The Evolution of the Collaborative Environmental Governance Network in Guizhou Province, China
Abstract
1. Introduction
2. Materials and Methods
2.1. Social Network Analysis
2.2. Data Acquisition and Processing
2.3. Phasing
3. Results and Discussion
3.1. The Evolution of the Collaborative Environment Governance Network
3.1.1. Collaborative Network Characteristics and Evolution
3.1.2. Phase Characteristics and Network Evolution Analysis
3.2. The Evolution of Implementers’ Roles
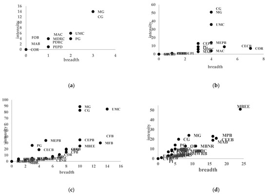
3.2.1. Analysis of the Role Evolution of Implementers Based on Collaboration Breadth and Intensity
3.2.2. Analysis of Function Evolution of Core Implementer Based on the Network Stability
4. Conclusions
5. Countermeasures and Suggestions
Author Contributions
Funding
Institutional Review Board Statement
Informed Consent Statement
Data Availability Statement
Conflicts of Interest
References
- Gao, X.; Liao, C.; Qi, X.; Zhang, Y. A Scenario Simulation of Material Substitution in the Cement Industry under the Carbon Neutral Strategy: A Case Study of Guangdong. Sustainability 2023, 15, 5736. [Google Scholar] [CrossRef]
- Liu, S.; Tian, X.; Xiong, Y.; Zhang, Y.; Tanikawa, H. Challenges towards carbon dioxide emissions peak under in-depth socioeconomic transition in China: Insights from Shanghai. J. Clean. Prod. 2020, 247, 119083. [Google Scholar] [CrossRef]
- Xiong, D.; Yuan, D.; Zhao, J.; Xue, S. The path choice of ecological environmental protection in less-developed areas: The case of guizhou Province. Environ. Prot. 2016, 44, 35–40. [Google Scholar] [CrossRef]
- Andrews, N.; Bennett, N.; Billon, P.; Green, S.; Cisneros-Montemayor, A.; Amongin, S.; Gray, N.; Sumaila, U. Oil, fisheries and coastal communities: A review of impacts on the environment, livelihoods, space and governance. Energy Res. Soc. Sci. 2021, 75, 102009. [Google Scholar] [CrossRef]
- Zhou, W. Multi subject collaborative governance of ecological environment protection and restoration—A case study of qilian mountain. Gansu Soc. Sci. 2018, 2, 250–255. [Google Scholar] [CrossRef]
- He, S. A study on the coordination mechanism and policy system of environmental governance and green development in the yangtze river economic belt. Contemp. Econ. Manag. 2019, 41, 57–63. [Google Scholar] [CrossRef]
- Sarker, P.; Rahman, M.; Giessen, L. Regional governance by the South Asia Cooperative Environment Program (SACEP)? Institutional design and customizable regime policy offering flexible political options. Land Use Policy 2018, 77, 454–470. [Google Scholar] [CrossRef]
- Yi, Y.; Yi, L.; Hong, H.; Li, Y. Environment, governance, controls, and radical innovation during institutional transitions. Asia Pac. J. Manag. 2012, 29, 689–708. [Google Scholar] [CrossRef]
- Gerling, C.; Wätzold, F.; Theesfeld, I.; Drechsler, M.; Nixdorf, B.; Isselstein, J.; Pirscher, F.; Rücker, J.; Sturm, A. Modeling the co-evolution of natural, economic and governance subsystems in integrated agri-ecological systems: Perspectives and challenges. Ecol. Complex. 2019, 40, 100792. [Google Scholar] [CrossRef]
- Yu, M.; Zou, F. Stimulating social vitality: The construction of an activist network in the coordinated governance of water environment in the yangtze river delta. Jiangsu Soc. Sci. 2021, 1, 43–51,242. [Google Scholar] [CrossRef]
- Rosenschöld, J.; Vihma, P. Achieving social-ecological fit in projectified environmental governance: Exploring vertical and horizontal dimensions. Environ. Sci. Policy 2022, 136, 127–135. [Google Scholar] [CrossRef]
- Huber, J.; Newig, J.; Loos, J. Participation in protected area governance: A systematic case survey of the evidence on ecological and social outcomes. J. Environ. Manag. 2023, 336, 117593. [Google Scholar] [CrossRef]
- Tanner, C.; Howard-Williams, C.; Tomer, M.; Lowrance, R. Bringing together science and policy to protect and enhance wetland ecosystem services in agricultural landscapes. Ecol. Eng. 2013, 56, 1–4. [Google Scholar] [CrossRef]
- Wang, Z.; Zhou, L. The collaborative of regional Environment Governance of Beijing-Tianjin-Hebei—From the institutional Perspective. Res. Econ. Manag. 2015, 36, 68–75. [Google Scholar] [CrossRef]
- Wang, L.; Gong, B. Coordinated governance of ecological space in beijing-tianjin-hebei region. J. Tianjin Adm. Inst. 2018, 20, 38–44. [Google Scholar] [CrossRef]
- Jones, J.; White, D. A social network analysis of collaborative governance for the food-energy-water nexus in Phoenix, AZ, USA. J. Environ. Stud. Sci. 2021, 11, 671–681. [Google Scholar] [CrossRef]
- Blythe, J.; Cohen, P.; Eriksson, H.; Harohau, D. Do governance networks build collaborative capacity for sustainable development? Insights from Solomon Islands. Environ. Manag. 2022, 70, 229–240. [Google Scholar] [CrossRef]
- Zuluaga-Guerra, P.; Martinez-Fernandez, J.; Esteve-Selma, M.; Dell’Angelo, J. A socio-ecological model of the Segura River basin, Spain. Ecol. Model. 2023, 478, 110284. [Google Scholar] [CrossRef]
- Partelow, S.; Schlüter, A.; Armitage, D.; Bavinck, M.; Assche, K. Environmental governance theories: A review and application to coastal systems. Ecol. Soc. 2020, 25, 19. [Google Scholar] [CrossRef]
- Kapetas, L.; Kazakis, N.; Voudouris, K.; McNicholl, D. Water allocation and governance in multi-stakeholder environments: Insight from Axios Delta, Greece. Sci. Total Environ. 2019, 695, 133831. [Google Scholar] [CrossRef]
- Ogunkan, D. Achieving sustainable environmental governance in Nigeria: A review for policy consideration. Urban Gov. 2022, 2, 212–220. [Google Scholar] [CrossRef]
- Farr, C.; Reed, S.; Pejchar, L. Social network analysis identifies key participants in conservation development. Environ. Manag. 2018, 61, 732–740. [Google Scholar] [CrossRef]
- Carattini, S.; Fankhauser, S.; Gao, J.; Gennaioli, C.; Panzarasa, P. What does network analysis teach us about international environmental cooperation? Ecol. Econ. 2023, 205, 107670. [Google Scholar] [CrossRef]
- Yang, L.; Hang, T. Establishment and comprehensive measurement of the evaluation model for the effect of eco-environment coordinated governance in the metropolitan area under the framework of DPSIR- Empirical evidence from Suzhou Wuxi Changzhou metropolitan area. Acad. Forum 2019, 42, 41–53. [Google Scholar]
- Wei, Z.; Wu, D. An analysis of the mechanism of legalization of ecological management in ethnic areas: On the relationship among nation, nature and government. Guizhou Ethn. Stud. 2021, 42, 33–39. [Google Scholar] [CrossRef]
- Chen, Q.; Lu, S.; Xiong, K.; Zhao, R. Coupling analysis on ecological environment fragility and poverty in South China Karst. Environ. Res. 2021, 201, 111650. [Google Scholar] [CrossRef]
- Wu, L.; Ma, T.; Bian, Y.; Li, S.; Yi, Z. Improvement of regional environmental quality: Government environmental governance and public participation. Sci. Total Environ. 2020, 717, 137265. [Google Scholar] [CrossRef]
- Sun, H.; Wang, H.; Xiao, H.; Xin, L. Environmental collaborative governance effect of heterogeneous responsible subjects. Resour. Sci. 2022, 44, 15–31. [Google Scholar] [CrossRef]
- Li, P.; Chen, T.; Deng, W.; Liu, Y. Exploring ecosystem services trade-offs using the Bayesian belief network model for ecological restoration decision-making: A case study in Guizhou Province, China. Ecol. Indic. 2022, 135, 108569. [Google Scholar] [CrossRef]
- Dai, L.; Wang, Z. Construction and optimization strategy of ecological security pattern based on ecosystem services and landscape connectivity: A case study of Guizhou Province, China. Environ. Sci. Pollut. Res. 2023, 30, 45123–45139. [Google Scholar] [CrossRef]
- Sun, M.; Li, X.; Yang, R.; Zhang, Y.; Zhang, L.; Song, Z.; Liu, Q.; Zhao, D. Comprehensive partitions and different strategies based on ecological security and economic development in Guizhou Province, China. J. Clean. Prod. 2020, 274, 122794. [Google Scholar] [CrossRef]
- Salomon, A.; Quinlan, A.; Pang, G.; Okamoto, D.; Vazquez-Vera, L. Measuring social-ecological resilience reveals opportunities for transforming environmental governance. Ecol. Soc. 2019, 24, 16. [Google Scholar] [CrossRef]
- Otte, E.; Rousseau, R. Social network analysis: A powerful strategy, also for the information sciences. J. Inf. Sci. 2002, 28, 441–453. [Google Scholar] [CrossRef]
- Davis, P. The Group Dynamics of Interorganizational Relationships: Collaborating with Multiple Partners in Innovation Ecosystems. Soc. Sci. Electron. Publ. 2016, 61, 621–661. [Google Scholar] [CrossRef]
- Butts, T. Social network analysis: A methodological introduction. Asian J. Soc. Psychol. 2010, 11, 13–41. [Google Scholar] [CrossRef]



| Time | Important Policy Document | Phase |
|---|---|---|
| 2005 | Notice of the General Office of the People’s Government of Guizhou Province on Establishing the Provincial Joint Conference System for Environmental Protection | Start-up phase (2005–2009) |
| 2010 | Detailed Standards for Discretionary Power of Administrative Penalties for Environmental Protection in Guizhou Province (Provisional) | Strengthening phase (2010–2015) |
| 2016 | Environmental Quality Consultation System of the Department of Environmental Protection of Guizhou (Trial) | Transition phase (2016–2019) |
| 2020 | Implementation Opinions of Guizhou Province on Building a Modern Environmental Governance System | Systemization phase (2020–) |
| Index | 2005–2009 | 2010–2015 | 2016–2019 | 2020– |
|---|---|---|---|---|
| Sample size | 21 | 75 | 104 | 46 |
| Network size | 11 | 19 | 38 | 44 |
| Number of network relationships | 7 | 23 | 97 | 140 |
| Connection frequency | 24 | 104 | 300 | 206 |
| Cohesion index | 0.436 | 0.608 | 0.427 | 0.218 |
| 2005–2009 | 2010–2015 | |||||
| Core Implementer Excluded | Number of Network Relationships | Connection Frequency | Cohesion Index | Number of Network Relationships | Connection Frequency | Cohesion Index |
| MGs | −42.9% | −58.3% | −29.9% | −17.4% | −50.0% | −8.1% |
| CGs | −42.9% | −58.3% | −29.9% | −17.4% | −50.0% | −8.1% |
| UMCs | −28.6% | −25.0% | −12.6% | −17.4% | −34.6% | −8.1% |
| MBEEs | 0.0% | 0.0% | 0.0% | −4.3% | −0.9% | 6.7% |
| 2016–2019 | 2020– | |||||
| Core Implementer Excluded | Number of Network Relationships | Connection Frequency | Cohesion Index | Number of Network Relationships | Connection Frequency | Cohesion Index |
| MGs | −10.3% | −30.0% | −5.1% | −6.4% | −11.7% | −2% |
| CGs | −10.3% | −27.7% | −5.1% | −4.3% | −9.7% | 0.0% |
| UMCs | −14.4% | −28.3% | −9.4% | 0.0% | 0.0% | 0.0% |
| MBEEs | −10.3% | −8.3% | −5.1% | −20.7% | −24.8% | −16.9% |
Disclaimer/Publisher’s Note: The statements, opinions and data contained in all publications are solely those of the individual author(s) and contributor(s) and not of MDPI and/or the editor(s). MDPI and/or the editor(s) disclaim responsibility for any injury to people or property resulting from any ideas, methods, instructions or products referred to in the content. |
© 2023 by the authors. Licensee MDPI, Basel, Switzerland. This article is an open access article distributed under the terms and conditions of the Creative Commons Attribution (CC BY) license (https://creativecommons.org/licenses/by/4.0/).
Share and Cite
Wang, Z.; Ma, Y.; Wang, S.; Luo, C.; Wang, Y. The Evolution of the Collaborative Environmental Governance Network in Guizhou Province, China. Sustainability 2023, 15, 10012. https://doi.org/10.3390/su151310012
Wang Z, Ma Y, Wang S, Luo C, Wang Y. The Evolution of the Collaborative Environmental Governance Network in Guizhou Province, China. Sustainability. 2023; 15(13):10012. https://doi.org/10.3390/su151310012
Chicago/Turabian StyleWang, Zhanjie, Yongfeng Ma, Shasha Wang, Chaoliang Luo, and Yongjian Wang. 2023. "The Evolution of the Collaborative Environmental Governance Network in Guizhou Province, China" Sustainability 15, no. 13: 10012. https://doi.org/10.3390/su151310012
APA StyleWang, Z., Ma, Y., Wang, S., Luo, C., & Wang, Y. (2023). The Evolution of the Collaborative Environmental Governance Network in Guizhou Province, China. Sustainability, 15(13), 10012. https://doi.org/10.3390/su151310012

