Demand Priority of Green Space from the Perspective of Carbon Emissions and Storage
Abstract
1. Introduction
2. Materials and Methods
2.1. Area for Case Study
2.2. Data Source
2.3. Research Method
2.3.1. The InVEST Model
2.3.2. Land Use Dynamic Attitude
2.3.3. Carbon Emission Calculation
2.3.4. Line of Best Fit to Predict Future CS and CEs
3. CS and CE Analysis
3.1. Spatio-Temporal Changes in Land Use
3.1.1. Land Use Structure Change
3.1.2. Land Use Dynamic Attitude
3.2. Identifying CS Characteristics
3.2.1. CS Characteristics in the Time Dimension
3.2.2. CS Characteristics in the Spatial Dimension
3.3. Identifying CE Characteristics
3.4. Reasons behind CS and CE Characteristics
4. Demand Priority Evaluation of Green Spaces
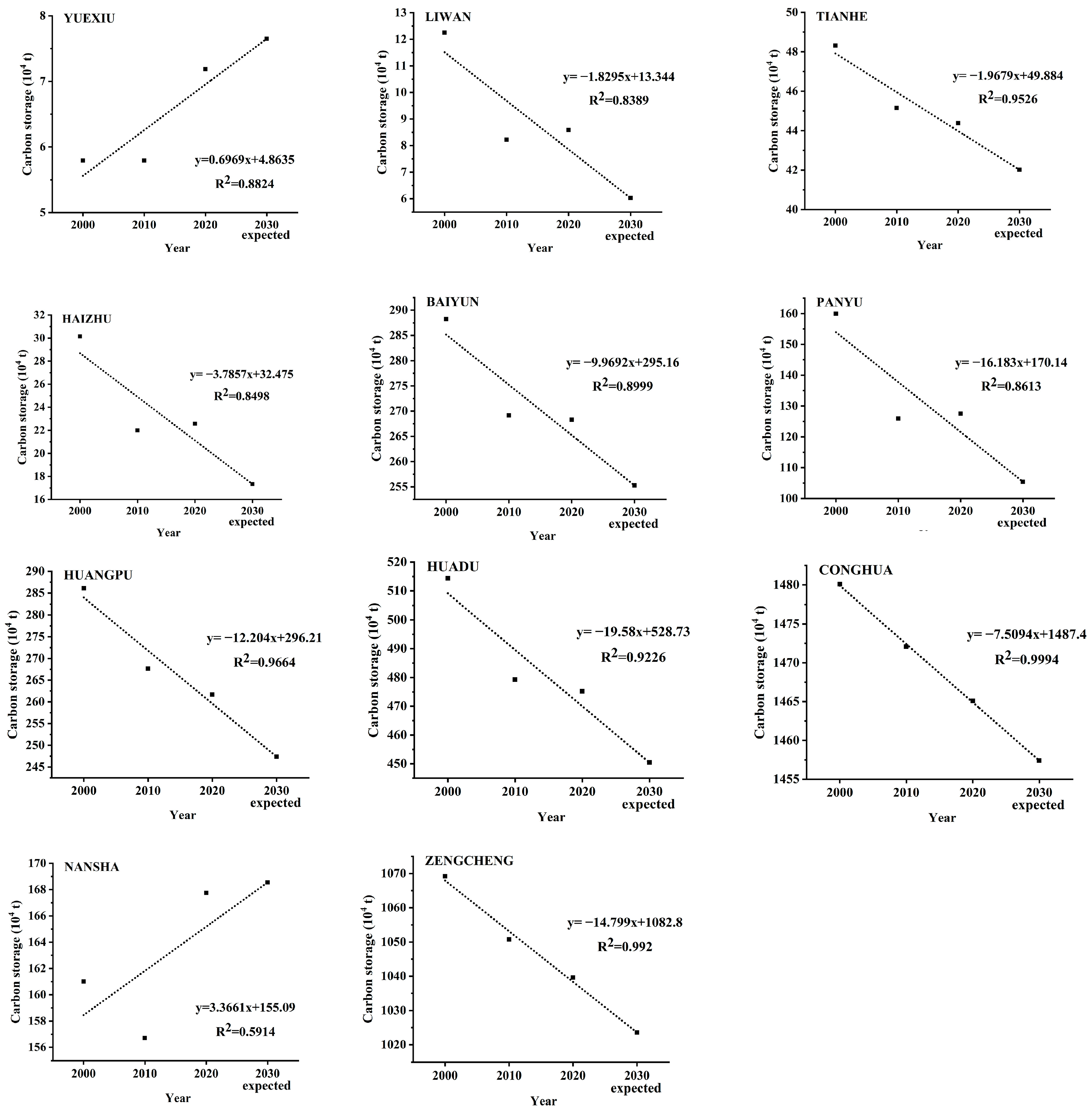
4.1. Prediction of Carbon Storage
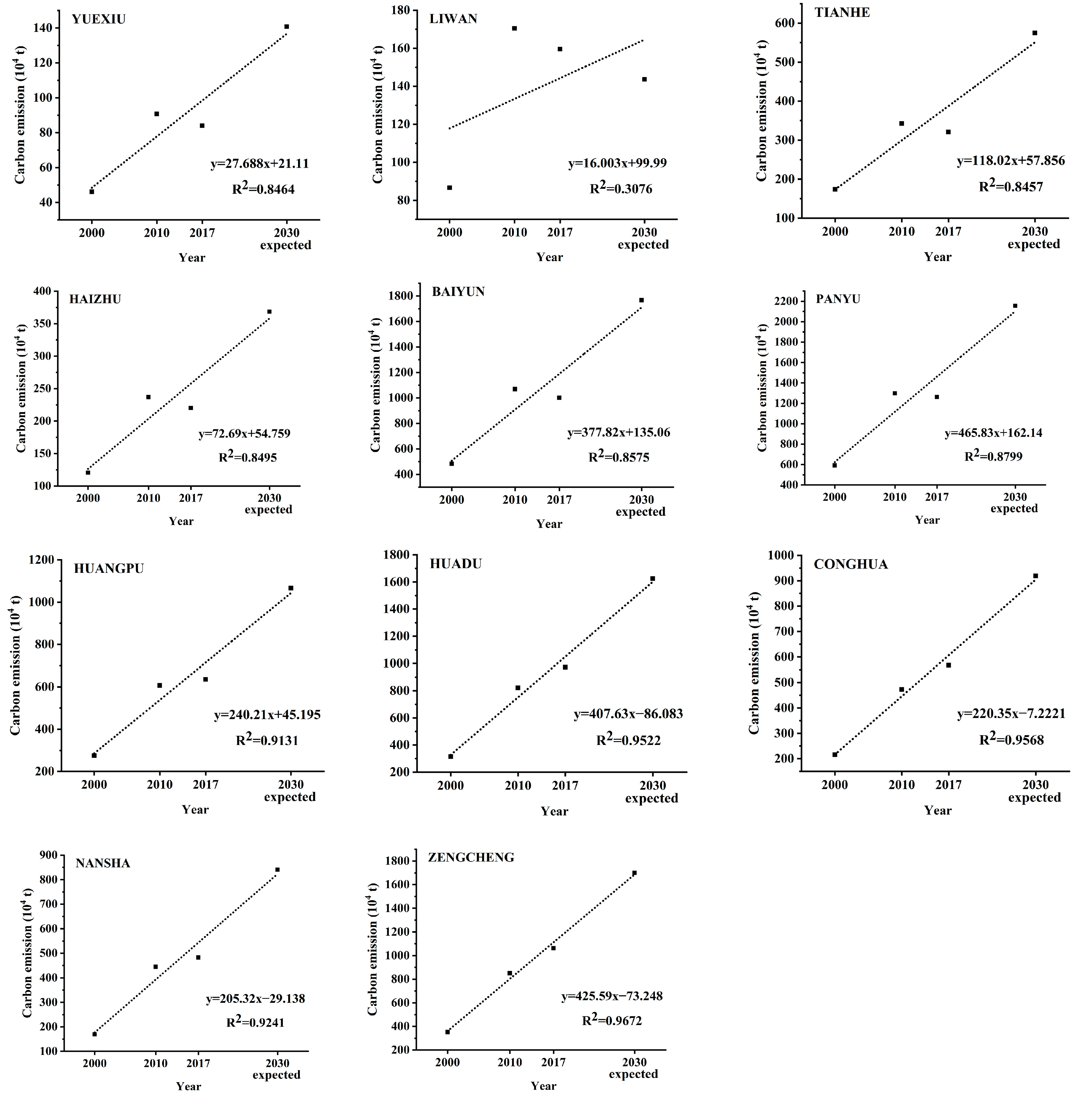
4.2. Prediction Result Analysis of Carbon Emissions
4.3. Demand Priority of Green Space
4.4. Implementation Difficulty
5. Conclusions
Author Contributions
Funding
Institutional Review Board Statement
Informed Consent Statement
Data Availability Statement
Conflicts of Interest
References
- Ahmadi, P.; Rosen, M.A.; Dincer, I. Greenhouse Gas Emission and Exergo-Environmental Analyses of a Trigeneration Energy System. Int. J. Greenh. Gas Control 2011, 5, 1540–1549. [Google Scholar] [CrossRef]
- Pathak, H. Greenhouse Gas Emissions and Mitigation in Agriculture. Greenh. Gases Sci. Technol. 2015, 5, 357–358. [Google Scholar] [CrossRef]
- Wolf, S.; Eugster, W.; Potvin, C.; Turner, B.L.; Buchmann, N. Carbon Sequestration Potential of Tropical Pasture Compared with Afforestation in Panama. Glob. Chang. Biol. 2011, 17, 2763–2780. [Google Scholar] [CrossRef]
- Sun, W.; Liu, X. Review on carbon storage estimation of forest ecosystem and applications in China. For. Ecosyst. 2020, 7, 4. [Google Scholar] [CrossRef]
- Liang, Y.; Hashimoto, S.; Liu, L. Integrated assessment of land-use/land-cover dynamics on carbon storage services in the Loess Plateau of China from 1995 to 2050. Ecol. Indic. 2021, 120, 106939. [Google Scholar] [CrossRef]
- Chen, J.; Xu, C.; Gao, M.; Li, D. Carbon Peak and Its Mitigation Implications for China in the Post-Pandemic Era. Sci. Rep. 2022, 12, 3473. [Google Scholar] [CrossRef]
- Zheng, H.; Ge, L. Carbon Emissions Reduction Effects of Sustainable Development Policy in Resource-Based Cities from the Perspective of Resource Dependence: Theory and Chinese Experience. Resour. Policy 2022, 78, 102799. [Google Scholar] [CrossRef]
- Salvati, L.; Ferrara, C. Do Changes in Vegetation Quality Precede Urban Sprawl? Area 2013, 45, 365–375. [Google Scholar] [CrossRef]
- Zhang, Y.; Meng, W.; Yun, H.; Xu, W.; Hu, B.; He, M.; Mo, X.; Zhang, L. Is urban green space a carbon sink or source?—A case study of China based on LCA method. Environ. Impact Assess. Rev. 2022, 94, 106766. [Google Scholar] [CrossRef]
- Ignatieva, M.; Haase, D.; Dushkova, D.; Haase, A. Lawns in Cities: From a Globalised Urban Green Space Phenomenon to Sustainable Nature-Based Solutions. Land 2020, 9, 73. [Google Scholar] [CrossRef]
- Lahoti, S.; Lahoti, A.; Joshi, R.K.; Saito, O. Vegetation Structure, Species Composition, and Carbon Sink Potential of Urban Green Spaces in Nagpur City, India. Land 2020, 9, 107. [Google Scholar] [CrossRef]
- Morris, J. Agricultural Land Drainage, Land Use Change and Economic Performance. Land Use Policy 1992, 9, 185–198. [Google Scholar] [CrossRef]
- Richards, D.R.; Passy, P.; Oh, R.R.Y. Impacts of Population Density and Wealth on the Quantity and Structure of Urban Green Space in Tropical Southeast Asia. Landsc. Urban Plan. 2017, 157, 553–560. [Google Scholar] [CrossRef]
- Chengzhi, C.; Juan, L.; Wen, Z.; Schiraldi, M.M. Un-Sustainability of Global Ecosystem Based on the Carrying Capacity of Agro-Ecosystem. Res. Crops 2014, 15, 281. [Google Scholar] [CrossRef]
- OECD Home|OECD ILibrary. Available online: https://www.oecd-ilibrary.org/sites/9789264305304-en/index.html?itemId=/content/publication/9789264305304-en (accessed on 19 April 2023).
- Celia, M.A. Geological Storage of Captured Carbon Dioxide as a Large-Scale Carbon Mitigation Option. Water Resour. Res. 2017, 53, 3527–3533. [Google Scholar] [CrossRef]
- Kang, F.; He, Y.; Li, B.; Du, H. Carbon for Energy Storage and Conversion. Carbon 2012, 50, 342. [Google Scholar] [CrossRef]
- Cowell, S.J. Changes in Land Use and Land Cover: A Global Perspective. Glob. Environ. Change 1995, 5, 161–162. [Google Scholar] [CrossRef]
- Kwon, H.; Kim, J. Application of InVEST Urban Cooling Model to Evaluate Surface Cooling Capacity of Urban Green Areas. J. Assoc. Korean Geogr. 2022, 11, 449–463. [Google Scholar] [CrossRef]
- Chen, T.; Wang, M.; Liu, J. Evaluation of Ecosystem Services in Macao Based on InVEST Model. Urbanie Urbanus Resilient Cities 2022, 7, 24–39. [Google Scholar] [CrossRef] [PubMed]
- Chen, T.; Zhao, Y.; Yang, H.; Wang, G.; Mi, F. Recreational Services from Green Space in Beijing: Where Supply and Demand Meet? Forests 2021, 12, 1625. [Google Scholar] [CrossRef]
- Wu, H.; Liu, L.; Yu, Y.; Peng, Z. Evaluation and Planning of Urban Green Space Distribution Based on Mobile Phone Data and Two-Step Floating Catchment Area Method. Sustainability 2018, 10, 214. [Google Scholar] [CrossRef]
- Luo, C.; Li, X. Assessment of Ecosystem Service Supply, Demand, and Balance of Urban Green Spaces in a Typical Mountainous City: A Case Study on Chongqing, China. Int. J. Environ. Res. Public Health 2021, 18, 11002. [Google Scholar] [CrossRef]
- Udara Willhelm Abeydeera, L.H.; Wadu Mesthrige, J.; Samarasinghalage, T.I. Global Research on Carbon Emissions: A Scientometric Review. Sustainability 2019, 11, 3972. [Google Scholar] [CrossRef]
- Xiao, D.; Niu, H.; Guo, J.; Zhao, S.; Fan, L. Carbon Storage Change Analysis and Emission Reduction Suggestions under Land Use Transition: A Case Study of Henan Province, China. Int. J. Environ. Res. Public Health 2021, 18, 1844. [Google Scholar] [CrossRef]
- Wang, W.; Wu, T.; Li, Y.; Zheng, H.; Ouyang, Z. Matching Ecosystem Services Supply and Demand through Land Use Optimization: A Study of the Guangdong-Hong Kong-Macao Megacity. Int. J. Environ. Res. Public Health 2021, 18, 2324. [Google Scholar] [CrossRef]
- Ramaiah, M.; Avtar, R. Urban Green Spaces and Their Need in Cities of Rapidly Urbanizing India: A Review. Urban Sci. 2019, 3, 94. [Google Scholar] [CrossRef]
- Yang, Q.; Kang, Q.; Huang, Q.; Cui, Z.; Bai, Y.; Wei, H. Linear Correlation Analysis of Ammunition Storage Environment Based on Pearson Correlation Analysis. J. Phys. Conf. Ser. 2021, 1948, 012064. [Google Scholar] [CrossRef]
- Haase, A. Green Spaces and Their Social Functions: Specific Challenges in Urban Spaces of Arrival. In Human Nature Interactions; Ieva Misiune Daniel Depellegrin; Springer: Cham, Switzerland, 2022; pp. 273–284. [Google Scholar] [CrossRef]
- Zhang, Y.; Mavoa, S.; Zhao, J.; Raphael, D.; Smith, M. The Association between Green Space and Adolescents’ Mental Well-Being: A Systematic Review. Int. J. Environ. Res. Public Health 2020, 17, 6640. [Google Scholar] [CrossRef]
- Sun, Q.; Wu, Z.; Tan, J. The Relationship between Land Surface Temperature and Land Use/Land Cover in Guangzhou, China. Environ. Earth Sci. 2011, 65, 1687–1694. [Google Scholar] [CrossRef]
- Deery, D.; Jimenez-Berni, J.; Jones, H.; Sirault, X.; Furbank, R. Proximal Remote Sensing Buggies and Potential Applications for Field-Based Phenotyping. Agronomy 2014, 4, 349–379. [Google Scholar] [CrossRef]
- Lehmann, J.; Kinyangi, J.; Solomon, D. Organic Matter Stabilization in Soil Microaggregates: Implications from Spatial Heterogeneity of Organic Carbon Contents and Carbon Forms. Biogeochemistry 2007, 85, 45–57. [Google Scholar] [CrossRef]
- Chan, L.Y.; Lau, W.L.; Zou, S.C.; Cao, Z.X.; Lai, S.C. Exposure Level of Carbon Monoxide and Respirable Suspended Particulate in Public Transportation Modes While Commuting in Urban Area of Guangzhou, China. Atmos. Environ. 2002, 36, 5831–5840. [Google Scholar] [CrossRef]
- Fang, K.; Azizan, S.A.; Wu, Y. Low-Carbon Community Regeneration in China: A Case Study in Dadong. Sustainability 2023, 15, 4136. [Google Scholar] [CrossRef]
- Cohen, G. Forecasting Bitcoin Trends Using Algorithmic Learning Systems. Entropy 2020, 22, 838. [Google Scholar] [CrossRef]
- Alam, M.A.; Emura, K.; Farnham, C.; Yuan, J. Best-Fit Probability Distributions and Return Periods for Maximum Monthly Rainfall in Bangladesh. Climate 2018, 6, 9. [Google Scholar] [CrossRef]
- Lo, C.P. Economic Reforms and Socialist City Structure: A Case Study of Guangzhou, China. Urban Geogr. 1994, 15, 128–149. [Google Scholar] [CrossRef]
- Artmann, M.; Bastian, O.; Grunewald, K. Using the Concepts of Green Infrastructure and Ecosystem Services to Specify Leitbilder for Compact and Green Cities—The Example of the Landscape Plan of Dresden (Germany). Sustainability 2017, 9, 198. [Google Scholar] [CrossRef]
- Burkhard, B.; Kroll, F.; Nedkov, S.; Müller, F. Mapping ecosystem service supply, demand and budgets. Ecol. Indic. 2012, 21, 17–29. [Google Scholar] [CrossRef]
- Liu, W. Tenure-Based Housing Spatial Patterns and Residential Segregation in Guangzhou under the Background of Housing Market Reform. Sustainability 2022, 14, 4567. [Google Scholar] [CrossRef]
- Schroter, M.; Barton, D.N.; Remme, R.P.; Hein, L. Accounting for capacity and flow of ecosystem services: A conceptual model and a case study for Telemark, Norway. Ecol. Indic. 2014, 36, 539–551. [Google Scholar] [CrossRef]
- Villamagna, A.M.; Angermeier, P.L.; Bennett, E.M. Capacity, pressure, demand, and flow: A conceptual framework for analyzing ecosystem service provision and delivery. Ecol. Complex. 2013, 15, 114–121. [Google Scholar] [CrossRef]
- Chen, J.; Jiang, B.; Bai, Y.; Xu, X.; Alatalo, J. Quantifying ecosystem services supply, and demand shortfalls and mismatches for management optimization. Sci. Total Environ. 2019, 650, 1. [Google Scholar] [CrossRef] [PubMed]
- Jia, Q.; Jiao, L.; Lian, X.; Wang, W. Linking supply-demand balance of ecosystem services to identify ecological security patterns in urban agglomerations. Sustain. Cities Soc. 2023, 15, 104497. [Google Scholar] [CrossRef]
- Tian, Y.; Wu, H.; Zhang, G.; Wang, L.; Zheng, D.; Li, S. Perceptions of ecosystem services, disservices, and willingness-to-pay for urban green space conservation. J. Environ. Manag. 2020, 260, 110140. [Google Scholar] [CrossRef]
- Zhu, Z.; Li, J.; Chen, Z. Green space equity: Spatial distribution of urban green spaces and correlation with urbanization in Xiamen, China. Environ. Dev. Sustain. 2023, 25, 423–443. [Google Scholar] [CrossRef]











| Water | Electricity | Fuel | |
|---|---|---|---|
| Carbon emission factor | 0.91 kg/t [35] | 0.5810 t CO2/MWH [35] | 2.31 kg/L [35] |
| Unit price | (a) 13.86 dollars/m3/month (under 26 m3/month) (b) 20.79 dollars/m3/month (27–34 m3/month) (c) 27.72 dollars/m3/month (above 34 m3/month) | (a) 4.76 dollars/MWH/month (under 260 MWH/month) (b) 5.11 dollars/MWH/month (261–600 MWH/month) (c) 6.86 dollars/MWH/month (above 601 MWH/month) | 92 gasoline is 61.6 dollars/L |
| Land Types | 2000 | 2010 | 2020 | |||
|---|---|---|---|---|---|---|
| Area | Proportion | Area | Proportion | Area | Proportion | |
| cultivated land | 2588.12 | 35.89% | 2114.50 | 29.33% | 2077.91 | 28.82% |
| woods | 3126.85 | 43.37% | 3053.21 | 42.34% | 3040.03 | 42.16% |
| grassland | 109.07 | 1.51% | 103.56 | 1.44% | 96.98 | 1.34% |
| water area | 579.23 | 8.03% | 559.94 | 7.77% | 522.67 | 7.25% |
| construction land | 805.00 | 11.16% | 1377.06 | 19.10% | 1470.67 | 20.40% |
| unused land | 2.08 | 0.03% | 2.08 | 0.03% | 2.09 | 0.03% |
| Land Types | Aboveground Carbon Density | Subsurface Carbon Density of Vegetation | Soil Carbon Density | Carbon Density of Dead Organic Matter |
|---|---|---|---|---|
| cultivated land | 1350 | 270 | 1734 | 100 |
| woods | 5830 | 1458 | 1973 | 350 |
| grassland | 301 | 1353 | 1600 | 100 |
| water area | 21 | 0 | 0 | 0 |
| construction land | 120 | 93 | 1248 | 0 |
| unused land | 210 | 0 | 1136 | 0 |
| Yuexiu | Tianhe | Nansha | Liwan | Huangpu | Huadu | Haizhu | Panyu | Conghua | Baiyun | Zengcheng | |
|---|---|---|---|---|---|---|---|---|---|---|---|
| Xc (100 million dollars) | 6.60 | 6.14 | 6.18 | 2.12 | 7.76 | 1.86 | 2.85 | 2.07 | 0.96 | 1.28 | 2.07 |
| Xb (1000 people/km2) | 30.64 | 23.34 | 1.08 | 19.74 | 2.52 | 1.72 | 20.13 | 5.12 | 0.37 | 4.68 | 0.83 |
| Xa (104 t) | 132.99 | 532.54 | 672.21 | 137.55 | 818.63 | 1172.80 | 350.97 | 2050.12 | −538.73 | 1510.57 | 676.76 |
Disclaimer/Publisher’s Note: The statements, opinions and data contained in all publications are solely those of the individual author(s) and contributor(s) and not of MDPI and/or the editor(s). MDPI and/or the editor(s) disclaim responsibility for any injury to people or property resulting from any ideas, methods, instructions or products referred to in the content. |
© 2023 by the authors. Licensee MDPI, Basel, Switzerland. This article is an open access article distributed under the terms and conditions of the Creative Commons Attribution (CC BY) license (https://creativecommons.org/licenses/by/4.0/).
Share and Cite
Xu, L.; Fang, K.; Huang, Y.; Xu, S. Demand Priority of Green Space from the Perspective of Carbon Emissions and Storage. Sustainability 2023, 15, 11199. https://doi.org/10.3390/su151411199
Xu L, Fang K, Huang Y, Xu S. Demand Priority of Green Space from the Perspective of Carbon Emissions and Storage. Sustainability. 2023; 15(14):11199. https://doi.org/10.3390/su151411199
Chicago/Turabian StyleXu, Lige, Kailun Fang, Yu Huang, and Shuangyu Xu. 2023. "Demand Priority of Green Space from the Perspective of Carbon Emissions and Storage" Sustainability 15, no. 14: 11199. https://doi.org/10.3390/su151411199
APA StyleXu, L., Fang, K., Huang, Y., & Xu, S. (2023). Demand Priority of Green Space from the Perspective of Carbon Emissions and Storage. Sustainability, 15(14), 11199. https://doi.org/10.3390/su151411199

