing retailer revenue. To help agricultural e-retailers make better bundle pricing decisions. In this subsection, we would conduct sensitivity analysis on free shipping thresholds, consumers’ organic preferences, and customers’ consumption levels, so as to provide useful management suggestions for produce e-retailers.

5.1. The Impact of Free Shipping Threshold on Bundled Pricing Strategies

On the one hand, the free shipping strategy reduces the profit per order, which is called the profit shrinkage effect; on the other hand, it can increase the consumer surplus and thus attract more consumers or make them buy more agricultural products, which is called the market expansion effect [26]. The profit shrinkage effect and the market expansion effect jointly affect the profit of the agricultural e-commerce platform, and the profit of the retailer will decrease when the profit shrinkage effect is better than the market expansion effect, and the profit of the retailer will increase when the market expansion effect is better than the profit shrinkage effect. In this section, based on the heuristic algorithm and arithmetic parameters proposed in the previous section, the impact of free shipping threshold on bundle pricing strategy is discussed to find the optimal free shipping threshold. Figure 3 shows the trend of total profit and total consumer surplus as the free shipping threshold changes between 25 and 35.
Figure 3 shows that as the free shipping threshold increases in the range of 25–35 ¥, both total profit and total consumer surplus show a general trend of increasing and then decreasing. The changes first accelerate, then decrease, and finally level off. This suggests that an appropriate increase in the free shipping threshold can stimulate consumption, but an excessively high free shipping threshold can exceed consumers’ budget constraints, making the free shipping strategy ineffective. Therefore, it is important for e-retailers of agricultural products to set the appropriate free shipping threshold. Figure 3 indicates that total platform profit and total consumer surplus reach a maximum when the free shipping threshold is 28 ¥, suggesting that 28 ¥ is the optimal free shipping threshold.

5.2. The Impact of Consumer Organic Preferences on Bundling Pricing Strategies

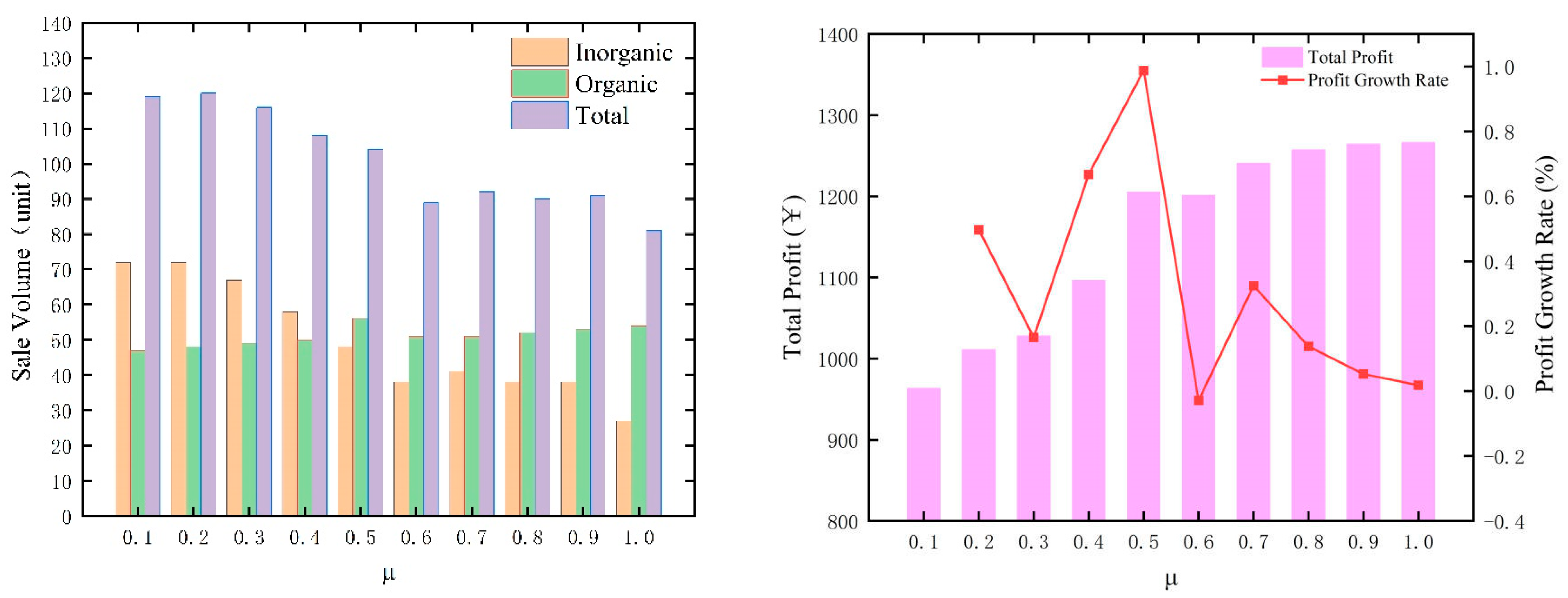
Organic preference refers to the extent to which consumers are willing to pay a higher purchase price for organic agricultural products. To explore the effect of consumers’ organic preference on the bundle pricing strategy of agricultural products, this section analyzes the changes in the quantity of agricultural products sold and the total profit under the optimal pricing strategy when μ varies in the range of 0–1. Based on this, we propose reasonable management countermeasures and suggestions for agricultural products e-commerce. The trends of the sales volume and total profit of agricultural products with consumer’ organic preference are shown in Figure 4.
Figure 4 shows that as consumer green preferences increase, the sales of inorganic agricultural products decrease rapidly, while the sales of organic agricultural products show a slow upward trend. The reason is that the greater the consumers’ organic preference, the higher their reservation price for organic agricultural products, i.e., they are willing to spend more to purchase organic agricultural products to increase their consumer surplus. At the same time, we found that the total sales volume of produce decreased with increasing consumer organic preference. This is because organic produce sells at a higher price than inorganic produce, and under budget constraints, consumers with high organic preferences are more likely to choose to buy small amounts of organic produce rather than large amounts of inorganic produce. In addition, Figure 4 shows that total platform profits increase with consumer organic preference, suggesting that selling organic produce can be more profitable for produce e-retailers than inorganic produce.

5.3. The Impact of Consumption Level on Bundling Pricing Strategies

Consumption level θ indicates the difference between the minimum reserve price and the maximum reserve price [27]. A higher value of θ means that the minimum reserve price is closer to the maximum reserve price and the consumer heterogeneity is lower. To analyze the effect of consumption level on the bundle pricing strategy of agricultural products, we set the consumption level as 0.1–1 with a step of 0.1. Figure 5 represents the effect of the change in consumption level on the sales volume and the total profit of e-retailer.
Figure 5 shows that as consumption levels increase, sales of inorganic products decrease and sales of organic products increase, with an upward trend in total sales. This indicates that at higher consumption levels, consumers are less heterogeneous, have a higher demand for quality utility, and are inclined to choose organic agricultural products that are expensive, environmentally friendly, and healthy. In this case, the total value of consumers’ purchases increases. Therefore, when the overall consumption level of the market is at a high state, e-retailers of agricultural products can appropriately increase the free shipping threshold to further stimulate consumption. In addition, the total profit of produce e-retailers increases significantly at high consumption levels, and the profit growth rate flattens out regionally after a gradual decline. This indicates that the increase in sales of organic agricultural products can effectively increase the total profit.

6. Discussion

In Section 4, we set up an arithmetic example based on actual research data, and propose a pricing scheme for retailers using IBPS which is compared with traditional bundled pricing. In Section 5, in order to further optimize the bundle pricing decision, we investigate the implications of parameters such as free shipping threshold, consumer organic preference, and consumption level on IBPS. Through a series of numerical comparative analyses, the following main conclusions are obtained:
(1)
Comparing with the traditional bundled pricing strategy of fixed products [17], IBPS offers more choices for customers. Consumers can choose the products to be bundled according to their needs and receive bundle savings under IBPS. It can satisfy the different demand preferences of consumers in a greater extent, which leads to a substantial increase in total produce sales as well as total produce profits. Therefore, IBPS is a great option for agricultural e-retailers;
(2)
It is important for agricultural e-retailers to set the right free shipping threshold. A lower free shipping threshold will make the retailer’s delivery cost too high, while a higher free shipping threshold will cause consumers to abandon their purchases due to expensive shipping costs. Therefore, retailers need to fully understand the characteristics of their customers in order to set a reasonable free shipping threshold which could effectively stimulate consumption. This conclusion is consistent with Gu et al. (2023) [26];
(3)
Retailers’ total profits rise substantially as consumers’ organic preference increases, which indicates that the consumer is willing to pay more for organic produce. Therefore, retailers can increase the advertising and promotion of organic products in order to increase consumers’ organic preference. Meanwhile, the government can also introduce relevant policies to further expand the market for organic products; and
(4)
The higher the consumer level, the more consumers tend to choose high-quality, high-price products. With the rapid development of the social economy, the consumer’s consumption view gradually changes from focusing on price to focusing on service and quality. Therefore, for high consumption level groups, retailers could appropriately increase product prices and free shipping thresholds, as well as pay more attention to product quality improvement. This view is in accordance with Perlman et al. (2019) [12].

7. Conclusions

To address the problem that the existing bundle pricing strategy for agricultural products takes the fixed product which is too rigid and ignores the heterogeneity among consumers, this paper proposes an interactive bundle pricing strategy (IBPS). Compared with the traditional bundle pricing strategy, IBPS is more flexible and provides more choices for consumers, which can effectively increase consumer surplus and total profit of agricultural e-retailers. Then, considering the variability of consumers’ organic preferences for agricultural products, we investigate a hybrid bundling strategy for organic and inorganic agricultural products. In addition, to further stimulate demand, we introduce a free shipping strategy based on IBPS, which leads to an increase in consumers’ single purchase.
Based on this, this paper establishes the IBPS model with the objectives of maximizing the total profit and optimal consumer surplus for agricultural products e-retailers. We use a heuristic algorithm to solve the model in order to find the optimal pricing of the bundled packages of agricultural products under different choices of consumers. Through numerical analysis, we compare the differences between IBPS and traditional e-tailing methods and find that IBPS can effectively increase the profit and consumer surplus of agricultural products e-retailers. In addition, we analyze the effects of free shipping thresholds, consumers’ organic preferences, and customers’ consumption levels on bundle pricing strategies. The analysis revealed that: (1) It is difficult to stimulate consumption with a too low free shipping threshold, and a too high free shipping threshold would make some consumers abandon their purchase because of the shipping cost. (2) The higher the consumer’s organic preference, the higher the sales volume of organic products, and thus the higher the profit for the retailer. (3) As consumption levels increase, consumers’ purchases of organic products and total purchases increase, and so does the total value of a single purchase. Based on this, we propose the following policy recommendations: (1) Retailers need to research and analyze consumer groups and set appropriate free shipping thresholds based on attributes such as consumers’ consumption levels and organic preferences, resulting in stimulating the consumption. (2) The government and retailers can invest more in publicizing organic agricultural products to increase consumers’ organic preference, so as to promote environmental sustainability and increase retailers’ profits. These policies are beneficial to both consumers and retailers. On the one hand, they could lead to more profits for retailers, on the other hand, they could make more consumer surplus for consumers, thus enhancing satisfaction.
In summary, this paper proposes a new bundled pricing strategy for produce e-retailers and offers some management insights. This is important to help agricultural e-retailers increase their market competitiveness and capture a larger market share. However, this paper also has some limitations. We only study the pricing strategies of agricultural products under the online sales channel, without considering the complex effects among multiple channels. And the complementary and perishable nature of agricultural products is not considered in this paper. In the future, we will further extend the model based on this paper to take into account the perishability and complementary nature of agricultural products to provide a more complete bundle pricing strategy for agricultural product retailers.

Author Contributions

Conceptualization, X.L. (Xijia Liu) and A.S.; Methodology, X.L. (Xijia Liu), X.L. (Xiaoshu Liu) and A.S.; Validation, X.L. (Xijia Liu), A.S. and C.L.; Formal analysis, X.L. (Xijia Liu), X.L. (Xiaoshu Liu) and A.S.; Writing—original draft preparation, X.L. (Xijia Liu) and A.S.; Writing—review and editing, X.L. (Xijia Liu), A.S. and C.L. All authors have read and agreed to the published version of the manuscript.

Funding

This research was funded by Key Projects of The National Social Science Fund of China (19AGL023).

Institutional Review Board Statement

Not applicable.

Informed Consent Statement

Not applicable.

Data Availability Statement

The data presented in this study are available on request from the corresponding author.

Conflicts of Interest

The authors declare no conflict of interest.

References

  1. Rinda, N.; Satrio, P.T.; Naufal, H.; Herena, P. Biplot analysis: A study of the change of customer behaviour on e-commerce. Procedia Comput. Sci. 2023, 216, 524–530. [Google Scholar]
  2. Ante, R.; Viktorija, S. The influence of social trends on the sale of agricultural products. CroDiM Int. J. Mark. Sci. 2023, 6, 33–42. [Google Scholar]
  3. Woojae, K.; Yuri, P.; Jungwoo, S.; Manseok, J. Consumer preference structure of online privacy concerns in an IoT environment. Int. J. Mark. Res. 2022, 64, 630–651. [Google Scholar]
  4. Jena, S.K. Impact of bundling on the omnichannel supply chain under price competition. J. Bus. Ind. Mark. 2022, 37, 2468–2487. [Google Scholar] [CrossRef]
  5. Wang, E.; Liu, Z.Z.; Gao, Z.F.; Wen, Q.; Geng, X.H. Consumer preferences for agricultural product brands in an E-commerce environment. Agribusiness 2022, 38, 312–327. [Google Scholar] [CrossRef]
  6. Arijit, R.; Arpita, G.; Devika, V. The consumer perception and purchasing attitude towards organic food: A critical review. Nutr. Food Sci. 2023, 53, 578–599. [Google Scholar]
  7. He, X.M.; Zhang, C.; Guo, X.T. Pricing and distribution strategies of fresh agricultural product supply chain considering substitutes. Math. Probl. Eng. 2022, 2022, 6453615. [Google Scholar] [CrossRef]
  8. Wang, C.; Chen, X. Option pricing and coordination in the fresh produce supply chain with portfolio contracts. Ann. Oper. Res. 2017, 248, 471–491. [Google Scholar] [CrossRef]
  9. Wang, J.L.; Huo, Y.J.; Guo, X.Y.; Xu, Y. The pricing strategy of the agricultural product supply chain with farmer cooperatives as the core enterprise. Agriculture 2022, 12, 732. [Google Scholar] [CrossRef]
  10. Li, T.; Xu, X.T.; Liu, W.R.; Shi, C.D. Pricing decision of three-level agricultural supply chain based on blockchain traceability and altruistic preference. Sustainability 2023, 15, 3304. [Google Scholar] [CrossRef]
  11. Hasan, M.R.; Mashud, A.H.M.; Daryanto, Y.; Wee, H.M. A non-instantaneous inventory model of agricultural products considering deteriorating impacts and pricing policies. Kybernetes 2020, 50, 2264–2288. [Google Scholar] [CrossRef]
  12. Perlman, Y.; Ozinci, Y.; Westrich, S. Pricing decisions in a dual supply chain of organic and conventional agricultural products. Ann. Oper. Res. 2019, 314, 601–616. [Google Scholar] [CrossRef]
  13. Zhang, R.; Liu, J.; Liu, B. Pricing decisions and channel coordination of fresh produce supply chain under multi-transportation modes. ICIC Express Lett. 2018, 12, 9–21. [Google Scholar]
  14. Taleizadeh, A.A.; Babaei, M.S.; Niaki, S.T.A.; Noori-daryan, M. Bundle pricing and inventory decisions on complementary products. Oper. Res. 2017, 20, 517–541. [Google Scholar] [CrossRef]
  15. Giri, R.N.; Mondal, S.K.; Maiti, M. Bundle pricing strategies for two complementary products with different channel powers. Ann. Oper. Res. 2020, 287, 701–725. [Google Scholar] [CrossRef]
  16. Hemmati, M.; Fatemi Ghomi, S.M.T.; Sajadieh Mohsen, S. Separate and bundling selling strategies for complementary products in a participative pricing mechanism. Comput. Ind. Eng. 2023, 177, 109018. [Google Scholar] [CrossRef]
  17. Fang, Y.; Jiang, Y.P.; Han, X.X. Bundle pricing decisions for fresh products with quality deterioration. J. Food Qual. 2018, 2018, 1595807. [Google Scholar] [CrossRef]
  18. Azadeh, A.; Songhori, H.; Salehi, N. A unique optimization model for deterministic bundle pricing of two products with limited stock. Int. J. Syst. Assur. Eng. Manag. 2017, 8, 1154–1160. [Google Scholar] [CrossRef]
  19. Pan, F.; Pan, S.L.; Zhou, W.; Fan, T.J. Perishable product bundling with logistics uncertainty: Solution based on physical internet. Int. J. Prod. Econ. 2022, 244, 108386. [Google Scholar] [CrossRef]
  20. Ettl, M.; Harsha, P.; Papush, A.; Perakis, G. A data-driven approach to personalized bundle pricing and recommendation. Manuf. Serv. Oper. Manag. 2020, 22, 429–643. [Google Scholar] [CrossRef]
  21. Jiang, Y.; Shang, J.; Kemerer, C.F. Optimizing E-tailer profits and customer savings: Pricing multistage customized online bundles. Mark. Sci. 2011, 30, 737–752. [Google Scholar] [CrossRef]
  22. Li, H.J.; Yang, K.; Zhang, G.Q. The impact of online reviews on pricing strategy and coordination in a two-period two-echelon supply chain. INFOR: Inf. Syst. Oper. Res. 2023, 61, 1–33. [Google Scholar] [CrossRef]
  23. Jiang, Y.C.; Liu, Y.Z.; Wang, H.; Shang, J.; Ding, S. Online pricing with bundling and coupon discounts. Int. J. Prod. Res. 2018, 56, 1773–1788. [Google Scholar] [CrossRef]
  24. Ye, Y.G.; Liu, X.F. Research on Pricing Decision of Direct Sales Green Supply Chain Based on Consumers’ Valuation. Discret. Dyn. Nat. Soc. 2021, 2021, 7743647. [Google Scholar] [CrossRef]
  25. Zhou, C.; Leng, M.M.; Liu, Z.B.; Cui, X.; Yu, J. The impact of recommender systems and pricing strategies on brand competition and consumer search. Electron. Commer. Res. Appl. 2022, 53, 101144. [Google Scholar] [CrossRef]
  26. Gu, Q.Q.; Zhang, R.; Liu, B. Pricing and advertising decisions in O2O supply chain with the presence of consumers’ anticipated regret. J. Bus. Indus-Trial Mark. 2023, 38, 1135–1149. [Google Scholar] [CrossRef]
  27. Zhou, H.J.; Chen, K.B.; Wang, S.B. Two-period pricing and inventory decisions of perishable products with partial lost sales. Eur. J. Oper. Res. 2023, 310, 611–626. [Google Scholar] [CrossRef]
Figure 1. Schematic diagram of bundled pricing for agricultural product e-commerce platforms.
Figure 1. Schematic diagram of bundled pricing for agricultural product e-commerce platforms.
Sustainability 15 13256 g001
Figure 2. Flow chart of algorithm.
Figure 2. Flow chart of algorithm.
Sustainability 15 13256 g002
Figure 3. Impact of free shipping threshold on total profit and total consumer surplus.
Figure 3. Impact of free shipping threshold on total profit and total consumer surplus.
Sustainability 15 13256 g003
Figure 4. Impact of consumer organic preference on sales volume and total profit.
Figure 4. Impact of consumer organic preference on sales volume and total profit.
Sustainability 15 13256 g004
Figure 5. Impact of consumption level on sales volume and total profit.
Figure 5. Impact of consumption level on sales volume and total profit.
Sustainability 15 13256 g005
Table 1. The parameters and variables used in the article.
Table 1. The parameters and variables used in the article.
SymbolsDescriptions
I The set of consumers, i I
J The set of agricultural species, j J
K The set of organic and inorganic, K = { 0 , 1 } , 0 represents inorganic and 1 represents organic
B The set of packages, b B
c j k Unit cost of product j with organic attribute k
R i j k Consumer i ‘s reserve price for product j with organic attribute k
R i j k 0 Reserve price without considering consumer organic preferences
x j k b Whether the package b contains product j with organic attribute k , 0 indicates no and 1 indicates yes
X b Matrix representation of package b , X b = ( x 10 b   x 20 b x j 0 b   x 11 b   x 21 b x j 1 b )
y i b Whether consumer i select the package b , 0 indicates no, 1 indicates yes
S i Consumer surplus of consumer i
E i Budget constraints of consumer i
f b Distribution costs of package b
μ Consumers’ green preference coefficient
G Free shipping threshold
P b Price of package b
Table 2. Unit cost and selling price statistics of agricultural products.
Table 2. Unit cost and selling price statistics of agricultural products.
Inorganic Agricultural ProductsOnline Stores
12345678910
BananasCost (¥/unit)2.772.542.682.792.692.572.592.722.652.52
Price (¥/unit)4.714.654.925.154.874.814.94.664.934.9
PeachesCost (¥/unit)3.543.283.223.423.323.463.423.293.253.33
Price (¥/unit)5.255.455.455.335.325.335.445.315.355.26
LycheesCost (¥/unit)3.683.53.623.613.433.523.513.563.613.48
Price (¥/unit)5.875.845.915.846.095.955.815.715.96.07
Table 3. Unit cost and market price distribution of agricultural products.
Table 3. Unit cost and market price distribution of agricultural products.
Inorganic Agricultural ProductsBananasPeachesLychees
Cost (¥/unit) U ( 2.5 , 2.8 ) U ( 3.2 , 3.5 ) U ( 3.4 , 3.7 )
Price (¥/unit) U ( 4.6 , 5.1 ) U ( 5.2 , 5.5 ) U ( 5.7 , 6.1 )
Table 4. Comparison of sales data, consumer surplus, and platform total profit.
Table 4. Comparison of sales data, consumer surplus, and platform total profit.
Inorganic Agricultural ProductsTraditional Retail ModelIBPSIncrease Ratio
Total sales (unit)10011414.00%
Total sales of inorganic products (unit)425428.57%
Total sales of organic products (unit)586410.34%
Total consumer surplus (¥)1524.27951689.74510.86%
Total sales revenue (¥)2052.73012210.85647.70%
Total profit (¥)1152.50611249.25318.39%
Disclaimer/Publisher’s Note: The statements, opinions and data contained in all publications are solely those of the individual author(s) and contributor(s) and not of MDPI and/or the editor(s). MDPI and/or the editor(s) disclaim responsibility for any injury to people or property resulting from any ideas, methods, instructions or products referred to in the content.

Share and Cite

MDPI and ACS Style

Liu, X.; Liu, X.; Shi, A.; Li, C. Agricultural Products’ Bundled Pricing Based on Consumers’ Organic Preferences. Sustainability 2023, 15, 13256. https://doi.org/10.3390/su151713256

AMA Style

Liu X, Liu X, Shi A, Li C. Agricultural Products’ Bundled Pricing Based on Consumers’ Organic Preferences. Sustainability. 2023; 15(17):13256. https://doi.org/10.3390/su151713256

Chicago/Turabian Style

Liu, Xijia, Xiaoshu Liu, Anna Shi, and Chenwei Li. 2023. "Agricultural Products’ Bundled Pricing Based on Consumers’ Organic Preferences" Sustainability 15, no. 17: 13256. https://doi.org/10.3390/su151713256

APA Style

Liu, X., Liu, X., Shi, A., & Li, C. (2023). Agricultural Products’ Bundled Pricing Based on Consumers’ Organic Preferences. Sustainability, 15(17), 13256. https://doi.org/10.3390/su151713256

Note that from the first issue of 2016, this journal uses article numbers instead of page numbers. See further details here.

Article Metrics

Back to TopTop