Characterisation of Youth Entrepreneurship in Medellín-Colombia Using Machine Learning
Abstract
1. Introduction
2. Theoretical Framework
2.1. Determinants of Youth Entrepreneurship
2.2. Challenges and Difficulties in Youth Entrepreneurship
2.3. Artificial Intelligence
2.4. Context of Entrepreneurship Research in Colombia
2.5. Review of the Literature
3. Materials and Methods
3.1. Participant Data
3.2. Variables
3.3. Data Collection
3.4. Data Processing for Analysis
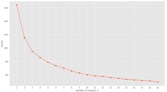
3.5. To Validate the Clustering Model, the following Metrics Can Be Applied
4. Results and Discussion
5. Conclusions
6. Limitations of the Research and Future Lines of Research
Author Contributions
Funding
Data Availability Statement
Conflicts of Interest
References
- Lederman, D.; Messina, J.; Pienknagura, S.; Rigolini, J. El Emprendimiento en América Latina: Muchas Empresas y Poca Innovación. World Bank. 2014, pp. 61–95. Available online: https://www.worldbank.org/content/dam/Worldbank/document/LAC/EmprendimientoAmericaLatina_resumen.pdf (accessed on 15 April 2023).
- Innpulsa Colombia. (s.f.). Boletín Analítica. Available online: https://www.innpulsacolombia.com/sites/default/files/documentos-recursos-pdf/Boletin%20Analitica.pdf (accessed on 15 April 2023).
- Pereira Laverde, F.; Osorio-Tinoco, F.; Pinzón, N. Nuestro Reto: Impactar la DINAMICA Emprendedora Colombiana: GEM Colombia 2021–2022; Ediciones: Bogotá, Colombia, 2022. [Google Scholar]
- Velasco Chávez, R.; Ordoñez Arias, C.; Marion, R.S.; Juan, C.E. Ley de Emprendimiento en Colombia. In Innpulsa, Colombia. Publications. 2021. Available online: https://www.innpulsacolombia.com/sites/default/files/documentos-recursos-pdf/Boletin%20Analitica.pdf (accessed on 15 April 2023).
- Schade, P.; Schuhmacher, M.C. Predicting entrepreneurial activity using machine learning. J. Bus. Ventur. Insights 2023, 19, e00357. [Google Scholar] [CrossRef]
- Buitrago Nova, J.A. Emprendimiento en Colombia. Adm. Desarro. 2014, 43, 7–21. [Google Scholar] [CrossRef]
- Berger, E.S.; Von Briel, F.; Davidsson, P.; Kuckertz, A. Digital or not—The future of entrepreneurship and innovation: Introduction to the special issue. J. Bus. Res. 2021, 125, 436–442. [Google Scholar] [CrossRef]
- Cruz, P.D.A.; Covarrubias, L.P.C.; Pérez, P.A. The Effect of Resilience on Entrepreneurial Intention in Higher Education Students in a Post-Covid Stage 19. J. High. Educ. Theory Pract. 2022, 22, 6–20. [Google Scholar] [CrossRef]
- Bosse, D.A.; Harrison, J.S.; Pollack, J.M.; Schrempf-Stirling, J. Entrepreneurial Opportunities as Responsibility. Entrep. Theory Pract. 2022, 47, 3–16. [Google Scholar] [CrossRef]
- Çera, G.; Ndoka, M.; Dika, I.; Çera, E. Examining the Impact of COVID-19 on Entrepreneurial Intention through a Stimulus–Organism–Response Perspective. Adm. Sci. 2022, 12, 184. [Google Scholar] [CrossRef]
- Shane, S.; Venkataraman, S. The Promise of Entrepreneurship as a Field of Research. Acad. Manag. Rev. 2000, 25, 217–226. [Google Scholar] [CrossRef]
- Van Gelderen, M.; Kautonen, T.; Fink, M. From entrepreneurial intentions to actions: Self-control and action-related doubt, fear, and aversion. J. Bus. Ventur. 2018, 33, 780–794. [Google Scholar] [CrossRef]
- Lumpkin, G.T.; Dess, G.G. Clarifying the entrepreneurial orientation construct and linking it to performance. Acad. Manag. Rev. 1996, 21, 135–172. [Google Scholar] [CrossRef]
- Baron, R.A.; Shane, S.A. Entrepreneurship: A process perspective. In The Psychology of Entrepreneurship, 2nd ed.; Psychology Press: Mason, OH, USA, 2007. [Google Scholar]
- Segal, S.; Mikulincer, M.; Hershkovitz, L.; Meir, Y.; Nagar, T.; Maaravi, Y. A Secure Base for Entrepreneurship: Attachment Orientations and Entrepreneurial Tendencies. Behav. Sci. 2023, 13, 61. [Google Scholar] [CrossRef]
- Elkayaly, D.; Fahim, I.S. Challenges and Motivations for Youth Entrepreneurship Start-Ups: Empirical study from Egypt. In Proceedings of the 2021 3rd International Sustainability and Resilience Conference: Climate Change, Virtual, 15–17 November 2021; pp. 339–341. [Google Scholar] [CrossRef]
- Postigo, Á.; Cuesta, M.; García-Cueto, E.; Prieto-Díez, F.; Muñiz, J. General versus specific personality traits for predicting entrepreneurship. Pers. Individ. Differ. 2021, 182, 111094. [Google Scholar] [CrossRef]
- Lien, T.T.H.; Hoang, N.D. The impact of young employees’ perceptions of current paid jobs on the entrepreneurial intention with the mediator of job satisfaction: The case of Vietnam. Entrep. Bus. Econ. Rev. 2022, 10, 55–71. [Google Scholar] [CrossRef]
- Onjewu, A.K.E.; Haddoud, M.Y.; Nowiński, W. The effect of entrepreneurship education on nascent entrepreneurship. Ind. High. Educ. 2021, 35, 419–431. [Google Scholar] [CrossRef]
- Wu, L.; Jiang, S.; Wang, X.; Yu, L.; Wang, Y.; Pan, H. Entrepreneurship Education and Entrepreneurial Intentions of College Students: The Mediating Role of Entrepreneurial Self-Efficacy and the Moderating Role of Entrepreneurial Competition Experience. Front. Psychol. 2022, 12, 727826. [Google Scholar] [CrossRef]
- Lyu, J.; Shepherd, D.; Lee, K. From intentional to nascent student entrepreneurs: The moderating role of university entrepreneurial offerings. J. Innov. Knowl. 2023, 8, 100305. [Google Scholar] [CrossRef]
- Ndofirepi, T.M. Predicting the Sustainability-Oriented Entrepreneurship Intentions of Business School Students: The Role of Individualistic Values. Soc. Sci. 2023, 12, 13. [Google Scholar] [CrossRef]
- Thomas, E.; Pugh, R.; Soetanto, D.; Jack, S.L. Beyond ambidexterity: Universities and their changing roles in driving regional development in challenging times. J. Technol. Transf. 2023, 1–20. [Google Scholar] [CrossRef]
- Liu, M.; Gorgievski, M.J.; Zwaga, J.; Paas, F. How entrepreneurship program characteristics foster students’ study engagement and entrepreneurial career intentions: A longitudinal study. Learn. Individ. Differ. 2023, 101, 102249. [Google Scholar] [CrossRef]
- Lechner, C.; Delanoë-Gueguen, S.; Gueguen, G. Entrepreneurial ecosystems and actor legitimacy. Int. J. Entrep. Behav. Res. 2022. ahead-of-print. [Google Scholar] [CrossRef]
- Banha, F.; Coelho, L.S.; Flores, A. Entrepreneurship Education: A Systematic Literature Review and Identification of an Existing Gap in the Field. Educ. Sci. 2022, 12, 336. [Google Scholar] [CrossRef]
- Riaño, Y. Migrant Entrepreneurs as Agents of Development? Geopolitical Context and Transmobility Strategies of Colombian Migrants Returning from Venezuela. J. Int. Migr. Integr. 2022, 24, 539–562. [Google Scholar] [CrossRef] [PubMed]
- Zulkifle, A.M.; Aziz, K.A. Determinants of Social Entrepreneurship Intention: A Longitudinal Study among Youth in Higher Learning Institutions. Soc. Sci. 2023, 12, 124. [Google Scholar] [CrossRef]
- Rusu, V.D.; Roman, A.; Tudose, M.B. Determinants of Entrepreneurial Intentions of Youth: The Role of Access to Finance. Eng. Econ. 2022, 33, 86–102. [Google Scholar] [CrossRef]
- Soomro, B.A.; Shah, N. Entrepreneurship education, entrepreneurial self-efficacy, need for achievement and entrepreneurial intention among commerce students in Pakistan. Educ.+ Train. 2022, 64, 107–125. [Google Scholar] [CrossRef]
- Fiet, J.O. The pedagogical side of entrepreneurship theory. J. Small Bus. Manag. 2017, 55, 126–141. [Google Scholar]
- Neck, H.M.; Greene, P.G.; Brush, C.G. Teaching Entrepreneurship: A Practice-Based Approach; Edward Elgar Publishing: Cheltenham, UK, 2019. [Google Scholar]
- Ramírez, K.; Serrano, L.; Pineda, J. Categorization the entrepreneur’s characteristics from the perspective of the person. In Proceedings of the 2017 Congreso Internacional de Innovacion y Tendencias en Ingenieria (CONIITI), Bogotá, Colombia, 4–6 October 2017. [Google Scholar]
- Chamorro, E.T.; Erazo, J.A.Z.; Montenegro, E.A. Knight y sus aportes a la teoría del emprendedor. In Estudios Gerenciales; Elsevier: Amsterdam, The Netherlands, 2008; Volume 24, pp. 83–98. [Google Scholar]
- Aparicio, S.; Audretsch, D.; Urbano, D. Why is export-oriented entrepreneurship more prevalent in some countries than others? Contextual antecedents and economic consequences. J. World Bus. 2021, 56, 101177. [Google Scholar] [CrossRef]
- Gutiérrez, J.G.; Baquero, J.E.G. New cross-proposal entrepreneurship and innovation in educational programs in third level (tertiary) education. Contaduría Y Adm. 2017, 62, 239–261. [Google Scholar] [CrossRef]
- Teixeira, R.; Ducci, N.; Sarrassini, N.; Munhê, V.; Ducci, L. Empreendedorismo jovem e a influência da família: A história de vida de uma empreendedora de sucesso. Rev. Gestão 2011, 18, 3–18. [Google Scholar] [CrossRef]
- Guerrero, M.; Espinoza-Benavides, J. Does entrepreneurship ecosystem influence business re-entries after failure? Int. Entrep. Manag. J. 2021, 17, 211–227. [Google Scholar] [CrossRef]
- Arnold, G. Does Entrepreneurship Work? Understanding What Policy Entrepreneurs Do and Whether It Matters. Policy Stud. J. 2021, 49, 968–991. [Google Scholar] [CrossRef]
- Aparicio, S.; Urbano, D.; Gómez, D. The role of innovative entrepreneurship within Colombian business cycle scenarios: A system dynamics approach. Futures 2016, 81, 130–147. [Google Scholar] [CrossRef]
- Kebede, G.F. Entrepreneurship and the Promises of Inclusive Urban Development in Ethiopia. Urban Forum 2022, 34, 1–30. [Google Scholar] [CrossRef]
- Pascucci, T.; Sanchez, B.H.; Carlos, J.; Garcia, S. Video Games Entrepreneurship: A Confrontation between Strong Multinational and Indie Software House. Int. J. Adv. Technol. 2023, 14, 1000229. [Google Scholar]
- Chatti, H.; Hamrouni, A.D. Identifying success factors and difficulties in setting up business opportunities in the context of collective entrepreneurship. Acad. Entrep. J. 2021, 27, 1–15. [Google Scholar]
- Sendra-Pons, P.; Comeig, I.; Mas-Tur, A. Institutional factors affecting entrepreneurship: A QCA analysis. Eur. Res. Manag. Bus. Econ. 2022, 28, 100187. [Google Scholar] [CrossRef]
- Shepherd, D.A.; Majchrzak, A. Machines augmenting entrepreneurs: Opportunities (and threats) at the Nexus of artificial intelligence and entrepreneurship. J. Bus. Ventur. 2022, 37, 106227. [Google Scholar] [CrossRef]
- Jan, Z.; Ahamed, F.; Mayer, W.; Patel, N.; Grossmann, G.; Stumptner, M.; Kuusk, A. Artificial intelligence for industry 4.0: Systematic review of applications, challenges, and opportunities. Expert Syst. Appl. 2023, 216, 119456. [Google Scholar] [CrossRef]
- Murphy, K.P. Machine Learning: A Probabilistic Perspective; MIT Press: Cambridge, MA, USA, 2012. [Google Scholar]
- Pinto, J.F.; Cabral, M. Statistical Methods with Applications in Data Mining: A Review of the Most Recent Works. Mathematics 2022, 10, 1–22. [Google Scholar]
- Virupakshappa, K.; Oruklu, E. Unsupervised Machine Learning for Ultrasonic Flaw Detection using Gaussian Mixture Modeling, K-Means Clustering and Mean Shift Clustering. In Proceedings of the 2019 IEEE International Ultrasonics Symposium (IUS), Glasgow, UK, 6–9 October 2019; pp. 647–649. [Google Scholar] [CrossRef]
- Ezugwu, A.E.; Ikotun, A.M.; Oyelade, O.O.; Abualigah, L.; Agushaka, J.O.; Eke, C.I.; Akinyelu, A.A. A comprehensive survey of clustering algorithms: State-of-the-art machine learning applications, taxonomy, challenges, and future research prospects. Eng. Appl. Artif. Intell. 2022, 110, 104743. [Google Scholar] [CrossRef]
- Celebi, M.E.; Kingravi, H.A. Linear, Deterministic, and Order-Invariant Initialization Methods for the K-Means Clustering Algorithm. In Partitional Clustering Algorithms; Springer: Berlin/Heidelberg, Germany, 2015; pp. 79–98. [Google Scholar] [CrossRef]
- Hoda, M.N.; Chauhan, N.; Quadri, S.M.K.; Srivastava, P.R. Software Engineering: Proceedings of CSI 2015; Springer Nature: Singapore, 2019. [Google Scholar]
- Pham, T.T.; Lobos, G.A. Innovación en Minería de Datos para el Tratamiento de Imágenes: Agrupamiento K-media para Conjuntos de Datos de Forma Alargada y su Aplicación en la Agroindustria—Innovation in Data Mining for the Image Processing: K-means Clustering for Data Sets of El. Inf. Tecnol. 2019, 30, 135–142. [Google Scholar] [CrossRef]
- Goverment of Colombia. Ley 2069 de 2020 Por Medio del Cual se Impulsa el Emprendimiento en Colombia. In Dapre.presidencia.gov.co. Available online: https://dapre.presidencia.gov.co/normativa/normativa/LEY-2069-del-31-dediciembre-de-2020.pdf (accessed on 20 May 2023).
- Arrubla-Hoyos, W.; Ojeda-Beltrán, A.; Solano-Barliza, A.; Rambauth-Ibarra, G.; Barrios-Ulloa, A.; Cama-Pinto, D.; Arrabal-Campos, F.M.; Martínez-Lao, J.A.; Cama-Pinto, A.; Manzano-Agugliaro, F. Precision Agriculture and Sensor Systems Applications in Colombia through 5G Networks. Sensors 2022, 22, 7295. [Google Scholar] [CrossRef] [PubMed]
- Torres, M.M.; Ramos, R.J.L.; Galvis, M.M.M.; Ramos, C.J.L.; Biswell, J.J.E. Determinantes del emprendimiento juvenil en Colombia: Un análisis desde la nueva economía institucional. Rev. Métodos Cuant. Econ. Empresa 2021, 32, 300–323. [Google Scholar] [CrossRef]
- Quillas, C.I.L.; Rodríguez, H.F.R.; Rodríguez, A.H. Instituciones informales, emprendimiento y progreso social: Un estudio comparativo y correlacional. Rev. Guillermo Ockham 2022, 21, 113–129. [Google Scholar] [CrossRef]
- Lu, Q.; Chai, Y.; Ren, L.; Ren, P.; Zhou, J.; Lin, C. Research on quality evaluation of innovation and entrepreneurship education for college students based on random forest algorithm and logistic regression model. PeerJ Comput. Sci. 2023, 9, e1329. [Google Scholar] [CrossRef]
- Graham, B.; Bonner, K. One size fit all? Using machine learning to study heterogeneity and dominance in the determinants of early-stage entrepreneurship. J. Bus. Res. 2022, 152, 42–59. [Google Scholar] [CrossRef]
- Gosztonyi, M.; Judit, C.F. Profiling (Non-)Nascent Entrepreneurs in Hungary Based on Machine Learning Approaches. Sustainability 2022, 14, 3571. [Google Scholar] [CrossRef]
- Zhang, L.; Fu, Y.; Wei, Y.; Chen, H.; Xia, C.; Cai, Z. Predicting Entrepreneurial Intention of Students: Kernel Extreme Learning Machine with Boosted Crow Search Algorithm. Appl. Sci. 2022, 12, 6907. [Google Scholar] [CrossRef]
- Ramírez, J.C.; de Aguas, J.M. Configuración Territorial de las Provincias de Colombia Ruralidad y Redes; Comisión Económica para América Latina y el Caribe (CEPAL): Bogotá, Colombia, 2016. [Google Scholar]
- Marcela, D.; García, A.; García, A.; Marcela, D. Crecer en sociedades desiguales: Interpretaciones de niñas y niños colombianos sobre la estratificación socioeconómica. Tempo E Argum. 2022, 14, e0203. [Google Scholar]
- Departamento Nacional de Estadística (DANE). Mesa de Expertos de Estratificación Socioeconómica (Informe Final). 2021. Available online: https://www.dnp.gov.co/programas/vivienda-agua-y-desarrollo-urbano/Paginas/Mesa-de-expertos-de-Estatificacion-Socioeconomica.aspx (accessed on 20 June 2023).
- Morissette, L.; Chartier, S. The k-means clustering technique: General considerations and implementation in Mathematica. Tutor. Quant. Methods Psychol. 2013, 9, 15–24. [Google Scholar] [CrossRef]
- Arias Vargas, F.J.; Ribes-Giner, G.; Arango-Botero, D.; Garcés Giraldo, L.F. Factores sociodemográficos que inciden en el emprendimiento rural de jóvenes en Antioquia, Colombia. Rev. Venez. Gerenc. 2021, 26, 1218–1240. [Google Scholar] [CrossRef]
- Svotwa, T.D.; Jaiyeoba, O.; Roberts-Lombard, M.; Makanyeza, C. Perceived Access to Finance, Entrepreneurial Self-Efficacy, Attitude Toward Entrepreneurship, Entrepreneurial Ability, and Entrepreneurial Intentions: A Botswana Youth Perspective. SAGE Open 2022, 12, 21582440221096437. [Google Scholar] [CrossRef]
- Meng, X.; Huang, W. Analysis of Key Factors Affecting Undergraduate Entrepreneurship Ability from a Big Data Perspective. Wirel. Commun. Mob. Comput. 2022, 2022, 2198948. [Google Scholar] [CrossRef]
- Zhan, Z.; Fong, P.S.W.; Lin, K.-Y.; Zhong, B.; Yang, H.H. Editorial: Creativity, innovation, and entrepreneurship: The learning science toward higher order abilities. Front. Psychol. 2022, 13, 1063370. [Google Scholar] [CrossRef] [PubMed]
- Ojeda, A.D.; Solano-Barliza, A.D.; Ortega, D.D.; Cañavera, A.M. Análisis cuantitativo de un proceso de enseñanza soportado en una estrategia pedagógica de gamificación. Form. Univ. 2022, 15, 83–92. [Google Scholar] [CrossRef]
- Vargas, J.D.; Arregocés, I.C.; Solano, A.D.; Peña, K.K. Aprendizaje basado en proyectos soportado en un diseño tecno-pedagógico para la enseñanza de la estadística descriptiva. Form. Univ. 2021, 14, 77–86. [Google Scholar] [CrossRef]
- Solano, A.D.; Aarón, M.A. Enseñanza en ingeniería de manera colaborativa a partir de un diseño tecnopedagógico, usando SMILE. Form. Univ. 2020, 13, 201–210. [Google Scholar] [CrossRef]
- López-Núñez, M.I.; Rubio-Valdehita, S.; Díaz-Ramiro, E.M. The role of individual variables as antecedents of entrepreneurship processes: Emotional intelligence and self-efficacy. Front. Psychol. 2022, 13, 978313. [Google Scholar] [CrossRef]
- Thuy, D.T.T.; Viet, T.Q.; Van Phuc, V.; Pham, T.-H.; Lan, N.T.N.; Ho, H. Impact of Leadership Behavior on Entrepreneurship in State-Owned Enterprises: Evidence from Civil Servant Management Aimed at Improving Accountability. Economies 2022, 10, 245. [Google Scholar] [CrossRef]
- Weng, X.; Chiu, T.K.; Tsang, C.C. Promoting student creativity and entrepreneurship through real-world problem-based maker education. Think. Ski. Creat. 2022, 45, 101046. [Google Scholar] [CrossRef]
- Seckler, C.; Mauer, R.; Brocke, J.V. Design science in entrepreneurship: Conceptual foundations and guiding principles. J. Bus. Ventur. Des. 2021, 1, 100004. [Google Scholar] [CrossRef]
- Chou, D.C. Applying design thinking method to social entrepreneurship project. Comput. Stand. Interfaces 2018, 55, 1339–1351. [Google Scholar] [CrossRef]
- Dmytryshyn, M.; Goran, T. Proposal of an Effective Time Management System. Management 2022, 27, 283–298. [Google Scholar] [CrossRef]
- Zhiguo, L.; Yumei, W.; Shaoqin, L.; Beibei, L. The Efficiency Evaluation Study of “Creative Space” for Promoting the Development of Youth Innovation and Entrepreneurship Projects. In Proceedings of the 31st Chinese Control and Decision Conference (CCDC), Nanchang, China, 3–5 June 2019; pp. 3797–3802. [Google Scholar] [CrossRef]
- Brixiová, Z.; Ncube, M.; Bicaba, Z. Skills and Youth Entrepreneurship in Africa: Analysis with Evidence from Swaziland. World Dev. 2015, 67, 11–26. [Google Scholar] [CrossRef]
- Campo-Ternera, L.; Amar-Sepúlveda, P.; Olivero-Vega, E. Interaction of potential and effective entrepreneurial capabilities in adolescents: Modeling youth entrepreneurship structure using structural equation modeling. J. Innov. Entrep. 2022, 11, 13. [Google Scholar] [CrossRef]
- Kaminskiene, L.; Horlenko, K.; Chu, L.Y. Applying Eye-Tracking Technology in the Field of Entrepreneurship Education. FGF Studies in Small Business and Entrepreneurship. In Artificiality and Sustainability in Entrepreneurship; Springer: Cham, Switzerland, 2023; pp. 163–187. [Google Scholar] [CrossRef]
- Laouiti, R.; Haddoud, M.Y.; Nakara, W.A.; Onjewu, A.-K.E. A gender-based approach to the influence of personality traits on entrepreneurial intention. J. Bus. Res. 2022, 142, 819–829. [Google Scholar] [CrossRef]
- Oladipo, O.; Platt, K.; Shim, H.S. Female entrepreneurs managing from home. Small Bus. Econ. 2023, 1–18. [Google Scholar] [CrossRef]
- Avnimelech, G.; Rechter, E. How and why accelerators enhance female entrepreneurship. Res. Policy 2023, 52, 104669. [Google Scholar] [CrossRef]
- Georgieva, S. Women’s entrepreneurship—Segmentation and management dimensions. Pol. J. Manag. Stud. 2022, 26, 144–161. [Google Scholar] [CrossRef]
- Kille, T.; Wiesner, R.; Lee, S.Y.; Johnson Morgan, M.; Summers, J.; Davoodian, D. Capital Factors Influencing Rural, Regional and Remote Women’s Entrepreneurship Development: An Australian Perspective. Sustainability 2022, 14, 16442. [Google Scholar] [CrossRef]
- Manzanera-Román, S.; Brändle, G. Abilities and skills as factors explaining the differences in women entrepreneurship. Suma Neg. 2016, 7, 38–46. [Google Scholar] [CrossRef]
- Gieure, C.; del Mar Benavides-Espinosa, M.; Roig-Dobón, S. The entrepreneurial process: The link between intentions and behavior. J. Bus. Res. 2020, 112, 541–548. [Google Scholar] [CrossRef]



| Reference | Characteristics |
|---|---|
| [34] | Risk-taking, tenacity, innovation, creativity, self-efficacy, industry knowledge, desire for money, optimism |
| [35] | Risk-taking, independence, leadership, knowledge of the industry, desire for money, hard work, integrity, teamwork |
| [36] | Independence, tenacity, self-efficacy, determination |
| [37] | Tenacity, innovation, self-efficacy, industry knowledge, ability to plan, passion, continuous learning, integrity, tolerance of frustration |
| Social Strata Colombia | Percentage |
|---|---|
| 1 and 2 | 47.3% |
| 3 and 4 | 45.7% |
| 5 and 6 | 7% |
| Observational Variables | Constructs |
|---|---|
| Age | How old are you? |
| Commune | In which commune or corregimiento do you live? |
| Stratum | Stratum |
| Gender | What is your gender? |
| Population Group | Do you belong to any of the following population groups? |
| Educational level | What is the level of education you have achieved so far? |
| Income | I decided to become an entrepreneur because: (I needed to find an alternative way to generate income and support myself). |
| Livelihood | I decided to become an entrepreneur because: (I needed to find an alternative for income generation and livelihood for my family). |
| Talent | I decided to become an entrepreneur because: (I discovered a talent/skill in me that I could capitalise on through entrepreneurship). |
| Problem | I decided to become an entrepreneur because: (I identified a need/problem in my community to which I could provide an answer through my entrepreneurship). |
| Passion | I decided to become an entrepreneur because: (I am passionate about finding business opportunities and generating income from this activity). |
| Research | I decided to become an entrepreneur because: (My project was born as part of a process of research and academic training). |
| Learning | With 0 being the lowest performance and 7 being the highest performance level. (Active and strategic learning). |
| Creativity | With 0 being the lowest performance and 7 being the highest performance level. (Creativity, originality, and initiative). |
| High Thinking | With 0 being the lowest performance and 7 being the highest performance level. (Critical thinking). |
| Problem Solving | With 0 being the lowest performance and 7 being the highest performance level. (Problem Solving). |
| Leadership | With 0 being the lowest performance and 7 being the highest performance level. (Leadership) |
| Time Management | With 0 being the lowest performance and 7 being the highest performance level. (Time management and coordination). |
| Emotional Intelligence | With 0 being the lowest performance and 7 being the highest performance level. (Emotional intelligence). |
| Technological Design | With 0 being the lowest performance and 7 being the highest performance level. (Technological design and programming). |
| Manual Skills | With 0 being the lowest performance and 7 being the highest performance level. (Manual dexterity, endurance, and precision). |
| Management in Finance | With 0 being the lowest performance and 7 being the highest performance level. (Management of finances). |
| Analytical Thinking | With 0 being the lowest performance and 7 being the highest performance level. (Analytical thinking] |
| Visual Skills | With 0 being the lowest performance and 7 being the highest performance level. (Visual and discursive skills). |
| Starting Year | Year of starting activity |
| First Entrepreneurship | Is this your first time as an entrepreneur? |
| # | Column | Non-Null Count | Dtype |
|---|---|---|---|
| 0 | Age | 632 | Int64 |
| 1 | Gender | 632 | object |
| 2 | Income | 632 | Int64 |
| 3 | Livelihood | 632 | Int64 |
| 4 | Talent | 632 | Int64 |
| 5 | Problem | 632 | Int64 |
| 6 | Passion | 632 | Int64 |
| 7 | Investigative | 632 | Int64 |
| 8 | Active_Learning | 632 | Int64 |
| 9 | Creativity_Originality | 632 | Int64 |
| 10 | High Thinking | 632 | Int64 |
| 11 | Problem Solving | 632 | Int64 |
| 12 | Leadership | 632 | Int64 |
| 13 | Time Management | 632 | Int64 |
| 14 | Emotional Intelligence | 632 | Int64 |
| 15 | Technological Design | 632 | Int64 |
| 16 | Manual Skills | 632 | Int64 |
| 17 | Financial Management | 632 | Int64 |
| 18 | Analytical Thinking | 632 | Int64 |
| 19 | Visual Skills | 632 | Int64 |
| Cluster | Gender | Age | Motivation for Entrepreneurship | Skills |
|---|---|---|---|---|
| Cluster 1 | Men Women | (14–17) | Livelihood Passion | Creativity High Thinking Emotional Intelligence Manual Skills Visual Skills |
| Cluster 2 | Men Women | (17–20) | Problematic Talent Livelihood Income Passion | Visual Skills Analytical Thinking Financial Management High Thinking Leadership Investigative Problem Solving Creativity Visual Skills Time Management Learning |
| Cluster 3 | Men Women | (20–23) | Research Issues Passion | Visual Skills Analytical Thinking Financial Management High Thinking Leadership Investigative Problem Solving Leadership Time Management Learning Technology Design Learning |
| Cluster 4 | Men Women | (23–26) | Problematic Support Income | Financial Management High Thinking Leadership Investigative Problem Solving Creativity Learning |
| Cluster 5 | Men Women | (26–29) | Problematic Support Income | Financial Management High Thinking Leadership Investigative Problem Solving Leadership Time Management Learning |
| Clusters | Silhouette Coefficient Value |
|---|---|
| Cluster 1 | 0.45833333 |
| Cluster 2 | 0.5 |
| Cluster 3 | 0.05484746 |
| Cluster 4 | 0.05779661 |
| Cluster 5 | 0.66666667 |
Disclaimer/Publisher’s Note: The statements, opinions and data contained in all publications are solely those of the individual author(s) and contributor(s) and not of MDPI and/or the editor(s). MDPI and/or the editor(s) disclaim responsibility for any injury to people or property resulting from any ideas, methods, instructions or products referred to in the content. |
© 2023 by the authors. Licensee MDPI, Basel, Switzerland. This article is an open access article distributed under the terms and conditions of the Creative Commons Attribution (CC BY) license (https://creativecommons.org/licenses/by/4.0/).
Share and Cite
Ojeda-Beltrán, A.; Solano-Barliza, A.; Arrubla-Hoyos, W.; Ortega, D.D.; Cama-Pinto, D.; Holgado-Terriza, J.A.; Damas, M.; Toscano-Vanegas, G.; Cama-Pinto, A. Characterisation of Youth Entrepreneurship in Medellín-Colombia Using Machine Learning. Sustainability 2023, 15, 10297. https://doi.org/10.3390/su151310297
Ojeda-Beltrán A, Solano-Barliza A, Arrubla-Hoyos W, Ortega DD, Cama-Pinto D, Holgado-Terriza JA, Damas M, Toscano-Vanegas G, Cama-Pinto A. Characterisation of Youth Entrepreneurship in Medellín-Colombia Using Machine Learning. Sustainability. 2023; 15(13):10297. https://doi.org/10.3390/su151310297
Chicago/Turabian StyleOjeda-Beltrán, Adelaida, Andrés Solano-Barliza, Wilson Arrubla-Hoyos, Danny Daniel Ortega, Dora Cama-Pinto, Juan Antonio Holgado-Terriza, Miguel Damas, Gilberto Toscano-Vanegas, and Alejandro Cama-Pinto. 2023. "Characterisation of Youth Entrepreneurship in Medellín-Colombia Using Machine Learning" Sustainability 15, no. 13: 10297. https://doi.org/10.3390/su151310297
APA StyleOjeda-Beltrán, A., Solano-Barliza, A., Arrubla-Hoyos, W., Ortega, D. D., Cama-Pinto, D., Holgado-Terriza, J. A., Damas, M., Toscano-Vanegas, G., & Cama-Pinto, A. (2023). Characterisation of Youth Entrepreneurship in Medellín-Colombia Using Machine Learning. Sustainability, 15(13), 10297. https://doi.org/10.3390/su151310297

