Estimation of Fuel Consumption through PID Signals Using the Real Emissions Cycle in the City of Quito, Ecuador
Abstract
:1. Introduction
2. Materials and Methods
2.1. Experimental Setup
2.2. Data Acquisition
2.3. Exploratory Study
2.4. Experimental Route Planning
2.5. Model Problem
3. Results
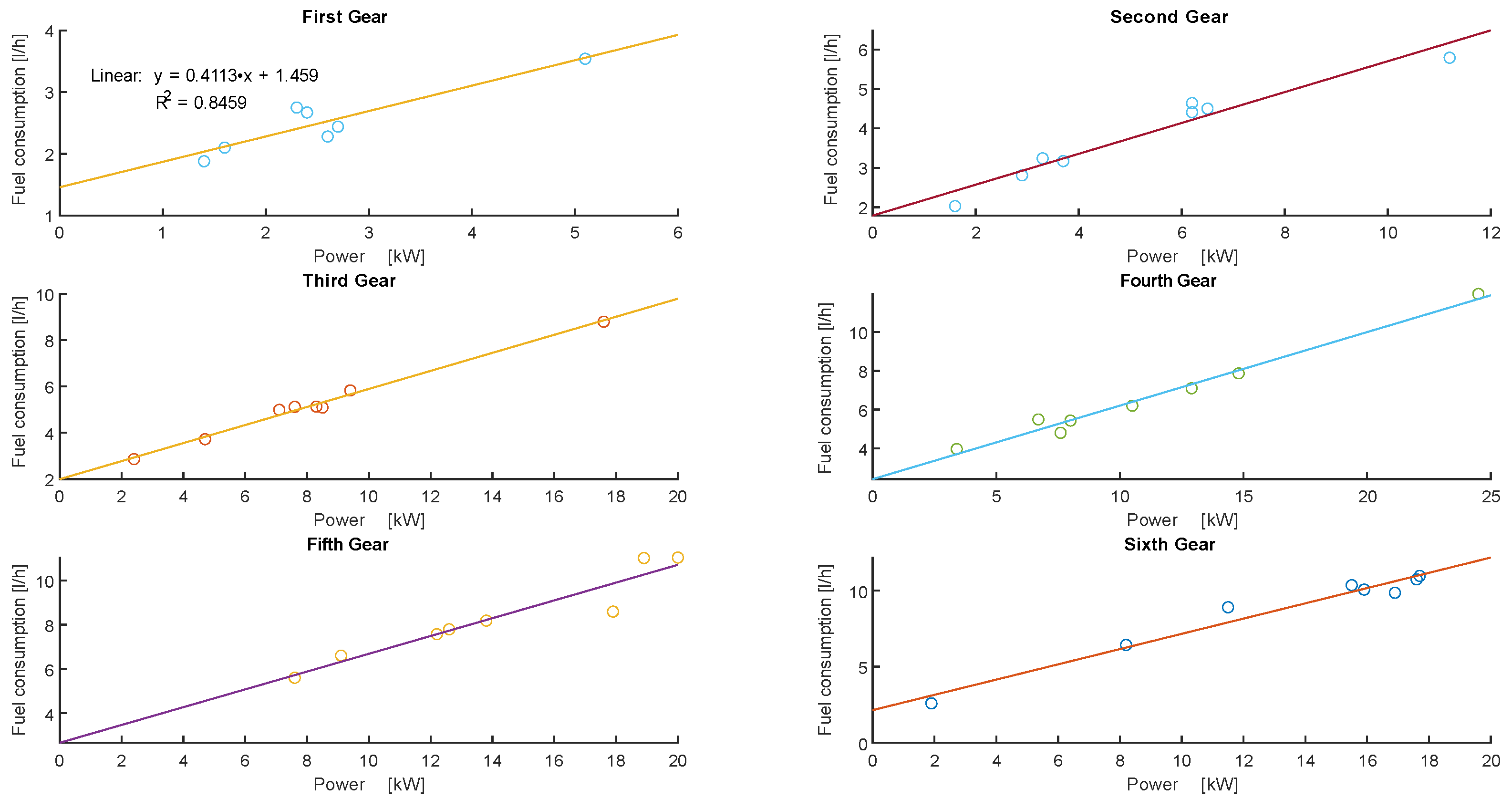
3.1. Linear Model
3.2. Resistive Forces Model
3.3. Neural Network
4. Discussion
5. Conclusions
Funding
Institutional Review Board Statement
Informed Consent Statement
Data Availability Statement
Acknowledgments
Conflicts of Interest
Abbreviations
| ANOVA | Analysis of Variance |
| PID | Parameter identification data |
| RDE | Real driving emissions |
| TPS | Throttle Position Sensor |
| VSS | Vehicle speed |
| ECT | Engine coolant temperature |
| IAT | Air intake temperature |
| MAP | Manifold absolute pressure |
| O | Oxygen sensor |
| OBD | On Board Diagnostics |
| RPM | Engine speed |
| TPS | Throttle position sensor |
| LTFT | Long-term fuel trim |
| STFT | Short-term fuel trim |
| Q-Q plot | Quantile-quantile plot |
| INRIX | Global Traffic Scorecard |
| GPS | Global Positioning System |
References
- Rivera Campoverde, N.; Muñoz Sanz, J.; Arenas Ramírez, B. Modelo de bajo costo para la estimación de emisiones contaminantes basado en GPS y aprendizaje automático. In Proceedings of the XV Ibero-American Congress of Mechanical Engineering (CIBIM 2022), Madrid, Spain, 22–24 November 2022. [Google Scholar]
- Kurtyka, K.; Pielecha, J. The evaluation of exhaust emission in RDE tests including dynamic driving conditions. Transp. Res. Procedia 2019, 40, 338–345. [Google Scholar] [CrossRef]
- Serrano, J.; Piqueras, P.; Sanchis, E.; Diesel, B. A modelling tool for engine and exhaust aftertreatment performance analysis in altitude operation. Results Eng. 2019, 4, 100054. [Google Scholar] [CrossRef]
- Zhou, M.; Jin, H.; Wang, W. A review of vehicle fuel consumption models to evaluate eco-driving and eco-routing. Transp. Res. Part D Transp. Environ. 2016, 49, 203–218. [Google Scholar] [CrossRef]
- Huang, Y.; Ng, E.C.; Zhou, J.L.; Surawski, N.C.; Chan, E.F.; Hong, G. Eco-driving technology for sustainable road transport: A review. Renew. Sustain. Energy Rev. 2018, 93, 596–609. [Google Scholar] [CrossRef]
- Meseguer, J.E.; Calafate, C.T.; Cano, J.C.; Manzoni, P. Assessing the impact of driving behavior on instantaneous fuel consumption. In Proceedings of the 2015 12th Annual IEEE Consumer Communications and Networking Conference (CCNC), Las Vegas, NV, USA, 9–12 January 2015; pp. 443–448. [Google Scholar]
- Cabrera-Montie, W.; Tapia-Fernández, S.; Jiménez-Alonso, F.; Aparicio-Izquierdo, F. Optimización de consumo de combustible de vehículos basada en programación dinámica. DYNA Ing. Ind. 2012, 87, 574–583. [Google Scholar] [CrossRef]
- Wang, J.; Shen, L.; Bi, Y.; Lei, J. Modeling and optimization of a light-duty diesel engine at high altitude with a support vector machine and a genetic algorithm. Fuel 2021, 285, 119137. [Google Scholar] [CrossRef]
- Chen, L.; Du, B.; Zhang, L.; Han, J.; Chen, B.; Zhang, X.; Li, Y.; Zhang, J. Analysis of real-driving emissions from light-duty gasoline vehicles: A comparison of different evaluation methods with considering cold-start emissions. Atmos. Pollut. Res. 2021, 12, 101065. [Google Scholar] [CrossRef]
- Qu, L.; Wang, W.; Li, M.; Xu, X.; Shi, Z.; Mao, H.; Jin, T. Dependence of pollutant emission factors and fuel consumption on driving conditions and gasoline vehicle types. Atmos. Pollut. Res. 2021, 12, 137–146. [Google Scholar] [CrossRef]
- Andrade, P.; Silva, I.; Silva, M.; Flores, T.; Cassiano, J.; Costa, D.G. A tinyml soft-sensor approach for low-cost detection and monitoring of vehicular emissions. Sensors 2022, 22, 3838. [Google Scholar] [CrossRef]
- Zheng, X.; Lu, S.; Yang, L.; Yan, M.; Xu, G.; Wu, X.; Fu, L.; Wu, Y. Real-world fuel consumption of light-duty passenger vehicles using on-board diagnostic (OBD) systems. Front. Environ. Sci. Eng. 2020, 14, 33. [Google Scholar] [CrossRef]
- Doulgeris, S.; Dimaratos, A.; Zacharof, N.; Toumasatos, Z.; Kolokotronis, D.; Samaras, Z. Real world fuel consumption prediction via a combined experimental and modeling technique. Sci. Total Environ. 2020, 734, 139254. [Google Scholar] [CrossRef]
- Gómez, M.M. Introducción a la Metodología de la Investigación Científica; Editorial Brujas: Cordoba, Argentina, 2006. [Google Scholar]
- Molina Campoverde, P.; Molina Campoverde, J.; Bermeo Naula, K.; Novillo, G. Efficiency Increase of Supercharged Engines. In Proceedings of the International Conference on Emerging Smart Cities (ICESC 2022), Surabaya, Indonesia, 29 August–2 September 2022; Springer: Singapore, 2023; pp. 346–356. [Google Scholar]
- Campoverde, P.A.M.; Campoverde, N.D.R.; Espinoza, J.E.M.; Fernandez, G.M.R.; Novillo, G.P. Influence of the road slope on NOx emissions during start up. Mater. Today Proc. 2022, 49, 8–15. [Google Scholar] [CrossRef]
- INRIX. The 2022 Global Traffic Scorecard. 2022. Available online: https://inrix.com/scorecard/#form-download-the-full-report (accessed on 31 May 2023).
- García-Contreras, R.; Soriano, J.A.; Fernández-Yáñez, P.; Sánchez-Rodríguez, L.; Mata, C.; Gómez, A.; Armas, O.; Cárdenas, M.D. Impact of regulated pollutant emissions of Euro 6d-Temp light-duty diesel vehicles under real driving conditions. J. Clean. Prod. 2021, 286, 124927. [Google Scholar] [CrossRef]
- Triantafyllopoulos, G.; Katsaounis, D.; Karamitros, D.; Ntziachristos, L.; Samaras, Z. Experimental assessment of the potential to decrease diesel NOx emissions beyond minimum requirements for Euro 6 Real Drive Emissions (RDE) compliance. Sci. Total Environ. 2018, 618, 1400–1407. [Google Scholar] [CrossRef] [PubMed]
- Rojas-Reinoso, V.; Alvarez-Loor, J.; Zambrano-Becerra, H.; Soriano, J.A. Comparative Study of Gasoline Fuel Mixture to Reduce Emissions in the Metropolitan District. Sustainability 2023, 15, 2921. [Google Scholar] [CrossRef]
- Zeng, W.; Miwa, T.; Morikawa, T. Prediction of vehicle CO2 emission and its application to eco-routing navigation. Transp. Res. Part C Emerg. Technol. 2016, 68, 194–214. [Google Scholar] [CrossRef]
- Ni, D.; Yao, C.; Zheng, X.; Huang, Q.; Luo, D.; Sun, F. Equivalent Consumption Minimization Strategy of Hybrid Electric Vehicle Integrated with Driving Cycle Prediction Method. Machines 2023, 11, 576. [Google Scholar] [CrossRef]
- Saerens, B.; Vandersteen, J.; Persoons, T.; Swevers, J.; Diehl, M.; Van den Bulck, E. Minimization of the fuel consumption of a gasoline engine using dynamic optimization. Appl. Energy 2009, 86, 1582–1588. [Google Scholar] [CrossRef]
- Kia. Kia Rio Hactchback Vehicle Specifications. 2023. Available online: https://www.kia.com/ec/showroom/nuevo-rio5/specification.html (accessed on 8 May 2023).
- Pam, A.; Bouscayrol, A.; Fiani, P.; Faval, F.; Barrade, P. Integration of the Road Slope in the Optimization of the Energy Management Strategy of a parallel HEV. IFAC PapersOnLine 2019, 52, 28–33. [Google Scholar] [CrossRef]
- Mamala, J.J.; Brol, S.; Jantos, J. The Estimation of the Engine Power with Use of an Accelerometer; Technical Report; SAE Technical Paper: Warrendale, PA, USA, 2010. [Google Scholar]
- Rivera-Campoverde, N.D.; Muñoz-Sanz, J.L.; Arenas-Ramirez, B.d.V. Estimation of pollutant emissions in real driving conditions based on data from OBD and machine learning. Sensors 2021, 21, 6344. [Google Scholar] [CrossRef]
- Jo, S.; Kim, H.J.; Kwon, S.I.; Lee, J.T.; Park, S. Assessment of Energy Consumption Characteristics of Ultra-Heavy-Duty Vehicles under Real Driving Conditions. Energies 2023, 16, 2333. [Google Scholar] [CrossRef]
- Ni, D.; Henclewood, D. Simple engine models for VII-Enabled in-vehicle applications. IEEE Trans. Veh. Technol. 2008, 57, 2695–2702. [Google Scholar]
- Topić, J.; Škugor, B.; Deur, J. Neural network-based prediction of vehicle fuel consumption based on driving cycle data. Sustainability 2022, 14, 744. [Google Scholar] [CrossRef]
- Bishop, J.D.; Stettler, M.E.; Molden, N.; Boies, A.M. Engine maps of fuel use and emissions from transient driving cycles. Appl. Energy 2016, 183, 202–217. [Google Scholar] [CrossRef]
- Pelkmans, L.; Debal, P. Comparison of on-road emissions with emissions measured on chassis dynamometer test cycles. Transp. Res. Part D Transp. Environ. 2006, 11, 233–241. [Google Scholar] [CrossRef]
- De Vincenzi, M. DRIVES: Android App for Automotive Customized Services. In Proceedings of the 2022 IEEE/ACS 19th International Conference on Computer Systems and Applications (AICCSA), Abu Dhabi, United Arab Emirates, 5–8 December 2022; pp. 1–8. [Google Scholar]
- Abukhalil, T.; AlMahafzah, H.; Alksasbeh, M.; Alqaralleh, B.A. Fuel consumption using OBD-II and support vector machine model. J. Robot. 2020, 2020, 9450178. [Google Scholar] [CrossRef]
- Zhou, M.; Jin, H. Development of a transient fuel consumption model. Transp. Res. Part D Transp. Environ. 2017, 51, 82–93. [Google Scholar] [CrossRef]
- Masih-Tehrani, M.; Ebrahimi-Nejad, S.; Dahmardeh, M. Combined fuel consumption and emission optimization model for heavy construction equipment. Autom. Constr. 2020, 110, 103007. [Google Scholar] [CrossRef]





















| Variable | Nomenclature | Unit |
|---|---|---|
| Longitudinal Acceleration | Acceleration | m/s |
| Vehicle speed | VSS | km/h |
| Engine coolant temperature | ECT | C |
| Intake air temperature | IAT | C |
| Manifold absolute pressure | MAP | KPa |
| Oxygen sensor | O | V |
| Engine speed | RPM | rpm |
| Throttle position sensor | TPS | % |
| Long-term fuel trim | LTFT | % |
| Short-term fuel trim | STFT | % |
| Estimate | Std. Error | t Value | p Value (>|t|) | |
|---|---|---|---|---|
| Intercept | 202.960 | 22.372 | 9.072 | <2 × 10 |
| VSS | 0.0004563 | 0.0159524 | 0.029 | 0.977 |
| RPM | 0.0039700 | 0.0004691 | 8.463 | <2 × 10 |
| TPS | −0.0390718 | 0.0027167 | −14.382 | <2 × 10 |
| MAP | −0.2379535 | 0.0273602 | −8.697 | <2 × 10 |
| IAT | −0.0083322 | 0.0210253 | −0.396 | 0.692 |
| ECT | −0.0068182 | 0.0088618 | −0.769 | 0.442 |
| VSS | RPM | TPS | MAP | IAT | ECT |
|---|---|---|---|---|---|
| 5592.149 | 5610.453 | 1.940 | 5.436 | 53.2546 | 20.424 |
| Estimate | Std. Error | t Value | p Value (>|t|) | |
|---|---|---|---|---|
| Intercept | 190.688 | 16.913 | 11.27 | <2 × 10 |
| RPM | 0.0039817 | 0.0000118 | 337.41 | <2 × 10 |
| TPS | −0.0385491 | 0.0024030 | −16.04 | <2 × 10 |
| MAP | −0.2362665 | 0.0232931 | −10.14 | <2 × 10 |
| Parameter | Urban | Rural | Highway | Unit |
|---|---|---|---|---|
| Speed Limit | <60 | 60 … 90 | >90 | km/h |
| Average speed | 19.42 (15 … 30) | 68.43 (60 … 90) | 73.18 (>90) | km/h |
| Minimum distance | 17.52 (>16) | 21.02 (>16) | 20.55 (>16) | % |
| Percentage of distance | 29.65 (28 … 43) | 35.57 (23 … 43) | 34.74 (23 … 43) | % |
| Stopping Time | 28.34 (>10) | - | - | % |
| j | 1 | 2 | 3 | 4 | 5 | 6 |
|---|---|---|---|---|---|---|
| 4.3014 | 2.3969 | 1.5779 | 1.2218 | 1 | 0.8418 | |
| 1.08 | 1.0544 | 1.0462 | 1.0437 | 1.0425 | 1.0418 | |
| 0.8031 | 0.8056 | 0.8085 | 0.8111 | 0.8136 | 0.8162 |
| Method | Total Consumption (Liters) | Relative Error |
|---|---|---|
| Fuel—PID | 5.2845 | - |
| Linear Adjustment | 2.9556 | 44.1% |
| Commercial Application | 4.8122 | 8.9% |
| Algorithm | 5.0100 | 5.2% |
| Neural Network | 5.5772 | 5.5% |
Disclaimer/Publisher’s Note: The statements, opinions and data contained in all publications are solely those of the individual author(s) and contributor(s) and not of MDPI and/or the editor(s). MDPI and/or the editor(s) disclaim responsibility for any injury to people or property resulting from any ideas, methods, instructions or products referred to in the content. |
© 2023 by the author. Licensee MDPI, Basel, Switzerland. This article is an open access article distributed under the terms and conditions of the Creative Commons Attribution (CC BY) license (https://creativecommons.org/licenses/by/4.0/).
Share and Cite
Molina Campoverde, P.A. Estimation of Fuel Consumption through PID Signals Using the Real Emissions Cycle in the City of Quito, Ecuador. Sustainability 2023, 15, 12474. https://doi.org/10.3390/su151612474
Molina Campoverde PA. Estimation of Fuel Consumption through PID Signals Using the Real Emissions Cycle in the City of Quito, Ecuador. Sustainability. 2023; 15(16):12474. https://doi.org/10.3390/su151612474
Chicago/Turabian StyleMolina Campoverde, Paúl Andrés. 2023. "Estimation of Fuel Consumption through PID Signals Using the Real Emissions Cycle in the City of Quito, Ecuador" Sustainability 15, no. 16: 12474. https://doi.org/10.3390/su151612474
APA StyleMolina Campoverde, P. A. (2023). Estimation of Fuel Consumption through PID Signals Using the Real Emissions Cycle in the City of Quito, Ecuador. Sustainability, 15(16), 12474. https://doi.org/10.3390/su151612474

