Abstract
This study investigates the substantial contribution of the recent numerical optimization technique known as the White Shark Optimizer (WSO) to evaluate the performance of proton exchange membrane fuel cell (PEMFC) design parameters that play a considerable role in boosting its effectiveness. A numerical code was developed and implemented via MATLAB software to achieve the research goal. The proposed WSO was employed to identify the unknown parameters of the PEMFC equivalent circuit, considering experimental data. The analyzed objective function was the root mean squared error (RMSE) between the measured and estimated fuel cell terminal voltages. Additionally, the proposed WSO was compared with other intelligent approaches such as the salp swarm algorithm (SSA), Harris hawks optimization (HHO), atom search optimization (ASO), dung beetle optimization algorithm (DBOA), stochastic paint optimizer (SPO), and comprehensive learning Archimedes optimization algorithm (HCLAOA). The numerical simulations revealed that the RMSE values varied between lower and higher values of 0.009095329 and 0.028663611, respectively. Additionally, the results indicated that the mean fitness value recorded in the considered PEMFC 250 W stack was 0.020057775. Moreover, the minimum fitness value was obtained using the proposed WSO, with an operating temperature of 353.15 K and working anode and cathode pressures are 3 bar and 5 bar, respectively. The proposed WSO offered the best results in terms of absolute errors compared to the other optimizers, confirming the robustness of the results in all considered cases.
1. Introduction
Fossil fuels cause significant amounts of pollution and negative environmental consequences, including global warming and climate change. Different novel techniques and alternative electrical power generation sources have been developed over the last decades. One of these active approaches is renewable energy sources (RESs). Most renewable energy sources are intermittent, opening spatial and temporal gaps between the availability of the energy and its consumption by end users [1]. To address these issues, additional energy storage systems are needed for the power grid; however, this action may increase the operational complexity. The fuel cell (FC) is different; as long as the hydrogen supply is sufficient, it can provide continuous power. The use of FCs has several key advantages and positive ecological impacts that help in mitigating the various adverse effects and negative environmental consequences of these harmful fuels. Scholars have developed some beneficial mechanisms to assess and evaluate the effectiveness and efficiency of FCs. Optimization techniques have been used to examine and improve the performance of FCs, confirming that they operate with higher efficiency. Optimization can be described as the process by which numerical analysis is applied to choose the most appropriate design depending on a set of variables and parameters. It exploits mathematical algorithms, including gradient-based and gradient-free algorithms, multidisciplinary design optimization, uncertainty, and several powerful algorithms that help in choosing the best solution for the problem. Additionally, optimization is a vital to determine the most suitable solution for several applications such as electrical, chemical, industrial, mechanical, civil, and aerospace engineering [2]. William Grove first invented FCs in 1839 as a method for electrical power production by combining oxygen with hydrogen [3]. In this context, the FCs operate similarly to batteries. They can store chemical potential energy and convert this energy into electrical power. This process results in generating thermal energy and water as byproducts [4].
Several RESs are exceptionally significant and beneficial for achieving the global climate agreement goals for mitigating global environmental problems like air pollution resulting from greenhouse gas (GHG) emissions and fossil fuel problems [5,6]. However, relying on RESs alone provides unreliable energy security due to the intermittent nature of solar irradiation and wind [7]. Consequently, using FCs provides an effective solution to make these RESs more reliable, helping them offer higher-energy security rates for residential, commercial, and industrial applications. FCs can split water into hydrogen and oxygen gases during solar or wind energy peak production. Hydrogen gas is stored in a storage cylinder for later use, while oxygen gas can flow into the atmosphere. When there is a peak demand while solar irradiation is inadequate (during cloudy days or at night) and the wind speed is insufficient, the stored hydrogen can react with atmospheric oxygen to produce electrical power and water as a byproduct, representing the electricity production and the electrolysis equations, respectively [8].
Many works have been conducted to estimate the parameters of FC equivalent circuits. Shilaja et al. [9] performed a study exploring the critical role of adaptive Cuckoo search optimization (ACSO) and improved particle swarm optimization (IPSO) in enhancing the performance of PEMFCs, which are used to power several EVs depending on the DC current fed to converter with a single switch. They relied on a MATLAB/Simulink environment analysis in which the critical benefits of the DC–DC converter were identified, enhancing the performance of PEMFCs. The study findings revealed that PEMFCs are highly reliable and effective in electric vehicles (EVs) due to their higher efficiencies and higher starting velocities. Hasanien et al. [10] conducted an analysis examining the critical role of optimization techniques in improving the performance of PEMFCs. They used the transient search optimization (TSO) algorithm to evaluate a precise electric model related to PEMFC. Two variables were used to improve the TSO algorithm: the Weibull distribution function and the Lévy function. The enhanced TSO algorithm was implemented to evaluate seven parameters by mitigating the summation of square errors between the assessed and computed voltage values. Fahim et al. [11] investigated the leading benefits and contributions of the Hunger Games search (HGS) algorithm in enhancing PEMFC operation. The authors modeled and simulated the HGS algorithm using the MATLAB/Simulink environment. They implemented the HGS algorithm to solve the unknown parameters of two different FCs: BCS 500 W and Ballard Mark PEMFCs. Alsaidan et al. [12] carried out research investigating the beneficial role and significance of the chaos game optimization (CGO) algorithm in improving the performance and effectiveness of PEMFCs operating under several conditions. The authors constructed a model of a PEMFC and implemented the algorithm to monitor its performance. They considered three PEMFCs, including a 6 kW Nedstack PS6 PEMFC, AVISTA SR-12 500 W, and Ballard Mark V. Yakout et al. [13] conducted an analysis exploring the critical contribution of optimization using the marine predator algorithm (MPA) to identify seven unknown parameters of the PEMFC model. They also implemented a semi-empirical equation to define the PEMFC current–voltage (I–V) curves. Three PEMFCs were investigated to validate the effectiveness and accuracy of MPA: Temasek 1 kW, BCS stack 500 W, and Ballard Mark 5 kW. Hachana et al. [14] used the hybrid artificial bee colony differential evolution (ABCDE) algorithm to enhance PEMFC performance. They used the mutation strategy’s double execution to enhance the exploitation ability of the presented algorithm. In addition, they compared the effectiveness of the presented approach with the enhanced Lévy flight bat algorithm, artificial ecosystem-based optimization, and shuffled complicated evolution optimizer. Five PEMFCs, Modular SR-12, Horizon H-12, Ballard Mark V, NedStack PS6, and BCS 500 W, were analyzed. Li et al. [15] introduced the shuffled multi-simplexes search (SMSS) algorithm to enhance PEMFC operation. The authors implemented the analysis through MATLAB/Simulink and conducted an experimental analysis to evaluate the I–V curves. Furthermore, experimental work has been carried out to compare the effectiveness of the presented algorithm with other innovative approaches. Sultan et al. [16] conducted analytical research work to identify the substantial rationales and pivotal merits of the bonobo optimization (BO) model in monitoring PEMFC effectiveness. Additionally, the scholars compared the performance of the presented algorithm with other practical numerical machine learning (ML) techniques according to the quality of the polarization curves of FC current and voltage. Menesy et al. [17] used the improved chaotic electromagnetic field optimizer (ICEFO) algorithm to establish an equivalent circuit for different PEMFCs.
Establishing a mathematical model for FCs to simulate real performance represents a significant challenge due to the complex nature of their operation. Additionally, the process of FC modeling requires accurate input data, numerous measured patterns under different conditions, and a reliable method for estimating its parameters. However, it is noted that despite the successful analysis of fuel cell modeling by these scholars, their works faced drawbacks and issues, such as a low convergence rate, the requirement of excessive computational time, and susceptibility to falling into local optima, which limited their outcomes. Remarkably, they clarified the importance of further optimization work and numerical simulations that could provide more evaluation and necessary data to describe and examine the performance of fuel cells [18].
Consequently, this work aims to overcome these barriers and limitations by investigating more data on the design parameters of PEMFCs using the white shark optimizer (WSO). The WSO approach was selected for its flexibility in handling high-dimensional problems, its simplicity and robustness, and its ability to guarantees accurate solutions by avoiding getting stuck in local optima. For the first time, the WSO is proposed to model the PEMFC such that the RMSE between the estimated and measured polarization curves is minimized. The analysis was performed on various rated PEMFC stacks operated at different conditions.
The rest of the paper is organized as follows: Section 2 provides an explanation of PEMFC. In Section 3, the materials and methods employed in this work are presented. Section 4 explains the main aspects of the WSO, while Section 5 explains the proposed WSO-based approach. Section 6 provides the results and discussion. The conclusions and future recommendations are introduced in Section 7.
2. Description of PEMFC
The polymer electrolyte membrane fuel cell is a category of practical fuel cells developed to serve different transportation applications. PEMFCs are also employed for stationary applications, where they provide clean electrical power for domestic, commercial, or industrial uses. In addition, these PEMFCs can be used as portable fuel cells to supply clean electrical power for transferable applications [19]. Figure 1 illustrates a typical working principle of PEMFC [20]. The input to the PEMFC consists of fuel hydrogen (H2) at the anode and oxygen (O2) at the cathode, which generates positive and negative charges at the anode. The negative charges are electrons that pass through the load, producing electrical energy, while the positive H2 particles are transferred to the cathode through the proton exchange membrane. They react with the O2 at the cathode and produce water.
Figure 1.
Typical working principles of PEMFCs.
PEMFCs are characterized by their lower temperature and pressure working ranges. The common operating temperature of PEMFCs varies between 50 and 100 °C [21], while the operating pressure ranges between 3 bar and 4 bar [22].
A mathematical model of the PEMFC is based on the description and investigation of its effectiveness and electrical outputs, which follow essential relationships and critical correlations to examine the performance of PEMFC. For example, two chemical reactions occurring in the PEMFC are used to represent the anode and cathode formulas [23].
The following equation is used for anode chemical reaction illustration:
Equation (2) is employed to describe the cathode chemical reaction:
The overall chemical reaction can also be described in the subsequent correlation.
In addition, the PEMFC terminal voltage can be calculated as follows [23]:
where:
Reversible thermodynamic potential
Activation voltage drop
Ohmic voltage drop
Concentration voltage drop
The value of can be calculated as follows:
where:
Reference voltage
: Faraday constant
: Universal gas constant
: PEMFC temperature (K)
: Number of transferred electrons
: Partial hydrogen pressure
: Partial oxygen pressure
The partial pressures of oxygen and hydrogen can be used to calculate the as follows:
where is the stack temperature in Kelvin. On the other hand, the activation voltage drop can be calculated as:
where denotes the PEMFC current, indicates the current exchange density, and presents the transfer coefficient. Here, the activation voltage drop can be reformulated as follows:
where , , , and are the design coefficients and is the oxygen concentration. The value of can be computed using the following formula:
The ohmic voltage drop takes place inside the PEMFC due to its equivalent resistance, which is described as follows:
where indicates the membrane resistance, which can be estimated as follows:
where denotes the thickness of membrane, refers to the membrane active area, and is the membrane resistivity, which can be calculated as:
where denotes the membrane water content. The concentration voltage drop can be computed using Equation (13):
where is the maximum current density and is a constant. Therefore, the PEMFC voltage with series cells can be computed as:
In these equations, there are seven parameters that are not given by the manufacturer: , , , , , , and . In this work, the WSO is proposed to estimate these parameters using experimental data.
3. Materials and Methods
In this work, the performance of a PEMFC is investigated, taking into consideration the electrolyte, anode, cathode thickness, and anode porosity. The research method implemented to achieve this goal involves numerical optimization, where smart algorithms are utilized to examine and evaluate the unknown parameters of the PEMFC equivalent circuit. Figure 2 illustrates the research methodology adopted in this work. The numerical analysis depends on a metaheuristic optimization mechanism, including the proposed WSO in comparison with the stochastic paint optimizer (SPO), Harris hawks optimization (HHO), atom search optimization (ASO), dung beetle optimization algorithm (DBOA), and comprehensive learning Archimedes optimization algorithm (HCLAOA) [23]. The proposed WSO is employed to determine the parameters of the PEMFC equivalent circuit with the aid of experimental data recorded at certain temperature, pressure, and demand power conditions.
Figure 2.
The research method adopted in this work.
4. White Shark Optimizer (WSO)
The white shark optimizer (WSO) is a practical intelligent metaheuristic model which is capable of providing solutions to various optimization problems within a continuous search area. This approach was introduced in 2022, and it mimics the predation process of white sharks based on smell and vision [24].
The basic concept and fundamental idea associated with this algorithm are influenced by the behavior of great white sharks, which possess extraordinary senses of smell and hearing during the foraging and navigation process. These unique elements can be numerically modeled and mathematically investigated to provide a sufficient balance between examination and utilization of this scheme, supporting search agents in exploring and exploiting every potential zone of the search area to achieve better optimization. Meanwhile, the search agents of WSO can randomly upgrade their locations in accordance with the most approximate optimum solutions to reach the necessary outputs in the end. Ref. [24] conducted an analysis evaluating some functional relationships involved in the WSO. They reported that the location of a white shark can be determined using Equation (15):
where indicates the white shark position related to dimension. It can be computed using the upper () and lower () limits of the algorithm search region in the dimension as follows:
where denotes a random number in the bound of [0, 1]. Here, the initial fitness amounts can be computed for the initial solutions provided in Equation (15). At the same time, an upgrading stage is deployed when the new location is more appropriate compared to the previous one.
When the great white shark notices the prey’s position using its wave frequency, it can move towards its prey in oscillating motions, relying on the velocity expressed as:
where and are the upgraded current velocities of white shark in iterations and , respectively, and represent the influences of white the sharks that monitor and . , indicates the optimum global position at iteration, while presents the location of white shark in iteration . and are random numbers in the range of [0, 1]. The parameter symbolizes the best-defined position to the swarm during the iteration process of frequency , and is the WSO constriction factor that analyzes the convergence behavior of white sharks as follows:
where is a vector with random numbers in the range of [0, 1]. The variables and given in Equation (17) can be calculated using the following relationships:
where and represent the maximum and minimum velocities of great white shark movement. In this context, and are assumed as 1.5 and 0.5, respectively. Meanwhile, is the current iteration and indicates the maximum iteration. The white shark position is updated based on the following formula:
where denotes the negation operator, is a logical vector, and are the upper and lower bounds of the search space, and represent binary vectors, refers to the wavy motion frequency of the white shark.
The movement toward the best shark can be expressed as:
where is the new position of the ith white shark with respect to the prey, and , , and are random values within the range of [0, 1]. can change the direction of the search, as it gives either 1 or −1. describes the strength of the white shark’s sight and smell senses, while denotes the distance between the prey and the white shark. The shark optimizer working principle is shown in the flowchart given in Figure 3 [25].
Figure 3.
Flowchart of the white shark optimization algorithm.
In this work, seven parameters to be estimated are , , , , , , and , while the root mean square error (RMSE) between the experimental and model terminal voltages is selected as the fitness function, which can be written as follows:
where denotes the number of recorded data, and and are the patterns of the experimental and measured stack voltages, respectively. Equation (23) can be expressed as a function of the design variables as follows:
where , , and are nonlinear functions. The considered constraints are expressed as follows:
where and are the lower and upper values of , respectively. and refer to the minimum and maximum limits of membrane water content, respectively. The terms and denote the minimum and maximum bounds of , respectively, while and are the minimum and maximum values of membrane resistance, respectively.
5. The Proposed WSO-Based Approach
In this section, the proposed methodology incorporates WSO to construct the equivalent circuit of the FC is explained. This is the first time that WSO is applied to establish the PEMFC model using measured polarization curves. The methodology starts by defining the FC specifications, operating conditions, and measured data of voltage and current. Additionally, the WSO parameters, including the maximum iteration (K), search agent (n), and number of runs (nrun), are defined. The search space bounds (ubj, lbj) are also specified. Based on these bounds, an initial population matrix with probable solutions is formulated using Equation (16). Each row in this matrix represents a solution, and each one is used to generate the initial stack voltage of the PEMFC. Then, the initial RMSE is calculated using Equation (23). The iterative process given in Figure 3 is implemented, and the variables are evaluated for updates if there is an improvement in the obtained fitness function. The process continues until all search agents and iterations are conducted. At this point, the measured polarization curves are compared to the constructed model characteristics, and the optimal parameters are printed (Algorithm 1).
| Algorithm 1. Pseudocode of the proposed WSO. |
| 1: Define the electrical specifications of the FC and operating conditions. 2: Input the measured data for stack voltage and current. 3: Define the parameters of WSO approach (K, n, and nrun) and the search space bounds (ubj, lbj). 4: Initialize the population matrix with probable solutions using Equation (16). 5: Generate the initial estimated voltage of PEMFC and calculate the RMSE using Equation (23) (). 6: While l < nrun do 7: While k < K do 8: While i < n do 9: Calculate the velocity of initial population (. 10: Update the values of parameters v, p1, p2, μ, a, b, wo, f, mv, and Ss. 11: Calculate the updated velocity of ith white shark using Equation (17). 12: Compute the new position of ith white shark toward the prey using Equation (21). 13: if rand < Ss then 14: Calculate the distance between the prey and ith white shark. 15: Update the movement of ith white shark towards the best one using Equation (22). 16: end if 17: Generate the estimated voltage of PEMFC and calculate the new RMSE using Equation (23) (). 18: if < then 19: Update the FC circuit parameters and fitness value. 20: end if 21: i = i + 1 22: end while 23: k = k + 1 24: end while 25: l = l + 1 26: end while 27: Plot the polarization curves of the estimated and measured data 28: Print the optimal parameters of PEMFC |
6. Results and Discussion
This section presents the numerical analysis conducted using MATLAB software, considering the proposed approach and comparing it to the other algorithms described previously. The results of this work are classified and explained depending on the absolute error, stack voltage, and mean fitness value. Some variables are defined, like fuel cell pressure, operating temperature, and demand power. Table 1 indicates certain boundary conditions and necessary constraints considered in the formulated problem for identifying the PEMFC circuit parameters [23]. Two PEMFCs were analyzed with capacities of 250 W and 500 W. The analysis was performed with 2000 iterations and 100 search agents, and 30 independent runs were implemented in this numerical work. For the 250 W FC, four groups of anode pressure, cathode pressure, and temperature were used, as illustrated in Table 2.
Table 1.
Boundary conditions of the considered PEMFCs.
Table 2.
Anode and cathode pressure amounts considered in the 250 W PEMFC.
Referring to the first category, Table 3 depicts the results of the numerical optimization analysis. It can be inferred that the values of the four coefficients used in Equation (8), η1, η2, η3, and η4 varied between −0.9830 and 0.0017 for range 1 (in which the PEMFC operates at a pressure of 1.5 bar). In this case, the best RMSE was 0.0065650106, obtained through the proposed WSO. On the other hand, the worst fitness value was 0.0066070152, obtained from the ASO. In order to confirm the competence of the proposed algorithm, a comparison with other recent optimizers, DBOA and SPO, was conducted. Additionally, the proposed approach was compared to HCLAOA [23]. The fitness values of 0.0065650549 and 0.0065650829 were obtained using the DBO and SPO, respectively, while HCLAOA achieved a fitness value of 0.0977. This confirms the preference for the proposed approach in such opearting conditions. During range 2, the best and worst fitness values were 0.0065635861 and 0.0092132971 using the proposed WSO and ASO, respectively. Moreover, DBO and SPO achieved RMSE values of 0.0635611941 and 0.0635611941, respectively, while the HCLAOA [23] achieved a fitness value of 0.0002. The proposed WSO performed well in estimating the parameters of the 250-W stack. The variations of absolute error with current in both studied cases are provided in Figure 4.
Table 3.
The optimal results of the 250 W PEMFC at a temperature of 343.15 K and different pressures.
Figure 4.
Variations in absolute error and PEMFC current at a temperature of 343.15 K, an anode pressure of 1 bar, and a cathode pressure of 1 bar for (a) Range 1 and (b) Range 2.
It is essential to investigate the proposed WSO in constructing the model of PEMFC operated at different operating temperatures, anode pressures, and cathode pressures. Table 4 includes the optimal parameters obtained under various conditions in both studied ranges. It can be observed from the numerical results illustrated in Table 4 that the RMSE values ranged between minimum and maximum rates of 0.009095329 and 0.028663611, respectively. When the stack was operated at Pa = Pc = 1.5 bar, the best fitness value in range 1 was 0.0227666199, obtained through the proposed WSO, while SSA comes in the second rank, achieving an RMSE of 0.0227668628. On the other hand, the worst fitness value was 0.1257577650, obtained via DBO. The proposed approach is the best among the considered approaches in this operating condition. Moreover, regarding the operating condition of T = 353.15 K, Pa = 3.0 bar, and Pc = 5.0 bar, the proposed WSO accomplished the best fitness value of 0.009100065. The obtained results confirmed the preference of the proposed WSO in achieving the lowest RMSE in all considered operating conditions.
Table 4.
The PEMFC results under different operating temperatures, anode, and cathode pressure values.
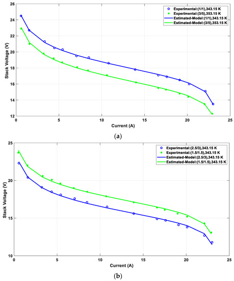
Regarding the electrical characteristics of the PEMFC, the relationship between the voltage and current associated with the electrical power generated from the fuel cell is investigated. Figure 5 indicates the polarization curves, which depict the relationship between the stack voltage and current generated from the PEMFC for the two scenarios of operating conditions and the corresponding measured patterns.
Figure 5.
I–V curves of PEMFC during (a) the first scenario and (b) the second scenario.
The first scenario can be clarified as follows:
The second scenario is conducted as follows:
It can be inferred from Figure 5 that the stack voltage associated with the first scenario ranged between approximately 12 V and 25 V for the operating conditions related to the first scenario. Meanwhile, the stack voltage for the second scenario ranged between 11 V and 24 V. It is clear that the model curves obtained via the proposed WSO were closely matched to the experimental curves in both studied scenarios.
The second considered FC was a 500 W stack. In this case, three groups of different 500 W stacks were analyzed, which are described in Table 5.
Table 5.
Various 500-W FC stacks.
Table 6 shows the research outputs of the NedStack PS6 FC. It can be concluded that the proposed approach succeeded in achieving the least RMSE of 0.710589 compared to the others, with SSA coming in second place. Meanwhile. the ASO was the worst optimizer, achieving a RMSE of 0.9128205567. The proposed approach outperformed the other considered algorithms for NedStack PS6.
Table 6.
Research findings of PEMFC optimization of NedStack PS6.
The optimal parameters of BCS 500 W are given in Table 7. In this case, both WSO and SSA achieved the same fitness value of 0.6341, while ASO remained in the last rank. Additionally, the terms η1, η2, η3, and η4 had values in the range [−1.1997–22.3185]. Moreover, the values of λ had varied between 13.285 and 22.319, and the contact resistance of electron conduction varied between 0.130 Ω and 0.165 Ω. The proposed WSO achieved an efficient fitness value for the BCS 500 W stack.
Table 7.
Research findings of PEMFC optimization linked to BCS 500 W.
The last considered FC is SR-12PEM 500 W, and its optimal values are tabulated in Table 8. Here, the best RMSE was 0.2846, obtained through the proposed WSO, while ASO remained in the back with an RMSE of 0.33444. Moreover, the values of Nernst voltage terms varied in range [−1.1997–0.0033], and the values of λ varied between 18.162 and 23.000. At the same time, the values of contact resistance of electron conduction varied between 0.489 Ω and 0.500 Ω. The proposed WSO succeeded in obtaining the best fitness value for the 12PEM 500 W stack.
Table 8.
Research findings of PEMFC optimization linked to SR-12PEM 500 W.
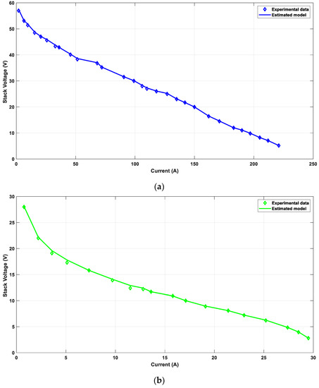
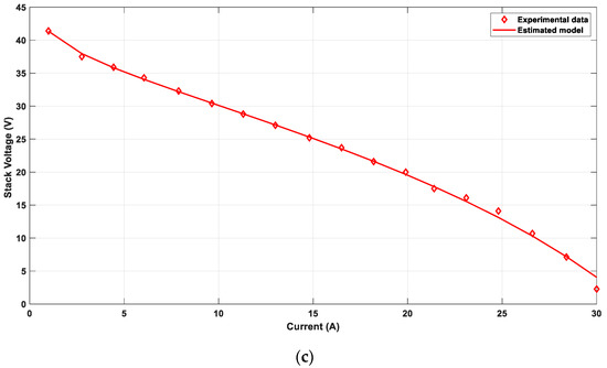
The polarization curves for the NedStack PS6, BCS 500 W, and SR-12PEM 500 W stacks obtained using the proposed WSO are shown in Figure 6. The curves confirmed that there was significant convergence between the estimated and measured curves for all the considered 500 W stacks. This proved the competence of the proposed WSO in establishing a reliable circuit for all the considered FCs.

Figure 6.
The polarization curves obtained using the proposed WSO for the (a) NedStack PS6, (b) BCS 500 W, and (c) SR-12PEM 500 W stacks.
Additionally, some numerical outcomes related to the variations in the mean fitness values with the number of iterations were explored and attained. Figure 7 describes the variations in mean fitness values with the number of iterations for all intelligent algorithms considered in this work under an operating temperature of 343.15 K, while the anode and cathode pressures were 1.0 bar. It is noted that the proposed WSO had the fast convergence rate rather compared to the others.

Figure 7.
Mean fitness value variations with the number of iterations related to PEMFC under an operating temperature of 343.15 K and anode and cathode pressures of 1.0 bar for (a) Range 1 and (b) Range 2.
A similar convergence curve was investigated to predict the mean fitness value with the number of iterations when the anode and cathode pressures were set to 1.5 bar at an operating temperature of 343.15 K, which is illustrated in Figure 8. The ASO algorithm provided the highest mean fitness value with the number of iterations. At the same time, all the optimization algorithms had very low mean fitness values when the number of iterations was high.

Figure 8.
Mean fitness value (MSE) variation with the number of iterations related to PEMFC when the anode and cathode pressure is 1.5 bar at an operating temperature of 343.15 K for (a) Range 1 and (b) Range 2.
Furthermore, Figure 9 indicates the variations in the mean fitness values with the number of iterations related to PEMFC under anode and cathode pressures of 2.5 bar and 3 bar, respectively, while the operating temperature was 343.15 K. It was deduced that all the intelligent algorithms investigated in this research had mean fitness value of zero when the number of iterations exceeded roughly 50 times. However, they differed in the mean fitness value between iteration numbers of 1 and 10. Additionally, Figure 10 depicts the variations in mean fitness values with the number of iterations related to PEMFC under anode and cathode pressures of 3 bar and 5 bar, respectively, while the temperature was 353.15 K. It can be concluded that the mean fitness values of most of the algorithms were higher than zero when the number of iterations was less than 10. However, ata more significant number of iterations (particularly more than 100), all the intelligent algorithms attained mean fitness values of zero for anode and cathode pressures of 3 bar and 5 bar, respectively, while the operating temperature was 353.15 K.

Figure 9.
Mean fitness value (MSE) variation with the number of iterations related to PEMFC under anode and cathode pressures of 2.5 and 3 bar, respectively, and an operating temperature of 343.15 K for (a) Range 1 and (b) Range 2.
Figure 10.
Mean fitness value (MSE) variation with the number of iterations related to PEMFC under anode and cathode pressures of 3 and 5 bar, respectively, and an operating temperature of 353.15 K for (a) Range 1 and (b) Range 2.
Finally, the proposed WSO proved its robustness in efficiently identifying the parameters of the PEMFC model for all studied cases compared to the other approaches.
7. Conclusions and Future Recommendations
This paper proposes a new approach called the white shark optimizer (WSO), which was applied for the first time to construct the equivalent circuit of different PEMFCs by estimating their unknown parameters. The merits of the WSO include its flexibility in solving high-dimension optimization problems, simplicity, robustness, and high accuracy in evaluating global solutions. The root mean square error (RMSE) between the measured and estimated fuel cell terminal voltages was considered as the target to be minimized. The WSO was applied to various PEMFCs operated at different operating conditions. The results obtained using the proposed WSO were compared to SSA, HHO, ASO, DBO, SPO, and HCLAOA [23]. The considered FCs were 250 W stack, NedStack PS6, BCS 500 W, and SR-12PEM 500 W stacks. The numerical simulation process executed in MATLAB revealed the following key findings:
- (a)
- The RMSE values varied between minimum and maximum values of 0.009095329 and 0.028663611, respectively.
- (b)
- The mean RMSE value recorded for the PEMFC 250 W stack was 0.020057775.
- (c)
- The minimum RMSE rate was obtained through the WSO in which the operating temperature was 353.15 K, while the working anode and cathode pressures were 3 and 5 bar, respectively.
- (d)
- The proposed WSO attained the best optimization results in terms of absolute error compared to the other considered algorithms.
The proposed WSO proved its effectiveness in establishing reliable equivalent circuits for different fuel cells at various operating conditions. Future works will focus on studying the dynamic behavior of PEMFCs using the proposed WSO and conducting experimental work to validate its dependability. Additionally, the effect of gas back pressure will be considered in future work.
Author Contributions
Conceptualization, A.F. and A.A.; methodology, A.F.; software, A.F.; validation, A.A.; formal analysis, A.A.; investigation, A.F.; resources, A.F.; data curation, A.A.; writing—original draft preparation, A.A.; writing—review and editing, A.F.; visualization, A.F.; supervision, A.F.; project administration, A.F. All authors have read and agreed to the published version of the manuscript.
Funding
This research received no external funding.
Institutional Review Board Statement
Not applicable.
Informed Consent Statement
Not applicable.
Data Availability Statement
Not applicable.
Conflicts of Interest
The authors declare no conflict of interest.
References
- Sun, C.; Negro, E.; Vezzù, K.; Pagot, G.; Cavinato, G.; Nale, A.; Bang, Y.H.; Noto, V.D. Hybrid inorganic-organic proton-conducting membranes based on SPEEK doped with WO3 nanoparticles for application in vanadium redox flow batteries. Electrochim. Acta 2019, 309, 311–325. [Google Scholar] [CrossRef]
- Martins, J.R.R.A.; Ning, A. Engineering Design Optimization; Cambridge University Press: Cambridge, UK, 2021. [Google Scholar] [CrossRef]
- Kumar, S. Experimental Performance Characteristic of PEM Fuel Cell. Ph.D. Thesis, Delhi Technological University, Delhi, India, 2022. [Google Scholar]
- Zagal, J.H. Electrochemistry, past, present, and future: Energy conversion, sensors, and beyond. J. Solid State Electrochem. 2020, 24, 2195–2197. [Google Scholar] [CrossRef]
- Maradin, D. Advantages and Disadvantages of Renewable Energy Sources Utilization. Int. J. Energy Econ. Policy 2021, 11, 176–183. [Google Scholar] [CrossRef]
- Gabaldón-Estevan, D.; Peñalvo-López, E.; Solar, D.A. The Spanish Turn against Renewable Energy Development. Sustainability 2018, 10, 1208. [Google Scholar] [CrossRef]
- Asiaban, S.; Kayedpour, N.; Samani, A.E.; Bozalakov, D.; De Kooning, J.D.M.; Crevecoeur, G.; Vandevelde, L. Wind and Solar Intermittency and the Associated Integration Challenges: A Comprehensive Review Including the Status in the Belgian Power System. Energies 2021, 14, 2630. [Google Scholar] [CrossRef]
- Jain, K.; Jain, K. Hydrogen Fuel Cell: A Review of different types of fuel Cells with Emphasis on PEM fuel cells and Catalysts used in the PEM fuel cell. Int. J. All Res. Educ. Sci. Methods (IJARESM) 2021, 9, 1012–1025. [Google Scholar]
- Shilaja, C.; Kiran, S.R.; Murali, M.; Moinuddin, S.K.; Navani, K.; Yousuf, S.; Harshith, M. Design and analysis of global optimization methods for proton exchange membrane fuel cell powered electric vehicle system with single switch DC-DC converter. Mater. Today Proc. 2021, 52, 2057–2064. [Google Scholar] [CrossRef]
- Hasanien, H.M.; Shaheen, M.A.; Turky, R.A.; Qais, M.H.; Alghuwainem, S.; Kamel, S.; Tostado-Véliz, M.; Jurado, F. Precise modeling of PEM fuel cell using a novel Enhanced Transient Search Optimization algorithm. Energy 2022, 247, 123530. [Google Scholar] [CrossRef]
- Fahim, S.R.; Hasanien, H.M.; Turky, R.A.; Alkuhayli, A.; Al-Shamma’a, A.A.; Noman, A.M.; Tostado-Véliz, M.; Jurado, F. Parameter Identification of Proton Exchange Membrane Fuel Cell Based on Hunger Games Search Algorithm. Energies 2021, 14, 5022. [Google Scholar] [CrossRef]
- Alsaidan, I.; Shaheen, M.A.M.; Hasanien, H.M.; Alaraj, M.; Alnafisah, A.S. Proton Exchange Membrane Fuel Cells Modeling Using Chaos Game Optimization Technique. Sustainability 2021, 13, 7911. [Google Scholar] [CrossRef]
- Yakout, A.H.; Hasanien, H.M.; Kotb, H. Proton Exchange Membrane Fuel Cell Steady State Modeling Using Marine Predator Algorithm Optimizer. Ain Shams Eng. J. 2021, 12, 3765–3774. [Google Scholar] [CrossRef]
- Hachana, O.; El-Fergany, A.A. Efficient PEM fuel cells parameters identification using hybrid artificial bee colony differential evolution optimizer. Energy 2022, 250, 123830. [Google Scholar] [CrossRef]
- Li, J.; Gao, X.; Cui, Y.; Hu, J.; Xu, G.; Zhang, Z. Accurate, efficient and reliable parameter extraction of PEM fuel cells using shuffled multi-simplexes search algorithm. Energy Convers. Manag. 2020, 206, 112501. [Google Scholar] [CrossRef]
- Sultan, H.M.; Menesy, A.S.; Kamel, S.; Tostado-Veliz, M.; Jurado, F. Parameter Identification of Proton Exchange Membrane Fuel Cell Stacks Using Bonobo Optimizer. In Proceedings of the 2020 IEEE International Conference on Environment and Electrical Engineering and 2020 IEEE Industrial and Commercial Power Systems Europe (EEEIC/I&CPS Europe), Madrid, Spain, 9–12 June 2020; pp. 1–7. [Google Scholar] [CrossRef]
- Menesy, A.S.; Sultan, H.M.; Kamel, S.; Turky, R.A.; Al-Durra, A.; Hasanien, H.M. Optimal Values of Unknown Parameters of Polymer Electrolyte Membrane Fuel Cells Using Improved Chaotic Electromagnetic Field Optimization. In Proceedings of the 2020 IEEE Industry Applications Society Annual Meeting, Detroit, MI, USA, 10–16 October 2020; pp. 1–8. [Google Scholar] [CrossRef]
- Raghavaiah, N.V.; Srinivasulu, G.N.; HariPrasad, I. Review of challenges in direct methanol fuel cell and contemporary status. Res. Appl. Therm. Eng. 2020, 3, 1–8. [Google Scholar]
- Nguyen, H.L.; Han, J.; Nguyen, X.L.; Yu, S.; Goo, Y.-M.; Le, D.D. Review of the Durability of Polymer Electrolyte Membrane Fuel Cell in Long-Term Operation: Main Influencing Parameters and Testing Protocols. Energies 2021, 14, 4048. [Google Scholar] [CrossRef]
- Jawad, N.H.; Yahya, A.A.; Al-Shathr, A.R.; Salih, H.G.; Rashid, K.T.; Al-Saadi, S.; AbdulRazak, A.A.; Salih, I.K.; Zrelli, A.; Alsalhy, Q.F. Fuel Cell Types, Properties of Membrane, and Operating Conditions: A Review. Sustainability 2022, 14, 14653. [Google Scholar] [CrossRef]
- Yagizatli, Y.; Ulas, B.; Sahin, A.; Ar, I. Investigation of sulfonation reaction kinetics and effect of sulfonation degree on membrane characteristics for PEMFC performance. Ionics 2022, 28, 2323–2336. [Google Scholar] [CrossRef]
- Hoeflinger, J.; Hofmann, P. Air mass flow and pressure optimisation of a PEM fuel cell range extender system. Int. J. Hydrogen Energy 2020, 45, 29246–29258. [Google Scholar] [CrossRef]
- Fathy, A.; Babu, T.S.; Abdelkareem, M.A.; Rezk, H.; Yousri, D. Recent approach based heterogeneous comprehensive learning Archimedes optimization algorithm for identifying the optimal parameters of different fuel cells. Energy 2022, 248, 123587. [Google Scholar] [CrossRef]
- Braik, M.; Hammouri, A.; Atwan, J.; Al-Betar, M.A.; Awadallah, M.A. White Shark Optimizer: A novel bio-inspired meta-heuristic algorithm for global optimization problems. Knowl.-Based Syst. 2022, 243, 108457. [Google Scholar] [CrossRef]
- Allawi, M.F.; Jaafar, O.; Hamzah, F.M.; Ehteram, M.; Hossain, S.; El-Shafie, A. Operating a reservoir system based on the shark machine learning algorithm. Environ. Earth Sci. 2018, 77, 366. [Google Scholar] [CrossRef]
Disclaimer/Publisher’s Note: The statements, opinions and data contained in all publications are solely those of the individual author(s) and contributor(s) and not of MDPI and/or the editor(s). MDPI and/or the editor(s) disclaim responsibility for any injury to people or property resulting from any ideas, methods, instructions or products referred to in the content. |
© 2023 by the authors. Licensee MDPI, Basel, Switzerland. This article is an open access article distributed under the terms and conditions of the Creative Commons Attribution (CC BY) license (https://creativecommons.org/licenses/by/4.0/).