Performance Evaluation of an Absorber Tube of a Parabolic Trough Collector Fitted with Helical Screw Tape Inserts Using CuO/Industrial-Oil Nanofluid: A Computational Study
Abstract
1. Introduction
2. Computational Simulation
2.1. Governing Equations
2.2. Nanofluid Modeling
2.3. Study Configuration and Operating Conditions
2.4. Distribution of Solar Thermal Flux
2.5. Computational Grid
2.6. Computational Considerations
3. Results
3.1. Validation
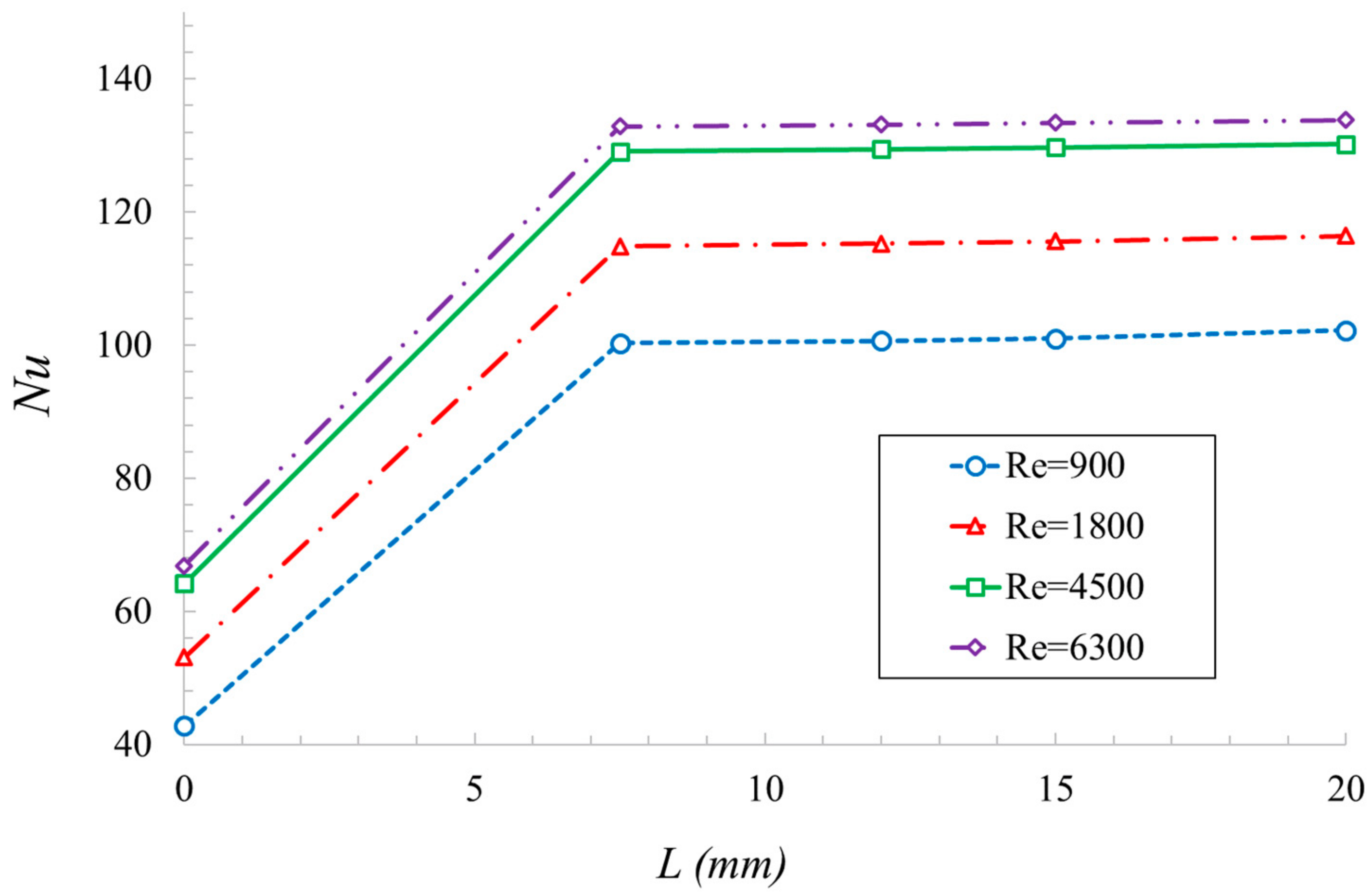
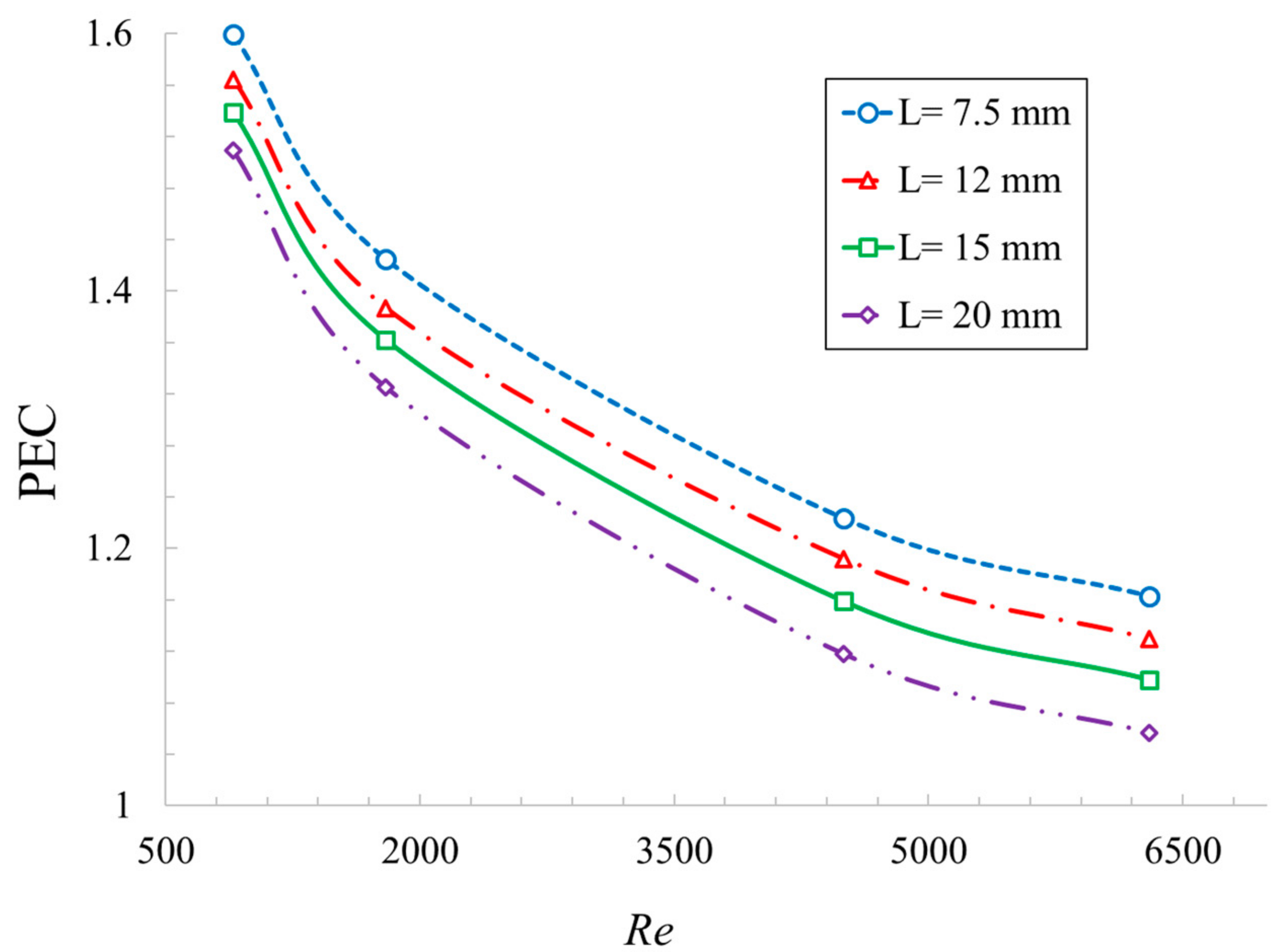
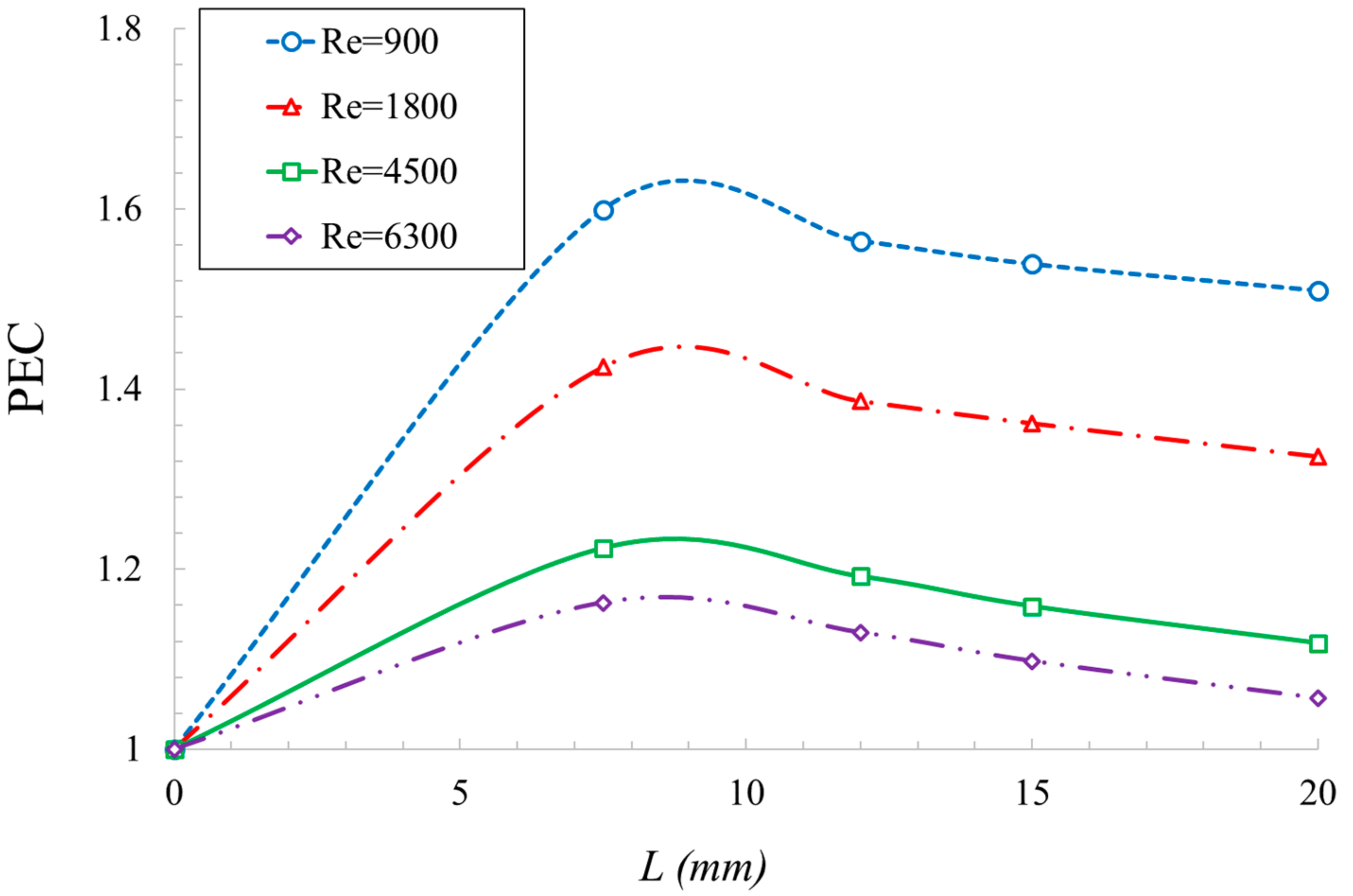
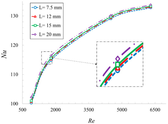
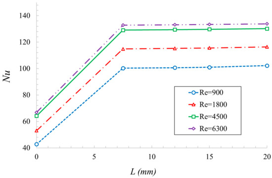
3.2. Base Fluid Simulation
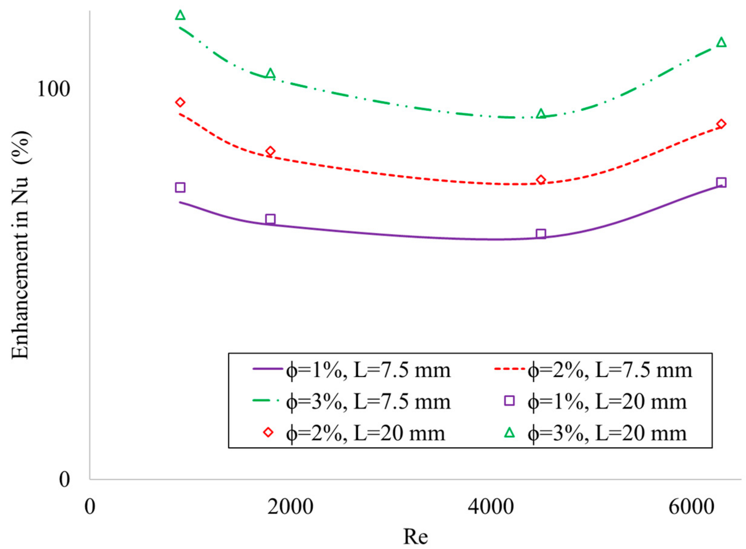
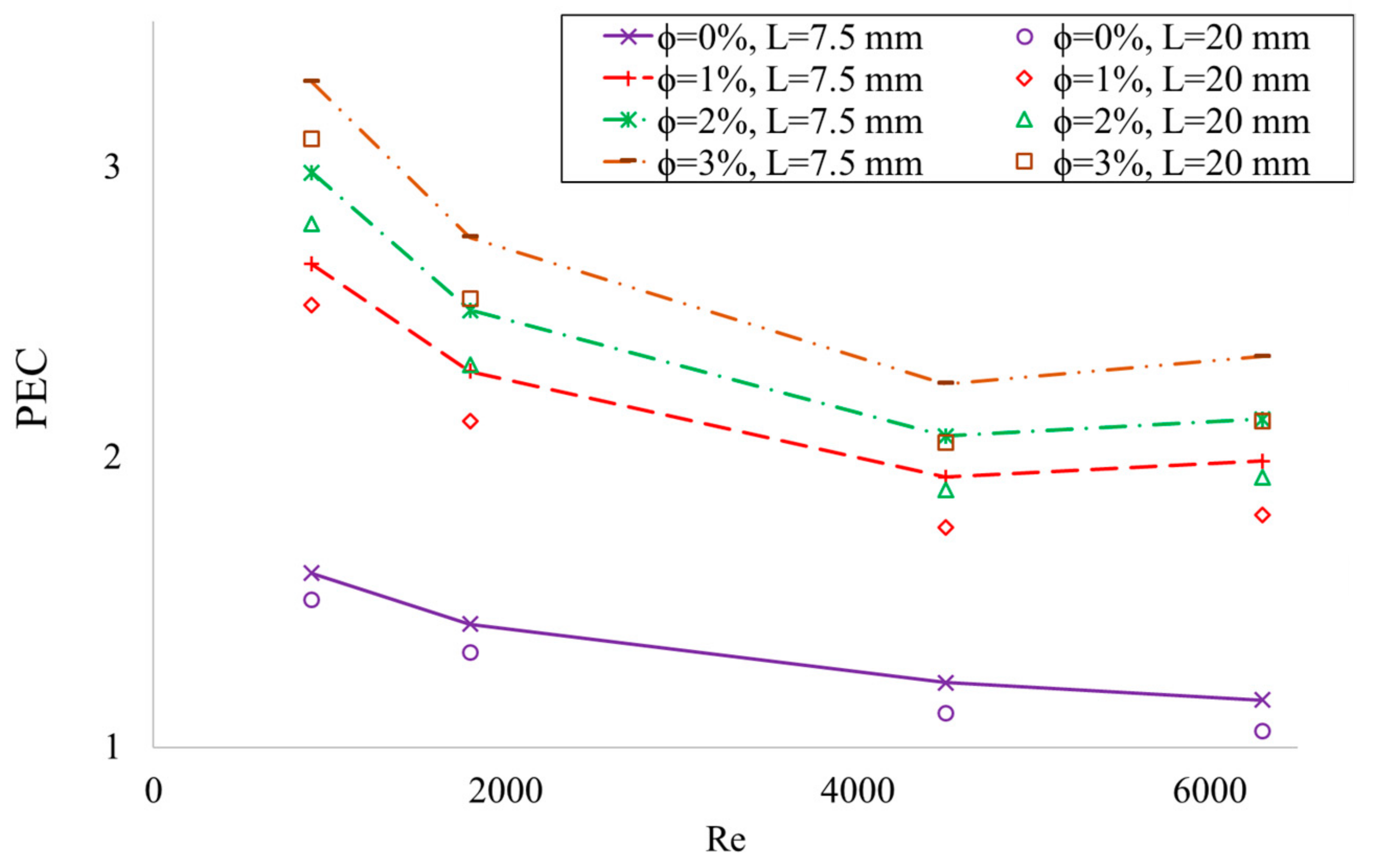
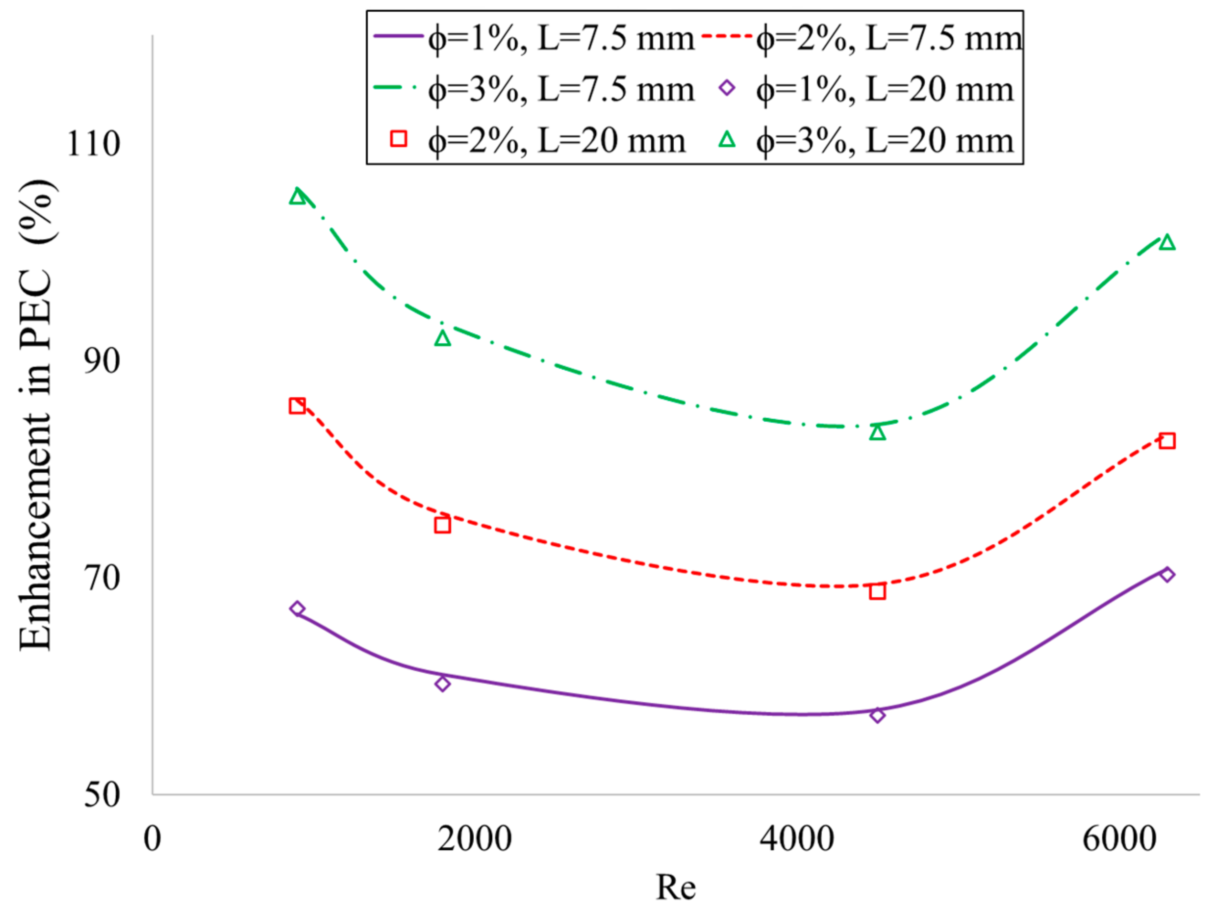
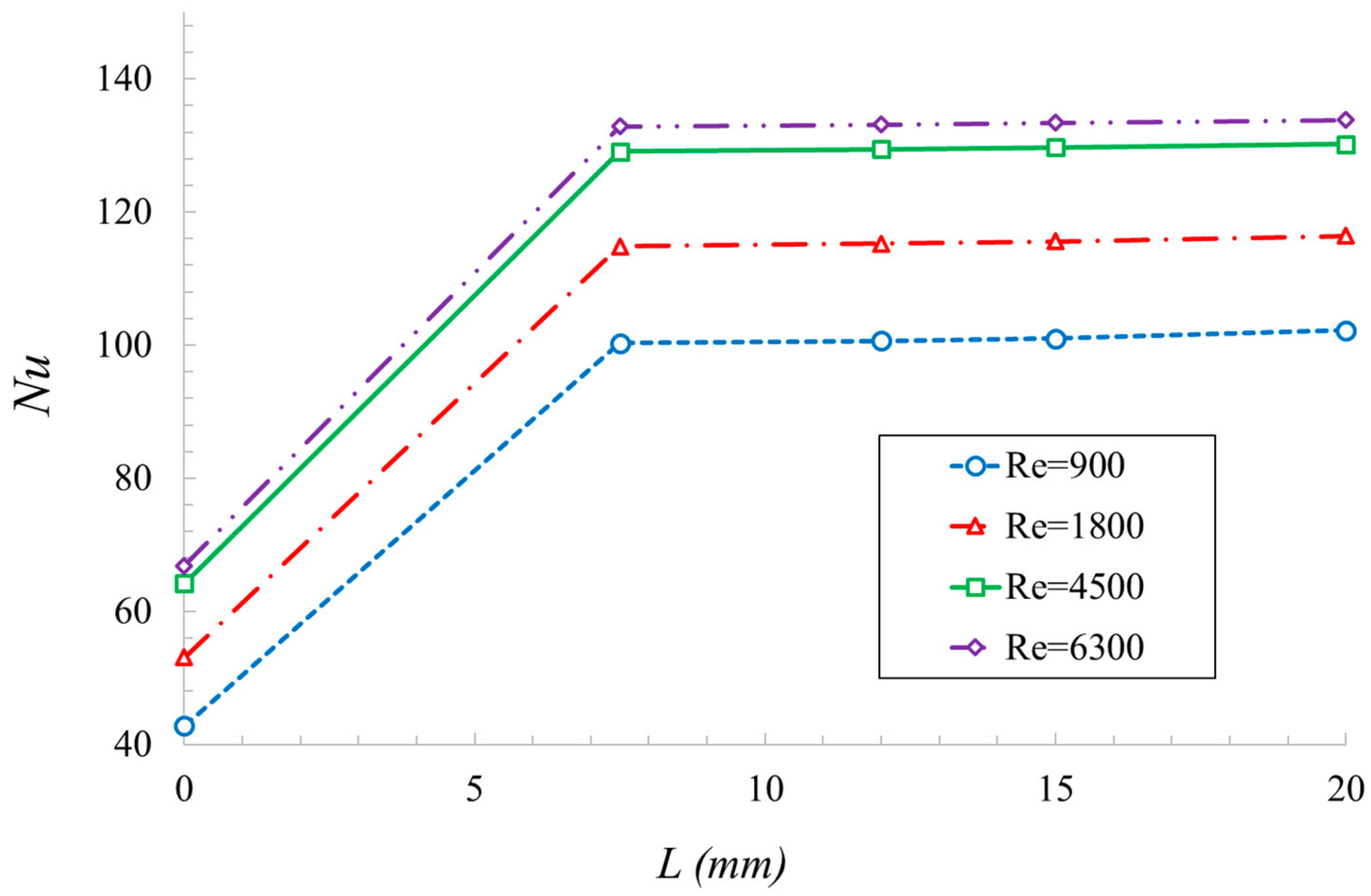
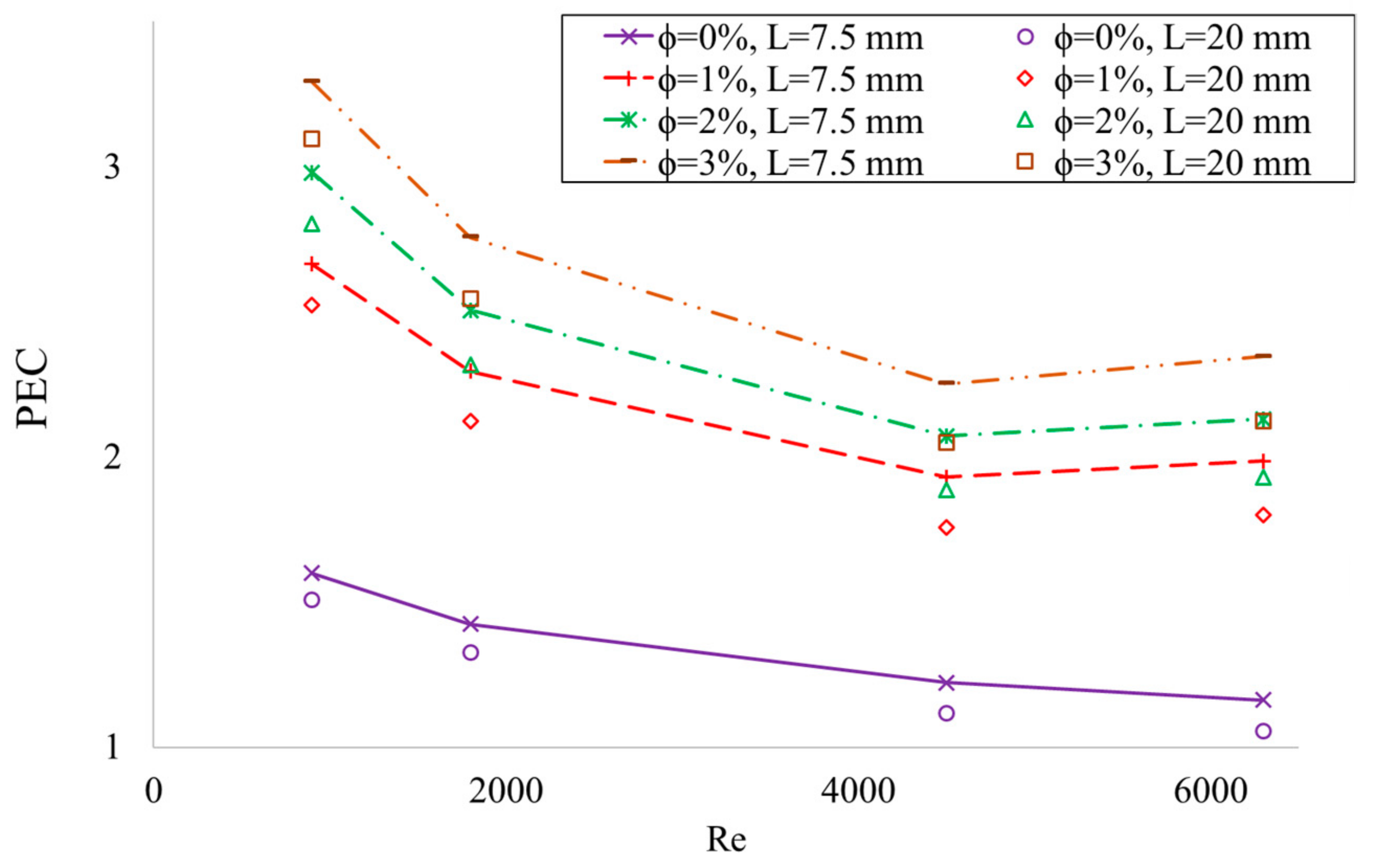
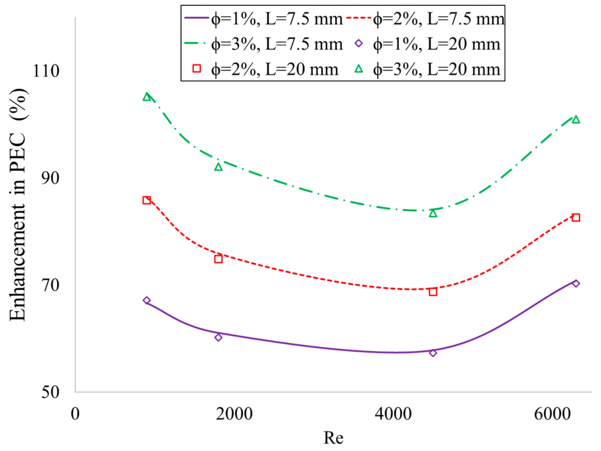
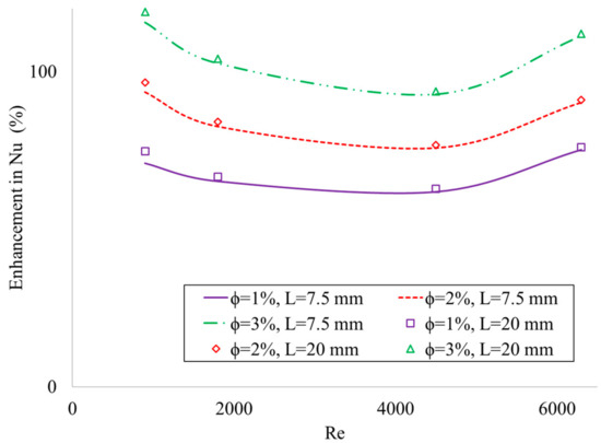
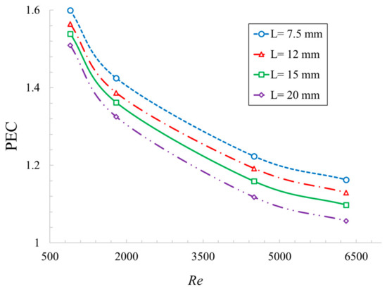
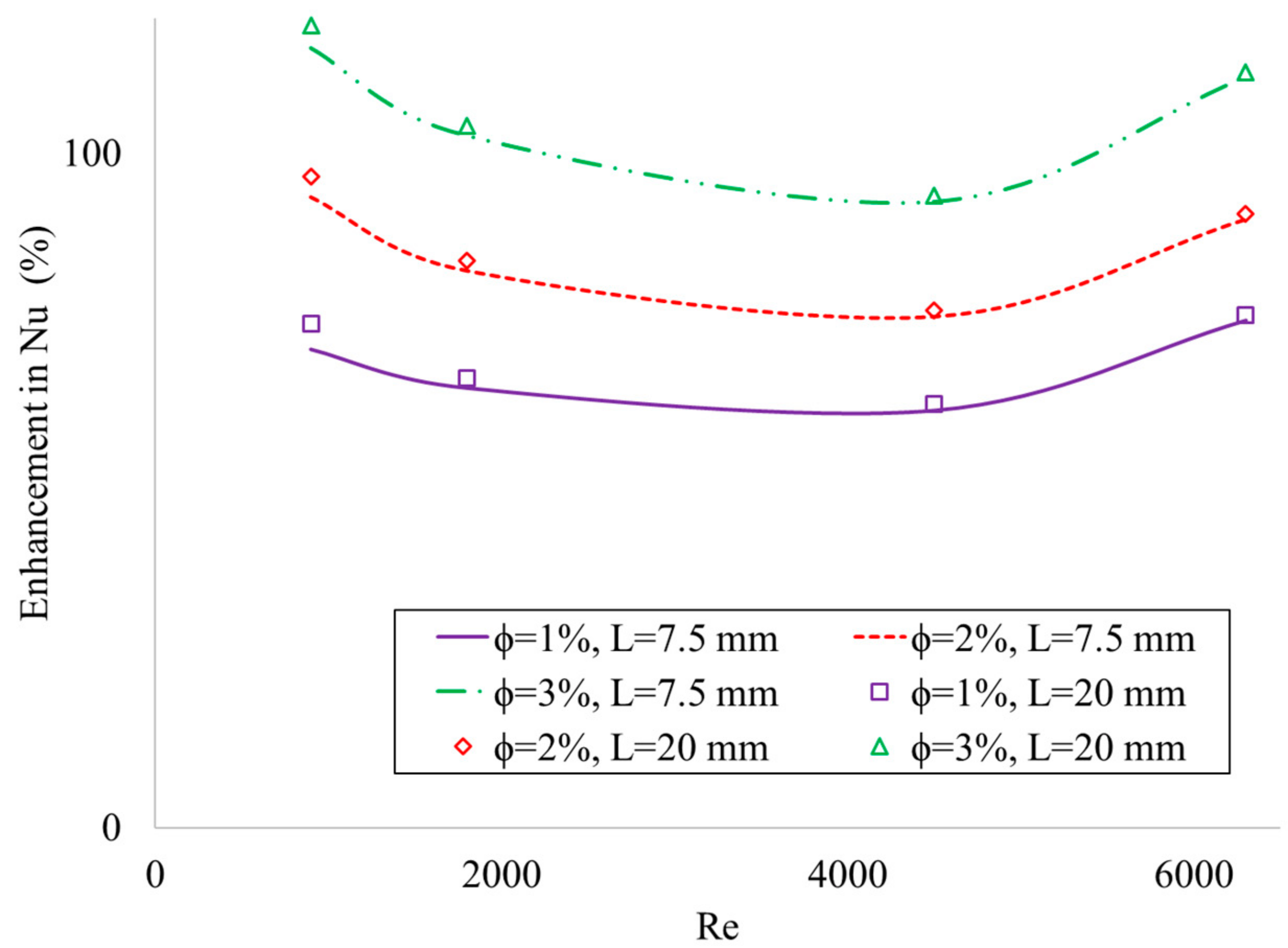
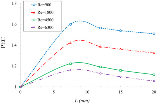
3.3. Nanofluid Simulation
4. Conclusions
Author Contributions
Funding
Institutional Review Board Statement
Informed Consent Statement
Data Availability Statement
Conflicts of Interest
References
- Bamisile, O.; Huang, Q.; Hu, W.; Dagbasi, M.; Kemena, A.D. Performance analysis of a novel solar PTC integrated system for multi-generation with hydrogen production. Int. J. Hydrogen Energy 2020, 45, 190–206. [Google Scholar] [CrossRef]
- Rehmana, N.; Uzair, M.; Asif, M. Evaluating the solar flux distribution uniformity factor for parabolic trough collectors. Renew. Energ 2020, 157, 888–896. [Google Scholar] [CrossRef]
- Yang, D.; Khan, T.S.; Al-Hajri, E.; Ayub, Z.H.; Ayub, A.H. Geometric optimization of shell and tube heat exchanger with interstitial twisted tapes outside the tubes applying CFD techniques. Appl. Therm. Eng. 2019, 152, 559–572. [Google Scholar] [CrossRef]
- Yaghoubi, M.; Akbarimoosavi, S.M. Three dimensional thermal expansion analysis of an absorber tube in a parabolic trough collector. In Proceedings of the 17th SolarPACES Conference, Granada, Spain, 20–23 September 2011. [Google Scholar]
- Yaghoubi, M.; Azizian, K.; Kenary, A. Simulation of Shiraz solar power plant for optimal assessment. Renew. Energ. 2003, 28, 1985–1998. [Google Scholar] [CrossRef]
- Golneshan, A.A.; Bandehee, M. The computational analysis of adding c-shape plates inside the linear parabolic trough collectors absorber tube(1). In Proceedings of the Heat and Mass Transfer Conference, Zahedan, Iran, 11 September 2012. [Google Scholar]
- Eiamsa-ard, S.; Promvonge, P. Heat transfer characteristics in a tube fitted with helical screw-tape with without core-rod inserts. Int. Commun. Heat Mass Transf. 2007, 34, 176–185. [Google Scholar] [CrossRef]
- Zhang, X.; Liu, Z.; Liu, W. Computational studies on heat transfer and friction factor characteristics of a tube fitted with helical screw-tape without core-rod inserts. Int. J. Heat Mass Transf. 2013, 60, 490–498. [Google Scholar] [CrossRef]
- Roohi, R.; Emdad, H.; Jafarpur, K. A comprehensive study and optimization of magnetic nanoparticle drug delivery to cancerous tissues via external magnetic field. J Test Eval. 2019, 47, 681–703. [Google Scholar] [CrossRef]
- Roohi, R.; Emdad, H.; Jafarpur, K.; Mahmoudi, M.R. Determination of magnetic nanoparticles injection characteristics for optimal hyperthermia treatment of an arbitrary cancerous cells distribution. J Test Eval. 2020, 48, 905–921. [Google Scholar] [CrossRef]
- Roohi, R.; Heydari, M.H.; Bavi, O.; Emdad, H. Chebyshev polynomials for generalized Couette flow of fractional Jeffrey nanofluid subjected to several thermochemical effects. Eng Comput. 2021, 37, 579–595. [Google Scholar] [CrossRef]
- Roohi, R.; Heydari, M.H.; Sun, H.G. Computational study of unsteady natural convection of variable-order fractional Jeffrey nanofluid over an oscillating plate in a porous medium involved with magnetic, chemical and heat absorption effects using Chebyshev cardinal functions. Eur. Phys. J. Plus. 2019, 134, 535–555. [Google Scholar] [CrossRef]
- Suresh, S.; Venkitaraj, K.P.; Selvakumar, P.; Chandrasekar, M. A comparison of thermal characteristics of Al2O3/water and CuO/water nanofluids in transition flow through a straight circular duct fitted with helical screw tape inserts. Exp. Therm. Fluid Sci. 2012, 39, 37–44. [Google Scholar] [CrossRef]
- Chougule, S.S.; Sahu, S.K. Heat transfer and friction characteristics of Al2O3/water and CNT/water nanofluids in transition flow using helical screw tape inserts—A comparative study. Chem Eng Process. Process Intensif. 2015, 88, 78–88. [Google Scholar] [CrossRef]
- Chaurasia, S.R.; Sarviya, R.M. Thermal performance analysis of CuO/water nanofluid flow in a pipe with single and double strip helical screw tape. Appl. Therm. Eng. 2020, 166, 114631. [Google Scholar] [CrossRef]
- Almeshaal, M.; Arunprasad, V.; Palaniappan, M.; Kolsi, L. Experimental study of a solar water heater fitted with spacer at the leading edge of Left-Right screw tapes. Case Stud Therm Eng. 2020, 22, 100777. [Google Scholar] [CrossRef]
- Raheem, A.; Siddique, W.; Farooqui, Z.H.; Salameh, T.; Haq, I.; Waheed, K.; Qureshi, K. Performance evaluation of adding Helical-screw Tape Inserts in Parabolic Solar Trough Collectors as a Source of Cleaner Energy Production. J. Cleaner Prod. 2021, 297, 126628. [Google Scholar] [CrossRef]
- Webb, R.L. Performance evaluation criteria for use of enhanced heat transfer surfaces in heat exchanger design. Int. J. Heat Mass Transf. 1981, 24, 715–726. [Google Scholar] [CrossRef]
- Fan, J.F.; Ding, W.K.; Zhang, J.F.; He, Y.L.; Tao, W.Q. A performance evaluation plot of enhanced heat transfer techniques. Int. J. Heat Mass Transf. 2009, 52, 33–44. [Google Scholar] [CrossRef]
- Pak, B.C.; Cho, Y.I. Hydrodynamic and heat transfer study of dispersed fluids with submicron metallic oxide particles. Exp. Heat Transf. 1998, 11, 151–170. [Google Scholar] [CrossRef]
- Akhatov, J.S.; Juraev, T.I.; Juraev, T.D. Comparison of Different Empirical Models for Analysing the Thermal Conductivities of Various Materials for Use in Nanofluid Preparation. Appl. Sol. Energy 2022, 58, 76–85. [Google Scholar] [CrossRef]
- Topping, J. Investigations on the theory of the Brownian movement. Phys Bull. 1956, 7, 281. [Google Scholar] [CrossRef]
- Ghadirijafarbeigloo, S.H.; Zamzamian, A.H.; Yaghoubi, M. 3-D computational simulation of heat transfer and turbulent flow in a receiver tube of solar parabolic trough concentrator with louvered twisted-tape inserts. Energy Procedia 2014, 49, 373–380. [Google Scholar] [CrossRef]
- Yaghoubi, M.; Ahmadi, F.; Bandehee, M. Analysis of heat losses of absorber tubes of parabolic through collector of Shiraz (Iran) solar power plant. J. Clean Energy Technol. 2013, 1, 33–37. [Google Scholar] [CrossRef]
- Allam, M.; Tawfik, M.; Bekheit, M.; El-Negiry, E. Experimental Investigation on Performance Enhancement of Parabolic Trough Concentrator with Helical Rotating Shaft Insert. Sustainability 2022, 14, 14667. [Google Scholar] [CrossRef]
- Khfagi, A.M.; Hunt, G.; Paul, M.C.; Karimi, N. Computational analysis of heat transfer augmentation and thermodynamic irreversibility of hybrid nanofluids in a tube fitted with classical and elliptical-cut twisted tape inserts. J. Therm. Anal. Calorim. 2022, 147, 12093–12110. [Google Scholar] [CrossRef]



















| Property | Base Fluid | CuO Nanoparticles |
|---|---|---|
| Density (kg/m3) | 1071−0.72 × (T(K)) | 6350 |
| Thermal conductivity (W/m.K) | 0.1882−0.00008304 × (T(K)) | 69 |
| Pr | (T(K))−7.7127 | - |
| Number of Cells | Computational Time (min) | Relative Variations of f (%) | Relative Variations of Nu (%) |
|---|---|---|---|
| 524,986 | 310 | 10.6 | 11.2 |
| 687,438 | 365 | 6.7 | 7.1 |
| 863,544 | 390 | 1 | 1 |
| 1,097,324 | 570 | 1.39 | 1.43 |
Disclaimer/Publisher’s Note: The statements, opinions and data contained in all publications are solely those of the individual author(s) and contributor(s) and not of MDPI and/or the editor(s). MDPI and/or the editor(s) disclaim responsibility for any injury to people or property resulting from any ideas, methods, instructions or products referred to in the content. |
© 2023 by the authors. Licensee MDPI, Basel, Switzerland. This article is an open access article distributed under the terms and conditions of the Creative Commons Attribution (CC BY) license (https://creativecommons.org/licenses/by/4.0/).
Share and Cite
Roohi, R.; Arya, A.; Akbari, M.; Amiri, M.J. Performance Evaluation of an Absorber Tube of a Parabolic Trough Collector Fitted with Helical Screw Tape Inserts Using CuO/Industrial-Oil Nanofluid: A Computational Study. Sustainability 2023, 15, 10637. https://doi.org/10.3390/su151310637
Roohi R, Arya A, Akbari M, Amiri MJ. Performance Evaluation of an Absorber Tube of a Parabolic Trough Collector Fitted with Helical Screw Tape Inserts Using CuO/Industrial-Oil Nanofluid: A Computational Study. Sustainability. 2023; 15(13):10637. https://doi.org/10.3390/su151310637
Chicago/Turabian StyleRoohi, Reza, Amir Arya, Masoud Akbari, and Mohammad Javad Amiri. 2023. "Performance Evaluation of an Absorber Tube of a Parabolic Trough Collector Fitted with Helical Screw Tape Inserts Using CuO/Industrial-Oil Nanofluid: A Computational Study" Sustainability 15, no. 13: 10637. https://doi.org/10.3390/su151310637
APA StyleRoohi, R., Arya, A., Akbari, M., & Amiri, M. J. (2023). Performance Evaluation of an Absorber Tube of a Parabolic Trough Collector Fitted with Helical Screw Tape Inserts Using CuO/Industrial-Oil Nanofluid: A Computational Study. Sustainability, 15(13), 10637. https://doi.org/10.3390/su151310637

