You are currently on the new version of our website. Access the old version .
SustainabilitySustainability
  • Article
  • Open Access

28 July 2023

Preventing Moral Crisis and Promoting Sustainable Development in Enterprises: A Study of Managers’ Moral Decision-Making

,
and
1
School of Economics and Management, Beijing Jiaotong University, Beijing 100044, China
2
Center for Psychological Quality Education, Beijing Jiaotong University, Beijing 100044, China
*
Author to whom correspondence should be addressed.
This article belongs to the Topic Decision Making Behaviors in Management and Marketing

Abstract

A moral crisis poses significant challenges to the success and sustainable development of a corporation. In this context, managers’ moral decision-making becomes paramount. Managers’ moral choices and actions directly impact the corporation‘s ability to effectively address these crises, ultimately shaping its outcomes and prospects. This study employs the extended theory of planned behavior (TPB) as a theoretical framework to explore the determinants that influence the moral decision-making process of managers. Specifically, the study introduces two new variables, namely, moral climate and moral self-efficacy, to enrich the existing theory. By employing structural equation modeling (SEM), the study examines the interrelationships among moral attitudes, subjective norms, perceived behavioral control, moral intentions, moral decision-making, and the two new variables. The research findings provide compelling evidence that both moral climate and moral self-efficacy have a substantial impact on the moral decision-making process of managers. Notably, moral self-efficacy emerges as a mediating variable in the relationship between moral climate and moral intention. The findings of this study hold significant value for the development of moral decision-making models and the theory of planned behavior, with practical implications that can assist organizations in achieving sustainable growth and success.

1. Introduction

A moral crisis is an important issue that affects the success and sustainable development of a corporation [1]. It has the potential to even jeopardize the sustainability of the industry in which the corporation operates as well as the well-being of the entire society. Meanwhile, managers’ moral decision-making assumes a direct and pivotal role in determining the corporation’s capacity to proficiently address and successfully navigate the prevailing moral crisis [2]. Therefore, in the current business environment where organizations face increased scrutiny from stakeholders, including customers, employees, and the government [3], understanding the factors that influence managers’ moral decision-making is of great importance for both scholars and practitioners [4]. Immoral behavior can result in severe repercussions, including reduced consumer confidence, regulatory scrutiny, and potential market decline. Additionally, immoral practices can undermine the environment, social fabric, and stakeholder relationships, posing risks to the overall sustainability of the industry and society [5]. For instance, the notorious Cambridge Analytica scandal. Alexander Nix, the former CEO of Cambridge Analytica, was involved in making immoral decisions related to data analysis and political campaigns. By engaging in unauthorized data harvesting, manipulation, and targeted advertising without user consent, Nix and Cambridge Analytica violated the trust of millions of individuals, invaded their privacy, and undermined democratic processes. This egregious violation significantly undermined the level of trust users placed in Facebook, resulting in a notable decline in user numbers.
In response to the breach, regulatory bodies imposed a substantial financial penalty of $5 billion on Facebook. However, the repercussions extended beyond mere financial consequences, as they affected the overall perception of the industry and raised concerns about privacy, ethics, and the manipulation of democratic processes. Consequently, this presents a formidable challenge to both the stability and sustainability of society.
Similarly, the unethical decisions made by Trevor Milton, the CEO of Nikola, had profound and far-reaching impacts. The company engaged in a series of deceptive practices, including the promotion of false information about its technology. Notably, a promotional video released in 2016 showcased a Nikola semi-truck in motion, but it was later revealed that the video was staged and the truck was actually rolling downhill on a slope. Trevor Milton shamelessly argued that no deception occurred since the video was labeled as depicting an “in-motion” vehicle, which is technically accurate despite the propulsion being gravity-based rather than hydrogen fuel-powered. However, the consequences were inevitable, and Trevor Milton ultimately resigned as CEO. On 14 October 2022, a federal court found him guilty of three counts of fraud. This not only caused a sharp decline in Nikola’s stock price but also resulted in significant losses for investors, undermining confidence in the industry’s sustainable development.
In response to such high-profile cases of immoral behavior, policymakers have implemented stricter regulations to encourage organizations to behave morally. An illustrative case is the European Union’s implementation of the General Data Protection Regulation (GDPR), which mandates that companies obtain explicit consent from individuals prior to collecting and utilizing their personal data. Additionally, it requires companies to uphold transparency and accountability in their data usage practices. The Sarbanes–Oxley Act was passed in the United States following the Enron scandal to promote transparency, accountability, and moral behavior in corporations [6]. In addition, the UK Corporate Governance Code, updated in 2018, emphasizes the importance of creating a culture of integrity and promoting moral behavior throughout an organization.
Alongside regulatory measures, many organizations have taken steps to promote moral decision-making among employees. For example, companies such as Google and Microsoft have established moral principles for the development and use of artificial intelligence, with the aim of guaranteeing that these technologies are used in a responsible and moral manner. Other organizations have implemented training programs and codes of conduct to promote moral decision-making and prevent misconduct.
While these measures are important, it is equally vital to comprehend the psychological factors that shape moral decision-making in the workplace. The theory of planned behavior (TPB), which suggests that attitudes, subjective norms, and perceived behavioral control influence intentions and behaviors, has been widely used to study moral decision-making in organizations [7]. However, recent research has highlighted the importance of considering additional factors that may impact moral intention. For instance, the moral climate of an organization, which refers to the prevailing ethical values and beliefs within the organization, can shape employees’ moral perceptions [8,9]. Similarly, moral self-efficacy, which refers to an individual’s confidence in their ability to make moral decisions, can influence their moral intention [10].
Therefore, the present study aims to scrutinize the influence of moral climate and moral self-efficacy on the moral decision-making process of managers. In contrast to prior research, this inquiry proposes a more inclusive model, utilizing the TPB as the foundational theoretical framework, supplemented by the inclusion of moral climate and moral self-efficacy as crucial variables with significant impact, to construct a structural equation model. Moreover, this investigation seeks to elicit managers’ perceptions and responses to moral decision-making challenges specific to their respective industries. The study intends to serve as a valuable resource for addressing moral decision-making predicaments in organizations, facilitating individuals and entities to avoid moral dilemmas, and advancing sustainable development.
This study has contributed to moral decision-making for managers from both theoretical and practical perspectives. In terms of theory, the study extends the theory of planned behavior by introducing moral climate and moral self-efficacy, and it identifies the mediating role of moral self-efficacy between moral climate and moral intention. In practical terms, based on the research findings, the study offers recommendations to promote moral decision-making that benefit both the organization and society. These recommendations include increasing employee diversity and establishing role models of moral conduct, among others.

2. Literature Review

2.1. Theory of Planned Behavior (TPB)

The theory of planned behavior, introduced by Ajzen, is a widely recognized psychological model that explores the relationship between beliefs and behavior. This model posits that an individual’s behavioral intentions are influenced by three key factors: attitudes, subjective norms, and perceived behavioral control. However, recent research has extended our understanding of these fundamental elements, highlighting their impact on the moral climate.
Moral attitudes can be defined as lasting, general evaluations of rules that are seen as obligatory, universal, and unalterable [11]. In a study conducted by Markowitz, it was suggested that the connection between taking action against climate change and experiencing affirmative moral attitudes, such as gratitude and pride, has the potential to alleviate the negative effects of guilt-biased challenges [12]. This implies that moral attitudes, including positive emotions associated with ethical behavior, play a crucial role in shaping the overall moral climate.
Subjective norms encompass social influences, social expectations, and personal beliefs about what is morally acceptable or unacceptable. Two types of subjective norms can be distinguished. Injunctive norms are social pressures to engage in behavior based on the perception of what other people want you to do, whereas descriptive norms are social pressures based on the observed or inferred behavior of others. Within the TPB, both types of normative measures should be considered in constructing planned behavior surveys [13]. In recent research, scholars have discovered a related association between subjective norms and the moral climate. Zobeidi et al.’s study provides valuable insights into the significant role of subjective norms as integral components of the moral climate [14]. This indicates that subjective norms play a crucial role in shaping the collective moral climate, thereby influencing individuals’ behaviors and choices.
Perceived behavioral control refers to the anticipated ease or difficulty while performing the behavior, and it is expected to mirror previous experiences as well as perceived barriers and obstacles [15]. Research conducted by scholars has revealed a strong correlation between perceived behavioral control and the moral climate. Steinheider et al. found a positive association between the socio–moral climate (SMC) and perceived social stress, which is a component of perceived obstacles within the construct of perceived behavioral control [16]. This suggests that individuals’ perceptions of the social environment, including the prevailing moral standards and social pressures, can influence their perceived control over their own behavior, thereby impacting the overall moral climate. Therefore, this study proposed the following hypothesis:
Hypothesis 1 (H1).
Moral attitudes have a positive impact on moral climate.
Hypothesis 2 (H2).
Subjective norms have a positive impact on moral climate.
Hypothesis 3 (H3).
Perceived behavioral control has a positive impact on moral climate.

2.2. Moral Climate

Moral climate is a crucial factor in organizational ethics, as it shapes the moral decision-making processes of individuals within the organization. Moral climate was defined as “prevailing perceptions of typical organizational practices and procedures that have ethical content” [17].
The concepts of moral climate and ethical climate are often used interchangeably by scholars because there is considerable overlap between the two constructs. Both concepts relate to the ethical standards and values that guide decision-making and behavior within an organization. Moreover, both concepts are intended to capture the shared perceptions and attitudes of employees within an organization, which can influence their actions.
However, there are subtle differences between the two constructs. Moral climate is a broader concept that encompasses the organization’s overall culture and values [18,19]. Ethical climate, on the other hand, is more specific and focuses on the formal systems and structures promoting ethical behavior, such as codes of conduct and ethical training programs. Despite these differences, many scholars use the terms interchangeably because they share similar features and are often studied together in research [20,21]. This study leveraged the concept of moral climate as the crucial factor for conducting research while also drawing upon the research findings related to ethical climate. By doing so, it aimed to deliver a comprehensive understanding of how organizational climate influences moral decision-making.
Numerous scholarly investigations have revealed a robust association between an individual’s perceived capability to behave in a moral manner, referred to as “moral self-efficacy”, and the ethical atmosphere in which they operate, commonly known as “moral climate”. Scholarly investigations have demonstrated that the moral climate in the workplace is a salient factor that influences employees’ level of self-efficacy [22,23].
A more robust ethical climate within a team, which means a work environment with a strong emphasis on ethical behavior and practices, is likely to foster the effectiveness of ethical leadership in facilitating team ethical voice and organizational citizenship behavior (OCB) by enhancing team moral efficacy [24]. Derakhshan’s study also revealed substantial associations between moral climate and self-efficacy, resilience, and optimism [25].
Further research has provided evidence that a conducive moral and justice-oriented work environment positively impacts employees’ job self-efficacy, resulting in higher efficiency and effectiveness in work performance. This underscores the crucial role of the moral climate in fostering a productive work environment and highlights the criticality of cultivating a positive ethical culture in organizations where ethical values, principles, and behaviors are promoted, upheld, and practiced by all members of the organization [26].
Karande et al. underscored in their article the substantial impact of the societal moral climate on the levels of moral expectations and intentions among managers in the United States and Malaysia. Notably, a favorable moral climate that promotes ethical behavior and values was found to be associated with higher scores in moral expectations and intentions [27].
Therefore, this study proposes the following hypotheses:
Hypothesis 4a (H4a).
Moral climate has a positive impact on Moral self-efficacy.
Hypothesis 4b (H4b).
Moral climate has a positive impact on Moral intention.

2.3. Moral Self-Efficacy

Self-efficacy serves as a fundamental aspect of an individual’s sense of agency. It refers to a person’s belief in their own capability to achieve desired objectives [28]. Scholars have conducted extensive research on self-efficacy within various domains, highlighting its crucial role in shaping human behavior and outcomes. These domains include academic [29], social [30], athletic [31], action [32], and moral courage [33].
Studies have shown that self-efficacy has a significant relationship with the intention to participate in moral behavior. For instance, Elias discovered that students who had higher levels of self-efficacy tended to view academic cheating as an unethical practice in comparison to students with lower self-efficacy [34]. Chang et al. conducted a study revealing a connection between self-efficacy and ethical judgment as well as ethical behavior intentions, particularly in internet ethics [35]. Zhang et al. posited that the association between self-efficacy and personal norms elucidates the underlying reasons for individuals’ intentions to purchase environmentally friendly electric appliances [36].
Furthermore, Shacklock et al. conducted a study revealing that self-efficacy acts as a mediator between perceptions of an ethical organizational climate and the degree of resistance to unethical organizational directives [37].
The above literature indicates that self-efficacy is influential in shaping individuals’ moral intentions and acts as a mediator between moral climate and moral intentions. However, while general self-efficacy has been extensively studied, there is a lack of research specifically examining moral self-efficacy. This study aims to address this gap by investigating the distinct role of moral self-efficacy, which is a unique form of self-efficacy, in the process of moral decision-making.
Moral self-efficacy was described as “the belief of an individual in his or her ability to organize and mobilize the motivation, cognitive resources, means, and course of action necessary to achieve moral achievement within a specified moral realm” [38]. Moral self-efficacy helps to promote moral behavior and decision-making among employees. It is directly to employee engagement, job satisfaction, and employee retention. When employees have a strong sense of moral self-efficacy, they are more likely to be engaged, productive, and experience improved attentiveness at work [39]. Since moral self-efficacy is a type of self-efficacy that pertains specifically to moral behavior, it is probable that it would also impact moral intentions and serve as a mediator between moral climate and moral intentions.
Based on the arguments and empirical findings, the study put forth the following hypotheses:
Hypothesis 5a (H5a).
Moral self-efficacy has a positive impact on moral intention.
Hypothesis 5b (H5b).
Moral self-efficacy acts as a mediator in the relationship between moral climate and moral intention.

2.4. Moral Decision-Making

A moral decision refers to any decision made within the ‘moral domain’ regarding moral issues or principles such as justice, harm, fairness, and care. It is the process of producing a reasonable and defensible answer to an ethical question. Moral philosophy often relies on abstract reasoning and philosophical inquiry to develop ethical theories and principles. This field is typically focused on developing normative theories that provide guidance on how individuals ought to behave and make decisions in morally relevant situations [40].
Meanwhile, the study of ethical decision-making is often focused on specific fields, such as business, law, or nursing. This area of study explored the ethical standards and principles that govern the behavior of professionals in these fields and how they make decisions in complex and uncertain situations [41].
The primary objective of this paper is to examine the process of moral decision-making within the specific context of managers’ work, which is pervasive across various industries and all operational procedures. While the study utilized the concept of moral decision-making as its primary theoretical construct, it is crucial to acknowledge the inextricable link between these decisions and the professional setting. Therefore, this research drew upon prior studies on ethical decision-making to provide a more comprehensive and applicable reference for managers.
There are various models of moral decision-making, including Rest’s four-stage model, Trevino’s PSI model, Jones’ model of moral decision-making, and McDvitt et al.’s model. Rest’s model focuses on the individual and posits that moral decision-making involves recognizing the moral issue, making a moral judgment, establishing moral intent, and engaging in moral behavior [42]. Trevino’s PSI model considers ethical decision-making in an organizational context and is influenced by cognitions, individual moderators, and situational moderators [43]. Jones’ model takes an is-sue-contingent approach and emphasizes the role of moral intensity in influencing the four stages of Rest’s model [44]. McDvitt, Giapponi, and Tromley’s model integrates the decision-making process and the content variables [45]. All these models share the commonality that they attempt to provide a structured framework for understanding how individuals or organizations make decisions when faced with moral dilemmas. They all recognize that moral decision-making is a complex process that involves various cognitive, social, and situational factors. This paper aligns with their emphasis on and exploration of the intricate processes involved in moral decision-making, and it seeks to further develop from other perspectives.
An essential research focus in the realm of moral decision-making revolves around the interplay between intention and behavior. In this context, Ajzen’s theory of planned behavior has garnered significant recognition. The TPB emphasizes the link between intention and behavior, which has achieved significant success in both practical applications and fundamental research [13].
Therefore, this study proposed the following hypothesis:
Hypothesis 6 (H6).
Moral intention significantly and positively influences Moral decision-making.

3. Materials and Methods

3.1. Selection of Conceptual Framework

Taking inspiration from the existing literature, this study builds upon the TPB framework by introducing additional variables, namely moral climate and moral self-efficacy. These variables are integrated alongside the original TPB constructs, including attitudes, subjective norms, perceived behavioral control, and behavioral intention, to provide a more holistic understanding of the topic. The framework is illustrated in Figure 1.
Figure 1. Conceptual Framework. The dotted line in the figure represents the mediating effect.

3.2. Questionnaire Development

The research questionnaire was structured into seven sections, each corresponding to one of the seven latent variables being investigated. To gauge participants’ opinions and attitudes, we employ a five-point Likert scale ranging from “Strongly Agree” to “Strongly Disagree”. Both qualitative and quantitative methods were applied to the development of the questionnaire.
Qualitative methods included focus groups and expert consultations to adapt items from other settings and create new ones. The questionnaire items used in this study mainly refer to the moral identity questionnaire (MIQ) developed by Black and Reynolds [46], the subjective norms section of the subjective norms and perceived behavioral control scale (SNPBC) developed by Cordano and Frieze [47], the entrepreneurial intention questionnaire (EIQ) developed by Liñán [48], the general self-efficacy scale (GSE) developed by Schwarzer and Jerusalem [49], the ethical climate questionnaire (ECQ) developed by Cullen et al. [50], the scale developed by Hofmann et al. [51], and the managerial ethical profile (MEP) scale developed by Casali [52].
As for quantitative methods, we used reliability statistics such as Cronbach’s α and validity statistics such as confirmatory factor analysis (CFA) to refine the questionnaire.

3.3. Scales

The Moral attitudes scale was drawn from the MIQ developed by Black and Reynolds, which assesses both Moral Self and Moral Integrity as integral components of Moral Identity. Building upon previous research in this area, the current study adapted and refined the MIQ scale to measure the sub-dimensions of moral cognition and moral emotion within the construct of moral attitudes. Specifically, the scale includes five items measuring moral knowledge and understanding, moral issue sensitivity, moral emphasis, consequence concern, and behavioral support.
The scale measuring Subjective norms combined the SNPBC developed by Cordano and Frieze and the EIQ developed by Liñán. The resulting scale comprises three items. Drawing inspiration from Liñán‘s research, which measured subjective norms from three perspectives: family, friends, and colleagues, the study designed a scale encompassing three aspects: society, colleagues, and family, which are closely related to the research content.
The scale of Perceived Behavioral Control incorporated the Perceived Behavioral Control component of the SNPBC devised by Cordano and Frieze with the corresponding component in the EIQ formulated by Liñán. Finally, two items were designed from the perspective of decision-making confidence and knowledge reserve.
The moral self-efficacy scale utilized in the study is based on the GSE, originally developed by Schwarzer and Jerusalem. In conjunction with the practical management process, the current study formulated three items aimed at measuring moral problem-identification self-efficacy, moral problem-solving self-efficacy, and moral leadership self-efficacy.
The present study utilized the ECQ, which was previously revised by Cullen et al., as the basis for the development of the moral climate scale. The ethical climate questionnaire incorporates seven distinct moral climates, namely self-interest, company profit, efficiency, friendship, team interest, social responsibility, and personal morality, as well as rules, standard operating procedures, laws, and a professional code. To assess the moral climate within the organization, the current study devised three items based on the scale, namely: interests, values, and rules.
The moral intention scale draws on the items about intention in the scale developed by Hofmann et al. It comprises two items: intensity and initiative. The intensity of will pertains to the inclination of individuals to engage in actions, which is typically associated with factors such as attitudes, beliefs, and values. In practical behavior, Intensity can express the strength of a person’s moral intention. The initiative reflects an individual’s capacity and tendency to take proactive actions, as well as their responsible attitudes towards the consequences of those actions. In practical behavior, the initiative can enhance the likelihood and effectiveness of translating behavioral intention into actual behavior.
Finally, the study utilized the MEP scale, developed by Gian Luca Casali, as a reference for the moral decision-making assessment. The MEP scale comprises eight subscales, namely economic egoism, reputational egoism, act utilitarianism, rule utilitarianism, self-virtue, virtue of others, act deontology, and rule deontology. Based on this scale, the present study devised three dimensions named adherence, communication, and correction to measure managers’ moral decision-making behavior.

3.4. Focus Group

The focus group is a widely used approach for gathering data on specific research topics, whereby a researcher facilitates communication and dialogue among a group of participants [53]. This method entails a process of observing, discovering, discussing, and analyzing the various opinions and perspectives expressed by group members on a given subject, which subsequently informs research findings. Focus group interviews draw on two social science research methods: focus interviews, which aim to elicit information on a topic, and group discussions, where a skilled moderator guides a small and diverse group of individuals in discussing a topic [54]. This approach offers several benefits, including the dynamic nature of group interactions, whereby questions or comments by one participant can stimulate ideas among others [55]. Additionally, focus group interviews promote the free expression of views and ideas, which can uncover unexpected research insights [56]. Furthermore, they can reveal deep-seated issues and are a cost-effective means of gathering diverse perspectives on a topic [57].
The study selected 10 managers from different industries to conduct focus groups, including a senior manager in the machine manufacturing industry, a middle manager in a state-owned corporation in the real estate industry, a middle manager in the transportation and logistics industry, and seven junior managers from various industries (see Table 1).
Table 1. List of Basic Information of Focus Group Members.
The data collection process involved the collaboration of two researchers, where one served as the moderator while the other provided assistance through notetaking and audio recording. The focus group discussion was guided by the host and revolved around the primary research questions, which explored the interplay between organizational values and morals, regulatory frameworks concerning moral issues, the current state of moral training, past moral crises in organizations, personal experiences of moral decision-making, and factors that influence moral decision-making. To facilitate the discussion, the researchers utilized various tools, such as laptops, phones, and recording pens. The researchers drew upon Stewart and Shamdasani’s focus group approach to guide their methodology, which was adapted to reflect the changing research landscape and needs. The whole process lasted nearly two hours, and the research team sorted out the 8,000-word manuscript.
After analysis of the interview data, it was observed that there were common perspectives regarding moral decision-making among managers of diverse genders, industries, and positions. Firstly, it was generally agreed that organizations should instill in employees a sense of moral obligation towards professional ethics, as only a strong moral conviction can encourage individuals to undertake moral decisions. Secondly, the rewards and punishments to regulate employees’ moral behavior were deemed effective in fostering a positive moral climate within the organization. In addition, the presence of moral supervision committees in several organizations was highlighted, as they played a pivotal role in monitoring and regulating the moral decision-making conduct of organizational members. Thirdly, more than half of the respondents indicated that they did not receive moral training when they entered the job, but most of them believed that it was necessary and effective to conduct moral training in the organization. Fourthly, the significance of time constraints in moral decision-making was emphasized by three-fifths of the panelists, where moral considerations may be insufficiently evaluated or entirely disregarded in time-sensitive scenarios. Lastly, the participants concurred that moral decision-making constitutes a process, encompassing the progression from decision-making intention to action.
The developed scale was adjusted following an analysis of the results of the focus group. First, additional items were added to measure the sense of moral obligation within the subjective norms dimension. Secondly, in the moral climate, the original rule item is changed to the moral supervision item, the interest item is changed to the moral reward and punishment item, and the moral education item is added. Third, the perceived behavioral control dimension was enhanced by introducing time constraints and organizational support. Finally, the dimension of moral intention is enhanced by incorporating timely items. These adjustments were made to improve the validity and reliability of the scale and ensure a more comprehensive assessment of the construct being examined.

3.5. Expert Consultation

After the focus group discussion, the theoretical and scientific validity of the existing items was deliberated with research experts in relevant fields. In line with the recommendations of these experts, certain item descriptions were revised, and additional items were incorporated into the subjective norms scale to assess professional ethics. The resultant scale represents the culmination of these efforts.

3.6. Preliminary Survey

During the preliminary survey, a group of 30 managers representing diverse industries were invited to participate in the study. They were asked to complete the 27-item questionnaire that we had previously designed to assess their moral decision-making process. After the preliminary survey, feedback was gathered from the participants regarding the clarity, comprehensibility, and relevance of each item. Based on their feedback, two items were identified as potentially problematic and were subsequently removed from the questionnaire. So, the final version of the questionnaire consisted of 25 items. Overall, the preliminary survey helped to improve the quality and validity of the questionnaire and ensure that the final version was well-suited for use in the main survey. The revised scale is shown in Table 2.
Table 2. Managers’ Moral Decision-Making Influencing Factors Scale.

4. Data Collection

Considering the COVID-19 pandemic, an online survey was administered through the “Wenjuanxing” platform. Managers from diverse industries were invited to participate via professional WeChat and QQ groups, forums, and conferences. To incentivize participation, the research team offered interested participants the opportunity to receive the research report, aiming to enhance their understanding of the moral decision-making process. A total of 453 questionnaires were collected, and after excluding invalid responses with short completion times or high similarity rates, 400 valid questionnaires were obtained, resulting in a response rate of 88.30%. According to Thompson, a minimum sample size-to-observed variables ratio of 10:1 is essential for conducting effective structural equation modeling (SEM) analyses [58]. In this study, there are 7 variables with 25 measurement items. Therefore, this study’s sample size of 400 met the requirement of a minimum sample size greater than 250.
In this study, the basic information about the survey respondents can be found in Table 3. First, in terms of gender, there were 216 female respondents, accounting for 54.0%. There were 184 male respondents, accounting for 46.0%. Thus, the proportion of men and women in the sample was relatively balanced. Second, in terms of the industry of the respondents, the financial industry had the largest number of respondents, with 104 individuals, accounting for 26.0%. On the other hand, the agriculture and mining industries had the smallest number of respondents, with only six individuals accounting for 1.5%. The industry distribution mirrors the workforce distribution observed in China’s primary, secondary, and tertiary sectors. Finally, in terms of position, there were 222 grassroots workers, accounting for 55.5%; 150 middle-level managers, accounting for 37.5%; and 28 senior managers, accounting for 7.0%.
Table 3. Basic Information of Questionnaire Participants.

5. Analysis and Results

5.1. Methods of Data Analysis

The study employed a quantitative research approach, collecting data through a questionnaire survey. Data analysis was conducted using IBM SPSS Statistics 26.0 and AMOS v.24.0 software. The statistical analysis methods applied in the study encompassed reliability analysis, validity analysis, and structural equation modeling (SEM). These methods were utilized to examine the cause-and-effect relationship among the hypothesized models, assess the overall model fit, and test the research hypotheses.

5.2. Reliability and Validity

Firstly, with regard to reliability, as shown in Table 4, Cronbach’s alpha coefficient of all variables is greater than 0.7, which meets the standard requirements suggested by Nunnally [59]. The composite reliability (CR) values all exceeded 0.6, which is also acceptable [60]. This indicates the constructs in this study have good reliability.
Table 4. Reliability and Convergence Validity Indices.
Secondly, in terms of convergent validity, it requires that the standardized loading value of each measurement index be greater than 0.5; the AVE value should be greater than 0.5, and greater than 0.36 is barely acceptable [61]. In the current study, all items met the established factor loading requirements. The AVE values for all variables fell within the range of 0.478–0.714. Consequently, the convergent validity among the measured items was deemed to be good.
Finally, the Fornell–Larcker criterion and cross-loading were used to evaluate the discriminant validity of each construct in the measurement model. As shown in Table 5, the square root of the AVE on the diagonal of each construct is greater than the absolute value of the Pearson correlation coefficient between the construct and other potential constructs. In addition, the cross-loading of each construct is higher than that of the remaining constructs, meeting the standard requirements for discriminant validity. This indicates that all constructs have discriminant validity.
Table 5. Fornell–Larcker Criterion for Discriminant Validity Results.

5.3. Structural Equation Model

5.3.1. Model Fit

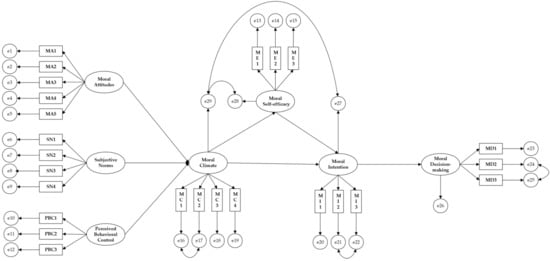
Based on the research framework, a structural equation model was constructed using AMOS. In order to improve the model fit, additional connections were established between e16 and e17, e21 and e22, e24 and e25, e27 and e29, and e28 and e29 based on the requirements of the MI modification index. The model fit before and after modification is shown in Figure 2.
Figure 2. Structural Equation Model.
According to Table 6, after modification, the χ2/df and RMSEA meet the fitting standards, and IFI, TLI, and CFI all exceeded the threshold of 0.9. Standardized root mean square residual (SRMR) <0.08. Considering all the fit indices, the goodness of fit of this structural equation model is acceptable.
Table 6. Model Fit Before and After Modification.

5.3.2. Direct Effect Analysis

Table 7 displays the results of statistical analyses conducted on each direct path. Notably, the p-value of the standardized path coefficient for the path linking moral attitudes to moral climate did not meet the predetermined level of significance (0.483 > 0.1), so hypothesis 1 was not supported. The p values of the standardized path coefficients of the remaining paths all reached a significant level (p < 0.05), so the hypotheses were supported.
Table 7. Direct Effect Hypothesis Test.

5.3.3. Mediation Analysis

Using AMOS software, a total sample of data was repeatedly sampled 5000 times with replacement using the Bootstrap method, selecting a 95% confidence interval. If the confidence intervals (CIs) do not include the value of 0, it indicates that the indirect relationships are statistically significant, suggesting a significant mediating effect [62]. Based on the results presented in Table 8, it can be inferred that moral self-efficacy acts as a partial mediator in the relationship between moral climate and moral intention. The bias-corrected Bootstrap intervals for the mediation and direct effects of moral self-efficacy (0.416, 0.759) and (0.062, 0.325) indicate that neither interval includes the value of 0. Therefore, both the indirect and direct effects are significant, with effect sizes of 74.74% and 25.26%.
Table 8. Mediation Effect Analysis.

6. Discussion

The topic of moral decision-making has gained increasing attention within the organizational behavior domain due to its pivotal role in the achievement and sustainability of organizational success. This study builds upon prior scholarly works and endeavors to investigate the mechanisms and determinants that influence managers’ moral decision-making in the workplace. In addition, this research seeks to advance the theoretical framework of the theory of planned behavior. The empirical results not only demonstrate consistency with previous research, indicating the TPB is an effective theoretical model for explaining the process of managers’ moral decision-making [63], but also reveal that moral climate and moral self-efficacy can serve as expanded variables of the TPB when studying moral behavior.
In line with previous research by Zobeidi [14] and Steinheider [16], this study demonstrates that both subjective norms and perceived behavioral control exert a positive influence on the moral climate within organizations. However, the relationship between moral attitudes and moral climate is not as closely related as previously assumed. This could be attributed to the collectivist culture prevalent in China. Employees in these Chinese companies tend to possess high levels of collective values, particularly those working for state-owned corporations. This can lead to a potential mismatch between their actual behavior and their individual attitudes, as individuals may prioritize making sacrifices for the collective good over their personal preferences or inclinations. Another potential explanation for this is the absence of workforce diversity. In order to promote the construction of a good moral atmosphere and solve the deterioration of personal moral attitudes and behaviors. Organizations should recognize the importance of employee diversity in moral decision-making [64]. Diverse backgrounds, cultures, and perspectives contribute to a more comprehensive evaluation of moral issues. By incorporating diverse viewpoints, biases can be reduced, and a wider range of creative solutions can be generated. This is consistent with the findings proposed by Hassan et al. [65]. Furthermore, employee diversity promotes moral accountability within the organization, as individuals with varied perspectives and experiences can challenge and address immoral behavior. To leverage these benefits, organizations should foster an inclusive environment that values diverse perspectives and encourages open communication. Cross-functional collaboration and diverse team compositions should be promoted to ensure a balanced consideration of moral factors. Future studies will be conducted to delve deeper into this area of investigation.
Despite disparities between the obtained results and the initial hypotheses, we have found other valuable findings.
Consistent with previous studies [66], this study indicates that moral intention is a crucial determinant of moral decision-making. Specifically, our results demonstrate that when confronted with moral decision-making dilemmas, managers are inclined to translate their decision-making intentions into tangible actions. These intentions encompass several facets, including intensity, initiative, and timeliness, which not only impact managers’ resolution in moral decision-making behavior but also influence their communication with others and their ability to rectify decision-making behavior. Accordingly, in order to encourage managers to adopt ideal moral decision-making behaviors, organizations should prioritize the cultivation and reinforcement of managers’ moral intentions. Specifically, organizations can shape managers’ moral decision intentions and subsequently influence their moral decision-making through measures such as setting time limits for moral decision-making, emphasizing the importance of morality in the organization’s vision and values, and establishing role models of moral conduct within the company. Ultimately, these insights can aid organizations in bolstering the development of moral leadership, elevating their moral standards, and enhancing their capacity for sustainable growth.
In addition to confirming previous research findings, this study has also uncovered new insights. This study presents an innovative framework by incorporating the constructs of moral climate and moral self-efficacy into the theory of planned behavior to investigate their influence on moral decision-making. The empirical findings indicate that both moral climate and moral self-efficacy exert a significant positive effect on moral intention, and moral self-efficacy serves as a mediator between moral climate and moral intention. In addition to its theoretical findings, this study offers valuable insights into the practical management of organizations. It provides managers with guidance in developing targeted management strategies and human resource development plans to enhance employee ethical behavior and promote organizational sustainability. Specifically, the results suggest that organizations can foster a positive moral climate to enhance employees’ moral intentions and further improve their moral behaviors by enhancing their moral self-efficacy. To achieve this goal, organizations can establish a moral oversight committee, implement a system of moral rewards and penalties, increase company discussions on moral issues, and conduct moral training programs.
While this study provides significant contributions, it is important to acknowledge its limitations and opportunities for future research. The first limitation of this study is that it was conducted solely within the cultural context of China, which may restrict the generalizability of the results to other cultural contexts. Cultural differences may influence individuals’ attitudes, values, and behaviors, which in turn may affect the relationships among the variables studied in this research. Therefore, it is imperative to conduct further research in various cultural contexts to assess the cross-cultural validity and generalizability of the study’s findings. Secondly, this study relied on self-report measures to collect data on moral intention, moral climate, and moral self-efficacy. This may have led to common-method bias. Therefore, future research should consider using other sources of data, such as peer ratings or behavioral observations, to mitigate this limitation. Thirdly, this study only focused on the influence of moral climate and moral self-efficacy on moral intention without delving into the potential moderating effects of other influential factors on this relationship. For example, individual factors such as personality traits may interact with moral climate and moral self-efficacy to impact moral intention. Henceforth, it is recommended that forthcoming research endeavors undertake an examination of potential moderating effects attributable to other variables.
In conclusion, in today’s complex and rapidly changing business landscape, moral decision-making has become a cornerstone of sustainable organizational success. It is no longer sufficient for organizations to simply comply with regulations and laws; they must also consider the moral implications of their actions and decisions [67]. This requires a deep understanding of the psychological factors that influence moral behavior as well as a commitment to creating a culture of integrity and promoting moral decision-making throughout the organization. By prioritizing moral decision-making, organizations can not only prevent misconduct and avoid legal and reputational damage but also build trust with stakeholders and contribute to a more just and sustainable society. This requires a concerted effort on the part of leaders and employees alike to cultivate moral self-awareness, foster a positive moral climate, and develop the skills and tools needed to make moral decisions in complex and ambiguous situations. Ultimately, moral decision-making is not only a business imperative but also a moral obligation to society and future generations.

Author Contributions

Conceptualization, D.Z. and L.W.; methodology, D.Z. and L.W.; software, D.Z. and C.Z.; validation, L.W. and D.Z.; formal analysis, D.Z., C.Z. and L.W.; resources, L.W.; writing—original draft preparation, D.Z. and C.Z.; writing—review and editing, D.Z. and L.W.; supervision, L.W. All authors have read and agreed to the published version of the manuscript.

Funding

This research received no external funding.

Institutional Review Board Statement

Not applicable.

Data Availability Statement

The data used to support the findings of this study are available from the corresponding author upon request.

Acknowledgments

The authors thank the editor and anonymous reviewers for their numerous constructive comments and encouragement that have greatly improved our paper.

Conflicts of Interest

The authors declare no conflict of interest.

References

  1. De Cremer, D.; Vandekerckhove, W. Managing unethical behavior in organizations: The need for a behavioral business ethics approach. J. Manag. Organ. 2017, 23, 437–455. [Google Scholar] [CrossRef]
  2. De Cremer, D.; Van Dick, R.; Tenbrunsel, A.; Pillutla, M.; Murnighan, J.K. Understanding Ethical Behavior and Decision Making in Management: A Behavioural Business Ethics Approach. Br. J. Manag. 2011, 22, S1–S4. [Google Scholar] [CrossRef]
  3. Geva, A. Moral Decision Making in Business: A Phase-Model. Bus. Ethics Q. 2000, 10, 773–803. [Google Scholar] [CrossRef]
  4. Ferrell, O.C.; Rogers, M.M.; Ferrell, L.; Sawayda, J. A framework for understanding ethical supply chain decision making. J. Mark. Channels 2013, 20, 260–287. [Google Scholar] [CrossRef]
  5. Bhattacharya, C.B.; Sen, S.; Edinger-Schons, L.M.; Neureiter, M. Corporate purpose and employee sustainability behaviors. J. Bus. Ethics 2023, 183, 963–981. [Google Scholar] [CrossRef]
  6. Hitt, M.A.; Ireland, R.D.; Hoskisson, R.E. Strategic Management: Concepts and Cases: Competitiveness and Globalization; Cengage Learning: Toebben Drive, KY, USA, 2016. [Google Scholar]
  7. Meng, C.L.; Othman, J.; D’Silva, J.L.; Omar, Z. Ethical Decision Making in Academic Dishonesty with Application of Modified Theory of Planned Behavior: A Review. Int. Educ. Stud. 2014, 7, 126–139. [Google Scholar] [CrossRef]
  8. Duane Hansen, S.; Dunford, B.B.; Alge, B.J.; Jackson, C.L. Corporate Social Responsibility, Ethical Leadership, and Trust Propensity: A Multi-Experience Model of Perceived Ethical Climate. J. Bus. Ethics 2016, 137, 649–662. [Google Scholar] [CrossRef]
  9. Van Gils, S.; Hogg, M.A.; van Quaquebeke, N.; van Knippenberg, D. When organizational identification elicits moral decision-making: A matter of the right climate. J. Bus. Ethics 2017, 42, 155–168. [Google Scholar] [CrossRef]
  10. Wang, Y.S.; Yeh, C.H.; Liao, Y.W. What drives purchase intention in the context of online content services? The moderating role of ethical self-efficacy for online piracy. Int. J. Inf. Manag. 2013, 33, 199–208. [Google Scholar] [CrossRef]
  11. Turiel, E. The Development of Social Knowledge: Morality and Convention; Cambridge University Press: Cambridge, UK, 1983. [Google Scholar]
  12. Markowitz, E.M.; Shariff, A.F. Climate change and moral judgement. Nat. Clim. Chang. 2012, 2, 243–247. [Google Scholar] [CrossRef]
  13. Ajzen, I. The theory of planned behavior. Organ. Behav. Hum. Decis. Process. 1991, 50, 179–211. [Google Scholar] [CrossRef]
  14. Zobeidi, T.; Yaghoubi, J.; Yazdanpanah, M. Exploring the motivational roots of farmers’ adaptation to climate change induced water stress through incentives or norms. Sci. Rep. 2022, 12, 15208. [Google Scholar] [CrossRef]
  15. Si, H.; Shi, J.G.; Tang, D.; Wu, G.; Lan, J. Understanding intention and behavior toward sustainable usage of bike sharing by extending the theory of planned behavior. Resour. Conserv. Recycl. 2020, 152, 104513. [Google Scholar] [CrossRef]
  16. Steinheider, B.; Hoffmeister, V.; Brunk, K.; Garrett, T.; Munoz, R. Dare to care: Exploring the relationships between socio-moral climate, perceived stress, and work engagement in a social service agency. J. Soc. Serv. Res. 2020, 46, 394–405. [Google Scholar] [CrossRef]
  17. Victor, B.; Cullen, J.B. The Organizational Bases of Ethical Work Climates. Adm. Sci. Q. 1988, 33, 101–125. [Google Scholar] [CrossRef]
  18. Bowie, N. Organizational integrity and moral climates. In The Oxford Handbook of Business Ethics; Oxford University Press: Oxford, UK, 2009; pp. 701–723. [Google Scholar]
  19. Cohen, D.V. Moral Climate in Business Firms: A Framework for Empirical Research. Acad. Manag. Proc. 1995, 1995, 386–390. [Google Scholar] [CrossRef]
  20. Mayer, D.M. A Review of the Literature on Ethical Climate and Culture. In The Oxford Handbook of Organizational Climate and Culture; Oxford University Press: Oxford, UK, 2014; pp. 415–440. [Google Scholar]
  21. Martin, K.D.; Cullen, J.B. Continuities and extensions of ethical climate theory: A meta-analytic review. J. Bus. Ethics 2006, 69, 175–194. [Google Scholar] [CrossRef]
  22. Lowenstein, L.M.; Perrin, E.M.; Campbell, M.K.; Tate, D.F.; Cai, J.; Ammerman, A.S. Primary care providers’ self-efficacy and outcome expectations for childhood obesity counseling. Child. Obes. 2013, 9, 208–215. [Google Scholar] [CrossRef]
  23. Shacklock, A.; Manning, M.; Hort, L. Self-efficacy as an intervening variable between ethical work climate and decision making. e-J. Soc. Behav. Res. Bus. 2013, 4, 1–14. [Google Scholar]
  24. Kim, D.; Vandenberghe, C. Ethical leadership and team ethical voice and citizenship behavior in the military: The roles of team moral efficacy and ethical climate. Group Organ. Manag. 2020, 45, 514–555. [Google Scholar] [CrossRef]
  25. Derakhshan, M. Predicting Organizational Voice through Ethical Atmosphere and Psychological Capital. Q. J. Ethics Sci. Technol. 2017, 12, 37–46. [Google Scholar]
  26. Heidari, K.; Amiri-Farahani, L.; Hasanpoor–Azghady, S.B.; Ebadi, A. Psychometric Properties of the Persian Version of Midwives Self-Efficacy for Labor Support Scale. J. Maz. Univ. Med. Sci. 2019, 29, 107–115. [Google Scholar]
  27. Karande, K.; Shankarmahesh, M.N.; Rao, C.P.; Rashid, Z.M. Perceived moral intensity, ethical perception, and ethical intention of American and Malaysian managers: A comparative study. Int. Bus. Rev. 2000, 9, 37–59. [Google Scholar] [CrossRef]
  28. Bandura, A. Self-efficacy mechanism in human agency. Am. Psychol. 1982, 37, 122. [Google Scholar] [CrossRef]
  29. Honicke, T.; Broadbent, J. The influence of academic self-efficacy on academic performance: A systematic review. Educ. Res. Rev. 2016, 100, 63–84. [Google Scholar] [CrossRef]
  30. Anderson, S.L.; Betz, N.E. Sources of social self-efficacy expectations: Their measurement and relation to career development. J. Vocat. Behav. 2001, 58, 98–117. [Google Scholar] [CrossRef]
  31. Wurtele, S.K. Self-efficacy and athletic performance: A review. J. Soc. Clin. Psychol. 1986, 4, 290–301. [Google Scholar] [CrossRef]
  32. Schwarzer, R.; Renner, B. Social-cognitive predictors of health behavior: Action self-efficacy and coping self-efficacy. Health Psychol. 2000, 19, 487. [Google Scholar] [CrossRef]
  33. Mostafa, A.M.S. Abusive supervision and moral courage: Does moral efficacy matter? PSU Res. Rev. 2019, 3, 145–155. [Google Scholar] [CrossRef]
  34. Elias, S.M.; MacDonald, S. Using past performance, proxy efficacy, and academic self-efficacy to predict college performance. J. Appl. Soc. Psychol. 2007, 37, 2518–2531. [Google Scholar] [CrossRef]
  35. Chang, S.H.; Shu, Y.; Lin, Y.H.; Wang, C.L. “I Believe”, “I Think”, then “I Will”? Investigating the Mediator Role of Ethical Judgment between internet ethical self-efficacy and ethical behavioral intention. Comput. Hum. Behav. 2019, 101, 387–393. [Google Scholar] [CrossRef]
  36. Zhang, J.; Cherian, J.; Abbas Sandhu, Y.; Abbas, J.; Cismas, L.M.; Negrut, C.V.; Negrut, L. Presumption of green electronic appliances purchase intention: The mediating role of personal moral norms. Sustainability 2022, 14, 4572. [Google Scholar] [CrossRef]
  37. Shacklock, A.; Manning, M.L.; Hort, L. Ethical Climate Type, Self-Efficacy, and Capacity to Deliver Ethical Outcomes in Public Sector Human Resource Management. J. New Bus. Ideas Trends 2011, 9, 34–49. [Google Scholar]
  38. Hannah, S.T.; Avolio, B.J.; Walumbwa, F.O. Relationships between authentic leadership, moral courage, and ethical and pro-social behaviors. Bus. Ethics Q. 2011, 21, 555–578. [Google Scholar] [CrossRef]
  39. Zhang, Z.; Zheng, J.; Cheng, B.; Zhong, J. Is a mindful worker more attentive? the role of moral self-efficacy and moral disengagement. Ethics Behav. 2022, 32, 162–177. [Google Scholar] [CrossRef]
  40. Beauchamp, T.L. Philosophical Ethics: An Introduction to Moral Philosophy, 3rd ed.; McGraw-Hill: Boston, MA, USA, 2001. [Google Scholar]
  41. Craft, J. A Review of the Empirical Ethical Decision-Making Literature: 2004–2011. J. Bus. Ethics 2013, 117, 221–259. [Google Scholar] [CrossRef]
  42. Rest, J.R. Moral Development: Advances in Research and Theory; Praeger: New York, NY, USA, 1986. [Google Scholar]
  43. Trevino, L.K. Ethical decision making in organizations: A person-situation interactionist model. Acad. Manag. Rev. 1986, 11, 601–617. [Google Scholar] [CrossRef]
  44. Jones, T.M. Ethical decision making by individuals in organizations: An issue-contingent model. Acad. Manag. Rev. 1991, 16, 366–395. [Google Scholar] [CrossRef]
  45. McDevitt, R.; Giapponi, C.; Tromley, C. A model of ethical decision making: The integration of process and content. J. Bus. Ethics 2007, 73, 219–229. [Google Scholar] [CrossRef]
  46. Black, J.E.; Reynolds, W.M. Development, reliability, and validity of the Moral Identity Questionnaire. Personal. Individ. Differ. 2016, 97, 120–129. [Google Scholar] [CrossRef]
  47. Cordano, M.; Frieze, I.H. Pollution reduction preferences of US environmental managers: Applying Ajzen′s theory of planned behavior. Acad. Manag. J. 2000, 43, 627–641. [Google Scholar] [CrossRef]
  48. Liñán, F.; Chen, Y.W. Development and cross-cultural application of a specific instrument to measure entrepreneurial intentions. Entrep. Theory Pract. 2009, 33, 593–617. [Google Scholar] [CrossRef]
  49. Schwarzer, R.; Jerusalem, M. The general self-efficacy scale (GSE). Anxiety Stress Coping 2010, 12, 329–345. [Google Scholar]
  50. Cullen, J.B.; Victor, B.; Bronson, J.W. The ethical climate questionnaire: An assessment of its development and validity. Psychol. Rep. 1993, 73, 667–674. [Google Scholar] [CrossRef]
  51. Hofmann, E.; Hoelzl, E.; Kirchler, E. A comparison of models describing the impact of moral decision making on investment decisions. J. Bus. Ethics 2008, 82, 171–187. [Google Scholar] [CrossRef]
  52. Casali, G.L. Developing a Multidimensional Scale for Ethical Decision Making. J. Bus. Ethics 2011, 104, 485–497. [Google Scholar] [CrossRef]
  53. Morgan, D.L. Focus groups. Annu. Rev. Sociol. 1996, 22, 129–152. [Google Scholar] [CrossRef]
  54. Stoll-Kleemann, S.; O’Riordan, T.; Jaeger, C.C. The psychology of denial concerning climate mitigation measures: Evidence from Swiss focus groups. Glob. Environ. Chang. 2001, 11, 107–117. [Google Scholar] [CrossRef]
  55. Massey-Burzio, V. From the other side of the reference desk: A focus group study. J. Acad. Librariansh. 1998, 24, 208–215. [Google Scholar] [CrossRef]
  56. Balch, G.I.; Mertens, D.M. Focus group design and group dynamics: Lessons from deaf and hard of hearing participants. Am. J. Eval. 1999, 20, 265–277. [Google Scholar] [CrossRef]
  57. Hudson, P. Focus group interviews: A guide for palliative care researchers and clinicians. Int. J. Palliat. Nurs. 2003, 9, 202–207. [Google Scholar] [CrossRef] [PubMed]
  58. Thompson, B. Ten commandments of structural equation modeling. In Reading and Understanding More Multivariate Statistics; American Psychological Association: Washington, DC, USA, 2000; pp. 261–284. [Google Scholar]
  59. Nunnally, J.C. Psychometric Theory, 2nd ed.; McGraw-Hill: New York, NY, USA, 1978. [Google Scholar]
  60. Fornell, C.; Larcker, D.F. Evaluating structural equation models with unobservable variables and measurement error. J. Mark. Res. 1981, 18, 39–50. [Google Scholar] [CrossRef]
  61. Bacon, D.R.; Sauer, P.L.; Young, M. Composite reliability in structural equations modeling. Educ. Psychol. Meas. 1995, 55, 394–406. [Google Scholar] [CrossRef]
  62. MacKinnon, D.P.; Luecken, L.J. How and for Whom? Mediation and Moderation in Health Psychology. Health Psychol. 2008, 27, S99. [Google Scholar] [CrossRef] [PubMed]
  63. Black, E.L.; Burton, F.G.; Cieslewicz, J.K. Improving Ethics: Extending the Theory of Planned Behavior to Include Moral Disengagement. J. Bus. Ethics 2022, 181, 945–978. [Google Scholar] [CrossRef]
  64. Khan, U.; Kalra, A. It’s good to be different: How diversity impacts judgments of moral behavior. J. Consum. Res. 2022, 49, 177–201. [Google Scholar] [CrossRef]
  65. Hassan, S.; Kaur, P.; Muchiri, M.; Ogbonnaya, C.; Dhir, A. Unethical leadership: Review, synthesis and directions for future research. J. Bus. Ethics 2023, 183, 511–550. [Google Scholar] [CrossRef]
  66. Thong, J.Y.; Yap, C.S. Testing an ethical decision-making theory: The case of softlifting. J. Manag. Inf. Syst. 1998, 15, 213–237. [Google Scholar] [CrossRef]
  67. Jiang, W.; Liang, B.; Wang, L. The double-edged sword effect of unethical pro-organizational behavior: The relationship between unethical pro-organizational behavior, organizational citizenship behavior, and work effort. J. Bus. Ethics 2023, 183, 1159–1172. [Google Scholar] [CrossRef]
Disclaimer/Publisher’s Note: The statements, opinions and data contained in all publications are solely those of the individual author(s) and contributor(s) and not of MDPI and/or the editor(s). MDPI and/or the editor(s) disclaim responsibility for any injury to people or property resulting from any ideas, methods, instructions or products referred to in the content.

Article Metrics

Citations

Article Access Statistics

Multiple requests from the same IP address are counted as one view.