Nutrient Management Influences Root Characteristics and Nitrogen Use Efficiency in the Vegetable-Based Agroecosystem in the Northwestern Himalayas
Abstract
1. Introduction
2. Materials and Methods
2.1. Experimental Site
2.2. Experimental Design and Treatments
2.3. Crop Management
2.4. Sampling and Measurements
2.5. NPK Balance
2.6. Statistical Analysis
3. Results
3.1. Root-Mass Density (RMD) of Cauliflower and Capsicum
3.2. Root-Volume Density of Cauliflower and Capsicum
3.3. Root-Length Density (RLD) of Capsicum and Cauliflower
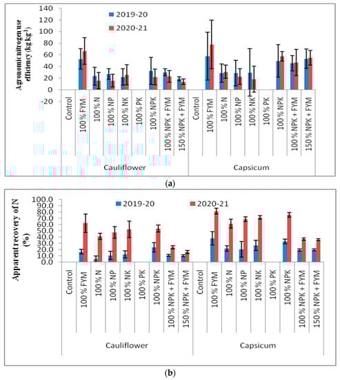
3.4. Agronomic Nitrogen-Use Efficiency (AEN) and Apparent Recovery of Nitrogen (ARN) in Cauliflower and Capsicum
3.5. NPK Balance
3.6. Correlation between RMD, RVD, RLD, Soil Chemical Properties, and NPK Uptake
4. Discussion
4.1. Effect of Nutrient Management on Root Characteristics of Cauliflower and Capsicum
4.2. Effect of Nutrient Management on Agronomic Nitrogen-Use Efficiency and Apparent Recovery of Nitrogen in Cauliflower and Capsicum
4.3. Effect of Nutrient Management on NPK Balance under Cauliflower–Capsicum Cropping Sequence (2 Cycles)
5. Conclusions
Supplementary Materials
Author Contributions
Funding
Institutional Review Board Statement
Informed Consent Statement
Data Availability Statement
Conflicts of Interest
References
- Karki, H.; Bargali, K.; Bargali, S.S. Dynamics of fine root and soil nitrogen in Mangifera indica based agroforestry systems in Central Himalaya, India. Land Degrad. Dev. 2022, 33, 3523–3538. [Google Scholar] [CrossRef]
- Ahmed, M.; Rauf, M.; Mukhtar, Z.; Saeed, N.A. Excessive use of nitrogenous fertilizers: An unawareness causing serious threats to the environment and human health. Environ. Sci. Pollut. Res. 2017, 24, 26983–26987. [Google Scholar] [CrossRef]
- Hao, T.X.; Zhu, Q.C.; Zeng, M.F.; Shen, J.B.; Shi, X.J.; Liu, X.J.; Zhang, F.S.; de Veris, W. Impacts of nitrogen fertilizer type and application rate on soil acidification rate under a wheat-maize double cropping system. J. Environ. Manag. 2020, 270, 110888. [Google Scholar] [CrossRef] [PubMed]
- Yousaf, A.; Li, J.; Lu, J.; Ren, T.; Cong, R.; Fahad, S.; Li, X. Effect of fertilization on crop production and nutrient-supplying capacity under rice-oilseed rape rotation system. Sci. Rep. 2017, 7, 1270. [Google Scholar] [CrossRef]
- Thakur, R.; Sawarkar, S.D.; Vaishya, U.K.; Singh, M. Impact of continuous use of inorganic fertilizers and organic manure on soil properties and productivity under soybean-wheat intensive cropping of a Vertisol. J. Indian Soc. Soil Sci. 2011, 59, 74–81. [Google Scholar]
- Shambhavi, S.; Kumar, R.; Sharma, S.P.; Verma, G.; Sharma, R.P.; Sharma, S.K. Long term effect of inorganic fertilizers and amendments on productivity and root dynamics under maize-wheat intensive cropping in an acid Alfisol. J. Appl. Nat. Sci. 2017, 9, 2004–2012. [Google Scholar] [CrossRef]
- Xu, G.; Fan, X.; Miller, A.J. Plant nitrogen assimilation and use efficiency. Annu. Rev. Plant Biol. 2012, 63, 153–182. [Google Scholar] [CrossRef] [PubMed]
- Zhang, W.F.; Dou, Z.X.; He, P.; Ju, X.T.; Powlson, D.; Chadwick, D.; Norse, D.; Lu, X.L.; Zhang, Y.; Wu, L.; et al. New technologies is reduce greenhouse gas emission from nitrogenous fertilizer in China. Proc. Natl. Acad. Sci. USA 2013, 110, 8375–8380. [Google Scholar] [CrossRef]
- Pandit, N.R.; Chaudhary, D.; Maharjan, S.; Dhakla, K.; Vista, S.P.; Gaihre, Y.K. Optimum rate and deep placement of nitrogen fertilizer improves nitrogen use efficiency and tomato yield in Nepal. Soil Syst. 2022, 6, 72. [Google Scholar] [CrossRef]
- Dhita, S.; Raun, W.R. Variability in optimum nitrogen rates for maize. Agron. J. 2016, 108, 2165–2173. [Google Scholar] [CrossRef]
- Somaweera, K.A.T.; Suriyagoda, L.D.B.; Sirisena, D.N.; De Costa, W.A.J.M. Accumulation and partitioning of biomass, nitrogen, phosphorus and potassium among different tissues during the life cycle of rice grown under different water management regimes. Plant Soil 2016, 401, 169–183. [Google Scholar] [CrossRef]
- Chu, G.; Chen, S.; Xu, C.; Wang, D.; Zhang, X. Agronomic and physiological performance of Indica japonica hybrid rice cultivar under low nitrogen condition. Field Crops Res. 2019, 243, 107625. [Google Scholar] [CrossRef]
- Chen, H.; Yu, C.; Li, C.; Xin, Q.; Huang, X.; Zhang, J.; Yue, Y.; Huang, G.; Li, X.; Wang, W. Modeling the impacts of water and fertilizers management on the ecosystem service of rice rotated cropping system in China. Agric. Ecosyst. Environ. 2016, 219, 49–57. [Google Scholar] [CrossRef]
- Cormier, F.; Foulkes, J.; Hirel, B.; Gouche, D.; Moenne-Loccoz, Y.; Le Gouis, J. Breeding for increased nitrogen use efficiency: A review for wheat (T. aestivum L.). Plant Breed. 2016, 135, 255–278. [Google Scholar] [CrossRef]
- Diacono, M.; Montemurro, F. Long term effects of organic amendments on soil fertility A review. Agron. Sustain. Dev. 2010, 30, 401–422. [Google Scholar] [CrossRef]
- Canatoy, R.C.; Daquiado, N.P. Fertilization influence on biomass yield and nutrient uptake of sweet corn in potentially hardsetting soil under no tillage. Bull. Natil. Res. Cent. 2021, 45, 61. [Google Scholar] [CrossRef]
- Seleiman, M.F.; Almutairi, K.F.; Alotaibi, M.; Shami, A.; Alhammad, B.A.; Battaglia, M.L. Nano fertilization as an emerging fertilization technique: Why can modern agriculture benefit from its use? Plant 2021, 10, 2. [Google Scholar] [CrossRef]
- Li, G.; Zhao, B.; Dong, S.; Zhang, J.; Liu, P.; Ren, B.; Lu, D.; Lu, W. Morphological and physiological characteristics of maize roots in response to controlled release urea under different soil moisture condition. Agron. J. 2019, 111, 1849–1864. [Google Scholar] [CrossRef]
- Liu, Z.; Zhu, K.L.; Dong, S.T.; Liu, P.; Zhao, B.; Zhang, J.W. Effects of integrated agronomic practices management on root growth and development of summer maize. Eur. J. Agron. 2017, 84, 140–151. [Google Scholar] [CrossRef]
- Wang, C.; Ning, P. Post silking phosphorus recycling and carbon partitioning in maize under low to high phosphorus inputs and their effects on grain yield. Front. Plant Sci. 2019, 10, 784. [Google Scholar] [CrossRef]
- Xie, W.J.; Wang, H.Y.; Xia, J.B.; Yao, Z.G. Influence of N, P and K application on Zea mays L. growth and Cu and Pb accumulation. Plant Soil Environ. 2011, 57, 128–134. [Google Scholar] [CrossRef]
- Iqbal, S.; Akhtar, J.; Naz, T.; Riaz, U.; Hussain, S.; Mazhar, Z.; Iqbal, M.M. Root morphological adjustment of crops to improve nutrient use efficiency in limited environments. Commun. Soil Sci. Plant Anal. 2020, 51, 2452–2465. [Google Scholar] [CrossRef]
- Roshani, G.A.; Narayanaswamy, G.; Datta, S.C. Effect of potassium on root density of wheat at different stages of growth. J. Indian Soc. Soil Sci. 2005, 53, 217–221. [Google Scholar]
- Du, M.; Zhang, W.; Gao, J.; Meiqiu, L.; Zhou, Y.; He, D.; Zhao, Y.; Liu, S. Improvement of root characteristics due to nitrogen, phosphorus, and potassium interactions increase rice (Oryza sativa L.) yield and nitrogen use efficiency. Agronomy 2022, 12, 23. [Google Scholar] [CrossRef]
- Fan, Y.; Gao, J.; Sun, J.; Liu, J.; Su, Z.; Wang, Z.; Yu, X.; Hu, S. Effects of straw returing and potassium fertilizer application on root characteristics and yield of spring maize in China inner Mongolia. Agron. J. 2021, 113, 4369–4385. [Google Scholar] [CrossRef]
- Kumar, A.; Mishra, S.; Pandey, R.; Yu, Z.G.; Kumar, M.; Khoo, K.S.; Thakur, T.K.; Show, P.L. Microplastics in terrestrial ecosystems: Un-ignorable impacts on soil characterises, nutrient storage and its cycling. TrAC Trends Anal. Chem. 2023, 158, 116869. [Google Scholar] [CrossRef]
- Wang, H.; Inukai, Y.; Yamauchi, A. Root development and nutrient uptake. Crit. Rev. Plant Sci. 2006, 25, 279–301. [Google Scholar] [CrossRef]
- Tatra, V.; Sharma, S.P. Long term fertilization effects on root parameters of maize (Zea mays) crop in an acid Alfisol. Int. J. Sci. Eng. Res. 2018, 9, 933–937. [Google Scholar]
- Yadav, G.S.; Babu, S.; Layek, J.; Singh, R.; Das, R.; Das, A. Conservation Agriculture in the North Eastern Himalayan Eco-Region of India. In Conservation Agriculture: A Sustainable Approach for Soil Health and Food Security; Jayaraman, S., Dalal, R.C., Patra, A.K., Chaudhari, S.K., Eds.; Springer: Singapore, 2021. [Google Scholar] [CrossRef]
- Kakanouki, I.P.; Roussis, I.; Hela, D.; Papastylianou, P.; Folina, A.; Bilalis, D. Root growth dynamics and productivity of quinoa (Chenopodium quinoa wild.) in response to fertilization and soil tillage. Folia Hortic. 2019, 31, 285–299. [Google Scholar] [CrossRef]
- Bargali, S.S.; Padalia, K.; Bargali, K. Effects of tree fostering on soil health and microbial biomass under different land use system in the central Himalayas. Land Degrad. Dev. 2019, 30, 1984–1998. [Google Scholar] [CrossRef]
- Sharma, S.; Kaur, G.; Singh, P.; Alamri, S.; Kumar, R.; Siddiqui, M.H. Nitrogen and potassium application effects on productivity, profitability and nutrient use efficiency of irrigated wheat (Triticum aestivum L.). PLoS ONE 2022, 17, e0264210. [Google Scholar] [CrossRef] [PubMed]
- Padalia, K.; Bargali, S.S.; Bargali, K.; Khulbe, K. Microbial biomass carbon and nitrogen in the relation to cropping system in central Himalayas, India. Curr. Sci. 2018, 115, 1741–1750. [Google Scholar] [CrossRef]
- Fageria, N.K.; Oliveira, J.P. Nitrogen, phosphorus and potassium interactions in upland rice. J. Plant Nutr. 2014, 37, 1586–1600. [Google Scholar] [CrossRef]
- Duncan, E.G.; O’Sullivan, C.A.; Roper, M.M.; Palta, J.; Whisson, K.; Peoples, M.B. Yield and nitrogen use efficiency of wheat increased with root length and biomass due to nitrogen, phosphorus and potassium interactions. J. Plant Nutr. Soil Sci. 2018, 181, 364–373. [Google Scholar] [CrossRef]
- Epie, K.E.; Maral, E. Shoot and root biomass, phosphorus and nitrogen uptake of spring wheat grown in low phosphorus and moisture content conditions in a pot experiment. J. Plant Nutr. 2018, 41, 2273–2280. [Google Scholar] [CrossRef]
- Shahi, C.; Bargali, S.S.; Bargali, K.; Vibhuti. Dry matter dynamics and CO2 mitigation in the herb layer of Central Himalayan agroecosystems along an altitudinal gradient, India. Trop. Ecol. 2022, 64, 180–192. [Google Scholar] [CrossRef]
- Bargali, S.S.; Shahi, C.; Bargali, K.; Negi, B.; Khatri, K. Energy and monetary efficiencies at the different altitudinal agroecosystems in Central Himalaya. India Heliyon 2022, 8, e11500. [Google Scholar] [CrossRef]
- Padalia, K.; Bargali, S.S.; Bargali, K.; Manral, V. Soil microbial biomass phosphorus under different land use systems. Trop. Ecol. 2022, 63, 30–48. [Google Scholar] [CrossRef]
- Baumler, R. Soils. In Nepal: An Introduction to the Natural History, Ecology and Human Environment in the Himalayas—A Companion to the Flora of Nepal, 1st ed.; Miehe, G., Pendry, C., Chaudhary, R., Eds.; The Royal Botanical Garden Edinburgh: Edinburgh, Scotland, 2015; pp. 125–134. [Google Scholar]
- Sharma, A.; Sharma, J.C.; Gautam, K.L. Effects of Irrigation Scheduling and Nitrogen Levels on Soil Nutrient and Their Uptake in Radish (Raphanus sativus L.) in Mid Hills of North-Western Himalayas, India. Commun. Soil Sci. Plant Anal. 2023. [Google Scholar] [CrossRef]
- Bohm, W. Methods of Study Root System; Springer: Berlin, Germany, 2012. [Google Scholar]
- Ahmed, R.D.; Mishra, M. Manual on Irrigation Agronomy; Oxford and IBH publication Co. Pvt. Ltd.: New Delhi, India, 1987; p. 412. [Google Scholar]
- Newman, E.I. A method of estimating the total root length of roots in a sample. J. Appl. Ecol. 1966, 3, 139–145. [Google Scholar] [CrossRef]
- Marsh, B.B. Measurement of length in random arrangement of lines. J. Appl. Ecol. 1971, 8, 265–267. [Google Scholar] [CrossRef]
- Tenant, D. A test of a modified line intersection method of estimating root length. J. Ecol. 1975, 63, 995–1001. [Google Scholar] [CrossRef]
- Dobermann, A. Nutrient use efficiency measurement and management. In Proceedings of the IFA International Workshop on Fertilizer Best Management Practices, Brussels, Belgium, 7–9 March 2007; pp. 1–28. [Google Scholar]
- Tadesse, T.; Dechassa, N.; Bayu, W.; Gebeyehu, S. Effect of farm yard manure and inorganic fertilizer application of soil physico-chemical properties and nutrient balance in rainfed lowland rice ecosystem. Am. J. Plant Sci. 2013, 4, 309–316. [Google Scholar] [CrossRef]
- Panse, V.G.; Sukhatme, P.V. Statistical Methods for Africultural Workers; Indian Council of Agricultural Research: New Delhi, India, 2000; 381p. [Google Scholar]
- Alpa, A.; Netu, N.; Tanwar, A.; Aggarwal, A.; Gupta, K.K. Impact of endomycorrhizal fungi and other bioinoculants on growth enhancement of Glycine max L. Merril. J. Appl. Nat. Sci. 2012, 4, 111–116. [Google Scholar] [CrossRef]
- Bandopadhyay, K.K.; Mishra, A.K.; Ghosh, P.K.; Hati, K.M.; Mandal, K. Effect of integrated use of farm yard manure and inorganic fertilizers on soil water dynamics, root growth, crop yield and water expense efficiency of rainfed soybean in a vertisol. J. Agric. Phys. 2003, 3, 95–100. [Google Scholar]
- Shenggang, P.; Haidong, L.; Zhaowen, M.; Bob, P.; Meiyang, D.; Hua, T.; Shuijin, H.; Xaingru, T. Effects of nitrogen and shading on root morphologies, nutrient accumulation and photosynthetic parameters in different rice genotypes. Sci. Rep. 2016, 6, 321–348. [Google Scholar]
- Postma, J.A.; Schurr, U.; Fiorani, F. Dynamic root growth and architecture response to limiting nutrient availability: Linking physiological model and experimentation. Biotechnol. Adv. 2014, 32, 53–65. [Google Scholar] [CrossRef]
- Dwivedi, B.S.; Singh, V.K.; Meena, M.C.; Dey, A.; Datta, S.P. Integrated nutrient management for enhancing nitrogen use efficiency. Indian J. Fertil 2016, 12, 62–71. [Google Scholar]
- Liao, Y.; Rong, S.; Zheng, Q.; Liu, M.; Fan, M.; Peng, J.; Xie, G. Influences of nitrogen fertilizer application rates on radish yield, nutrition quality and nitrogen recovery efficiency. Front. Agric. China 2009, 3, 122–129. [Google Scholar] [CrossRef]
- Paul, K.N.; Jerik, K.M. Effect of organic fertilizers on apparent nitrogen fertilization and yield of sweet pepper as influenced by fertilizer timing. Int. J. Agron. Agric. Res. 2014, 4, 54–61. [Google Scholar]
- Du, Y.; Cao, H.; Liu, S.; Gu, X.; Cao, Y. Response of yield quality, water and NUE of tomato to different level of water and nitrogen under drip irrigation in North Western China. J. Integr. Agric. 2017, 16, 1153–1161. [Google Scholar] [CrossRef]
- Li, S.; Wang, X.; Kou, C.; Lv, J.; Gao, J. Crop yield, nitrogen recovery and soil mineral nitrogen accumulated in extremely arid oasis cropland under long term fertilization management. Atmosphere 2022, 13, 754. [Google Scholar] [CrossRef]
- Singh, M.; Shriram Wanjari, R.H.; Sharma, P. Balance and forms of potassium under rice wheat system in a 40 year old long term experiment on Mollisol of Pantnagar. J. Indian Soc. Soil Sci. 2014, 62, 38–44. [Google Scholar]
- Senthivelu, M.; Prabha, A.C.S. Studies on nutrient uptake, post harvest nutrient availability and nutrient balance sheet under integrated nutrient management practices in wet seeded rice. Asian J. Soil Sci. 2007, 2, 33–39. [Google Scholar]
- Kumar, A.; Kumar, M.; Pandey, R.; ZhiGuo, Y.; Cabral-Pinto, M. Forest soil nutrient stocks along with an altitudinal range of Uttarakhand Himalayas: An aid to Nature Based Climate Solutions. Catena 2021, 207, 105667. [Google Scholar] [CrossRef]
- Singh, A.; Singh, J. Yield, nutrient uptake and soil fertility balance as influenced by organic and inorganic nutrient sources in urd bean-wheat cropping system. Int. J. Agric. Inv. 2016, 1, 24–29. [Google Scholar]
- Jadhao, S.D.; Mali, D.V.; Kharche, V.K.; Singh, M.; Bhoyar, S.M.; Kadu, P.R.; Wanjar, R.H.; Sonune, B.A. Impact of continuous manuring and fertilization on change in soil quality under sorghum-wheat sequence on a Vertisols. J. Indian Soc. Soil Sci. 2019, 67, 55–64. [Google Scholar] [CrossRef]
- Singh, N.; Kushwala, H.S.; Singh, A. Integrated nutrient management on growth, yield, nutrient uptake and fertility balance in soybean (Glycine max L.)—Wheat (Triticum aestivum L.) cropping sequence. Int. J. Bio Stress Manag. 2020, 11, 405–413. [Google Scholar] [CrossRef]
- Jackson, M.L. Soil Chemical Analysis; Printice Hall of India Pvt. Ltd.: New Delhi, India, 1973; pp. 111–126. [Google Scholar]
- Lindsay, W.H.; Norvell, W.A. Development of DTPA soil test for Zn, Fe, Mn and Cu. Soil Sci. Soc. Am. J. 1978, 42, 420–428. [Google Scholar] [CrossRef]
- Merwin, H.D.; Peech, M. Exchangeability of soils potassium in the sand, silt and clay fractions as influenced by the nature of the complementary exchangeable cations. Soil Sci. Soc. Afr. Proc. 1951, 15, 125–128. [Google Scholar] [CrossRef]
- Olsen, S.R.; Cole, C.V.; Watnabe, F.S. Estimation of available phosphorus by extraction with sodium bicarbonate. United States Dep. Agric. Circ. 1954, 939, 1–19. [Google Scholar]
- Subbiah, B.W.; Asija, G.I. A rapid procedure for estimation of available nitrogen in soils. Curr. Sci. 1956, 25, 229–260. [Google Scholar]
- Walkley, A.J.; Black, C.A. Estimation of soil organic carbon by the chromic acid titration method. Soil Sci. 1934, 37, 259–260. [Google Scholar]
- Williams, C.H.; Steinbergs, A. Soil sulphate fractions as chemical indices of available sulphur in some Australian soils. Aust. J. Agric. Res. 1959, 10, 340–352. [Google Scholar] [CrossRef]






| Soil Parameter | Unit | Estimated Value |
|---|---|---|
| pH | Unitless | 6.60 |
| EC | dS m−1 | 0.25 |
| OC | g kg−1 | 13.10 |
| Available N | kg ha−1 | 350.8 |
| Available P | kg ha−1 | 98.4 |
| Available K | kg ha−1 | 489.4 |
| Available Ca | cmol (p+) kg−1 | 12.8 |
| Available Mg | cmol (p+) kg−1 | 3.53 |
| Available SO42−S | kg ha−1 | 38.80 |
| Available Fe | Ppm | 15.84 |
| Available Zn | Ppm | 3.05 |
| Available Cu | Ppm | 2.24 |
| Available Mn | Ppm | 14.33 |
| Treatments | Cauliflower (Per Plot) | Capsicum (Per Plot) | ||||||
|---|---|---|---|---|---|---|---|---|
| Farm Yard Manure (kg) | Urea (g) | Single Super Phosphate (g) | Muraite of Potash (g) | Farm Yard Manure (kg) | Urea (g) | Single Super Phosphate (g) | Muraite of Potash (g) | |
| T1 (Control) | 0 | 0 | 0 | 0 | 0 | 0 | 0 | 0 |
| T2 (100% FYM) | 24.3 | 0 | 0 | 0 | 24.3 | 0 | 0 | 0 |
| T3(100% N) | 0 | 264 | 0 | 0 | 0 | 176 | 0 | 0 |
| T4 (100% NP) | 0 | 264 | 506.3 | 0 | 0 | 176 | 384.8 | 0 |
| T5 (100% NK) | 0 | 264 | 0 | 73 | 0 | 176 | 0 | 73 |
| T6 (100% PK) | 0 | 0 | 506.3 | 73 | 0 | 0 | 384.8 | 73 |
| T7 (100% NPK) | 0 | 264 | 506.3 | 73 | 0 | 176 | 384.8 | 73 |
| T8 (100% NPK + FYM) | 20.3 | 264 | 506.3 | 73 | 20.3 | 176 | 384.8 | 73 |
| T9 (150% NPK + FYM) | 30.4 | 396 | 759.4 | 109.5 | 30.4 | 264 | 577.1 | 109.5 |
| Treatments | Initial N Status (a) | N Added | Total N Added (b) | N Uptake | Total N Uptake (c) | Soil N Status after Harvest (d) | Actual Gain/Loss over the Initial (a–d) | N Balance (a + b)–(c + d) | ||
|---|---|---|---|---|---|---|---|---|---|---|
| Cauliflower | Capsicum | Cauliflower | Capsicum | |||||||
| T1 (control) | 350.9 | 0.0 | 0.0 | 0.0 | 230.3 | 116.2 | 346.5 | 298.5 | 52.34 | −294.1 |
| T2 (100% FYM N equivalent basis) | 350.9 | 300.0 | 200.0 | 500.0 | 344.2 | 218.4 | 562.6 | 379.9 | −29.02 | −91.7 |
| T3 (100% N) | 350.9 | 300.0 | 200.0 | 500.0 | 311.3 | 156.5 | 467.8 | 359.7 | −8.79 | 23.4 |
| T4 (100% NP) | 350.9 | 300.0 | 200.0 | 500.0 | 326.3 | 196.0 | 522.2 | 367.3 | −16.42 | −38.7 |
| T5 (100% NK) | 350.9 | 300.0 | 200.0 | 500.0 | 325.3 | 180.3 | 505.6 | 369.9 | −18.99 | −24.6 |
| T6 (100% PK) | 350.9 | 0.0 | 0.0 | 0.0 | 269.2 | 151.0 | 420.3 | 333.6 | 17.31 | −403.0 |
| T7 (100% NPK) | 350.9 | 300.0 | 200.0 | 500.0 | 334.5 | 218.5 | 553.0 | 374.0 | −23.09 | −76.1 |
| T8 (100% NPK + FYM) | 350.9 | 550.0 | 450.0 | 1000.0 | 408.2 | 249.6 | 657.9 | 381.0 | −30.08 | 312.1 |
| T9 150% NPK + FYM) | 350.9 | 825.0 | 675.0 | 1500.0 | 414.4 | 278.2 | 692.6 | 383.7 | −32.79 | 774.6 |
| Treatments | Initial P Status (a) | P Added | Total P Added (b) | P Uptake | Total P Uptake (c) | Soil P Status after Harvest (d) | Actual Gain/Loss over the Initial (a–d) | P Balance (a + b)–(c + d) | ||
|---|---|---|---|---|---|---|---|---|---|---|
| Cauliflower | Capsicum | Cauliflower | Capsicum | |||||||
| T1 (control) | 98.4 | 0.0 | 0.0 | 0.0 | 39.3 | 20.8 | 60.1 | 77.6 | 20.80 | −39.3 |
| T2 (100% FYM N equivalent basis) | 98.4 | 120.0 | 80.0 | 200.0 | 63.4 | 42.4 | 105.9 | 135 | −36.60 | 57.6 |
| T3 (100% N) | 98.4 | 0.0 | 0.0 | 0.0 | 49.6 | 30.6 | 80.3 | 107.4 | −9.00 | −89.3 |
| T4 (100% NP) | 98.4 | 200.0 | 152.0 | 352.0 | 51.0 | 38.8 | 89.8 | 117.3 | −18.90 | 243.3 |
| T5 (100% NK) | 98.4 | 0.0 | 0.0 | 0.0 | 50.4 | 36.8 | 87.1 | 113.5 | −15.10 | −102.2 |
| T6 (100% PK) | 98.4 | 200.0 | 152.0 | 352.0 | 55.4 | 40.3 | 95.7 | 123.9 | −25.50 | 230.8 |
| T7 (100% NPK) | 98.4 | 200.0 | 152.0 | 352.0 | 60.0 | 45.4 | 105.3 | 134.4 | −36.00 | 210.7 |
| T8 (100% NPK + FYM) | 98.4 | 300.0 | 252.0 | 552.0 | 73.3 | 52.5 | 125.8 | 140.2 | −41.80 | 384.4 |
| T9 150% NPK + FYM) | 98.4 | 450.0 | 378.0 | 828.0 | 75.1 | 57.6 | 132.7 | 143.3 | −44.90 | 650.4 |
| Treatments | Initial K Status (a) | K Added | Total K Added (b) | K Uptake | Total K Uptake (c) | Soil K Status after Harvest (d) | Actual Gain/Loss over the Initial (a–d) | K Balance (a + b)–(c + d) | ||
|---|---|---|---|---|---|---|---|---|---|---|
| Cauliflower | Capsicum | Cauliflower | Capsicum | |||||||
| T1 (control) | 489.4 | 0.0 | 0.0 | 0.0 | 161.5 | 157.9 | 319.4 | 442.8 | 46.60 | −272.8 |
| T2 (100% FYM N equivalent basis) | 489.4 | 150.0 | 100.0 | 250.0 | 263.0 | 252.3 | 515.3 | 564.4 | −75.00 | −340.3 |
| T3 (100% N) | 489.4 | 0.0 | 0.0 | 0.0 | 202.7 | 195.0 | 397.7 | 453.8 | 35.60 | −362.1 |
| T4 (100% NP) | 489.4 | 0.0 | 0.0 | 0.0 | 229.0 | 232.8 | 461.8 | 466.1 | 23.30 | −438.5 |
| T5 (100% NK) | 489.4 | 108.0 | 108.0 | 216.0 | 210.0 | 218.1 | 428.1 | 542.3 | −52.90 | −265.0 |
| T6 (100% PK) | 489.4 | 108.0 | 108.0 | 216.0 | 229.8 | 244.3 | 474.2 | 550 | −60.60 | −318.8 |
| T7 (100% NPK) | 489.4 | 108.0 | 108.0 | 216.0 | 238.8 | 268.6 | 507.4 | 554.8 | −65.40 | −356.8 |
| T8 (100% NPK + FYM) | 489.4 | 358.0 | 358.0 | 716.0 | 316.0 | 311.1 | 627.0 | 560.6 | −71.20 | 17.8 |
| T9 150% NPK + FYM) | 489.4 | 537.0 | 537.0 | 1074.0 | 327.2 | 334.6 | 661.7 | 565.8 | −76.40 | 335.9 |
Disclaimer/Publisher’s Note: The statements, opinions and data contained in all publications are solely those of the individual author(s) and contributor(s) and not of MDPI and/or the editor(s). MDPI and/or the editor(s) disclaim responsibility for any injury to people or property resulting from any ideas, methods, instructions or products referred to in the content. |
© 2023 by the authors. Licensee MDPI, Basel, Switzerland. This article is an open access article distributed under the terms and conditions of the Creative Commons Attribution (CC BY) license (https://creativecommons.org/licenses/by/4.0/).
Share and Cite
Sharma, A.; Sharma, J.C.; Shukla, Y.R.; Verma, M.L.; Singh, U.; Spehia, R.S.; Sharma, D.; Gautam, K.L.; Dogra, R.; Tecimen, H.B.; et al. Nutrient Management Influences Root Characteristics and Nitrogen Use Efficiency in the Vegetable-Based Agroecosystem in the Northwestern Himalayas. Sustainability 2023, 15, 10593. https://doi.org/10.3390/su151310593
Sharma A, Sharma JC, Shukla YR, Verma ML, Singh U, Spehia RS, Sharma D, Gautam KL, Dogra R, Tecimen HB, et al. Nutrient Management Influences Root Characteristics and Nitrogen Use Efficiency in the Vegetable-Based Agroecosystem in the Northwestern Himalayas. Sustainability. 2023; 15(13):10593. https://doi.org/10.3390/su151310593
Chicago/Turabian StyleSharma, Archana, Jagjeet Chand Sharma, Yog Raj Shukla, Manohar Lal Verma, Upender Singh, Ranjit Singh Spehia, Deeksha Sharma, Krishan Lal Gautam, Rushal Dogra, Huseyin Baris Tecimen, and et al. 2023. "Nutrient Management Influences Root Characteristics and Nitrogen Use Efficiency in the Vegetable-Based Agroecosystem in the Northwestern Himalayas" Sustainability 15, no. 13: 10593. https://doi.org/10.3390/su151310593
APA StyleSharma, A., Sharma, J. C., Shukla, Y. R., Verma, M. L., Singh, U., Spehia, R. S., Sharma, D., Gautam, K. L., Dogra, R., Tecimen, H. B., Kumar, M., & Kumar, A. (2023). Nutrient Management Influences Root Characteristics and Nitrogen Use Efficiency in the Vegetable-Based Agroecosystem in the Northwestern Himalayas. Sustainability, 15(13), 10593. https://doi.org/10.3390/su151310593

