The Growth-Promoting Effect of Earthworm Vermiwash on House Tomato Plants
Abstract
1. Introduction
2. Materials and Methods
2.1. Materials
2.2. Construction of Vermicomposting Beds and Production of Vermiwash
2.3. Physico-Chemical Analysis
2.4. Cultivation of Tomato Plants and Preparation of Experimental Sight
2.5. Weekly Treatment of Tomatoes
2.6. Stability of the Vermiwash Components
2.7. Data Collection
2.8. Statistical Analysis
3. Results and Discussion
3.1. Earthworm Breeding Condition and Vermiwash Content
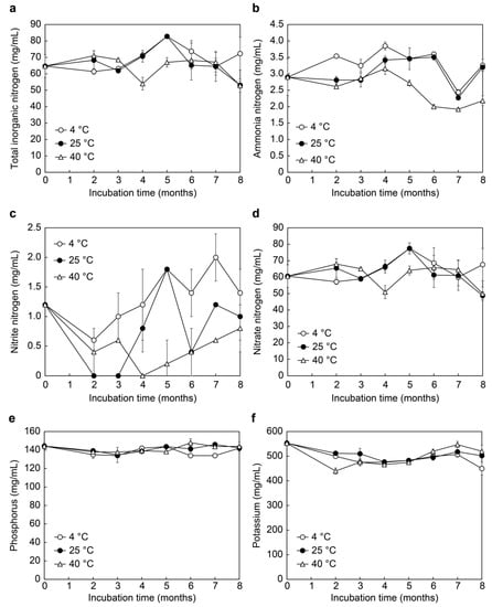
3.2. Long-Term Stability of Vermiwash Content
3.3. Cultivation of Tomato Plants
3.3.1. Tomato Growing Condition
3.3.2. Growth Results
3.4. Vermiwash as a Foliar Spray
3.5. Yield and Fruit Quality Results
3.6. Factors That Affect Growth
4. Conclusions
Supplementary Materials
Author Contributions
Funding
Institutional Review Board Statement
Informed Consent Statement
Data Availability Statement
Acknowledgments
Conflicts of Interest
References
- Savci, S. Investigation of the Effect of Chemical Fertilizers on Environment. APCBEE Procedia 2012, 1, 287–292. [Google Scholar] [CrossRef]
- Samadhiya, H.; Dandotiya, P.; Chaturvedi, J.; Agrawal, O.P. Effect of vermiwash on the growth and development of leaves and stem of tomato plants. Int. J. Curr. Res. 2013, 5, 3020–3023. [Google Scholar]
- Awadhpersad, V.R.; Ori, L.; Adil Ansari, A. Production and effect of vermiwash and vermicompost on plant growth parameters of tomato (Lycopersicon esculentum Mill.) in Suriname. Int. J. Recycl. Org. Waste Agric. 2021, 10, 397–413. [Google Scholar]
- Buckerfield, J.C.; Flavel, T.C.; Lee, K.E.; Webster, K.A. V earthworms and waste management-Vermicompost in solid and liquid forms as a plant-growth promoter. Pedobiologia 1999, 43, 753–759. [Google Scholar]
- Zambare, V.P.; Padul, M.V.; Yadav, A.A.; Shete, T.B. Vermiwash: Biochemical and microbiological approach as ecofriendly soil conditioner. ARPN J. Agric. Biol. Sci. 2008, 3, 1–5. [Google Scholar]
- Gudeta, K.; Julka, J.M.; Kumar, A.; Bhagat, A.; Kumari, A. Vermiwash: An agent of disease and pest control in soil, a review. Heliyon 2021, 7, e06434. [Google Scholar] [CrossRef]
- Deepthi, M.P.; Nivethitha, S.; Saminathan, K.; Narendhirakannan, R.T.; Karmegam, N.; Kathireswari, P. Effect of vermiwash prepared from livestock biowaste as vermiponics medium on the growth and biochemical indices of Amaranthus viridis L. Environ. Technol. Innov. 2021, 21, 101300. [Google Scholar] [CrossRef]
- Martins, C.I.M.; Eding, E.H.; Verdegem, M.C.J.; Heinsbroek, L.T.N.; Schneider, O.; Blancheton, J.P.; D’Orbcastel, E.R.; Verreth, J.A.J. New developments in recirculating aquaculture systems in Europe: A perspective on environmental sustainability. Auacult. Eng. 2010, 43, 83–89. [Google Scholar] [CrossRef]
- Karimanzira, D.; Keesman, K.J.; Kloas, W.; Baganz, D.; Raushenbach, T. Dynamic modelling of the INAPRO aquaponic system. Aquac. Eng. 2016, 75, 29–45. [Google Scholar] [CrossRef]
- Nayak, H.; Rai, S.; Mahto, R.; Rani, P.; Yadav, S.; Prasad, S.K.; Singh, R.K. Vermiwash: A potential tool for sustainable agriculture. J. Pharmacogn. Phytochem. 2019, 8, 308–312. [Google Scholar]
- Nath, G.; Singh, K.; Singh, D.K. Chemical analysis of vermicomposts/vermiwash of different combinations of animal, agro, and kitchen wastes. Aust. J. Basic Appl. Sci. 2009, 3, 3672–3676. [Google Scholar]
- Pandit, N.P.; Ahmad, N.; Maheshwari, S.K. Vermicomposting Biotechnology: An Eco-Loving Approach for Recycling of Solid Organic Wastes into Valuable Biofertilizers. J. Biofertil. Biopestic. 2012, 3, 1000113. [Google Scholar] [CrossRef]
- Edwards, C.A.; Bohlen, P.J. Biology and Ecology of Earthworms, 3rd ed.; Chapman & Hall: London, UK, 1996; p. 426. [Google Scholar]
- Adhikary, S. Vermicompost, the story of organic gold: A review. Agric. Sci. 2012, 3, 905–917. [Google Scholar] [CrossRef]
- Zarei, M.; Jahandideh Mahjen Abadi, V.A.J.M.; Moridi, A. Comparison of vermiwash and vermicompost tea properties produced from different organic beds under greenhouse conditions. Int. J. Recycl. Org. Waste Agric. 2018, 7, 25–32. [Google Scholar] [CrossRef]
- Esakkiammal, B.; Esaivani, C.; Vasanthi, K.; Bai, L.L.; Preya, N.S. Microbial diversity of vermicompost and veriwash prepared from Eudrilus euginae. Int. J. Curr. Microbiol. Appl. Sci. 2015, 4, 873–883. [Google Scholar]
- Polanco, F.F.; Villaverde, S. Temperature effect on nitrifying bacteria activity in biofilters: Activation and free ammonia inhibition. Wat. Sci. Technol. 1994, 30, 121–130. [Google Scholar] [CrossRef]
- Ansari, A.A.; Sukhraj, K. Effect of vermiwash and vermicompost on soil parameters and productivity of okra (Abelmoschus esculentus) in Guyana. Afr. J. Agric. Res. 2010, 5, 1794–1798. [Google Scholar]
- Tharmaraj, K.; Ganesh, P.; Kolanjinathan, K.; Suresh Kumar, R.; Anandan, A. Influence of vermicompost and vermiwash on physico chemical properties of rice cultivated soil. Curr. Bot. 2011, 2, 18–21. [Google Scholar]
- Prabina, B.J.; Devi, T.S.; Kumutha, K. Developing and evaluating neem leaf vermiwash as organic plant growth promoter. Int. J. Curr. Microbiol. Appl. Sci. 2018, 7, 859–866. [Google Scholar] [CrossRef]
- Pathma, J.; Sakthivel, N. Microbial diversity of vermicompost bacteria that exhibit useful agricultural traits and waste management potential. Springer Plus 2012, 1, 26. [Google Scholar] [CrossRef]
- Verma, S.; Babu, A.; Patel, A.; Singh, S.K.; Pradhan, S.S.; Verma, S.K.; Singh, J.P.; Singh, R.K. Significance of vermiwash on crop production: A review. J. Pharmacogn. Phytochem. 2018, 7, 297–301. [Google Scholar]
- Saini, H.; Agarwal, S. Impact of vermitechnology and chemical fertilizer on growth, yield and nutrients in tomato. Open Access Int. J. Eng. Sci. 2019, 4, 2456–3293. [Google Scholar]
- Keerthi, S.; UpendraRao, A.; Ramana, A.V.; Tejeswara Rao, K. Effect of nutrient management practices on cob yield, protein content, npk uptake by sweet corn and postharvest N, P2O5, and K2O. Int. J. Adv. Biol. Res. 2013, 3, 553–555. [Google Scholar]
- Kaur, P.; Bhardwaj, M.; Babber, I. Effect of vermicompost and vermiwash on the growth of vegetables. Res. J. Vet. Fish. Sci. 2015, 3, 9–12. [Google Scholar]





| Fertilizer | Components (mg/L) | Applied Date | Frequency | |||||
|---|---|---|---|---|---|---|---|---|
| NH3-N Ammonia Nitrogen | NO2-N Nitrite-Nitrogen | NO3-N Nitrate- Nitrogen | Nitrogen N | Phosphorus P | Potassium K | |||
| Fert.2021_1-3 | 1.16 ± 0 | 0.40 ± 0 | 1.35 ± 0.08 | 2.92 ± 0.08 | 16.1 ± 0.1 | 134 ± 1 | June | once a fortnight |
| Fert.2021_1-2 | 1.74 ± 0 | 0.61 ± 0 | 2.03 ± 0.12 | 4.38 ± 0.13 | 24.1 ± 0.1 | 201 ± 1 | July | once a week |
| Fert.2021_1-0 | 3.48 ± 0.02 | 1.22 ± 0 | 4.06 ± 0.24 | 8.77 ± 0.25 | 48.2 ± 0.3 | 402 ± 2 | August | twice a week |
| Fert.2021_2-0 | 4.60 ± 0.03 | 1.93 ± 0.14 | 57.8 ± 6.6 | 64.3 ± 6.8 | 87.4 ± 1.1 | 805 ± 23 | September | 3 times a week |
| Fert.2022-1-0 | 3.33 ± 0.11 | 3.86 ± 0.35 | 49.2 ± 1.6 | 56.4 ± 2.1 | 88.5 ± 0.9 | 767 ± 33 | June | once a week |
| Fert.2022-2-7 | 15.4 ± 0.5 | 4.52 ± 0.41 | 15.2 ± 0.4 | 35.1 ± 0.5 | 119 ± 2 | 79.0 ± 1.8 | July | twice a week |
| Fert.2022-3-5 | 6.50 ± 0.20 | 0.67 ± 1.15 | 31.3 ± 0.3 | 38.5 ± 1.4 | 147 ± 3 | 135 ± 4 | August | twice a week |
| Hyponex | 78.7 ± 0.7 | N.D. | 21.6 ± 2.5 | 100 ± 3 | 115 ± 2 | 80.0 ± 0 | (2021) June–September (2021) June–August | (2021) once a week (2022) once or twice a week |
| Vermiwash Sample Name | Collected Period | Content (mg/L) | |||||
|---|---|---|---|---|---|---|---|
| NH3-N Ammonia Nitrogen | NO2-N Nitrite-Nitrogen | NO3-N Nitrate- Nitrogen | Nitrogen N | Phosphorus P | Potassium K | ||
| 2021 Palm fiber * | 2020.4.08–6.03 | 2.90 ± 0.56 | 1.20 ± 0 | 60.6 ± 6.9 | 64.7 ± 6.9 | 144 ± 3 | 553 ± 9 |
| 2022 Palm fiber ** | 2020.7.21–10.29 | 139 ± 3 | 30.0 ± 10.0 | N.D. | 169 ± 8 | 523 ± 6 | 387 ± 12 |
| Group | Total Amount | Total Weight (g) | Mean Weight (g) | Mean Sugar (%) | Mean Acidity (%) |
|---|---|---|---|---|---|
| Control | 12 | 155 | 12.9 ± 1.5 | 11.1 ± 1.4 | 0.79 ± 0.14 |
| Vermiwash | 28 | 333 | 11.9 ± 2.8 | 10.0 ± 1.5 | 0.68 ± 0.18 |
| Hyponex | 33 | 398 | 12.1 ± 4.4 | 9.0 ± 1.6 | 0.59 ± 0.15 |
| Total | 73 | 886 |
| Variables | Description |
|---|---|
| Growth | Height of tomato plants (cm) |
| Vermiwash | Binary variable indicating vermiwash fertilizer (treated = 1, not treated = 0) |
| Hyponex | Binary variable indicating Hyponex fertilizer (treated = 1, not treated = 0) |
| Day | Cultivation Time (d) |
| N content in fertilizers | Nitrogen content of the fertilizers (mg/L) |
| P content in fertilizers | Phosphorus content of the fertilizers (mg/L) |
| K content in fertilizers | Potassium content of fertilizers (mg/L) |
| Factor | Ordinary Least Squares Regression | |||
|---|---|---|---|---|
| 2021 | 2022 | |||
| Vermiwash | 29.88 *** | (4.58) | −1.59 | (7.42) |
| Hyponex | 23.75 *** | (4.97) | −1.51 | (5.9) |
| Day | 0.68 *** | (0.03) | 0.7 *** | (0.08) |
| Nitrogen N | 0.86 *** | (0.26) | 0.07 | (0.06) |
| Phosphorus P | −0.71 ** | (0.23) | 0 | (0.04) |
| Potassium K | 0 * | (0.01) | 0.01 | (0.01) |
| Observations | 63 | 33 | ||
| Sample | Collected Period | Content (mg/L) | |||||
|---|---|---|---|---|---|---|---|
| NH3-N Ammonia Nitrogen | NO2-N Nitrite-Nitrogen | NO3-N Nitrate- Nitrogen | Nitrogen N | Phosphorus P | Potassium K | ||
| Wood chips | 2020.7.21–10.29 | 3.20 ± 0.26 | N.D. | N.D. | 3.20 ± 0.26 | 65.0 ± 5.2 | 478 ± 12 |
| Wood chips (preserved for 1 year) | 2020.7.21–10.29 | 7.29 ± 0.90 | N.D. | 8.54 ± 0.80 | 15.8 ± 1.3 | 48.5 ± 2.6 | 863 ± 65 |
| Waste mushroom bed | 2020.7.21–10.29 | 662 ± 10 | 335 ± 26 | 554 ± 48 | 1552 ± 40 | 3157 ± 150 | 953 ± 21 |
| Palm fibre | 2020.7.21–10.29 | 3.91 ± 0.30 | 0.20 ± 0.40 | 48.3 ± 5.5 | 52.4 ± 5.3 | 87.7 ± 6.4 | 358 ± 3 |
Disclaimer/Publisher’s Note: The statements, opinions and data contained in all publications are solely those of the individual author(s) and contributor(s) and not of MDPI and/or the editor(s). MDPI and/or the editor(s) disclaim responsibility for any injury to people or property resulting from any ideas, methods, instructions or products referred to in the content. |
© 2023 by the authors. Licensee MDPI, Basel, Switzerland. This article is an open access article distributed under the terms and conditions of the Creative Commons Attribution (CC BY) license (https://creativecommons.org/licenses/by/4.0/).
Share and Cite
Akazawa, S.-i.; Badamkhatan, T.; Omiya, K.; Shimizu, Y.; Hasegawa, N.; Sakai, K.; Kamimura, K.; Takeuchi, A.; Murakami, Y. The Growth-Promoting Effect of Earthworm Vermiwash on House Tomato Plants. Sustainability 2023, 15, 10327. https://doi.org/10.3390/su151310327
Akazawa S-i, Badamkhatan T, Omiya K, Shimizu Y, Hasegawa N, Sakai K, Kamimura K, Takeuchi A, Murakami Y. The Growth-Promoting Effect of Earthworm Vermiwash on House Tomato Plants. Sustainability. 2023; 15(13):10327. https://doi.org/10.3390/su151310327
Chicago/Turabian StyleAkazawa, Shin-ichi, Tsagaankhuu Badamkhatan, Kennosuke Omiya, Yumi Shimizu, Nana Hasegawa, Kazuki Sakai, Kenji Kamimura, Akiko Takeuchi, and Yuki Murakami. 2023. "The Growth-Promoting Effect of Earthworm Vermiwash on House Tomato Plants" Sustainability 15, no. 13: 10327. https://doi.org/10.3390/su151310327
APA StyleAkazawa, S.-i., Badamkhatan, T., Omiya, K., Shimizu, Y., Hasegawa, N., Sakai, K., Kamimura, K., Takeuchi, A., & Murakami, Y. (2023). The Growth-Promoting Effect of Earthworm Vermiwash on House Tomato Plants. Sustainability, 15(13), 10327. https://doi.org/10.3390/su151310327

