Can Environmental Centralization Enhance Emission Reductions?—Evidence from China’s Vertical Management Reform
Abstract
1. Introduction
2. Literature Review
2.1. Environmental Regulation Tools
2.2. Environmental Regulation System
3. Reform Background and Theoretical Mechanisms
3.1. Vertical Management Reform in China
3.2. Theoretical Analysis and Hypothesis
3.2.1. The Impact of Vertical Environmental Management Reform on Emission Reduction Effects
3.2.2. The Mechanism of Vertical Management Reform to Enhance the Effect of Emission Reduction
4. Research Design
4.1. Data
4.2. Variable Definition and Data Description
4.2.1. Dependent Variable
4.2.2. Other Variables
4.3. Empirical Strategy
5. Results
5.1. Baseline Results
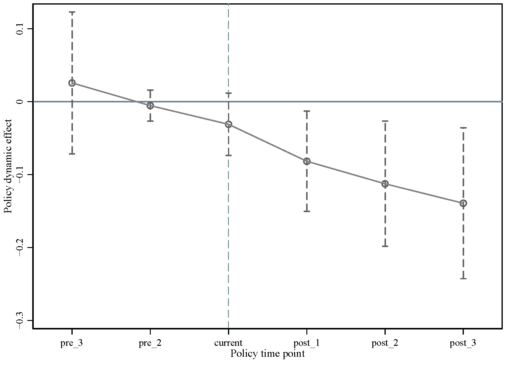
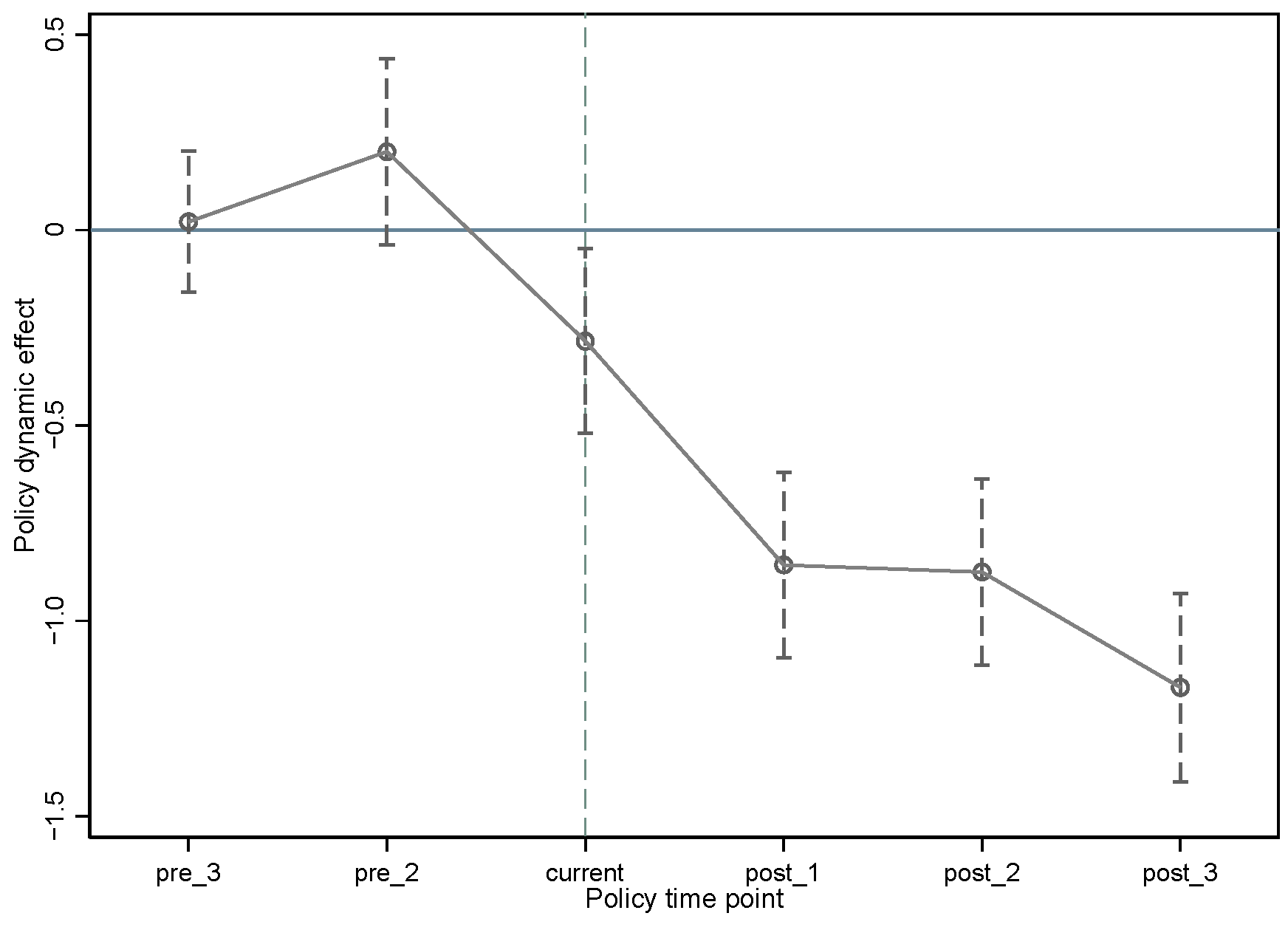
5.2. Parallel Trend Test
5.3. Robustness Checks
5.3.1. DID Estimation Combined with Propensity Score Matching
5.3.2. Placebo Tests
5.4. Influential Mechanism Analyses
5.5. Heterogeneity Analyses
5.5.1. Differences in the Proportion of Industrial Economy
5.5.2. Differences in the Degree of Local Administrative Intervention
6. Discussion
7. Conclusions
Author Contributions
Funding
Institutional Review Board Statement
Informed Consent Statement
Data Availability Statement
Conflicts of Interest
References
- Cole, M.A. Trade, the pollution haven hypothesis and the environmental Kuznets curve: Examining the linkages. Ecol. Econ. 2004, 48, 71–81. [Google Scholar] [CrossRef]
- Gill, A.R.; Viswanathan, K.K.; Hassan, S. The Environmental Kuznets Curve (EKC) and the environmental problem of the day. Renew. Sustain. Energy Rev. 2018, 81, 1636–1642. [Google Scholar] [CrossRef]
- Xu, S.C.; Li, Y.W.; Miao, Y.M.; Gao, C.; He, Z.-X.; Shen, W.-X.; Long, R.; Chen, H.; Zhao, B.; Wang, S. Regional differences in nonlinear impacts of economic growth, export and FDI on air pollutants in China based on provincial panel data. J. Clean. Prod. 2019, 228, 455–466. [Google Scholar] [CrossRef]
- Hove, S.; Tursoy, T. An investigation of the environmental Kuznets curve in emerging economies. J. Clean. Prod. 2019, 236, 117628. [Google Scholar] [CrossRef]
- Qiu, J.; Wang, S.; Lian, M. Research on the Sustainable Development Path of Regional Economy Based on CO2 Reduction Policy. Sustainability 2023, 15, 6767. [Google Scholar] [CrossRef]
- Ebenstein, A.; Fan, M.; Greenstone, M.; He, G.; Yin, P.; Zhou, M. Growth, pollution, and life expectancy: China from 1991–2012. Am. Econ. Rev. 2015, 105, 226–231. [Google Scholar] [CrossRef]
- Li, X.; Yang, X.; Wei, Q.; Zhang, B. Authoritarian environmentalism and environmental policy implementation in China. Resour. Conserv. Recycl. 2019, 145, 86–93. [Google Scholar] [CrossRef]
- Owen, A.D. Environmental externalities, market distortions and the economics of renewable energy technologies. Energy J. 2004, 25, 127–156. [Google Scholar] [CrossRef]
- Yang, X.; Yan, J.; Tian, K.; Yu, Z.; Li, R.Y.; Xia, S. Centralization or decentralization? the impact of different distributions of author-ity on China’s environmental regulation. Technol. Forecast. Soc. Chang. 2021, 173, 121172. [Google Scholar] [CrossRef]
- Chen, G.; Xu, J.; Qi, Y. Environmental (de)centralization and local environmental governance: Evidence from a natural experiment in China. China Econ. Rev. 2022, 72, 101755. [Google Scholar] [CrossRef]
- Keohane, N.O.; Revesz, R.L.; Stavins, R.N. The Choice of Regulatory Instruments in Environmental Policy. Harv. Environ. Law Rev. 1998, 22, 313. [Google Scholar] [CrossRef]
- Böcher, M. A theoretical framework for explaining the choice of instruments in environmental policy. For. Policy Econ. 2012, 16, 14–22. [Google Scholar] [CrossRef]
- Blackman, A.; Li, Z.; Liu, A.A. Efficacy of Command-and-Control and Market-Based Environmental Regulation in Developing Countries. Annu. Rev. Resour. Econ. 2018, 10, 381–404. [Google Scholar] [CrossRef]
- Peng, J.; Xie, R.; Ma, C.; Fu, Y. Market-based environmental regulation and total factor productivity: Evidence from Chinese enterprises. Econ. Model. 2021, 95, 394–407. [Google Scholar] [CrossRef]
- Liu, L.; Jiang, J.; Bian, J.; Liu, Y.; Lin, G.; Yin, Y. Are environmental regulations holding back industrial growth? Evidence from China. J. Clean. Prod. 2021, 306, 127007. [Google Scholar] [CrossRef]
- Yi, M.; Fang, X.; Wen, L.; Guang, F.; Zhang, Y. The Heterogeneous Effects of Different Environmental Policy In-struments on Green Technology Innovation. Int. J. Environ. Res. Public Health 2019, 16, 4660. [Google Scholar] [CrossRef]
- Zhang, Y.; Song, Y. Tax rebates, technological innovation and sustainable development: Evidence from Chinese micro-level data. Technol. Forecast. Soc. Chang. 2022, 176, 121481. [Google Scholar] [CrossRef]
- Song, Y.; Zhang, Y. Economic and environmental influences of resource tax: Firm-level evidence from China. Resour. Policy 2022, 77, 102751. [Google Scholar] [CrossRef]
- Rubashkina, Y.; Galeotti, M.; Verdolini, E. Environmental regulation and competitiveness: Empirical evidence on the Porter Hypothesis from European manufacturing sectors. Energy Policy 2015, 83, 288–300. [Google Scholar] [CrossRef]
- Zhang, Y.; Song, Y.; Zou, H. Non-linear effects of heterogeneous environmental regulations on industrial relo-cation: Do compliance costs work? J. Environ. Manag. 2022, 323, 116188. [Google Scholar] [CrossRef]
- Nordhaus, W. Climate Change: The Ultimate Challenge for Economics. Am. Econ. Rev. 2019, 109, 1991–2014. [Google Scholar] [CrossRef]
- Hou, X.; Cheng, B.; Xia, Z.; Zhou, H.; Shen, Q.; Lu, Y.; Nazemi, E.; Zhang, G. Investigating the Relationship be-tween Economic Growth, Institutional Environment and Sulphur Dioxide Emissions. Sustainability 2023, 15, 4678. [Google Scholar] [CrossRef]
- Lipscomb, M.; Mobarak, A.M. Decentralization and Pollution Spillovers: Evidence from the Re-drawing of County Borders in Brazil. Rev. Econ. Stud. 2017, 84, 464–502. [Google Scholar] [CrossRef]
- Lin, B.; Xu, C. Does environmental decentralization aggravate pollution emissions? Microscopic evidence from Chinese industrial enterprises. Sci. Total Environ. 2022, 829, 154640. [Google Scholar] [CrossRef] [PubMed]
- Chen, S.; Zhang, Y.; Zhang, Y.; Liu, Z. The relationship between industrial restructuring and China’s regional haze pollution: A spatial spillover perspective. J. Clean. Prod. 2019, 239, 115808. [Google Scholar] [CrossRef]
- Du, X.; Guo, H.; Zhang, H.; Peng, W.; Urpelainen, J. Cross-state air pollution transport calls for more centralization in India’s envi-ronmental federalism. Atmos. Pollut. Res. 2020, 11, 1797–1804. [Google Scholar] [CrossRef]
- Li, W.; Yang, Y. Can environmental centralization help reduce pollution? Evidence from an administrative re-form in China. J. Clean. Prod. 2021, 314, 127972. [Google Scholar] [CrossRef]
- Han, C.; Tian, X.L. Less pollution under a more centralized environmental system: Evidence from vertical envi-ronmental reforms in China. Energy Econ. 2022, 112, 106121. [Google Scholar] [CrossRef]
- Lin, B.; Zhu, J. Changes in urban air quality during urbanization in China. J. Clean. Prod. 2018, 188, 312–321. [Google Scholar] [CrossRef]
- Dou, X.S.; Wang, Z.F.; Yuan, H.M.; Jing, P. Function, barriers and policies of green infrastructure construction in ur-ban environment//Advanced Materials Research. Trans. Tech. Publ. Ltd. 2015, 1065, 2814–2818. [Google Scholar]
- Zhong, S.; Li, J.; Zhao, R. Does environmental information disclosure promote sulfur dioxide (SO2) remove? New evidence from 113 cities in China. J. Clean. Prod. 2021, 299, 126906. [Google Scholar] [CrossRef]
- Loganathan, N.; Mursitama, T.N.; Pillai, L.L.K.; Khan, A.; Taha, R. The effects of total factor of productivity, natural resources and green taxation on CO2 emissions in Malaysia. Environ. Sci. Pollut. Res. 2020, 27, 45121–45132. [Google Scholar] [CrossRef] [PubMed]
- Schmidheiny, K.; Siegloch, S. On Event Study Designs and Distributed-Lag Models: Equivalence, Generalization and Practical Implications; Institute of Labor Economics (IZA): Bonn, Germany, 2019. [Google Scholar]
- He, Q. Fiscal decentralization and environmental pollution: Evidence from Chinese panel data. China Econ. Rev. 2015, 36, 86–100. [Google Scholar] [CrossRef]
- De Chaisemartin, C.; D’Haultfœuille, X. Fuzzy Differences-in-Differences. Rev. Econ. Stud. 2018, 85, 999–1028. [Google Scholar] [CrossRef]
- Athey, S.; Imbens, G.W. Identification and Inference in Nonlinear Difference-in-Differences Models. Econometrica 2006, 74, 431–497. [Google Scholar] [CrossRef]
- Wissmann, D. Finally a Smoking Gun? Compensating Differentials and the Introduction of Smoking Bans. Am. Econ. J. Appl. Econ. 2022, 14, 75–106. [Google Scholar] [CrossRef]
- Bilinski, A.; Hatfield, L.A. Nothing to see here? Non-inferiority approaches to parallel trends and other model assumptions. arXiv 2018, arXiv:1805.03273. [Google Scholar]
- Tu, M.; Zhang, B.; Xu, J.; Lu, F. Mass media, information and demand for environmental quality: Evidence from the “Under the Dome”. J. Dev. Econ. 2020, 143, 102402. [Google Scholar] [CrossRef]
- Fan, F.; Zhang, X. Transformation effect of resource-based cities based on PSM-DID model: An empirical analysis from China. Environ. Impact Assess. Rev. 2021, 91, 106648. [Google Scholar] [CrossRef]
- Zang, J.; Wan, L.; Li, Z.; Wang, C.; Wang, S. Does emission trading scheme have spillover effect on industrial structure upgrading? Evidence from the EU based on a PSM-DID approach. Environ. Sci. Pollut. Res. 2020, 27, 12345–12357. [Google Scholar] [CrossRef] [PubMed]
- Yang, X.; Jiang, P.; Pan, Y. Does China’s carbon emission trading policy have an employment double dividend and a Porter effect? Energy Policy 2020, 142, 111492. [Google Scholar] [CrossRef]
- Zhang, M.; Sun, X.; Wang, W. Study on the effect of environmental regulations and industrial structure on haze pollution in China from the dual perspective of independence and linkage. J. Clean. Prod. 2020, 256, 120748. [Google Scholar] [CrossRef]
- Du, W.; Li, M. Assessing the impact of environmental regulation on pollution abatement and collaborative emis-sions reduction: Micro-evidence from Chinese industrial enterprises. Environ. Impact Assess. Rev. 2020, 82, 106382. [Google Scholar] [CrossRef]
- Taylor, J.B. Getting off Track: How Government Actions and Interventions Caused, Prolonged, and Worsened the Financial Crisis; Hoover Press: Stanford, CA, USA, 2013. [Google Scholar]
- Hong, J.; Wang, C.; Kafouros, M. The Role of the State in Explaining the Internationalization of Emerging Market Enterprises. Br. J. Manag. 2015, 26, 45–62. [Google Scholar] [CrossRef]
- Xiaolu, W.; Lipeng, H.; Gang, F. China Provincial Marketization Index Report; Social Science Academic Press: Beijing, China, 2021. [Google Scholar]




| Variable Type | Variable | Source | Variable Definition | Unit |
|---|---|---|---|---|
| Dependent variable | lnperco2 | CSMAR | CO2 emissions per capita | tons |
| lnlinsso2 | CSMAR | SO2 emissions from industrial sources | tons | |
| Core variables | Post | Manual organization | Time dummy variables | - |
| Treat | Manual organization | Area dummy variables | - | |
| Mechanism Variables | lncityinvest | China Environmental Statistical Yearbook | Urban environmental infrastructure investment | one hundred million CNY |
| Control variables | lnTec | CSMAR | Number of patents granted per 10,000 people | pieces |
| lnEst | CSMAR | Coal consumption/total energy consumption | percent | |
| lnIns | CSMAR | Tertiary industry output value/Secondary industry output value | percent | |
| lnFdi | CSMAR | Foreign direct investment to GDP ratio | percent | |
| lnPeg | CSMAR | Real GDP per capita | one hundred CNY | |
| lnPrd | CSMAR | Local financial expenditure on science and technology per capita | ten thousand CNY | |
| lnurbanrate | CSMAR | Urbanization development level | percent |
| Variable | Mean | Std.Dev. | Min | Max |
|---|---|---|---|---|
| lnperco2 | 2.330 | 0.520 | 1.464 | 3.889 |
| lnlinsso2 | 3.472 | 1.146 | 0.084 | 5.099 |
| Post | 0.286 | 0.452 | 0 | 1 |
| Treat | 0.500 | 0.501 | 0 | 1 |
| lncityinvest | 4.365 | 1.584 | 0 | 7.142 |
| lnTec | 6.274 | 1.223 | 3.584 | 8.915 |
| lnEst | 4.419 | 0.597 | 0.789 | 5.524 |
| lnIns | 4.731 | 0.428 | 3.984 | 6.264 |
| lnFdi | 5.161 | 0.839 | 0.728 | 6.920 |
| lnPeg | 6.056 | 0.546 | 4.732 | 7.404 |
| lnPrd | 5.094 | 0.955 | 3.261 | 7.591 |
| lnurbanrate | 4.057 | 0.214 | 3.484 | 4.506 |
| (1) | (2) | (3) | (4) | |
|---|---|---|---|---|
| VARIABLES | lnperco2 | lnlinsso2 | lnperco2 | lnlinsso2 |
| Treat × Post | −0.239 ** | −0.328 ** | −0.111 ** | −0.357 ** |
| (0.111) | (0.150) | (0.048) | (0.132) | |
| lntec | 0.013 | 0.163 | ||
| (0.040) | (0.130) | |||
| lnest | 0.342 *** | 0.177 ** | ||
| (0.082) | (0.082) | |||
| lnins | −0.387 *** | −0.063 | ||
| (0.124) | (0.278) | |||
| lnfdi | 0.010 | −0.089 *** | ||
| (0.019) | (0.027) | |||
| lnpeg | 0.023 | 0.751 * | ||
| (0.183) | (0.378) | |||
| lnprd | −0.017 | −0.092 | ||
| (0.041) | (0.099) | |||
| lnurbanrate | −0.067 ** | 0.013 | ||
| (0.032) | (0.075) | |||
| Constant | 2.117 *** | 4.052 *** | 2.434 ** | −0.357 ** |
| (0.111) | (0.054) | (1.113) | (0.132) | |
| R-squared | 0.049 | 0.921 | 0.739 | 0.941 |
| id FE | YES | YES | YES | YES |
| year FE | YES | YES | YES | YES |
| (1) | (2) | |
|---|---|---|
| VARIABLES | lnperco2 | lnlinsso2 |
| Treat × Post | −0.117 ** | −0.348 ** |
| (0.050) | (0.129) | |
| Constant | 2.461 | 2.986 |
| (1.617) | (3.175) | |
| R-squared | 0.727 | 0.949 |
| Controls | YES | YES |
| id FE | YES | YES |
| year FE | YES | YES |
| (1) | (2) | (3) | (4) | (5) | (6) | |
|---|---|---|---|---|---|---|
| 2010 | 2013 | 2015 | 2010 | 2013 | 2015 | |
| VARIABLES | lnperco2 | lnlinsso2 | ||||
| Treat × Post | −0.017 | −0.049 | −0.061 | 0.087 | −0.115 | −0.397 *** |
| (0.046) | (0.040) | (0.038) | (0.136) | (0.108) | (0.098) | |
| Constant | −0.094 | −0.192 | −0.172 | 9.729 *** | 9.283 *** | 8.886 *** |
| (0.599) | (0.596) | (0.570) | (2.400) | (2.261) | (1.989) | |
| R-squared | 0.686 | 0.693 | 0.698 | 0.721 | 0.722 | 0.744 |
| Controls | YES | YES | YES | YES | YES | YES |
| id FE | YES | YES | YES | YES | YES | YES |
| year FE | YES | YES | YES | YES | YES | YES |
| (1) | (2) | (3) | |
|---|---|---|---|
| VARIABLES | lncityinvest | lnperco2 | lnlinsso2 |
| Treat × Post | 0.270 * | −0.262 *** | −0.347 ** |
| (0.162) | (0.066) | (0.128) | |
| lncityinvest | −0.073 *** | −0.054 *** | |
| (0.015) | (0.018) | ||
| Constant | 1.036 | −3.657 *** | 0.531 |
| (2.262) | (0.730) | (2.779) | |
| R-squared | 0.178 | 0.693 | 0.944 |
| Controls | YES | YES | YES |
| id FE | YES | YES | YES |
| year FE | YES | YES | YES |
| (1) | (2) | (3) | (4) | |
|---|---|---|---|---|
| VARIABLES | lnperco2 | lnlinsso2 | lnperco2 | lnlinsso2 |
| Low industrial output value | High industrial output value | |||
| Treat × Post | −0.139 ** | −0.867 * | −0.038 ** | −0.725 *** |
| (0.043) | (0.387) | (0.016) | (0.112) | |
| Constant | 2.930 | 7.933 ** | −3.303 *** | 7.273 *** |
| (3.188) | (2.217) | (0.341) | (2.421) | |
| R-squared | 0.746 | 0.823 | 0.849 | 0.839 |
| Observations | 98 | 98 | 210 | 210 |
| Controls | YES | YES | YES | YES |
| id FE | YES | YES | YES | YES |
| year FE | YES | YES | YES | YES |
| (1) | (2) | (3) | (4) | |
|---|---|---|---|---|
| VARIABLES | lnperco2 | lnlinsso2 | lnperco2 | lnlinsso2 |
| Weak intervention of local government intervention | Strong intervention of local government intervention | |||
| Treat × Post | −0.147 | −0.887 *** | −0.045 | −0.582 *** |
| (0.105) | (0.146) | (0.029) | (0.136) | |
| Constant | 0.373 | 10.079 *** | 1.698 * | 7.160 ** |
| (2.337) | (2.265) | (0.846) | (2.620) | |
| R-squared | 0.713 | 0.873 | 0.909 | 0.765 |
| Observations | 154 | 154 | 154 | 154 |
| Controls | YES | YES | YES | YES |
| id FE | YES | YES | YES | YES |
| year FE | YES | YES | YES | YES |
Disclaimer/Publisher’s Note: The statements, opinions and data contained in all publications are solely those of the individual author(s) and contributor(s) and not of MDPI and/or the editor(s). MDPI and/or the editor(s) disclaim responsibility for any injury to people or property resulting from any ideas, methods, instructions or products referred to in the content. |
© 2023 by the authors. Licensee MDPI, Basel, Switzerland. This article is an open access article distributed under the terms and conditions of the Creative Commons Attribution (CC BY) license (https://creativecommons.org/licenses/by/4.0/).
Share and Cite
Cheng, L.; Song, Q.; He, K. Can Environmental Centralization Enhance Emission Reductions?—Evidence from China’s Vertical Management Reform. Sustainability 2023, 15, 11482. https://doi.org/10.3390/su151511482
Cheng L, Song Q, He K. Can Environmental Centralization Enhance Emission Reductions?—Evidence from China’s Vertical Management Reform. Sustainability. 2023; 15(15):11482. https://doi.org/10.3390/su151511482
Chicago/Turabian StyleCheng, Linlin, Qiangxi Song, and Ke He. 2023. "Can Environmental Centralization Enhance Emission Reductions?—Evidence from China’s Vertical Management Reform" Sustainability 15, no. 15: 11482. https://doi.org/10.3390/su151511482
APA StyleCheng, L., Song, Q., & He, K. (2023). Can Environmental Centralization Enhance Emission Reductions?—Evidence from China’s Vertical Management Reform. Sustainability, 15(15), 11482. https://doi.org/10.3390/su151511482

