Influence of Borehole Casing on Received Signals in Downhole Method
Abstract
1. Introduction
2. Field Experiment Preparation and Experimental Model
2.1. Experimental Site and Test Apparatus
2.2. Experimental Models and Test Method
2.2.1. Experimental Models of Casing Borehole with Different Materials
2.2.2. Experimental Models with Different Contact States
3. Numerical Simulation of Wave Velocity Test with Casing Downhole Method
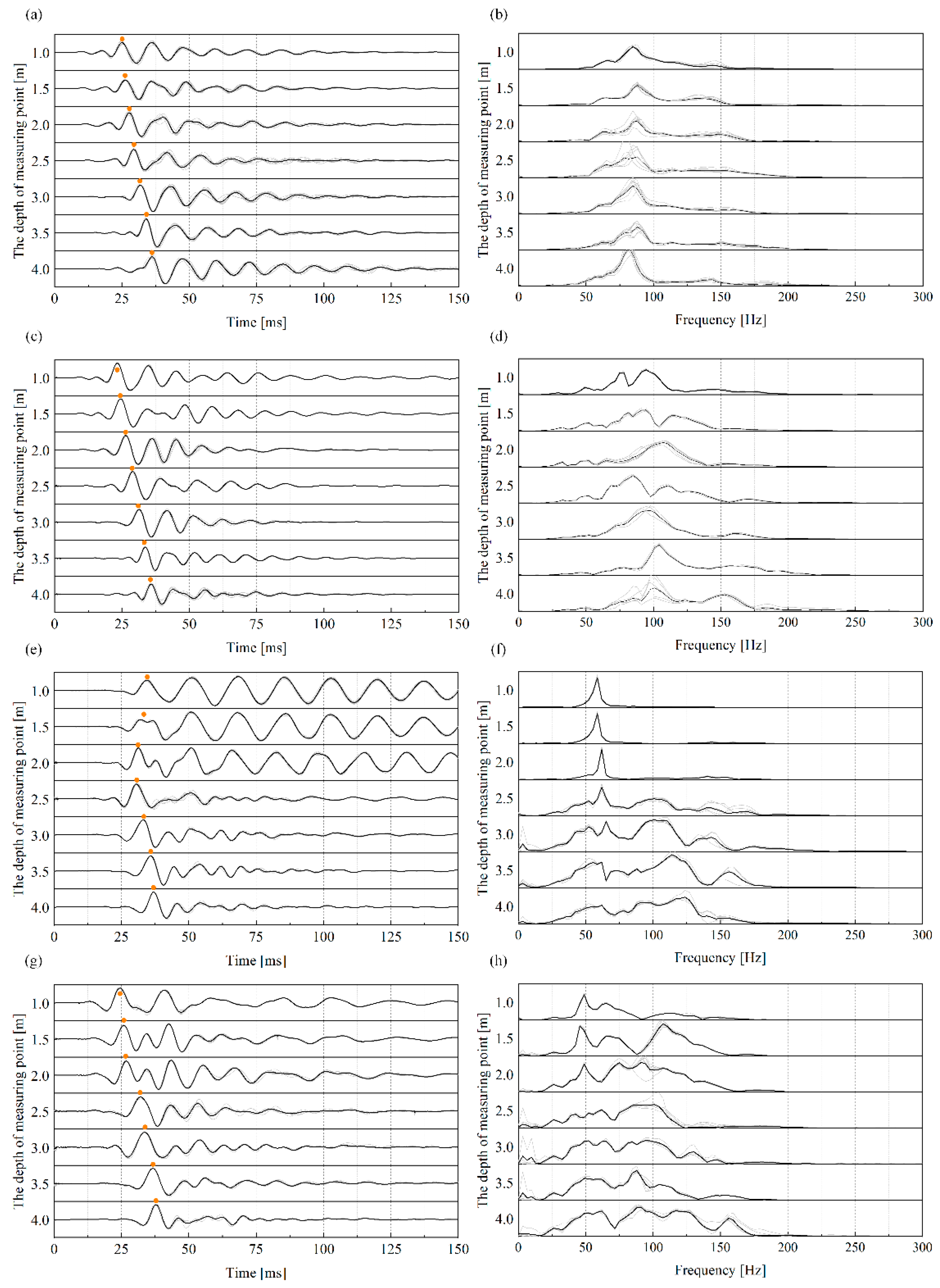
4. Results and Discussion
4.1. Effect of Cased Material
4.2. Effect of Contact State between Casing and Hole Wall
5. Conclusions
- (1)
- Under the condition of desirable contact between the casing and the borehole wall, both PVC cased borehole and steel cased borehole can receive good quality signals in the casing. There are no casing-induced components in the signal wave traces of the measurement point. Both the signal wave traces of different casing materials and the frequency band characteristics are similar. However, due to the existence of the casing, the soil layer prone to collapse and the boundary between soil layers will more easily contribute to the abnormal signal recorded by the measurement points in the casing.
- (2)
- On account of characteristics such as the change in arrival time, the slowdown in wave attenuation, and the narrowing of the main frequency, significant errors in the calculation of shear wave speed will arise. It should be noted that when the dehollowing occurs in a certain area of the casing it will be more complex to identify based on the signals recorded at the dehollowing area, and the shear wave speed calculation error is relatively significant at this time. While dehollowing, the greater the stiffness of the casing material, the greater the impact on the signal of the measurement point.
- (3)
- Fluid injection between the casing and the hole wall can eliminate to a greater extent the error caused by the free casing, but at this time the measurement point signal still contains interference components generated by the casing. However, the calculated shear wave velocity error is within the acceptable range of engineering.
- (4)
- Compared with the presence of casing, the contact state between the casing and the hole wall in the wave velocity test with the casing downhole method has a greater impact on the signal of the measurement point. With a view to acquire better signal of measuring points and eliminate the error of calculating wave velocity, it is an effective approach to, after drilling holes, fill the space between the hole wall and the casing with materials, such as grout and pebble sand.
- (5)
- Two improvements can be made for the further study. One is to apply artificially built site models to accurately control the depth and characteristics of different layers of soil, and better comprehend the impact produced by soil layer differences. The other is to establish a more refined numerical simulation model to simulate the effects of unsaturated soil and the presence of groundwater, as a means to better simulate the actual situations.
Author Contributions
Funding
Institutional Review Board Statement
Informed Consent Statement
Data Availability Statement
Conflicts of Interest
References
- Wang, H.Y.; Jiang, W.P. In-situ shear-strain profile assessment in geotechnical array with ground motion data. Soil Dyn. Earthq. Eng. 2023, 165, 107667. [Google Scholar] [CrossRef]
- Ansary, M.A.; Tasmiah, A.; Al Noman, M.A. Development of empirical correlations between shear wave velocity and in situ penetration test results for different types of soils in DMDP area, Bangladesh. Arab. J. Geosci. 2023, 16, 280. [Google Scholar] [CrossRef]
- Chandrasekaran, S.; Santibanez, F.; Tripathi, B.B.; DeRuiter, R.; Bruegge, R.V.; Pinton, G. In situ ultrasound imaging of shear shock waves in the porcine brain. J. Biomech. 2022, 134, 110913. [Google Scholar] [CrossRef] [PubMed]
- Thornley, J.; Dutta, U.; Fahringer, P.; Yang, Z.J. In situ shear-wave velocity measurements at the Delaney Park downhole array, Anchorage, Alaska. Seismol. Res. Lett. 2019, 90, 395–400. [Google Scholar] [CrossRef]
- Mital, U.; Kawamoto, R.; Andrade, J.E. Effect of fabric on shear wave velocity in granular soils. Acta Geotech. 2020, 15, 1189–1203. [Google Scholar] [CrossRef]
- Campanella, R.G.; Stewart, W.P. Seismic cone analysis using digital signal processing for dynamic site characterization. Can. Geotech. J. 1992, 29, 477–486. [Google Scholar] [CrossRef]
- Seylabi, E.; Hallal, M.M.; Cox, B.R. Site characterization at Treasure Island and Delaney Park downhole arrays by heterogeneous data assimilation. Earthq. Spectra 2022, 38, 2398–2421. [Google Scholar] [CrossRef]
- Sahadewa, A.; Zekkos, D.; Stokoe, K.H.; Woods, R.D. Field Testing Method for Evaluating the Small-Strain Shear Modulus and Shear Modulus Nonlinearity of Solid Waste. Geotech. Test. J. 2015, 38, 427–441. [Google Scholar] [CrossRef]
- Di Fiore, V.; Cavuoto, G.; Tarallo, D.; Punzo, M.; Evangelista, L. Multichannel Analysis of Surface Waves and Down-Hole Tests in the Archeological “Palatine Hill” Area (Rome, Italy): Evaluation and Influence of 2D Effects on the Shear Wave Velocity. Surv. Geophys. 2016, 37, 625–642. [Google Scholar] [CrossRef]
- Sully, J.P.; Campanella, R.G. Evaluation of in situ anisotropy from crosshole and downhole shear wave velocity measurements. Geotechnique 1995, 45, 267–282. [Google Scholar] [CrossRef]
- Hou, X.; Yang, X.; Liao, Z.; Bo, J. An optimized approach for single-hole method of shear wave velocity measurement based on correlation functions. Rock Soil Mech. 2006, 2006, 1161–1165. (In Chinese) [Google Scholar]
- Akram, J.; Eaton, D.W. A review and appraisal of arrival-time picking methods for downhole microseismic data. Geophysics 2016, 81, KS71–KS91. [Google Scholar] [CrossRef]
- Kim, D.S.; Bang, E.S.; Kim, W.C. Evaluation of various downhole data reduction methods for obtaining reliable Vs profiles. Geotech. Test. J. 2004, 27, 585–597. [Google Scholar]
- Beeston, H.E.; McEvilly, T.V. Shear wave velocities from down-hole measurements. Earthq. Eng. Struct. Dyn. 1977, 5, 181–190. [Google Scholar] [CrossRef]
- Hoar, R.J.; Stokoe, K.H. Generation and Measurement of Shear Waves In Situ/Dynamic Geotechnical Testing; ASTM International: West Conshohocken, PN, USA, 1978. [Google Scholar]
- Hunter, J.A.; Benjumea, B.; Harris, J.B.; Miller, R.D.; Pullan, S.E.; Burns, R.A.; Good, R.L. Surface and downhole shear wave seismic methods for thick soil site investigations. Soil Dyn. Earthq. Eng. 2002, 22, 931–941. [Google Scholar] [CrossRef]
- Larkin, T.J.; Taylor, P.W. Comparison of down-hole and laboratory shear wave velocities. Can. Geotech. J. 1979, 16, 152–162. [Google Scholar] [CrossRef]
- Crice, D. Borehole Shear-Wave Surveys for Engineering Site Investigations. Geostuff. 2002. Available online: www.georadar.com/geostuff (accessed on 10 May 2021).
- Chen, J.; Liu, L.; Zeng, B.; Tao, K.; Zhang, C.; Zhao, H.; Li, D.; Zhang, J. A Constitutive Model to Reveal the Anchorage Mechanism of Fully Bonded Bolts. Rock Mech. Rock Eng. 2023, 56, 1739–1757. [Google Scholar] [CrossRef]
- Deng, M. Study on the Geometry Distribution and Paleoearthquake of the Xiadian Buried Fault in the Area of Beijing Plain; Institute of Disaster Prevention: Langfang, China, 2018. (In Chinese) [Google Scholar]
- Fei, K. Application of ABAQUS in Geotechnical Engineering; China Water & Power Press: Beijing, China, 2010. (In Chinese) [Google Scholar]
- Abaqus Theory Manual; ABAQUS Inc.: Palo Alto, CA, USA, 2010.
- Ishihara, K. Soil Behaviour in Earthquake Geotechnics; Oxford University Press: Oxford, UK, 1996. [Google Scholar]
- Liao, Z. Introduction to Wave Motion Theories in Engineering; Science Press: Beijing, China, 1996. (In Chinese) [Google Scholar]
- Stewart, W.P.; Campanella, R.G. Practical aspects of in situ measurements of material damping with the seismic cone penetration test. Can. Geotech. J. 1993, 30, 211–219. [Google Scholar] [CrossRef]
- ASTM. Standard Test Methods for Downhole Seismic Testing; Annual book of ASTM standard; ASTM: West Conshohocken, PA, USA, 2007; Volume 4, p. D7400. [Google Scholar]












| Model | Simulation Conditions | Soil | Casing | Contact Mode | ||||
|---|---|---|---|---|---|---|---|---|
| Shear Wave Velocity m/s | Poisson’s Ratio | Density kg/m3 | Shear Wave Velocity m/s | Poisson’s Ratio | Density kg/m3 | |||
| Model 1 | Condition 1: free casing | 200 | 0.4 | 1700 | - | - | - | - |
| Condition 2: PVC casing | 200 | 0.4 | 1700 | 1000 | 0.3 | 1400 | common node | |
| Condition 3: steel casing | 200 | 0.4 | 1700 | 3000 | 0.3 | 7300 | common node | |
| Model 2 | Free casing in the depth range of 10 m | 200 | 0.4 | 1700 | 3000 | 0.3 | 7300 | first 10 m: common node post 10 m: free contact |
| Model 3 | Free casing in the depth range of 10–15 m | 200 | 0.4 | 1700 | 3000 | 0.3 | 7300 | 0–10 m: common node 10–15 m: free contact 15–20 m: common node |
| Model 4 | Surrounded by a soil layer with low dielectric wave velocity | 200/ 60 | 0.4/ 0.25 | 1700/ 1400 | 3000 | 0.3 | 7300 | Both contact surfaces are in common node mode |
Disclaimer/Publisher’s Note: The statements, opinions and data contained in all publications are solely those of the individual author(s) and contributor(s) and not of MDPI and/or the editor(s). MDPI and/or the editor(s) disclaim responsibility for any injury to people or property resulting from any ideas, methods, instructions or products referred to in the content. |
© 2023 by the authors. Licensee MDPI, Basel, Switzerland. This article is an open access article distributed under the terms and conditions of the Creative Commons Attribution (CC BY) license (https://creativecommons.org/licenses/by/4.0/).
Share and Cite
Yan, S.; Yu, Y.; Zheng, W.; Su, J.; Zhou, Z. Influence of Borehole Casing on Received Signals in Downhole Method. Sustainability 2023, 15, 9805. https://doi.org/10.3390/su15129805
Yan S, Yu Y, Zheng W, Su J, Zhou Z. Influence of Borehole Casing on Received Signals in Downhole Method. Sustainability. 2023; 15(12):9805. https://doi.org/10.3390/su15129805
Chicago/Turabian StyleYan, Shi, Yan Yu, Wenjun Zheng, Jie Su, and Zhenghua Zhou. 2023. "Influence of Borehole Casing on Received Signals in Downhole Method" Sustainability 15, no. 12: 9805. https://doi.org/10.3390/su15129805
APA StyleYan, S., Yu, Y., Zheng, W., Su, J., & Zhou, Z. (2023). Influence of Borehole Casing on Received Signals in Downhole Method. Sustainability, 15(12), 9805. https://doi.org/10.3390/su15129805
