Agent-Based Modeling for Water–Energy–Food Nexus and Its Application in Ningdong Energy and Chemical Base
Abstract
1. Introduction
2. Case Study Area and Data
2.1. Overview of Ningdong Base Research Area
2.2. Data
3. Methodology
3.1. Agent-Based Modeling (ABM)
3.2. The Programming Software
3.3. Model Design
3.3.1. Agent Designed in the Model
3.3.2. Defining Attributes and Behaviors for an Agent-Based Model Development
3.3.3. The Modeling Framework
- (1)
- “Supply by quantity” and “living first, then production”, giving priority to residential water and important industrial water, and reasonably arranging production, ecological and other water;
- (2)
- The unified deployment of Yellow River water, non-conventional water sources (mine water, recycled water) and groundwater;
- (3)
- The superior water supply. The water needed for living in each park is supplied by the Yellow River, and the water used in coal mines is given priority over mine dewatering water, while the remaining mine dewatering water is mainly used in coal washing and other water industries with low water quality requirements.
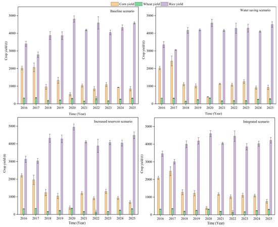
4. Results and Discussion
4.1. Model Validation
4.2. Scenario Design
4.3. Scenario Analysis
5. Conclusions
6. Limitations and Future Research Directions
Supplementary Materials
Author Contributions
Funding
Data Availability Statement
Conflicts of Interest
References
- Hoff, H. Understanding the Nexus, Background Paper for the Bonn Conference 2011: The Water-Energy-Food Security Nexus; Stockholm Environment Institute: Stockholm, Sweden, 2011. [Google Scholar]
- Abdelaziz, A.; Abidin, S.Z.; Adhitya, A.; Ahmed, W.; Al-Habsi, N.; Alnouri, S.; Al-Obaidi, M.; Alsadaie, S.; Altaee, A.; Aryafar, M.; et al. The Water-Food-Energy Nexus: Processes, Technologies, and Challenges, 1st ed.; Mujtaba, I.M., Srinivasan, R., Eds.; CRC Press: Boca Raton, FL, USA, 2017; p. 792. ISBN 9781315153209. [Google Scholar]
- Debecker, D.P.; Kuok, H.K.; Moores, A.; Rossi, L.M.; Sels, B.; Allen, D.T.; Subramaniam, B. Shaping effective practices for incorporating sustainability assessment in manuscripts submitted to ACS Sustainable Chemistry & Engineering: Catalysis and catalytic processes. ACS Sustain. Chem. Eng. 2021, 9, 4936–4940. [Google Scholar]
- Modak, A.G.; Mankar, A.R.; Mankar, A.R.; Pant, K.K.; Bhasin, V.; Nayak, C.; Bhattacharya, S. Controlled synthesis of Ru-single-atoms on ordered mesoporous phosphine polymers for microwave-assisted conversion of biomass-derived sugars to artificial sweeteners. Nanoscale 2022, 14, 15875–15888. [Google Scholar] [CrossRef]
- Grimm, V.; Berger, U.; DeAngelis, D.L.; Polhill, J.G.; Giske, J.; Railsback, S.F. The ODD protocol: A review and first update. Ecol. Model. 2010, 221, 2760–2768. [Google Scholar] [CrossRef]
- Zhang, X.-N.; Guo, Q.-P.; Shen, X.-X.; Yu, S.-W.; Qiu, G.-Y. Water quality, agriculture and food safety in China: Current situation, trends, interdependencies, and management. J. Integr. Agric. 2015, 14, 2365–2379. [Google Scholar] [CrossRef]
- Lubega, W.N.; Farid, A.M. Quantitative engineering systems modeling and analysis of the energy–water nexus. Appl. Energy 2014, 135, 142–157. [Google Scholar] [CrossRef]
- Eftelioglu, E.; Jiang, Z.; Tang, X.; Shekhar, S. The Nexus of Food, Energy, and Water Resources: Visions and Challenges in Spatial Computing. In Advances in Geocomputation; Springer: Cham, Switzerland, 2017; pp. 5–20. [Google Scholar] [CrossRef]
- Al-Ansari, T.; Korre, A.; Nie, Z.; Shah, N. Development of a life cycle assessment tool for the assessment of food production systems within the energy, water and food nexus. Sustain. Prod. Consum. 2015, 2, 52–66. [Google Scholar] [CrossRef]
- Sušnik, J.; Chew, C.; Domingo, X.; Mereu, S.; Trabucco, A.; Evans, B.; Vamvakeridou-Lyroudia, L.; Savić, D.A.; Laspidou, C.; Brouwer, F. Multi-stakeholder development of a serious game to explore the water-energy-food-land-climate nexus: The SIM4NEXUS approach. Water 2018, 10, 139. [Google Scholar] [CrossRef]
- Schlör, H.; Venghaus, S.; Hake, J.-F. The FEW-Nexus city index—Measuring urban resilience. Appl. Energy 2018, 210, 382–392. [Google Scholar] [CrossRef]
- Chen, H.G.; Zhang, Y.H.P. New biorefineries and sustainable agriculture: Increased food, biofuels, and ecosystem security. Renew. Sustain. Energy Rev. 2015, 47, 117–132. [Google Scholar] [CrossRef]
- Wu, L.; Elshorbagy, A.; Pande, S.; Zhuo, L. Trade-offs and synergies in the water-energy-food nexus: The case of Saskatchewan, Canada. Resour. Conserv. Recycl. 2021, 164, 105192. [Google Scholar] [CrossRef]
- Tabatabaie, S.M.H.; Murthy, G.S. Development of an input-output model for food-energy-water nexus in the pacific northwest, USA. Resour. Conserv. Recycl. 2021, 168, 105267. [Google Scholar] [CrossRef]
- Liu, Y.; Jiang, Y.; Xu, C.; Lyu, J.; Su, Z. A quantitative analysis framework for water-food-energy nexus in an agricultural watershed using WEAP-MODFLOW. Sustain. Prod. Consum. 2022, 31, 693–706. [Google Scholar] [CrossRef]
- Nair, S.; George, B.; Malano, H.M.; Arora, M.; Nawarathna, B. Water-energy-greenhouse gas nexus of urban water systems: Review of concepts, state-of-art and methods. Resour. Conserv. Recycl. 2014, 89, 1–10. [Google Scholar] [CrossRef]
- Heckbert, S.; Baynes, T.; Reeson, A. Agent-based modeling in ecological economics. Ann. N. Y. Acad. Sci. 2010, 1185, 39–53. [Google Scholar] [CrossRef]
- Yang, Y.-C.E.; Cai, X.; Stipanović, D.M. A decentralized optimization algorithm for multiagent system-based watershed management. Water Resour. Res. 2009, 45, W08430. [Google Scholar] [CrossRef]
- Magliocca, N.R. Agent-Based Modeling for Integrating Human Behavior into the Food–Energy–Water Nexus. Land 2020, 9, 519. [Google Scholar] [CrossRef]
- Pouladi, P.; Afshar, A.; Afshar, M.H.; Molajou, A.; Farahmand, H. Agent-based socio-hydrological modeling for restoration of Urmia Lake: Application of theory of planned behavior. J. Hydrol. 2019, 576, 736–748. [Google Scholar] [CrossRef]
- An, L. Modeling human decisions in coupled human and natural systems: Review of agent-based models. Ecol. Model. 2012, 229, 25–36. [Google Scholar] [CrossRef]
- Hering, J.G.; Waite, T.D.; Luthy, R.G.; Drewes, J.E.; Sedlak, D.L. A changing framework for urban water systems. Environ. Sci. Technol. 2013, 47, 10721–10726. [Google Scholar] [CrossRef] [PubMed]
- Bieber, N.; Ker, J.H.; Wang, X.; Triantafyllidis, C.; van Dam, K.H.; Koppelaar, R.H.; Shah, N. Sustainable planning of the energy-water-food nexus using decision making tools. Energy Policy 2018, 113, 584–607. [Google Scholar] [CrossRef]
- China Economic and Social Big Data Research Platform. Available online: https://data.cnki.net/ (accessed on 1 September 2021).
- Ningxia Water Resources Bulletin. Available online: http://slt.nx.gov.cn/slzt/ (accessed on 1 September 2021).
- China Energy Statistical Yearbook. Available online: http://www.stats.gov.cn/sj/ndsj/ (accessed on 1 September 2021).
- Daily Electricity Demand. Available online: https://wen.baidu.com/question/1712571590435501860.html (accessed on 1 September 2021).
- Food Consumption Per Person Per Day. Available online: https://edu.iask.sina.com.cn/jy/3lsc55PMcpr.html (accessed on 1 September 2021).
- Ningxia Industrial Water Quota. Available online: https://ishare.iask.sina.com.cn/f/cg6IbjtMRQ (accessed on 1 September 2021).
- Energy Consumption Per Mu of Crops. Available online: http://www.cqvip.com/qk/83634c/201035/36207197.html (accessed on 1 September 2021).
- Ningxia Agricultural Water Consumption Quota. Available online: https://doc.wendoc.com/b9290f5c570ed6133bbfb1183 (accessed on 1 September 2021).
- Water Quota for Greening Management. Available online: http://slt.nx.gov.cn/slzt/sdjsksxd/zlxz/202302/t20230214_3956457.html (accessed on 14 February 2023).
- Energy Consumption for Drinking Water Treatment. Available online: https://kns.cnki.net/kns8/Detail?sfield=fn&QueryID=7&CurRec=3&recid=&FileName=BJJN202303029&DbName=CJFDLAST2023&DbCode=CJFD&yx=&pr=&URLID= (accessed on 25 March 2023).
- Epstein, J.M.; Axtell, R. Artificial societies and generative social science. Artif. Life Robot. 1997, 1, 33–34. [Google Scholar] [CrossRef]
- Bonabeau, E. Agent-based modeling: Methods and techniques for simulating human systems. Proc. Natl. Acad. Sci. USA 2002, 99 (Suppl. 3), 7280–7287. [Google Scholar] [CrossRef] [PubMed]
- Rachid, B.; Mohamed, T.; Khouaja, M.A. An agent based modeling approach in the strategic human resource Management, including endogenous and exogenous factors. Simul. Model. Pract. Theory 2018, 88, 32–47. [Google Scholar] [CrossRef]
- Kaegi, M.; Mock, R.; Kröger, W. Analyzing maintenance strategies by agent-based simulations: A feasibility study. Reliab. Eng. Syst. Saf. 2009, 94, 1416–1421. [Google Scholar] [CrossRef]
- Xiao, Y.; Fang, L.; Hipel, K.W. Agent-Based Modeling Approach to Investigating the Impact of Water Demand Management. J. Water Resour. Plan. Manag. 2018, 144, 04018006. [Google Scholar] [CrossRef]
- Kazil, J.; Masad, D.; Crooks, A. Utilizing Python 3.9 for Agent-Based Modeling: The Mesa Framework. In Social, Cultural, and Behavioral Modeling, Proceedings of the 2020 International Conference on Social Computing, Behavioral-Cultural Modeling & Prediction and Behavior Representation in Modeling and Simulation, Washington, DC, USA, 18–21 October 2020; Springer International Publishing: Berlin/Heidelberg, Germany, 2020. [Google Scholar] [CrossRef]
- Masad, D.; Kazil, J. MESA: An agent-based modeling framework. In Proceedings of the 14th PYTHON 3.9 in Science Conference, Austin, TA, USA, 6–12 July 2015. [Google Scholar]
- Unit Energy Consumption. Available online: https://zhidao.baidu.com/question/493512363635761372.html (accessed on 1 September 2021).
- Unit Energy Consumption. Available online: https://ir.p5w.net/question/00018182AB60BDA34A0B92D1E0EDE4EAD6EC.shtml (accessed on 1 September 2021).



















| Date | Description | Sources |
|---|---|---|
| Per capita daily water consumption (m3) | Per capita daily water consumption in urban area | China Economic and Social Big Data Research Platform [24] |
| Population (People) | Population in the current year | China Economic and Social Big Data Research Platform [24] |
| Irrigation water utilization coefficient | The ratio of the amount of effective water delivered to the field to the water amount diverted to the canal | Represented by the irrigation water utilization coefficient of Ningxia in the Ningxia Water Resources Bulletin [25] |
| Sources of water | Yellow River water, groundwater, unconventional water, and reservoirs | Ningxia Water Resources Bulletin [25] |
| Coal and coal products (104 t) | Including coal, olefins, ethylene glycol, methanol, thermal power installed capacity, and new energy installed capacity | China Energy Statistical Yearbook [26] |
| Urban green space coverage area (km2) | The area of all vegetation in the city, including trees, shrubs, lawns, etc. | China Economic and Social Big Data Research Platform [24] |
| Crop prices (CNY/kg) | Prices of wheat, corn, and rice | China Economic and Social Big Data Research Platform [24] |
| Crop planting area (km2) | Annual planting area of wheat, corn, and rice | Using genetic algorithms to calculate the irrigation area of crops with the goal of maximizing profits |
| Daily electricity demand (kwh) | 6 | https://wen.baidu.com/question/1712571590435501860.html ( accessed on 1 September 2021) [27] |
| Food consumption per person per day (kg) | About 0.65 | https://edu.iask.sina.com.cn/jy/3lsc55PMcpr.html ( accessed on 1 September 2021) [28] |
| Industrial water quota (m3/t) | Water quota for coal and coal products | Ningxia Industrial Water Quota [29] |
| Energy consumption per mu of crops (tce) | Energy consumption of wheat, corn, and rice | http://www.cqvip.com/qk/83634c/201035/36207197.html ( accessed on 1 September 2021) [30] |
| Irrigation water quota (m3/mu) | Irrigation water quota for wheat, corn, and rice | Ningxia Agricultural Water Consumption Quota [31] |
| Water quota for greening management (m3/m2) | 0.24 | Water quotas for relevant industries in Ningxia Hui Autonomous Region [32] |
| Energy consumption for drinking water treatment (kWh/t) | About 0.05 | https://kns.cnki.net/kns8/Detail?sfield=fn&QueryID=7&CurRec=3&recid=&FileName=BJJN202303029&DbName=CJFDLAST2023&DbCode=CJFD&yx=&pr=&URLID= ( accessed on 25 March 2023) [33] |
| Energy consumption of sewage treatment (kWh/t) | About 0.35 | https://kns.cnki.net/kns8/Detail?sfield=fn&QueryID=7&CurRec=3&recid=&FileName=BJJN202303029&DbName=CJFDLAST2023&DbCode=CJFD&yx=&pr=&URLID= ( accessed on 25 March 2023) [33] |
| Higher-Level Entities | Lower-Level Entities |
|---|---|
| Resources | Water |
| Energy | |
| Food | |
| Managers | Nature and Ecology Department |
| Users | Life Department |
| Food Department | |
| Energy Department | |
| Nature and Ecology Department | |
| Water Administration Department |
| Agent | Attributes (Data Source) | Behaviors |
|---|---|---|
| Nature and Ecology Department | Population growth rate [24], cropping structure [24], Irrigation water utilization factor [25], energy structure [26], water sourceb [25] | Coordination of five major departments |
| Water Administration Department | Yellow River water [25] Groundwater [25] Others (reclaimed water, mine water) [25] | Domestic water supply Industrial water supply Agricultural water supply Ecological water supply |
| Life Department | Population growth rate [24] Domestic water quota [24] Domestic energy consumption quotas [27] | Population water consumption Population energy consumption Food consumption by population Ecological land use per capita |
| Nature and Ecology Department | Urban green space coverage area [24] Ecological water quotas [24] Ecological energy consumption Quotas [33] | Ecological greening water consumption Energy consumption of ecological greening |
| Energy Department | Coal [26] Coal products [26] New energy [26] Industrial water quota [29] Energy consumption for water supply treatment [33] Energy consumption quotas [33] Drainage energy consumption [33] | Domestic energy consumption Food energy consumption Energy industry water consumption Ecological energy consumption Energy consumption for water treatment in the energy industry Drainage energy consumption |
| Food Department | Agricultural water quota [31] Planting area (Calculated by genetic algorithm) Unit energy consumption [41,42] | Irrigation water consumption Irrigation energy consumption Food production |
| Time (Year) | Measured Value (Billion m3) | Simulated Value (Billion m3) | Relative Error% between Measured and Simulated Values (%) |
|---|---|---|---|
| 2016 | 1.662 | 1.659 | 0.18 |
| 2017 | 1.952 | 1.941 | 0.56 |
| 2018 | 1.900 | 1.859 | 2.16 |
| 2019 | 1.987 | 1.913 | 3.73 |
| 2020 | 1.953 | 1.966 | 0.67 |
| Scenario Name | Description of Changes in Water Supply and Water Demand Settings | |
|---|---|---|
| Water Supply Settings | Requirement Setting | |
| Baseline scenario | Current water supply: from Yellow River water, groundwater and non-conventional water; irrigation water utilization coefficient according to the actual value, but none of them exceed 0.6 | Current demand situation: calculation of demand for each department based on actual measured data |
| Water saving scenarios | The water supply source remains unchanged and the irrigation water utilization factor is increased to 0.68 | Same baseline scenario |
| Increased reservoir scenario | Same baseline scenario | Consistent supply and demand |
| Integrated scenarios | The water supply source is the same as the baseline scenario, and the irrigation water use factor is the same as the water saving scenario | Same as adding the reservoir scenario |
Disclaimer/Publisher’s Note: The statements, opinions and data contained in all publications are solely those of the individual author(s) and contributor(s) and not of MDPI and/or the editor(s). MDPI and/or the editor(s) disclaim responsibility for any injury to people or property resulting from any ideas, methods, instructions or products referred to in the content. |
© 2023 by the authors. Licensee MDPI, Basel, Switzerland. This article is an open access article distributed under the terms and conditions of the Creative Commons Attribution (CC BY) license (https://creativecommons.org/licenses/by/4.0/).
Share and Cite
Zhu, M.; Yang, G.; Jiang, Y.; Wang, X. Agent-Based Modeling for Water–Energy–Food Nexus and Its Application in Ningdong Energy and Chemical Base. Sustainability 2023, 15, 11428. https://doi.org/10.3390/su151411428
Zhu M, Yang G, Jiang Y, Wang X. Agent-Based Modeling for Water–Energy–Food Nexus and Its Application in Ningdong Energy and Chemical Base. Sustainability. 2023; 15(14):11428. https://doi.org/10.3390/su151411428
Chicago/Turabian StyleZhu, Meilian, Guoli Yang, Yanan Jiang, and Xiaojun Wang. 2023. "Agent-Based Modeling for Water–Energy–Food Nexus and Its Application in Ningdong Energy and Chemical Base" Sustainability 15, no. 14: 11428. https://doi.org/10.3390/su151411428
APA StyleZhu, M., Yang, G., Jiang, Y., & Wang, X. (2023). Agent-Based Modeling for Water–Energy–Food Nexus and Its Application in Ningdong Energy and Chemical Base. Sustainability, 15(14), 11428. https://doi.org/10.3390/su151411428

