Risk of Heavy Metal Contamination in Vegetables Fertilized with Mushroom Residues and Swine Manure
Abstract
1. Introduction
2. Materials and Methods
2.1. Filed Experiment
2.2. Sampling
2.3. Chemical Analyses
2.3.1. Physical–Chemical Properties
2.3.2. Measurements of Heavy Metal Concentrations
2.4. Statistical Analyses
3. Results
3.1. Variation in Soil Nutrients Caused by Application of the Organic Waste
3.1.1. Content of Organic Matter
3.1.2. Content of Nitrogen
3.1.3. Content of Phosphorus
3.1.4. Content of Potassium
3.2. Effects of Application of Mushroom Residues and Swine Manure on Vegetable Yield
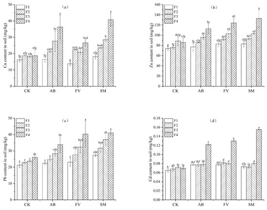
3.3. Risk of Heavy Metal Accumulation in the Soils Caused by Organic Waste Application
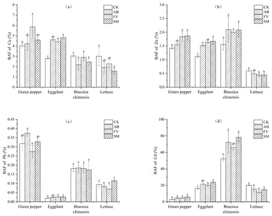
3.4. The Impact of Applying Mushroom Residues and Swine Manure on the Accumulation of Heavy Metals in Vegetables
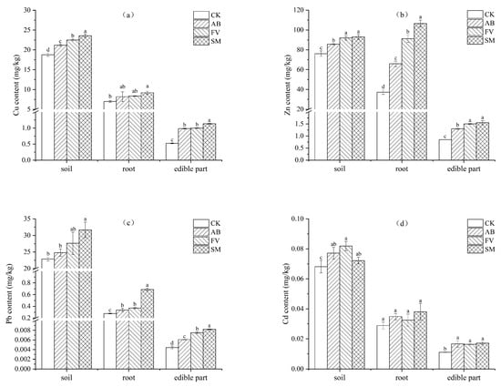
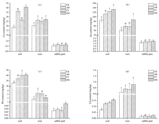
3.4.1. Heavy Metal Concentrations in Green Pepper
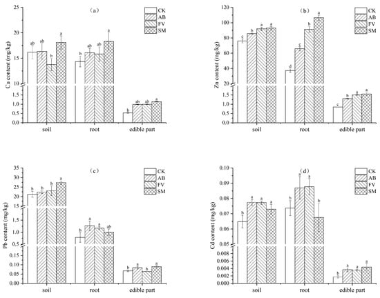
3.4.2. Heavy Metal Concentrations in Eggplant
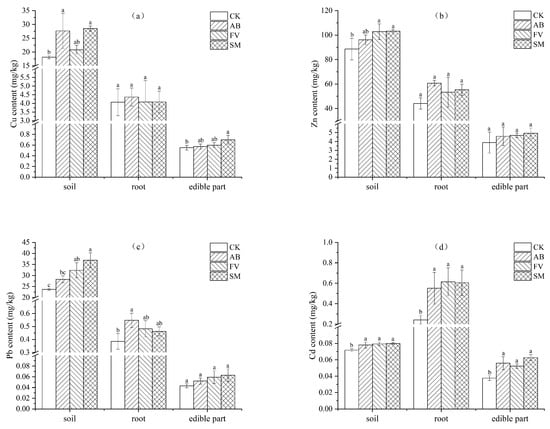
3.4.3. Heavy Metal Concentrations in Brassica chinensis
3.4.4. Heavy Metal Concentrations in Lettuce
4. Discussion
4.1. Effects of Application of Mushroom Residues and Swine Manure on Soil Nutrients and Vegetable Yield
4.2. Risk of Heavy Metal Accumulation in the Soils Treated with Mushroom Residues and Swine Manure
4.3. Risk of Heavy Metal Accumulation in the Vegetables Treated with Mushroom Residues and Swine Manure
5. Conclusions
Author Contributions
Funding
Institutional Review Board Statement
Informed Consent Statement
Data Availability Statement
Conflicts of Interest
References
- Qaswar, M.; Jing, H.; Ahmed, W.; Li, D.C.; Liu, S.J.; Zhang, L.; Cai, A.; Liu, L.S.; Xu, Y.M.; Gao, J.S.; et al. Yield sustainability, soil organic carbon sequestration and nutrients balance under long-term combined application of manure and inorganic fertilizers in acidic paddy soil. Soil Tillage Res. 2020, 198, 104569. [Google Scholar] [CrossRef]
- Guo, J.H.; Liu, X.J.; Zhang, Y.; Shen, J.L.; Han, W.X.; Zhang, W.F.; Christie, P.; Goulding, K.W.T.; Vitousek, P.M.; Zhang, F.S. Significant Acidification in Major Chinese Croplands. Science 2010, 327, 1008–1010. [Google Scholar] [CrossRef]
- Luo, F.; Yan, X.-J.; Hu, X.-F.; Yan, L.-J.; Cao, M.-Y.; Zhang, W.-J. Nitrate Quantification in Fresh Vegetables in Shanghai: Its Dietary Risks and Preventive Measures. Int. J. Environ. Res. Public Health 2022, 19, 14487. [Google Scholar] [CrossRef]
- Uphoff, N.; Dazzo, F.B. Making Rice Production More Environmentally-Friendly. Environments 2016, 3, 12. [Google Scholar] [CrossRef]
- Ye, L.; Zhao, X.; Bao, E.; Li, J.; Zou, Z.; Cao, K. Bio-organic fertilizer with reduced rates of chemical fertilization improves soil fertility and enhances tomato yield and quality. Sci. Rep. 2020, 10, 177. [Google Scholar] [CrossRef]
- Singh, S.; Maiti, S.K.; Raj, D. An approach to quantify heavy metals and their source apportionment in coal mine soil: A study through PMF model. Environ. Monit. Assess. 2023, 195, 306. [Google Scholar] [CrossRef]
- Gao, C.; El-Sawah, A.M.; Ali, D.F.I.; Alhaj Hamoud, Y.; Shaghaleh, H.; Sheteiwy, M.S. The Integration of Bio and Organic Fertilizers Improve Plant Growth, Grain Yield, Quality and Metabolism of Hybrid Maize (Zea mays L.). Agronomy 2020, 10, 319. [Google Scholar] [CrossRef]
- Menšík, L.; Hlisnikovský, L.; Pospíšilová, L.; Kunzová, E. The effect of application of organic manures and mineral fertilizers on the state of soil organic matter and nutrients in the long-term field experiment. J. Soils Sediments 2018, 18, 2813–2822. [Google Scholar] [CrossRef]
- Partey, S.T.; Preziosi, R.F.; Robson, G.D. Short-Term Interactive Effects of Biochar, Green Manure, and Inorganic Fertilizer on Soil Properties and Agronomic Characteristics of Maize. Agric. Res. 2014, 3, 128–136. [Google Scholar] [CrossRef]
- Sui, Y.; Jin, J.; Liu, X.; Zhang, X.; Li, Y.; Zhou, K.; Wang, G.; Di, G.; Herbert, S.J. Soil carbon sequestration and crop yield in response to application of chemical fertilizer combined with cattle manure to an artificially eroded Phaeozem. Arch. Agron. Soil Sci. 2017, 63, 1510–1522. [Google Scholar] [CrossRef]
- Beckers, S.J.; Dallo, I.A.; del Campo, I.; Rosenauer, C.; Klein, K.; Wurm, F.R. From Compost to Colloids—Valorization of Spent Mushroom Substrate. ACS Sustain. Chem. Eng. 2019, 7, 6991–6998. [Google Scholar] [CrossRef]
- Wang, C.; Wang, Y.; Ru, H.; He, T.; Sun, N. Study on Microbial Community Succession and Functional Analysis during Biodegradation of Mushroom Residue. BioMed Res. Int. 2021, 2021, 6620574. [Google Scholar] [CrossRef]
- Grujić, M.; Dojnov, B.; Potočnik, I.; Duduk, B.; Vujčić, Z. Spent mushroom compost as substrate for the production of industrially important hydrolytic enzymes by fungi Trichoderma spp. and Aspergillus niger in solid state fermentation. Int. Biodeterior. Biodegradation 2015, 104, 290–298. [Google Scholar] [CrossRef]
- Gobbi, V.; Nicoletto, C.; Zanin, G.; Sambo, P. Specific humus systems from mushrooms culture. Appl. Soil Ecol. 2018, 123, 709–713. [Google Scholar] [CrossRef]
- Ghirardini, A.; Grillini, V.; Verlicchi, P. A review of the occurrence of selected micropollutants and microorganisms in different raw and treated manure—Environmental risk due to antibiotics after application to soil. Sci. Total Environ. 2020, 707, 136118. [Google Scholar] [CrossRef]
- Vranješ, B.; Milićević, D.; Šefer, D.; Stefanović, S.; Ajtić, J.; Mitrović, B.M. Presence of natural radionuclides and toxic elements in monocalcium phosphate, complete feed and pig manure. Sci. Total Environ. 2020, 720, 137578. [Google Scholar] [CrossRef]
- Wang, C.; Zhang, M.; Wang, Z.Q.; Qian, X.Y.; Xu, C.; Ni, Y.Z.; Li, J.W.; Shen, G.X. Migration regularity and accumulation risk of heavy metals after continuous land application of swine manure in paddy soils. Acta Agric. Zhejiangensis 2022, 34, 1988–1997. [Google Scholar] [CrossRef]
- Atafar, Z.; Mesdaghinia, A.; Nouri, J.; Homaee, M.; Yunesian, M.; Ahmadimoghaddam, M.; Mahvi, A.H. Effect of fertilizer application on soil heavy metal concentration. Environ. Monit. Assess. 2010, 160, 83–89. [Google Scholar] [CrossRef]
- Yang, X.; Li, Q.; Tang, Z.; Zhang, W.; Yu, G.; Shen, Q.; Zhao, F.-J. Heavy metal concentrations and arsenic speciation in animal manure composts in China. Waste Manag. 2017, 64, 333–339. [Google Scholar] [CrossRef]
- Souri, M.K.; Hatamian, M.; Tesfamariam, T. Plant growth stage influences heavy metal accumulation in leafy vegetables of garden cress and sweet basil. Chem. Biol. Technol. Agric. 2019, 6, 1–7. [Google Scholar] [CrossRef]
- Wang, X.; Liu, W.; Li, Z.; Teng, Y.; Christie, P.; Luo, Y. Effects of long-term fertilizer applications on peanut yield and quality and plant and soil heavy metal accumulation. Pedosphere 2020, 30, 555–562. [Google Scholar] [CrossRef]
- Liu, C.-J.; Deng, S.-G.; Hu, C.-Y.; Gao, P.; Khan, E.; Yu, C.-P.; Ma, L.Q. Applications of bioremediation and phytoremediation in contaminated soils and waters: CREST publications during 2018–2022. Crit. Rev. Environ. Sci. Technol. 2023, 53, 723–732. [Google Scholar] [CrossRef]
- Chabukdhara, M.; Munjal, A.; Nema, A.K.; Gupta, S.K.; Kaushal, R.K. Heavy metal contamination in vegetables grown around peri-urban and urban-industrial clusters in Ghaziabad, India. Hum. Ecol. Risk Assess. Int. J. 2015, 22, 736–752. [Google Scholar] [CrossRef]
- Huang, Y.; Wang, L.; Wang, W.; Li, T.; He, Z.; Yang, X. Current status of agricultural soil pollution by heavy metals in China: A meta-analysis. Sci. Total Environ. 2019, 651, 3034–3042. [Google Scholar] [CrossRef]
- Raj, D.; Maiti, S.K. Risk assessment of potentially toxic elements in soils and vegetables around coal-fired thermal power plant: A case study of Dhanbad, India. Environ. Monit. Assess. 2020, 192, 699. [Google Scholar] [CrossRef]
- Lan, W.; Yao, C.; Luo, F.; Jin, Z.; Lu, S.; Li, J.; Wang, X.; Hu, X. Effects of Application of Pig Manure on the Accumulation of Heavy Metals in Rice. Plants 2022, 11, 207. [Google Scholar] [CrossRef] [PubMed]
- Qian, X.; Wang, Z.; Shen, G.; Chen, X.; Tang, Z.; Guo, C.; Gu, H.; Fu, K. Heavy metals accumulation in soil after 4 years of continuous land application of swine manure: A field-scale monitoring and modeling estimation. Chemosphere 2018, 210, 1029–1034. [Google Scholar] [CrossRef]
- Byers, H.L.; McHenry, L.J.; Grundl, T.J. Increased risk for lead exposure in children through consumption of produce grown in urban soils. Sci. Total Environ. 2020, 743, 140414. [Google Scholar] [CrossRef]
- Zhang, G.L.; Gong, Z.T. Soil Survey Laboratory Methods, 1st ed.; Science Press: Beijing, China, 2012; pp. 36–96. [Google Scholar]
- Varol, M. Assessment of heavy metal contamination in sediments of the Tigris River (Turkey) using pollution indices and multivariate statistical techniques. J. Hazard. Mater. 2011, 195, 355–364. [Google Scholar] [CrossRef]
- Maiti, S.K.; Nandhini, S. Bioavailability of Metals in Fly Ash and Their Bioaccumulation in Naturally Occurring Vegetation: A Pilot Scale Study. Environ. Monit. Assess. 2006, 116, 263–273. [Google Scholar] [CrossRef]
- Zhang, M.; Wang, P.; Lu, Y.; Lu, X.; Zhang, A.; Liu, Z.; Zhang, Y.; Khan, K.; Sarvajayakesavalu, S. Bioaccumulation and human exposure of perfluoroalkyl acids (PFAAs) in vegetables from the largest vegetable production base of China. Environ. Int. 2020, 135, 105347. [Google Scholar] [CrossRef] [PubMed]
- Chen, L.; Zhou, W.; Luo, L.; Li, Y.; Chen, Z.; Gu, Y.; Chen, Q.; Deng, O.; Xu, X.; Lan, T.; et al. Short-term responses of soil nutrients, heavy metals and microbial community to partial substitution of chemical fertilizer with spent mushroom substrates (SMS). Sci. Total Environ. 2022, 844, 157064. [Google Scholar] [CrossRef] [PubMed]
- Demelash, N.; Bayu, W.; Tesfaye, S.; Ziadat, F.; Sommer, R. Current and residual effects of compost and inorganic fertilizer on wheat and soil chemical properties. Nutr. Cycl. Agroecosystems 2014, 100, 357–367. [Google Scholar] [CrossRef]
- Piaszczyk, W.; Błoñska, E.; Lasota, J. Study on the effect of organic fertilizers on soil organic matter and enzyme activities of soil in forest nursery. Soil Sci. Annu. 2017, 68, 125–131. [Google Scholar] [CrossRef]
- Zhao, X.; Wang, J.W.; Xu, H.J.; Zhou, C.J.; Wang, S.Q.; Xing, G.X.; Goss, M. Effects of crop-straw biochar on crop growth and soil fertility over a wheat-millet rotation in soils of China. Soil Use Manag. 2014, 30, 311–319. [Google Scholar] [CrossRef]
- Zhou, J.; Wang, L.; Wang, H.; Jiang, L.; Jiang, X. Effects of different ratios of pig manure to fungus residue on physicochemical parameters during composting. J. Air Waste Manag. Assoc. 2016, 66, 499–507. [Google Scholar] [CrossRef]
- Ngan, N.M.; Riddech, N. Use of Spent Mushroom Substrate as an Inoculant Carrier and an Organic Fertilizer and Their Impacts on Roselle Growth (Hibiscus sabdariffa L.) and Soil Quality. Waste Biomass-Valoriz. 2020, 12, 3801–3811. [Google Scholar] [CrossRef]
- Vinogradov, D.V.; Zubkova, T.V. The use of organic fertilizers based on waste mushroom compost in agricultural crop production technologies. IOP Conf. Ser. Earth Environ. Sci. 2022, 1010, 012013. [Google Scholar] [CrossRef]
- Liu, D.Y.; Zhang, W.; Pang, L.L.; Zhang, Y.Q.; Wang, X.Z.; Liu, Y.M.; Chen, X.P.; Zhang, F.S.; Zou, C.Q. Effects of zinc application rate and zinc distribution relative to root distribution on grain yield and grain Zn concentration in wheat. Plant Soil. 2016, 411, 167–178. [Google Scholar] [CrossRef]
- Ding, H.; Zhang, Q.; Xu, H.; Yu, X.; Chen, L.; Wang, Z.; Feng, J. Selection of copper and zinc dosages in pig diets based on the mutual benefit of animal growth and environmental protection. Ecotoxicol. Environ. Saf. 2021, 216, 112177. [Google Scholar] [CrossRef]
- Zhang, R.; Gu, J.; Wang, X.; Li, Y. Antibiotic resistance gene transfer during anaerobic digestion with added copper: Important roles of mobile genetic elements. Sci. Total Environ. 2020, 743, 140759. [Google Scholar] [CrossRef] [PubMed]
- Xiong, X.; Yanxia, L.; Wei, L.; Chunye, L.; Wei, H.; Ming, Y. Copper content in animal manures and potential risk of soil copper pollution with animal manure use in agriculture. Resour. Conserv. Recycl. 2010, 54, 985–990. [Google Scholar] [CrossRef]
- Zhang, F.; Li, Y.; Yang, M.; Li, W. Content of Heavy Metals in Animal Feeds and Manures from Farms of Different Scales in Northeast China. Int. J. Environ. Res. Public Health 2012, 9, 2658–2668. [Google Scholar] [CrossRef] [PubMed]
- Sun, K.; Jiang, L.; Ye, Q.; Wang, Q.; Liao, D.; Chang, X.; Xi, S.; He, R. Chemical and microbiological characterization of pig manures and digestates. Environ. Technol. 2023, 44, 1916–1925. [Google Scholar] [CrossRef] [PubMed]
- Wang, H.; Dong, Y.H.; Wang, H.Y. Hazardous metals in animal manure and their changes from 1990 to 2010 in China. Toxicol. Environ. Chem. 2015, 96, 1346–1355. [Google Scholar] [CrossRef]
- Nakamaru, Y.M.; Matsuda, R.; Sonoda, T. Environmental risks of organic fertilizer with increased heavy metals (Cu and Zn) to aquatic ecosystems adjacent to farmland in the northern biosphere of Japan. Sci. Total Environ. 2023, 884, 163861. [Google Scholar] [CrossRef]
- Han, C.; Wu, L.; Tan, W.; Zhong, D.; Huang, Y.; Luo, Y.; Christie, P. Cadmium distribution in rice plants grown in three different soils after application of pig manure with added cadmium. Environ. Geochem. Health 2012, 34, 481–492. [Google Scholar] [CrossRef] [PubMed]
- Sprynskyy, M.; Kowalkowski, T.; Tutu, H.; Cozmuta, L.M.; Cukrowska, E.M.; Buszewski, B. The Adsorption Properties of Agricultural and Forest Soils Towards Heavy Metal Ions (Ni, Cu, Zn, and Cd). Soil Sediment Contam. Int. J. 2010, 20, 12–29. [Google Scholar] [CrossRef]
- Wang, J.; Yu, P.Y.; Cui, S.; Chen, X.; Shi, Y. Effect of greenhouse vegetable farming duration on Zinc accumulation in Northeast China. IOP Conf. Ser. Earth Environ. Sci. 2018, 113, 012159. [Google Scholar] [CrossRef]
- GB15618-2018; Environmental Quality Standards for Soils. Part 7.2: Level 2 of Environmental Quality Standards for Soil Inorganic Matter. Ministry of Ecology and Environment of the People’s Republic of China: Beijing, China, 2018. Available online: https://img.antpedia.com/standard/files/pdfs_ora/20200926/GB%2015618-2018.pdf (accessed on 23 April 2023).
- Wang, G.M.; Zhou, L.X. Erratum to: Application of Green Manure and Pig Manure to Cd-Contaminated Paddy Soil Increases the Risk of Cd Uptake by Rice and Cd Downward Migration into Groundwater: Field Micro-Plot Trials. Water Air Soil Pollut. 2016, 228, 155. [Google Scholar] [CrossRef]
- Mourato, M.P.; Moreira, I.N.; Leitão, I.; Pinto, F.R.; Sales, J.R.; Martins, L.L. Effect of Heavy Metals in Plants of the Genus Brassica. Int. J. Mol. Sci. 2015, 16, 17975–17998. [Google Scholar] [CrossRef] [PubMed]
- Ur Rehman, Z.; Khan, S.; Tahir Shah, M.; Brusseau, M.L.; Akbar Khan, S.; Mainhagu, J. Transfer of Heavy Metals from Soils to Vegetables and Associated Human Health Risks at Selected Sites in Pakistan. Pedosphere 2018, 28, 666–679. [Google Scholar] [CrossRef] [PubMed]
- Gupta, N.; Yadav, K.K.; Kumar, V.; Prasad, S.; Cabral-Pinto, M.M.S.; Jeon, B.-H.; Kumar, S.; Abdellattif, M.H.; Alsukaibia, A.K.D. Investigation of Heavy Metal Accumulation in Vegetables and Health Risk to Humans From Their Consumption. Front. Environ. Sci. 2022, 10, 791052. [Google Scholar] [CrossRef]
- Zhen, H.; Jia, L.; Huang, C.; Qiao, Y.; Li, J.; Li, H.; Chen, Q.; Wan, Y. Long-term effects of intensive application of manure on heavy metal pollution risk in protected-field vegetable production. Environ. Pollut. 2020, 263, 114552. [Google Scholar] [CrossRef]
- Zhou, H.; Yang, W.-T.; Zhou, X.; Liu, L.; Gu, J.-F.; Wang, W.-L.; Zou, J.-L.; Tian, T.; Peng, P.-Q.; Liao, B.-H. Accumulation of Heavy Metals in Vegetable Species Planted in Contaminated Soils and the Health Risk Assessment. Int. J. Environ. Res. Public Health 2016, 13, 289. [Google Scholar] [CrossRef]
- Abdallah, B.B.; Zhang, X.; Andreu, I.; Gates, B.D.; El Mokni, R.; Rubino, S.; Landoulsi, A.; Chatti, A. Differentiation of Nanoparticles Isolated from Distinct Plant Species Naturally Growing in a Heavy Metal Polluted Site. J. Hazard. Mater. 2020, 386, 121644. [Google Scholar] [CrossRef]
- Jambhulkar, H.P.; Juwarkar, A.A. Assessment of bioaccumulation of heavy metals by different plant species grown on fly ash dump. Ecotoxicol. Environ. Saf. 2009, 72, 1122–1128. [Google Scholar] [CrossRef]
- Tőzsér, D.; Magura, T.; Simon, E. Heavy metal uptake by plant parts of willow species: A meta-analysis. J. Hazard. Mater. 2017, 336, 101–109. [Google Scholar] [CrossRef]
- Huang, Z.; Pan, X.-D.; Wu, P.-G.; Han, J.-L.; Chen, Q. Heavy metals in vegetables and the health risk to population in Zhejiang, China. Food Control 2014, 36, 248–252. [Google Scholar] [CrossRef]
- GB2762-2017; National Standard for Food Safety, China. Limit of Pollutants in Food. National Health and Family Planning Commission: Beijing, China, 2017. Available online: https://kns.cnki.net/kcms/detail/detail.aspx?FileName=ZSPZ201803030&DbName=CJFQ2018 (accessed on 23 April 2023).












| pH | Organic Matter (g/kg) | Total Nitrogen (g/kg) | Alkali-Hydrolyzable Nitrogen (g/kg) | Total Phosphorus (g/kg) | Available Phosphorus (g/kg) | Total Potassium (g/kg) | Available Potassium (g/kg) |
|---|---|---|---|---|---|---|---|
| 5.45 ± 0.39 | 22.07 ± 1.53 | 0.81 ± 0.06 | 0.11 ± 0.003 | 0.41 ± 0.02 | 0.009 ± 0.0006 | 5.21 ± 0.29 | 0.064 ± 0.0006 |
| Treatments | Amounts of Fertilizers (kg/m2) | Amounts of Fertilizers Each Plot (kg) | Total Nitrogen (g/m2) | Total Phosphorus (g/m2) | Total Potassium (g/m2) |
|---|---|---|---|---|---|
| CK | 0.00 | 0.00 | 0.00 | 0.00 | 0.00 |
| AB | 1.13 | 5.65 | 22.39 | 6.01 | 2.69 |
| FV | 0.95 | 4.75 | 19.92 | 8.75 | 3.03 |
| SM | 0.80 | 4.00 | 18.02 | 11.43 | 3.1 |
| Organic Fertilizer | pH | Water Content (%) | Organic Matter (%) | Total Nitrogen (g/kg) | Total Phosphorus (g/kg) | Total Potassium (g/kg) | Cu (mg/kg) | Zn (mg/kg) | Pb (mg/kg) | Cd (mg/kg) |
|---|---|---|---|---|---|---|---|---|---|---|
| Agaricus bisporus | 5.55 ± 0.14 | 27.22 ± 0.84 | 55.35 ± 1.91 | 20.97 ± 0.19 | 9.21 ± 0.12 | 3.19 ± 0.16 | 31.58 ± 2.67 | 127.91 ± 9.21 | 1.86 ± 0.34 | 0.32 ± 0.04 |
| Flammulina velutipes | 5.92 ± 0.12 | 24.76 ± 0.67 | 42.58 ± 1.82 | 19.82 ± 0.28 | 5.32 ± 0.04 | 2.36 ± 0.06 | 19.21 ± 0.763 | 37.38 ± 6.32 | 0.58 ± 0.25 | 0.19 ± 0.04 |
| Swine manure | 6.95 ± 0.09 | 42.72 ± 0.21 | 32.21 ± 2.44 | 22.52 ± 0.32 | 14.29 ± 0.17 | 3.87 ± 0.22 | 164.42 ± 14.61 | 535.24 ± 48.86 | 3.79 ± 0.21 | 0.48 ± 0.02 |
Disclaimer/Publisher’s Note: The statements, opinions and data contained in all publications are solely those of the individual author(s) and contributor(s) and not of MDPI and/or the editor(s). MDPI and/or the editor(s) disclaim responsibility for any injury to people or property resulting from any ideas, methods, instructions or products referred to in the content. |
© 2023 by the authors. Licensee MDPI, Basel, Switzerland. This article is an open access article distributed under the terms and conditions of the Creative Commons Attribution (CC BY) license (https://creativecommons.org/licenses/by/4.0/).
Share and Cite
Li, C.; Lan, W.; Jin, Z.; Lu, S.; Du, J.; Wang, X.; Chen, Y.; Hu, X. Risk of Heavy Metal Contamination in Vegetables Fertilized with Mushroom Residues and Swine Manure. Sustainability 2023, 15, 10984. https://doi.org/10.3390/su151410984
Li C, Lan W, Jin Z, Lu S, Du J, Wang X, Chen Y, Hu X. Risk of Heavy Metal Contamination in Vegetables Fertilized with Mushroom Residues and Swine Manure. Sustainability. 2023; 15(14):10984. https://doi.org/10.3390/su151410984
Chicago/Turabian StyleLi, Changhe, Wenchong Lan, Zhi Jin, Siwen Lu, Jingyu Du, Xindong Wang, Yonghui Chen, and Xuefeng Hu. 2023. "Risk of Heavy Metal Contamination in Vegetables Fertilized with Mushroom Residues and Swine Manure" Sustainability 15, no. 14: 10984. https://doi.org/10.3390/su151410984
APA StyleLi, C., Lan, W., Jin, Z., Lu, S., Du, J., Wang, X., Chen, Y., & Hu, X. (2023). Risk of Heavy Metal Contamination in Vegetables Fertilized with Mushroom Residues and Swine Manure. Sustainability, 15(14), 10984. https://doi.org/10.3390/su151410984

