Schoolchildren in China’s Protected Areas from a Sustainability Perspective: A Preliminary Study
Abstract
1. Introduction
2. Materials and Methods
3. Results
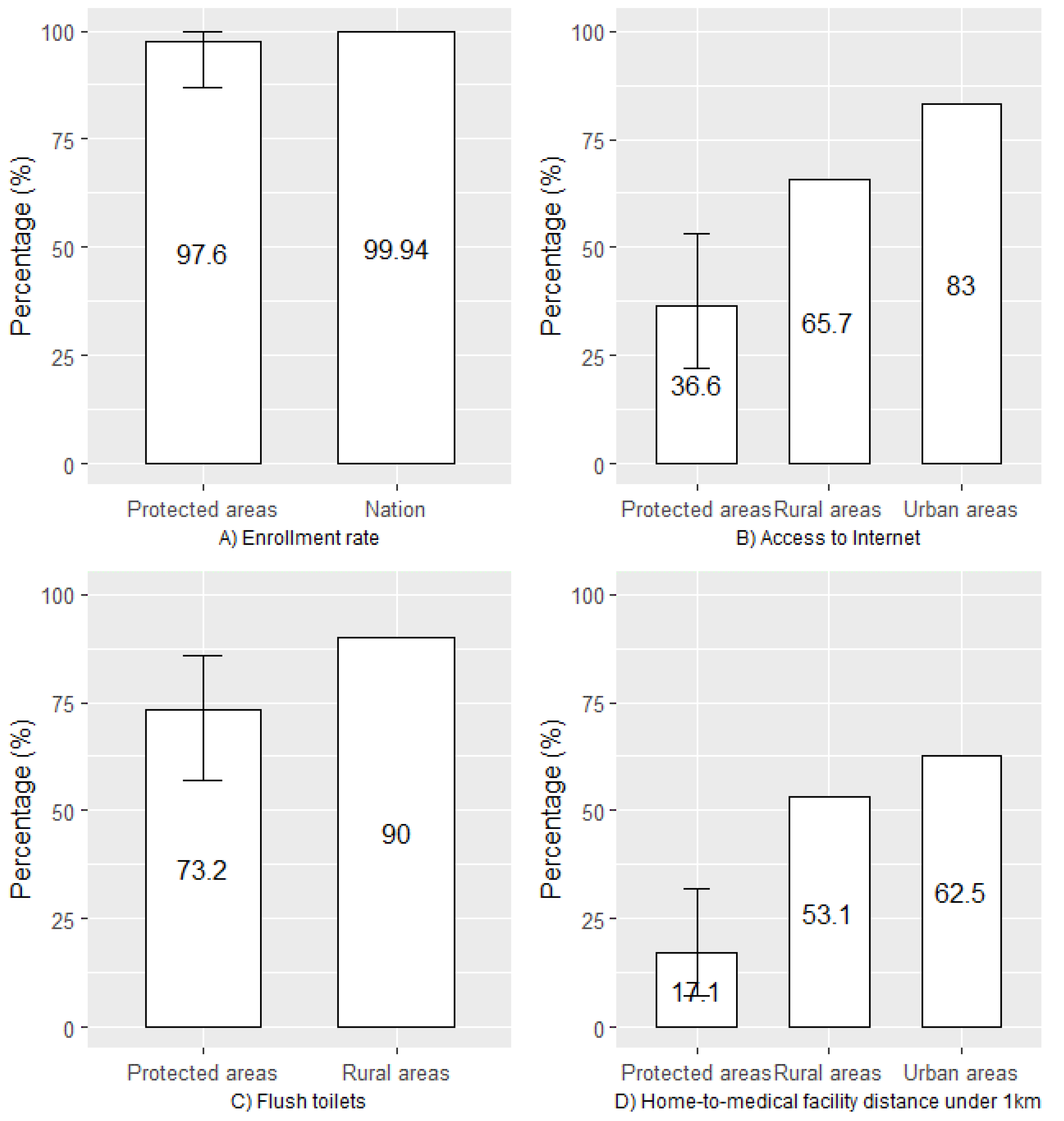
3.1. Interpretation of Results
3.2. Conditions in School
3.3. Conditions at Home
4. Possible Reasons
5. Linking the Indexes to Sustainable Development Goals (SDGs)

6. Policy Implications
6.1. Inter-Sectorial Cooperation
6.2. Investment in Education
6.3. Inequality Mitigation
7. Concluding Remarks
Supplementary Materials
Author Contributions
Funding
Institutional Review Board Statement
Informed Consent Statement
Data Availability Statement
Conflicts of Interest
References
- Pringle, R.M. Upgrading protected areas to conserve wild biodiversity. Nature 2017, 546, 91–99. [Google Scholar] [CrossRef] [PubMed]
- Watson, J.; Dudley, N.; Segan, D.; Hockings, M. The performance and potential of protected areas. Nature 2014, 515, 67–73. [Google Scholar] [CrossRef] [PubMed]
- UNEP-WCMC. Protected Planet. Available online: https://www.protectedplanet.net/en (accessed on 17 May 2023).
- Naughton-Treves, L.; Holland, M.B.; Brandon, K. The role of protected areas in conserving biodiversity and sustaining local livelihoods. Annu. Rev. Environ. Resour. 2005, 30, 219–252. [Google Scholar] [CrossRef]
- Rodriguez-Darias, A.J.; Diaz-Rodriguez, P. Some considerations on the implications of protected areas for sustainable development. Sustainability 2023, 15, 2767. [Google Scholar] [CrossRef]
- UNICEF, United Nations Children’s Fund (UNICEF). Annual Report 2018, For Every Child, Every Right; United Nations Children’s Fund (UNICEF): New York, NY, USA, 2019. [Google Scholar]
- Soga, M.; Gaston, K.J. Extinction of experience: The loss of human-nature interactions. Front. Ecol. Environ. 2016, 14, 94–101. [Google Scholar] [CrossRef]
- Celis-Diez, J.L.; Díaz-Forestier, J.; Márquez-García, M.; Lazzarino, S.; Rozzi, R.; Armesto, J.J. Biodiversity knowledge loss in children’s books and textbooks. Front. Ecol. Environ. 2016, 14, 408–410. [Google Scholar] [CrossRef]
- Forleo, M.B.; Palmieri, N. A framework for assessing the relational accessibility of protected areas. J. Clean. Prod. 2018, 194, 594–606. [Google Scholar] [CrossRef]
- Chan, K.M.A.; Boyd, D.R.; Gould, R.K.; Jetzkowitz, J.; Liu, J.; Muraca, B.; Naidoo, R.; Olmsted, P.; Satterfield, T.; Selomane, O.; et al. Levers and leverage points for pathways to sustainability. People Nat. 2020, 2, 693–717. [Google Scholar] [CrossRef]
- CBD/COP/15. Kunming Declaration: “Ecological Civilization: Building a Shared Future for all Life on Earth”. Available online: https://www.cbd.int/doc/c/c2db/972a/fb32e0a277bf1ccfff742be5/cop-15-05-add1-en.pdf (accessed on 4 August 2022).
- Alva, S.; Johnson, K.; Jacob, A.; D’Agnes, H.; Mantovani, R.; Evans, T. Marine protected areas and children’s dietary diversity in the Philippines. Popul. Environ. 2016, 37, 341–361. [Google Scholar] [CrossRef]
- Gjertsen, H. Can habitat protection lead to improvements in human well-being? Evidence from marine protected areas in the Philippines. World Dev. 2005, 33, 199–217. [Google Scholar] [CrossRef]
- Chakrabarti, A. Deforestation and infant mortality: Evidence from Indonesia. Econ. Hum. Biol. 2021, 40, 100943. [Google Scholar] [CrossRef] [PubMed]
- Khan, J.R.; Hossain, M.B.; Awan, N. Community-level environmental characteristics predictive of childhood stunting in Bangladesh-a study based on the repeated cross-sectional surveys. Int. J. Environ. Health Res. 2020, 32, 473–486. [Google Scholar] [CrossRef]
- Naidoo, R.; Gerkey, D.; Hole, D.; Pfaff, A.; Ellis, A.M.; Golden, C.D.; Herrera, D.; Johnson, K.; Mulligan, M.; Ricketts, T.H.; et al. Evaluating the impacts of protected areas on human well-being across the developing world. Sci. Adv. 2019, 5, eaav3006. [Google Scholar] [CrossRef] [PubMed]
- Mackenzie, C.A.; Ahabyona, P. Elephants in the garden: Financial and social costs of crop raiding. Ecol. Econ. 2012, 75, 72–82. [Google Scholar] [CrossRef]
- Mackenzie, C.A.; Sengupta, R.R.; Kaoser, R. Chasing baboons or attending class: Protected areas and childhood education in Uganda. Environ. Conserv. 2015, 42, 373–383. [Google Scholar] [CrossRef]
- Riehl, B.; Zerriffi, H.; Naidoo, R. Effects of community-based natural resource management on household welfare in Namibia. PLoS ONE 2015, 10, e0125531. [Google Scholar] [CrossRef]
- Schuttler, S.G.; Sears, R.S.; Orendain, I.; Khot, R.; Rubenstein, D.; Rubenstein, N.; Dunn, R.R.; Baird, E.; Kandros, K.; O’Brien, T.; et al. Citizen science in schools: Students collect valuable mammal data for science, conservation, and community engagement. Bioscience 2019, 69, 69–79. [Google Scholar] [CrossRef]
- Xu, W.; Gao, J.; Xia, X.; Zhou, D.; Li, Z.; Jiang, M. Distribution of community residents in nature reserves and its impacts on the reserves in China. J. Ecol. Rural Environ. 2016, 32, 19–23. [Google Scholar]
- Howell, A. Socio-economic impacts of scaling back a massive payments for ecosystem services programme in China. Nat. Hum. Behav. 2022, 6, 1218–1225. [Google Scholar] [CrossRef] [PubMed]
- Jensen, E. Evaluating children’s conservation biology learning at the zoo. Conserv. Biol. 2014, 28, 1004–1011. [Google Scholar] [CrossRef]
- Otto, S.; Evans, G.W.; Moon, M.J.; Kaiser, F.G. The development of children’s environmental attitude and behavior. Global Environ. Change 2019, 58, 101947. [Google Scholar]
- RStudio. Available online: https://posit.co/downloads/ (accessed on 7 September 2022).
- UN. Sustainable Development Goals. Available online: https://www.un.org/sustainabledevelopment (accessed on 7 August 2022).
- Ministry of Education (ME). Statistical Report on China’s Educational Development 2019. Available online: http://www.moe.gov.cn/jyb_sjzl/sjzl_fztjgb/202005/t20200520_456751.html (accessed on 27 September 2021). (In Chinese)
- Shen, Y. An analysis on the differences of wages, benefits, and subsidies of primary school teachers across China: Based on data of 2007–2016. Shanghai Res. Educ. 2019, 6, 17–21. (In Chinese) [Google Scholar]
- Ministry of Education (ME). Overview of China’s Education 2019. Available online: http://www.moe.gov.cn/jyb_sjzl/s5990/202008/t20200831_483697.html (accessed on 28 September 2021). (In Chinese)
- National Working Committee on Children and Women (NWCCW); National Bureau of Statistics (NBS); United Nations Children’s Fund (UNICEF). Children in China: An Atlas of Social Indicators; UNICEF: Beijing, China, 2018.
- National Bureau of Statistics (NBS). Rural Residents’ Disposable Personal Income. Available online: https://data.stats.gov.cn/easyquery.htm?cn=B01 (accessed on 28 September 2022). (In Chinese)
- National Health Commission (NHC). China Health Statistical Yearbook 2020; Peking Union Medical College Press: Beijing, China, 2020. (In Chinese) [Google Scholar]
- Wu, J.; Gong, Y.; Wu, J. Spatial distribution of nature reserves in China: Driving forces in the past and conservation challenges in the future. Land Use Policy 2018, 77, 31–42. [Google Scholar] [CrossRef]
- Yang, Z.; Wu, J. Conservation cost of China’s nature reserves and its regional distribution. J. Nat. Resour. 2019, 34, 839–852. [Google Scholar] [CrossRef]
- Zong, X.; Chen, J. Funding disparity of compulsory education among counties and its influencing factors: The case of an eastern province in China. Educ. Sci. 2015, 31, 1–9. [Google Scholar]
- Chen, Z.; Wei, K. Fiscal dependence, tax autonomy and fiscal expenditure on primary level compulsory education: An empirical test based on provincial panel data. Res. Educ. Dev. 2019, 39, 16–25. [Google Scholar]
- Zhao, G.; Tian, Y.; Tang, Z.; Li, J.; Zeng, H. Distribution of terrestrial national nature reserves in relation to human activities and natural environments in China. Biodivers. Sci. 2013, 21, 658–665. [Google Scholar]
- Yang, Z.; Wu, J. Driving factors in the spatial distribution of China’s natural reserves. China Popul. Resour. Environ. 2022, 32, 144–155. [Google Scholar]
- Clements, T.; Milner-Gulland, E.J. Impact of payments for environmental services and protected areas on local livelihoods and forest conservation in northern Cambodia. Conserv. Biol. 2015, 29, 78–87. [Google Scholar] [CrossRef]
- Jones, N.; Graziano, M.; Dimitrakopoulos, P.G. Social impacts of European Protected Areas and policy recommendations. Environ. Sci. Policy 2020, 112, 134–140. [Google Scholar] [CrossRef]
- Ward, C.; Stringer, L.C.; Holmes, G. Protected area co-management and perceived livelihood impacts. J. Environ. Manag. 2018, 228, 1–12. [Google Scholar] [CrossRef]
- Brockington, D.; Wilkie, D. Protected areas and poverty. Philos. Trans. R. Soc. B-Biol. Sci. 2015, 370, 20140271. [Google Scholar] [CrossRef]
- Agrawal, A.; Redford, K. Conservation and displacement: An overview. Conserv. Soc. 2009, 7, 1–10. [Google Scholar] [CrossRef]
- Zhang, Q.; Bilsborrow, R.E.; Song, C.; Tao, S.; Huang, Q. Rural household income distribution and inequality in China: Effects of payments for ecosystem services policies and other factors. Ecol. Econ. 2019, 160, 114–127. [Google Scholar] [CrossRef] [PubMed]
- Wu, R.; Hua, C.; Yu, G.; Ma, J.; Yang, F.; Wang, J.; Jin, T.; Long, Y.; Guo, Y.; Zhao, H. Assessing protected area overlaps and performance to attain China’s new national park system. Biol. Conserv. 2020, 241, 108382. [Google Scholar] [CrossRef]
- Xu, W.; Pimm, S.L.; Du, A.; Su, Y.; Fan, X.; An, L.; Liu, J.; Ouyang, Z. Transforming protected area management in China. Trends Ecol. Evol. 2019, 34, 762–766. [Google Scholar] [CrossRef] [PubMed]
- Wu, R.; Possingham, H.P.; Yu, G.; Jin, T.; Wang, J.; Yang, F.; Liu, S.; Ma, J.; Liu, X.; Zhao, H. Strengthening China’s national biodiversity strategy to attain an ecological civilization. Conserv. Lett. 2019, 12, e12660. [Google Scholar] [CrossRef]
- Liu, Q.; Liu, Z.; Yu, Z.; Zhao, P. The living environment and intravillage activity-travel: A conceptual framework based on participant observation in Guangdong, China. J. Rural. Stud. 2023, 99, 121–133. [Google Scholar] [CrossRef]
- Ouyang, Z.; Zheng, H.; Xiao, Y.; Polasky, S.; Liu, J.; Xu, W.; Wang, Q.; Zhang, L.; Xiao, Y.; Rao, E.; et al. Improvements in ecosystem services from investments in natural capital. Science 2016, 352, 1455–1459. [Google Scholar] [CrossRef]
- Adams, W.M.; Aveling, R.; Brockington, D.; Dickson, B.; Elliott, J.; Hutton, J.; Roe, D.; Vira, B.; Wolmer, W. Biodiversity conservation and the eradication of poverty. Science 2004, 306, 1146–1149. [Google Scholar] [CrossRef]
- Dawson, N.; Martin, A.; Danielsen, F. Assessing equity in protected area governance: Approaches to promote just and effective conservation. Conserv. Lett. 2017, 11, e12388. [Google Scholar] [CrossRef]
- Lopez-Cubillos, S.; Munoz-Avila, L.; Roberson, L.A.; Suarez-Castro, A.F.; Ochoa-Quintero, J.M.; Crouzeilles, R.; Gallo-Cajiao, E.; Rhodes, J.; Dressler, W.; Martinez-Harms, M.J.; et al. The landmark Escazú Agreement: An opportunity to integrate democracy, human rights, and transboundary conservation. Conserv. Lett. 2022, 15, e12838. [Google Scholar] [CrossRef]
- Spash, C.L. Conservation in conflict: Corporations, capitalism and sustainable development. Biol. Conserv. 2022, 269, 109528. [Google Scholar] [CrossRef]
- Klein, C.; McKinnon, M.C.; Wright, B.T.; Possingham, H.P.; Halpern, B.S. Social equity and the probability of success of biodiversity conservation. Global Environ. Change 2015, 35, 299–306. [Google Scholar]
- Koo, A.; Ming, H.; Tsang, B. The Doubly disadvantaged: How return migrant students fail to access and deploy capitals for academic success in rural schools. Sociology 2014, 48, 795–811. [Google Scholar] [CrossRef]
- Li, H.; Loyalka, P.; Rozelle, S.; Wu, B.; Xie, J. Unequal access to college in China: How far have poor, rural students been left behind? China Q. 2015, 221, 185–207. [Google Scholar] [CrossRef]

| Conditions | Indexes | Index Interpretations | Percentages in the Sample (%) | 95% CIs for Percentages in PAs (%) |
|---|---|---|---|---|
| In school | 1 | School size ≤ 300 students | 56.1 | (39.7, 71.5) |
| 2 | Student-to-teacher ratio ≤ 15:1 | 78.1 | (62.4, 89.4) | |
| 3 | Salary of intern teachers ≤ USD 571 per month | 90.9 | (70.8, 98.9) | |
| 4 | Enrollment rate > 99% | 97.6 | (87.1, 99.9) | |
| 5 | Dropout rate ≤ 1% | 100.0 | (91.4, 100) | |
| 6 | Access to Internet available | 36.6 | (22.1, 53.1) | |
| 7 | Flush toilets available | 73.2 | (57.1, 85.8) | |
| 8 | Expenditure on lunch ≤ USD 0.71 | 48.8 | (32.9, 64.9) | |
| 9 | No safe drinking water | 7.3 | (1.5, 19.9) | |
| 10 | No medical services | 51.2 | (35.1, 67.1) | |
| 11 | No conservation educational programs | 24.4 | (12.4, 40.3) | |
| 12 | Students’ awareness of ecosystem functions little or very little | 65.9 | (49.4, 79.9) | |
| At home | 13 | Per capita income ≤ USD 1429/y | 73.2 | (57.1, 85.8) |
| 14 | Medical services available ≤ 1 km | 17.1 | (7.2, 32.1) | |
| 15 | Medical services poor quality | 39.0 | (24.2, 55.5) | |
| 16 | Home-to-school distance ≥ 3 km | 53.7 | (37.4, 69.3) | |
| 17 | Home-to-school time ≥ 1 h | 26.8 | (14.2, 42.9) | |
| 18 | Home-to-school not safe | 12.2 | (4.1, 26.2) | |
| 19 | Left-behind children ≥ 10% | 73.2 | (57.1, 85.8) | |
| 20 | Heavy reliance on PAs | 31.7 | (18.1, 48.1) | |
| 21 | Environmentally unfriendly forms of reliance | 75.6 | (59.7, 87.6) | |
| 22 | Large or very large degree of children’s involvement in income-generating activities | 26.8 | (14.2, 42.9) |
Disclaimer/Publisher’s Note: The statements, opinions and data contained in all publications are solely those of the individual author(s) and contributor(s) and not of MDPI and/or the editor(s). MDPI and/or the editor(s) disclaim responsibility for any injury to people or property resulting from any ideas, methods, instructions or products referred to in the content. |
© 2023 by the authors. Licensee MDPI, Basel, Switzerland. This article is an open access article distributed under the terms and conditions of the Creative Commons Attribution (CC BY) license (https://creativecommons.org/licenses/by/4.0/).
Share and Cite
Wang, Y.; Qin, P.; Li, S.; Wu, R. Schoolchildren in China’s Protected Areas from a Sustainability Perspective: A Preliminary Study. Sustainability 2023, 15, 9896. https://doi.org/10.3390/su15139896
Wang Y, Qin P, Li S, Wu R. Schoolchildren in China’s Protected Areas from a Sustainability Perspective: A Preliminary Study. Sustainability. 2023; 15(13):9896. https://doi.org/10.3390/su15139896
Chicago/Turabian StyleWang, Yicheng, Peng Qin, Shimei Li, and Ruidong Wu. 2023. "Schoolchildren in China’s Protected Areas from a Sustainability Perspective: A Preliminary Study" Sustainability 15, no. 13: 9896. https://doi.org/10.3390/su15139896
APA StyleWang, Y., Qin, P., Li, S., & Wu, R. (2023). Schoolchildren in China’s Protected Areas from a Sustainability Perspective: A Preliminary Study. Sustainability, 15(13), 9896. https://doi.org/10.3390/su15139896

