Can Green Finance Drive the Development of the Green Building Industry?—Based on the Evolutionary Game Theory
Abstract
:1. Introduction
2. Literature Review
2.1. Study on Green Buildings
2.2. Study on Green Finance in Green Buildings
3. Model Description and Assumptions
4. Model Construction and Analysis
5. Evolutionary Equilibrium Points and Stability Analysis
5.1. Three-Dimensional Replicator Dynamic Equations
5.2. Stability Analysis of Equilibrium States
6. Evolutionary Simulation Analysis
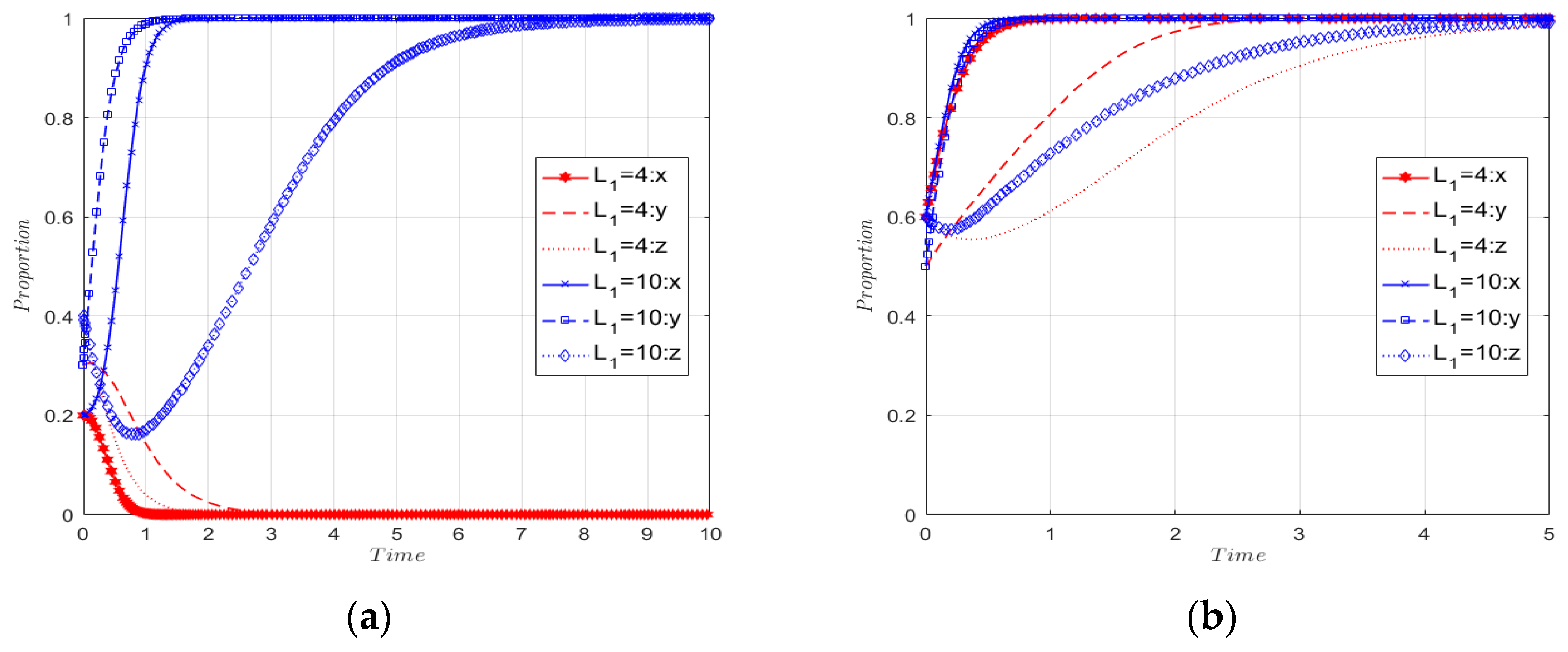
6.1. The Impact of Initial Willingness
6.2. Equilibrium Results under Different Initial Willingness
6.3. The Impact of Government Rewards and Penalties
6.4. The Impact of Differences in Benefits
6.5. The Impact of Incremental Consumer Benefits
7. Conclusions
- Significant market-driving effects result from the high initial willingness of both BFI and consumers. Support should be provided to BFI in playing a leading role in the green building market, promoting the adoption of green finance and green practices within the construction industry. While recognizing the pivotal role of consumers in the market, efforts should be made to encourage green building and cultivate green attributes among both BFI and consumers. Assuming greater social responsibility can partially replace government administrative measures and facilitate the green transformation of the construction industry. As an illustration, China’s Hubei Province has implemented a scheme that offers increased provident fund loans to purchasers of green buildings, thus diminishing property acquisition expenses and significantly enhancing the appeal of green buildings to potential buyers [52].
- Instead of relying solely on a “carrot and stick” approach, policymakers should utilize policy instruments effectively, serving as a policy compass to guide financial support for green building and generate endogenous market development dynamics while minimizing the policy costs.
- Even with a certain disparity in returns between traditional projects and green building projects, green buildings can still develop with the support of green finance, even when the willingness of all parties to participate in the market is relatively low. Gradually increasing taxes, fees, and other expenses for traditional building projects while decreasing them for green building projects can help reduce the gap in returns and promote the role of green finance in the construction industry’s transition towards sustainability.
- Green building must deliver concrete benefits and user experiences to consumers, and it is essential to eliminate deceptive marketing practices employed by developers. The establishment of disclosure standards for green building information must be expedited, with clear indicators and calculation methods defined for energy efficiency, water and electricity conservation, air quality optimization, and other practical applications. Relevant information should be disseminated in a timely manner to all stakeholders involved. For instance, the municipality of Huzhou in China has established a digital platform for divulging sustainable construction information. This platform delivers the entire information process of green building projects, from program design to maintenance and operation, to society in a timely manner. Furthermore, it efficiently safeguards against the risk of deceptive environmental commitments in construction projects [53].
Author Contributions
Funding
Institutional Review Board Statement
Informed Consent Statement
Data Availability Statement
Conflicts of Interest
References
- New Global Policy Principles Outline Transformative Action for Policymakers to Accelerate Sustainability in the Built Environment. Available online: https://worldgbc.org/article/global-policy-principles/ (accessed on 30 June 2023).
- Many Countries are Actively Exploring and Promoting Green Buildings. Available online: https://www.ndrc.gov.cn/fggz/hjyzy/tdftzh/202305/t20230504_1355443.html/ (accessed on 6 June 2023).
- WorldGBC Annual Report 2022. Available online: https://worldgbc.org/wp-content/uploads/2023/08/WorldGBC-Annual-Report-2022_FINAL.pdf (accessed on 19 August 2023).
- Geng, Y.; Ji, W.; Wang, Z.; Lin, B.; Zhu, Y. A Review of Operating Performance in Green Buildings: Energy Use, Indoor Environmental Quality and Occupant Satisfaction. Energy Build. 2019, 183, 500–514. [Google Scholar] [CrossRef]
- Abdelaal, F.; Guo, B.H. Stakeholders’ Perspectives on BIM and LCA for Green Buildings. J. Build. Eng. 2022, 48, 103931. [Google Scholar] [CrossRef]
- Shrestha, P.P.; Pushpala, N. Green and Non-Green School Buildings: An Empirical Comparison of Construction Cost and Schedule. In Proceedings of the Construction Research Congress 2012: Construction Challenges in a Flat World, West Lafayette, IN, USA, 21 May 2012. [Google Scholar]
- Ma, J.; Shao, D.; Xu, J.; Yang, Y. How Green Finance Effectively Support Green Building Construction. Sci. Technol. 2020, 20, 23–26+31. [Google Scholar]
- Agyekum, K.; Goodier, C.; Oppon, J.A. Key Drivers for Green Building Project Financing in Ghana. Eng. Constr. Arch. Manag. 2022, 29, 3023–3050. [Google Scholar] [CrossRef]
- He, W.; Liu, P.; Lin, B.; Zhou, H.; Chen, X. Green Finance Support for Development of Green Buildings in China: Effect, Mechanism, and Policy Implications. Energy Policy 2022, 165, 112973. [Google Scholar] [CrossRef]
- Wang, W.; Tian, Z.; Xi, W.; Tan, Y.R.; Deng, Y. The Influencing Factors of China’s Green Building Development: An Analysis Using RBF-WINGS Method. Build. Environ. 2021, 188, 107425. [Google Scholar] [CrossRef]
- Zhou, X.; Tang, X.; Zhang, R. Impact of green finance on economic development and environmental quality: A study based on provincial panel data from China. Environ. Sci. Pollut. Res. 2020, 27, 19915–19932. [Google Scholar] [CrossRef]
- Wang, Y.; Zhi, Q. The Role of Green Finance in Environmental Protection: Two Aspects of Market Mechanism and Policies. Energy Procedia 2016, 104, 311–316. [Google Scholar] [CrossRef]
- Meng, Q.; Liu, Y.; Li, Z.; Wu, C. Dynamic Reward and Penalty Strategies of Green Building Construction Incentive: An Evolutionary Game Theory-Based Analysis. Environ. Sci. Pollut. Res. 2021, 28, 44902–44915. [Google Scholar] [CrossRef]
- Li, X. Evolutionary Game Analysis of Green Building Development Dynamic System under Government Regulation: From the Perspective of the Contractor. Math. Probl. Eng. 2022, 2022, 1987229. [Google Scholar] [CrossRef]
- Wang, M. Evolutionary Game Theory Based Evaluation System of Green Building Scheme Design. Cogn. Syst. Res. 2018, 52, 622–628. [Google Scholar] [CrossRef]
- Yang, Y.; Dai, J.; Li, Z.; Liu, Y.; Zeng, Y. Stochastic Evolutionary Game Analysis on the Strategy Selection of Green Building Stakeholders from the Perspective of Supply-Demand Subject Populations. J. Sens. 2022, 2022, 5354706. [Google Scholar] [CrossRef]
- Feng, Q.; Chen, H.; Shi, X.; Wei, J. Stakeholder Games in the Evolution and Development of Green Buildings in China: Government-Led Perspective. J. Clean Prod. 2020, 275, 122895. [Google Scholar] [CrossRef]
- Ma, J.; Zhou, Q.; Yin, H. International Case Studies of Green Finance Development; China Financial Publishing House: Beijing, China, 2017. [Google Scholar]
- Zhang, D.; Zhang, Z.; Managi, S. A Bibliometric Analysis on Green Finance: Current Status, Development, and Future Directions. Financ. Res. Lett. 2019, 29, 425–430. [Google Scholar] [CrossRef]
- Darko, A.; Chan, A.P.; Huo, X.; Owusu-Manu, D.-G. A Scientometric Analysis and Visualization of Global Green Building Research. Build. Environ. 2019, 149, 501–511. [Google Scholar] [CrossRef]
- Wuni, I.Y.; Shen, G.Q.P.; Osei-Kyei, R. Scientometric Review of Global Research Trends on Green Buildings in Construction Journals from 1992 to 2018. Energy Build. 2019, 190, 69–85. [Google Scholar] [CrossRef]
- Jami, T.; Karade, S.R.; Singh, L.P. A Review of the Properties of Hemp Concrete for Green Building Applications. J. Clean. Prod. 2019, 239, 117852. [Google Scholar] [CrossRef]
- Wang, T.; Seo, S.; Liao, P.-C.; Fang, D. GHG Emission Reduction Performance of State-of-the-Art Green Buildings: Review of Two Case Studies. Renew. Sustain. Energy Rev. 2016, 56, 484–493. [Google Scholar] [CrossRef]
- Xie, X.; Gou, Z. Obstacles of Implementing Green Building in Architectural Practices. Green Building in Developing Countries: Policy. In Green Building in Developing Countries; Springer: Berlin/Heidelberg, Germany, 2020; pp. 33–47. [Google Scholar]
- Kats, G. Green Building Costs and Financial Benefits; Massachusetts Technology Collaborative: Boston, MA, USA, 2003; pp. 2–8. [Google Scholar]
- He, B.-J. Towards the next Generation of Green Building for Urban Heat Island Mitigation: Zero UHI Impact Building. Sustain. Cities Soc. 2019, 50, 101647. [Google Scholar] [CrossRef]
- Zhang, L.; Wu, J.; Liu, H. Turning Green into Gold: A Review on the Economics of Green Buildings. J. Clean. Prod. 2018, 172, 2234–2245. [Google Scholar] [CrossRef]
- Samari, M.; Godrati, N.; Esmaeilifar, R.; Olfat, P.; Shafiei, M.W.M. The Investigation of the Barriers in Developing Green Building in Malaysia. Mod. Appl. Sci. 2013, 7, 1. [Google Scholar] [CrossRef]
- Song, Y.; Li, C.; Zhou, L.; Huang, X.; Chen, Y.; Zhang, H. Factors Affecting Green Building Development at the Municipal Level: A Cross-Sectional Study in China. Energy Build. 2021, 231, 110560. [Google Scholar] [CrossRef]
- Sun, C.-Y.; Chen, Y.-G.; Wang, R.-J.; Lo, S.-C.; Yau, J.-T.; Wu, Y.-W. Construction Cost of Green Building Certified Residence: A Case Study in Taiwan. Sustainability 2019, 11, 2195. [Google Scholar] [CrossRef]
- Alshboul, O.; Shehadeh, A.; Almasabha, G.; Almuflih, A.S. Extreme Gradient Boosting-Based Machine Learning Approach for Green Building Cost Prediction. Sustainability 2022, 14, 6651. [Google Scholar] [CrossRef]
- Persson, J.; Grönkvist, S. Drivers for and Barriers to Low-Energy Buildings in Sweden. J. Clean. Prod. 2015, 109, 296–304. [Google Scholar] [CrossRef]
- Tian, X.; Li, Y. Key Factors of People’s Willingness to Pay for Green Buildings in a Less Developed Region in China: A Pilot Research Effort in Shanxi Province. Int. Rev. Spat. Plan. Sustain. Dev. 2018, 6, 78–93. [Google Scholar] [CrossRef]
- Deng, Y.; Wu, J. Economic Returns to Residential Green Building Investment: The Developers’ Perspective. Reg. Sci. Urban Econ. 2014, 47, 35–44. [Google Scholar] [CrossRef]
- Ofek, S.; Portnov, B.A. Differential Effect of Knowledge on Stakeholders’ Willingness to Pay Green Building Price Premium: Implications for Cleaner Production. J. Clean. Prod. 2020, 251, 119575. [Google Scholar] [CrossRef]
- Debrah, C.; Chan, A.P.C.; Darko, A. Green Finance Gap in Green Buildings: A Scoping Review and Future Research Needs. Build. Environ. 2022, 207, 108443. [Google Scholar] [CrossRef]
- Alexander, V. Gutierrez. Green Banking: A proposed model for green housing loan. In Proceedings of the 2016 International Conference on Industrial Engineering, Management Science and Application (ICIMSA), Jeju, Republic of Korea, 7 July 2016. [Google Scholar]
- Migliorelli, M.; Dessertine, P. The Rise of Green Finance in Europe: Opportunities and Challenges for Issuers, Investors and Marketplaces, Marco Migliorelli, Philippe Dessertine; Springer Nature Switzerland AG: Cham, Switzerland, 2019. [Google Scholar]
- Creamer, E. The Double-Edged Sword of Grant Funding: A Study of Community-Led Climate Change Initiatives in Remote Rural Scotland. Local Environ. 2015, 20, 981–999. [Google Scholar] [CrossRef]
- Zhang, X.; Zhou, Y.; Han, Q. Game Theory-Based Environmental LCC Control Behavior Analysis. J. Clean. Prod. 2019, 211, 1527–1533. [Google Scholar] [CrossRef]
- Chen, W.; Hu, Z.-H. Using Evolutionary Game Theory to Study Governments and Manufacturers’ Behavioral Strategies under Various Carbon Taxes and Subsidies. J. Clean. Prod. 2018, 201, 123–141. [Google Scholar] [CrossRef]
- Tao, Z.; Wang, B.; Shu, L. Analysis on the Procurement Cost of Construction Supply Chain Based on Evolutionary Game Theory. Arab. J. Sci. Eng. 2021, 46, 1925–1940. [Google Scholar] [CrossRef]
- Chen, Y.; Zeng, Q.; Zheng, X.; Shao, B.; Jin, L. Safety Supervision of Tower Crane Operation on Construction Sites: An Evolutionary Game Analysis. Saf. Sci. 2022, 152, 105578. [Google Scholar] [CrossRef]
- Cheng, B.; Wei, Y.; Zhang, W.; Zhou, X.; Chen, H.; Huang, L.; Huang, J.; Kang, X. Evolutionary Game Simulation on Government Incentive Strategies of Prefabricated Construction: A System Dynamics Approach. Complexity 2020, 2020, 8861146. [Google Scholar] [CrossRef]
- Chen, Y.; Li, Z.; Xu, J.; Liu, Y.; Meng, Q. How Does the Government Policy Combination Prevents Greenwashing in Green Building Projects? An Evolutionary Game Perspective. Buildings 2023, 13, 917. [Google Scholar] [CrossRef]
- Li, X.; Wang, C.; Kassem, M.A.; Liu, Y.; Ali, K.N. Study on Green Building Promotion Incentive Strategy Based on Evolutionary Game between Government and Construction Unit. Sustainability 2022, 14, 10155. [Google Scholar] [CrossRef]
- Wang, Z.; Jian, Z.; Ren, X. Pollution Prevention Strategies of SMEs in a Green Supply Chain Finance under External Government Intervention. Environ. Sci. Pollut. Res. 2023, 30, 45195–45208. [Google Scholar] [CrossRef]
- Chen, Y.; Hu, Z.; Liu, Q.; Chen, S. Evolutionary Game Analysis of Tripartite Cooperation Strategy under Mixed Development Environment of Cascade Hydropower Stations. Water Resour. Manag. 2020, 152, 105578. [Google Scholar] [CrossRef]
- Cui, H.; Wang, R.; Wang, H. An Evolutionary Analysis of Green Finance Sustainability Based on Multi-Agent Game. J. Clean. Prod. 2020, 269, 121799. [Google Scholar] [CrossRef]
- Hu, Y.; Zheng, J. How Does Green Credit Affect Carbon Emissions in China? A Theoretical Analysis Framework and Empirical Study. Environ. Sci. Pollut. Res. 2022, 29, 59712–59726. [Google Scholar] [CrossRef] [PubMed]
- Li, S. Using monetary policy tools to promote green credit: Ideas, objectives and mechanism design. South China Finance 2016, 9, 3–6. [Google Scholar]
- Hubei Takes the Lead in Promoting Green Finance to Support the Green Building Industry. Available online: http://www.hubei.gov.cn/hbfb/bmdt/202210/t20221011_4340025.shtml (accessed on 19 August 2023).
- Huzhou City is Fully Committed to Promoting the Development of Green Buildings. Available online: http://jsj.huzhou.gov.cn/art/2022/3/10/art_1229210069_58920692.html (accessed on 19 August 2023).
- Chaudhari, U.; Bhadoriya, A.; Jani, M.Y.; Sarkar, B. A Generalized Payment Policy for Deteriorating Items When Demand Depends on Price, Stock, and Advertisement under Carbon Tax Regulations. Math. Comput. Simul. 2023, 207, 556–574. [Google Scholar] [CrossRef]
- Bhadoriya, A.; Jani, M.Y.; Chaudhari, U. Combined Effect of Carbon Emission, Exchange Scheme, Trade Credit, and Advertisement Efforts in a Buyer’s Inventory Decision. Process. Integr. Optim. Sustain. 2022, 6, 1043–1061. [Google Scholar] [CrossRef]
- Md Mashud, A.H.; Pervin, M.; Mishra, U.; Daryanto, Y.; Tseng, M.-L.; Lim, M.K. A Sustainable Inventory Model with Controllable Carbon Emissions in Green-Warehouse Farms. J. Clean. Prod. 2021, 298, 126777. [Google Scholar] [CrossRef]







| BFI | Endorse (z) | Not Endorse (1 − z) | ||
|---|---|---|---|---|
| Adopt (x) | Not Adopt (1 − x) | Adopt (x) | Not Adopt (1 − x) | |
| Imply (y) | (A1, A1, A1) | (A2, A2, A2) | (A3, A3, A3) | (A4, A4, A4) |
| Not imply (1 − y) | (A5, A5, A5) | (A6, A6, A6) | (A7, A7, A7) | (A8, A8, A8) |
| Strategy | Developer | BFI | Consumer |
|---|---|---|---|
| (A1, A1, A1) | R2 − I1 + E + B | R1 − Cb + Gb + E + J | Ug − Cc + Gc + B |
| (A2, A2, A2) | R2 − I3 − W2 | R1 − Cb + Gb + J | −Cg |
| (A3, A3, A3) | R2 − I1 + E − W1 | R1 − Cb + Gb + E | 0 |
| (A4, A4, A4) | R2 − I3 + B | R1 − Cb + Gb | B |
| (A5, A5, A5) | R2 − I2 + B + E | R1 + Q − L1 + E | Ug − Cc + B |
| (A6, A6, A6) | R2 − I2 − W2 | R1 − L1 + Q | −Cg |
| (A7, A7, A7) | R2 − I2 − W1 + E | R1 + Q − L1 + E | 0 |
| (A8, A8, A8) | R2 − I2 + B | R1 − L1 + Q | B |
| EQ | λ1 | λ2 | λ3 |
|---|---|---|---|
| E1 (0,0,0) | E − B − W1 | Gb − Cb + L1 − Q | −B − Cg |
| E2 (0,0,1) | B + E + W2 | Gb − Cb + J + L1 − Q | B + Cg |
| E3 (0,1,0) | E − B − I1 + I3 − W1 | Cb − Gb − L1 + Q | −B − Cg |
| E4 (1,0,0) | B − E + W1 | Gb − Cb + L1 − Q | B − Cc + Ug |
| E5 (0,1,1) | B + E − I1 + I3 + W2 | Cb − Gb − J − L1 + Q | B + Cg |
| E6 (1,0,1) | −B − E − W2 | Gb − Cb + J + L1 − Q | Cc − B − Ug |
| E7 (1,1,0) | B − E + I1 − I3 + W1 | Cb − Gb − L1 + Q | B − Cc + Gc + Ug |
| E8 (1,1,1) | I1 − E − B − I3 − W2 | Cb − Gb − J − L1 + Q | Cc − B − Gc − Ug |
| EQ | Situation 1 | Situation 2 | Situation 3 | |||||||||
|---|---|---|---|---|---|---|---|---|---|---|---|---|
| λ1 | λ2 | λ3 | Stability | λ1 | λ2 | λ3 | Stability | λ1 | λ2 | λ3 | Stability | |
| E1 | − | + | − | Unsteady | − | − | − | ESS | − | − | − | ESS |
| E2 | + | + | + | Unsteady | + | + | + | Unsteady | + | − | + | Unsteady |
| E3 | Uncertain | − | − | Unsteady | Uncertain | + | − | Unsteady | Uncertain | + | − | Unsteady |
| E4 | + | + | + | Unsteady | + | − | + | Unsteady | + | − | + | Unsteady |
| E5 | + | − | + | Unsteady | + | − | + | Unsteady | + | + | + | Unsteady |
| E6 | − | + | − | Unsteady | − | + | − | Unsteady | − | − | − | Unsteady |
| E7 | Uncertain | − | + | Unsteady | Uncertain | + | + | Unsteady | Uncertain | + | + | Unsteady |
| E8 | − | − | − | ESS | − | − | − | ESS | − | + | − | Unsteady |
Disclaimer/Publisher’s Note: The statements, opinions and data contained in all publications are solely those of the individual author(s) and contributor(s) and not of MDPI and/or the editor(s). MDPI and/or the editor(s) disclaim responsibility for any injury to people or property resulting from any ideas, methods, instructions or products referred to in the content. |
© 2023 by the authors. Licensee MDPI, Basel, Switzerland. This article is an open access article distributed under the terms and conditions of the Creative Commons Attribution (CC BY) license (https://creativecommons.org/licenses/by/4.0/).
Share and Cite
Li, S.; Zheng, X.; Zeng, Q. Can Green Finance Drive the Development of the Green Building Industry?—Based on the Evolutionary Game Theory. Sustainability 2023, 15, 13134. https://doi.org/10.3390/su151713134
Li S, Zheng X, Zeng Q. Can Green Finance Drive the Development of the Green Building Industry?—Based on the Evolutionary Game Theory. Sustainability. 2023; 15(17):13134. https://doi.org/10.3390/su151713134
Chicago/Turabian StyleLi, Shaoliang, Xiazhong Zheng, and Qin Zeng. 2023. "Can Green Finance Drive the Development of the Green Building Industry?—Based on the Evolutionary Game Theory" Sustainability 15, no. 17: 13134. https://doi.org/10.3390/su151713134
APA StyleLi, S., Zheng, X., & Zeng, Q. (2023). Can Green Finance Drive the Development of the Green Building Industry?—Based on the Evolutionary Game Theory. Sustainability, 15(17), 13134. https://doi.org/10.3390/su151713134

