A New Efficient Cuckoo Search MPPT Algorithm Based on a Super-Twisting Sliding Mode Controller for Partially Shaded Standalone Photovoltaic System
Abstract
1. Introduction
- (i)
- Introducing a new MPPT technique based on the combination of CS-MPPT with STSMC while benefiting from the advantages of both methods to ensure good performance in terms of high efficiency, high-speed convergence, and robustness.
- (ii)
- Highlighting the good performance of the proposed CS-STSMC-MPPT algorithm in terms of efficiency to extract the maximum power even under PSCs, convergence time, and power losses by comparing it with the CS-PID, CS, P&O, and PSO-MPPT methods. This is new in terms of using such algorithms.
- (iii)
- Highlighting the efficacy of the proposed CS-STSMC-MPPT algorithm to overcome the negative effect of partial shading by comparing its performance under different scenarios, which are zero, severe, and heavy shading conditions. The novelty here is the combination of the CS, and the STSMC methods.
- (iv)
- Highlighting the importance of the proposed CS-STSMC-MPPT algorithm through qualitative and quantitative comparison with other methods. Again, our contribution resides in combining both methods
2. Evaluation of MPPT Methods
3. Challenges of MPPT Algorithms
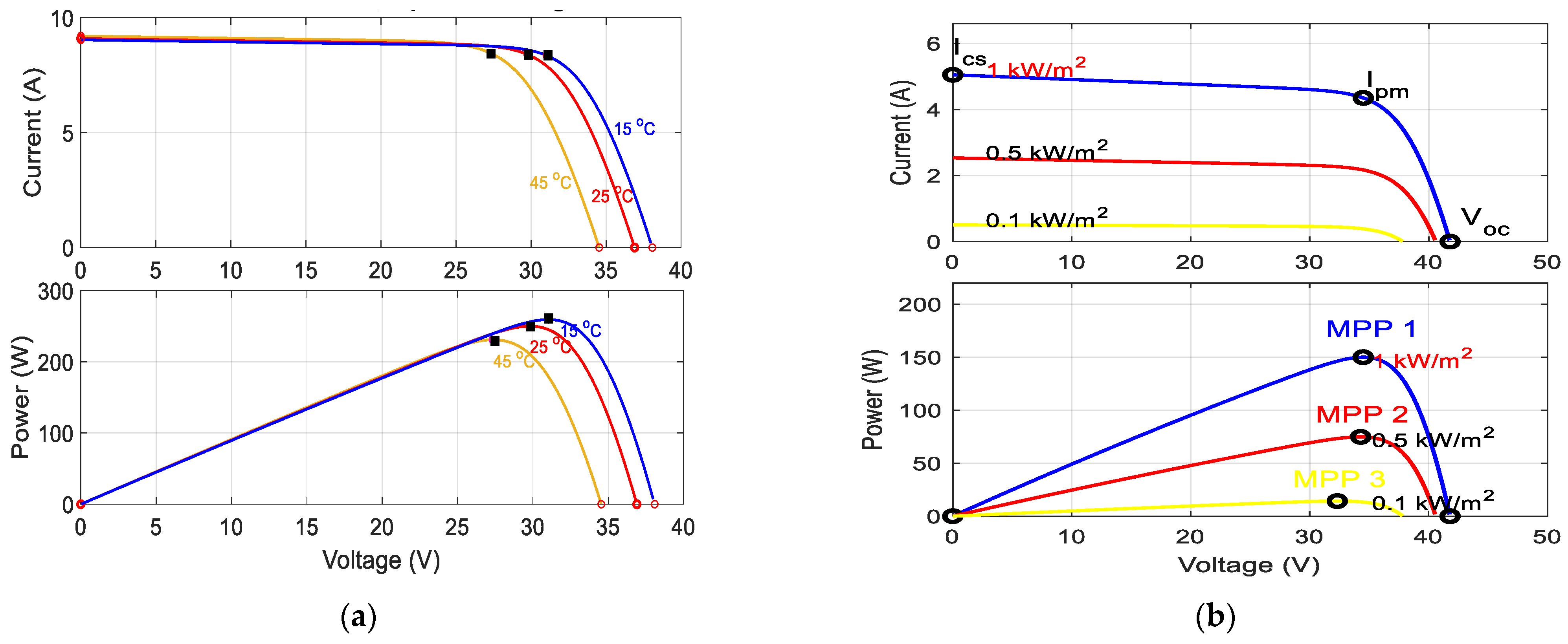
3.1. Nonlinearity of PV Characteristics
3.2. Ambient Condition Variation
- The amount of PV energy depends on the irradiation variation income for horizontal PV arrays.
- The changes in the PV array surface temperature (solar PV cell temperature) affect the amount of energy produced by the PV array.
3.3. Condition of System Working
3.4. Partial Shading Effect on PV Characteristics
- Scenario (1): It represents the scenario of uniform irradiation; the four PV modules are exposed to constant irradiation values: 1000 W/m2. This scenario represents a baseline to evaluate the performance of the proposed method under optimal irradiation conditions.
- Scenario (2): It is a weak shading case; the PV panels are exposed to two irradiance levels: 1000 W/m2 and 500 W/m2. This scenario represents a partial shading situation generating two distinct peaks in the power curve: a local peak and a global peak. The main objective of this scenario is to test the MPPT algorithm’s ability to avoid becoming stuck on the first local power peak and to correctly track the global power peak (GMPP).
- Scenario (3): It corresponds to severe shading where 1000 W/m2, 800 W/m2, 500 W/m2, and 200 W/m2 are the four different irradiation levels applied on the four PV modules. The aim of this scenario is to test the MPPT algorithm’s ability to correctly identify and track the GMPP among several local peaks.
4. PVS Modeling
4.1. PV Cell Modeling
4.2. Boost Converter Sizing and Modeling
4.2.1. Capacitor Cin Design
4.2.2. Output Filter Capacitor Design Cout
4.2.3. Inductance Design of Boost Converter
4.2.4. Equivalent Design of Load Resistance
5. MPPT Algorithms
5.1. P&O Algorithm
5.2. PSO-MPPT Algorithm
- Step 1: Initialization of PSO parameters: Each particle velocity and position are initialized randomly in a uniform distribution over the search space for this MPPT algorithm, where the fitness value evaluation function is the generated output power and the particle position is the converter duty cycle;
- Step2: Fitness evaluation: Following the controller transmission of the command of the duty cycle instruction, which denotes particle i, the fitness value is determined;
- Step3: Global and individual best data update: Using a comparison between the recently computed fitness values with the previous ones, individual and global best fitness values (Pibest and Gbest) and positions are updated. Moreover, Gbest and Pibest as well as their appropriate positions are replaced as needed.
- Step4: Updating each particle’s velocity and position: The position and velocity of each particle swarm are updated using Equations (15) and (16).
- Step5: Convergence evaluation: The convergence criteria are examined. If the latter is satisfied, then the process can be finished; else, the number of iterations will go up by 1 and the next step will be taken;
- Step6: Re-Initialization: In the conventional PSO method, the convergent criteria are either to find the best solution or to complete the iterations. The fitness value, however, varies with the load and weather in PV systems, so it is not constant. As a result, whenever the PV module output changes, PSO needs to be re-initialized and to search for a new MPP.
5.3. CS-MPPT Algorithm
5.3.1. Lévy Flight
5.3.2. CS-MPPT Algorithm
- Each cuckoo will only lay one egg during a single iteration, and it will be laid in a randomly chosen nest.
- Only the next generation may make use of the surrogate bird nests that produce the highest-quality eggs.
- The total surrogate nests’ cumulative values are preset, and only a cuckoo may lay the considered egg and a specific probability will be assigned if the surrogate bird is found.
5.4. Hybrid CS-MPPT Algorithm
5.5. Proposed CS-STSMC-MPPT Algorithm
- Selection and design of a sliding surface,
- Formulation of a control law that compels the system state trajectory to converge to a pre-specified surface within a finite timeframe,
- Sustainment in the vicinity of this surface by employing a suitable switching logic.
6. Simulation Results and Discussion
6.1. First Case (Case 1)
6.2. Second Case (Case 2)
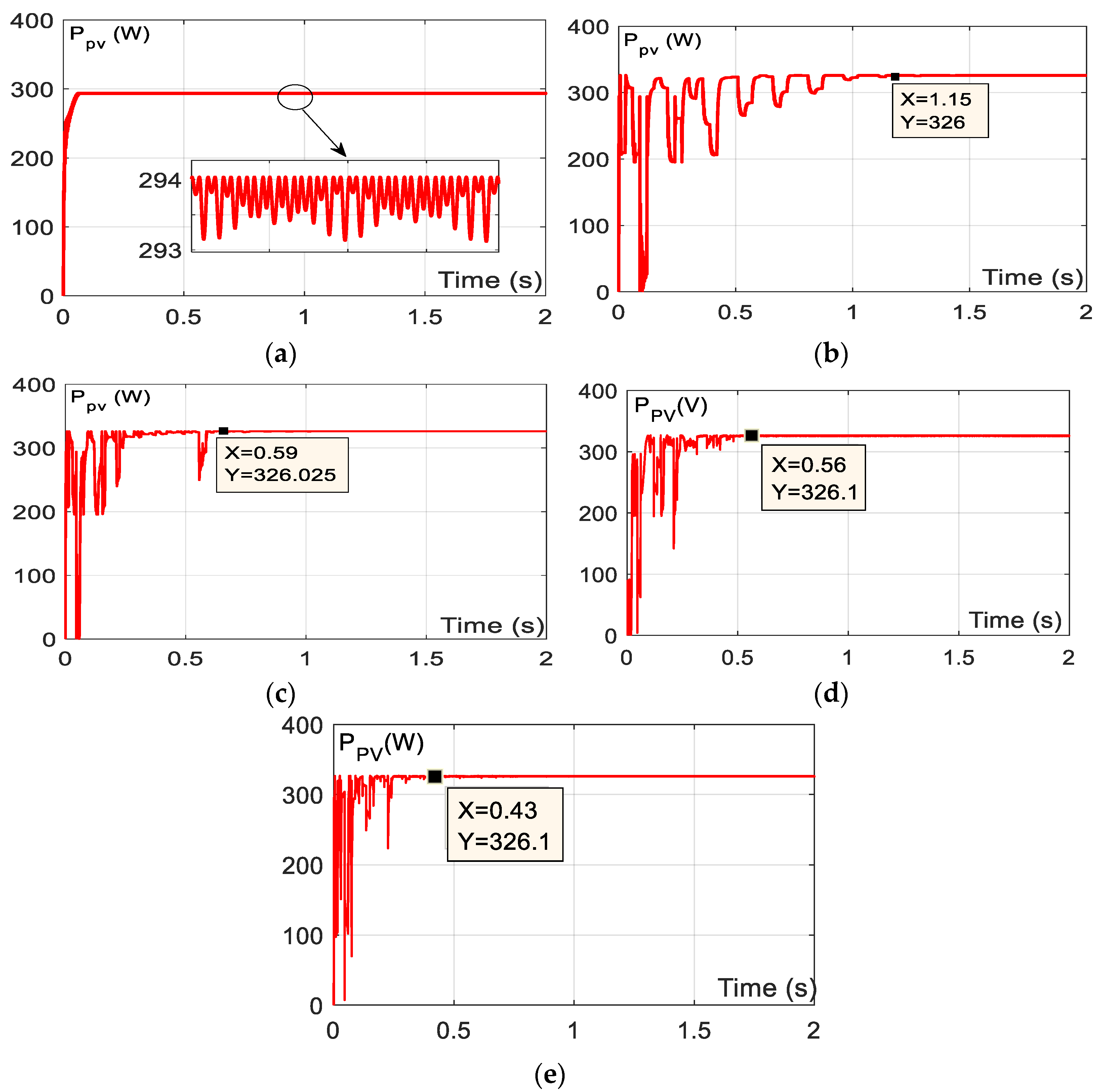
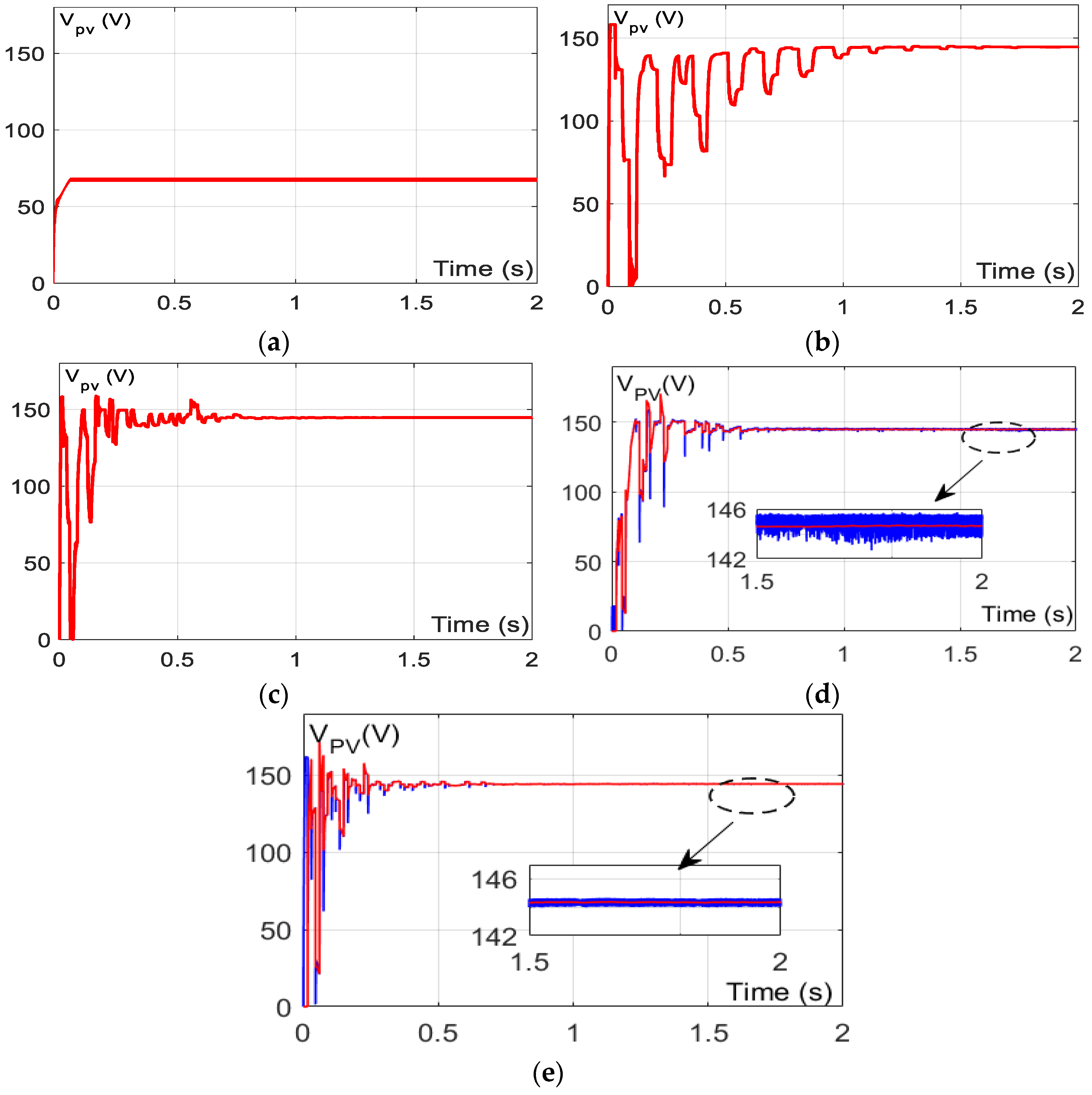
6.3. Third Case (Case 3)
6.4. Simulation Comparison
- In all PSCs, the GMPP is reached via the CS approach with a very high degree of efficiency. For all of the tested shading cases, 99.98%, 99.97%, and 82.54% are the efficiency average of the CS, PSO, and P&O MPPT algorithms, respectively, as depicted in Figure 19. On the other hand, CS-STSMC and CS-PID achieve 100% of efficiency for different shading scenarios and for any position of the GMPP. Thus, the CS-STSMC and CS-PID MPPT algorithms are more efficient than CS, PSO, and P&O MPPT for any weather condition.
- In the first case, which is zero shading, the CS-STSMC-MPPT algorithm reduces the convergence time by 35.7% and 67.8% compared to conventional CS and PSO, respectively. Compared well to the PID-CS MPPT, CS-STSMC-MPPT minimizes the time of convergence by 20.58% and reaches 21.24% and 6.46% in Case 2 and Case 3 which correspond to weak shading and severe shading, respectively. As a result, the CS-STSMC-MPPT algorithm reduces the convergence time by 16.1% on average in contrast to CS-PID.
- In every case of PSCs, the proposed CS-STSMC-MPPT algorithm always converges to the GMPP. Nevertheless, P&O is tricked into one of the local peaks. For the proposed CS-STSMC-MPPT algorithm, the ripples of the PV voltage decrease which leads to a reduction in the power oscillations, and thus a decrease in the power losses.
- The proposed CS-STSMC-MPPT algorithm reduces the ripples of Vpv around the Vref caused by the derivate parameter of PID so, power losses are reduced.
6.5. Qualitative Comparison
6.6. Quantitative Comparison
7. Conclusions and Futures Works
- The simulation results of this research study have proven the strong capacity of the proposed CS-STSMC-MPPT algorithm to effectively track the GMPP under different shading scenarios, which are zero shading, weak, and severe. The average efficiency of the three tested cases for the CS-STSMC-MPPT approach, which tracks the maximum power from the generator of the PVS, is 100%, compared to other algorithms. Additionally, in PSCs, the total power losses are significantly reduced by the proposed CS-STSMC-MPPT algorithm compared to the CS-PID-MPPT algorithm, because the proposed method decreases the ripples of the PV voltage, which leads to a significant reduction in power losses. In both weak and severe shading scenarios, P&O fails to track the GMPP, and it misleads to an LMPP by an incorrect convergence. Thus, under PSCs, the traditional P&O method fails to detect the GMPP. In contrast, the proposed CS-STSMC-MPPT algorithm reduces the average convergence time in comparison to other MPPT algorithms. CS-STSMC-MPPT reduces the convergence, time by 16.1% on average in contrast to CS-PID with low steady state oscillations while extracting the maximum amount of power hence decreasing power losses. Moreover, a qualitative and quantitative comparison of the proposed CS-STSMC-MPPT algorithm to other methods in the literature demonstrates the superiority of CS-STSMC-MPPT in terms of efficiency, convergence time, and power losses.
- Future research work may be about extending our focus from standalone PVS to grid-connected systems. This broadening of scope will allow us to evaluate our proposed method performance across a wider range of PVS configurations, enhancing its practical relevance Furthermore, the superiority of the proposed CS-STSMC-MPPT algorithm can be validated in an experimental hardware platform.
Author Contributions
Funding
Institutional Review Board Statement
Informed Consent Statement
Data Availability Statement
Conflicts of Interest
Nomenclature
| PVS | Photovoltaic system |
| MPP | Maximum power point |
| MPPT | Maximum power point tracking |
| GMPPT | Global maximum power point tracking |
| LMPPT | Local maximum power point tracking |
| PSC | Partial shading condition |
| SMC | Sliding Mode Control |
| STSMC | Super-Twisting Sliding Mode Control |
| FOSMC | First Order Sliding Mode Control |
| SOSMC | Second Order Sliding Mode Control |
| PID | Proportional Integral Derivative |
| P&O | Perturb and observe |
| INC | Incremental conductance |
| HC | Hill climbing |
| CS | Cuckoo Search |
| PSO | Particle swarm optimization |
| AI | Artificial intelligence |
| ANN | Artificial neural network |
| FLC | Fuzzy logic control |
| GA | Genetic algorithm |
| FPA | Flower pollination algorithm |
| GWA | Grey wolf algorithm |
| CSA | Crew search algorithm |
| PO&GS | Perturb and observe and global scanning |
| STC | Standard test condition |
| PWM | Pulse width modulation |
| Pbest | Best individual position |
| Gbesr | Best swarm position |
| c1,c2 | cognitive and social coefficient |
| ω | weight inertia |
| α | random step length |
| λ | parameter that determine the shape of distribution |
| Vmpp | Maximum power point voltage |
| Impp | Maximum power point current |
| Vmp, Imp | Maximum photovoltaic system voltage and current |
| Vo | Open circuit voltage |
| Isc | Short circuit current |
References
- Ngan, M.S.; Tan, C.W. A study of maximum power point tracking algorithms for stand-alone Photovoltaic Systems. In Proceedings of the 2011 IEEE Applied Power Electronics Colloquium (IAPEC), Johor Bahru, Malaysia, 18–19 April 2011; pp. 22–27. [Google Scholar] [CrossRef]
- Singh, S.; Mathew, L. Design and Simulation of Intelligent Control MPPT Technique for PV Module Using. Int. J. Adv. Res. Electr. Electron. Instrum. Eng. 2013, 2, 4554–4566. [Google Scholar]
- Azab, M. A New Maximum Power Point Tracking for Photovoltaic Systems. Int. J. Electr. Comput. Eng. 2009, 3, 702–705. [Google Scholar]
- Motahhir, S.; El Hammoumi, A.; El Ghzizal, A. The most used MPPT algorithms: Review and the suitable low-cost embedded board for each algorithm. J. Clean. Prod. 2020, 246, 118983. [Google Scholar] [CrossRef]
- Li, X.; Wang, Q.; Wen, H.; Xiao, W. Comprehensive Studies on Operational Principles for Maximum Power Point Tracking in Photovoltaic Systems. IEEE Access 2019, 7, 121407–121420. [Google Scholar] [CrossRef]
- Dhimish, M. Assessing MPPT Techniques on Hot-Spotted and Partially Shaded Photovoltaic Modules: Comprehensive Review Based on Experimental Data. IEEE Trans. Electron. Devices 2019, 66, 1132–1144. [Google Scholar] [CrossRef]
- Tafti, H.D.; Sangwongwanich, A.; Yang, Y.; Pou, J.; Konstantinou, G.; Blaabjerg, F. An Adaptive Control Scheme for Flexible Power Point Tracking in Photovoltaic Systems. IEEE Trans. Power Electron. 2019, 34, 5451–5463. [Google Scholar] [CrossRef]
- Syafaruddin; Karatepe, E.; Hiyama, T. Performance enhancement of photovoltaic array through string and central based MPPT system under non-uniform irradiance conditions. Energy Convers. Manag. 2012, 62, 131–140. [Google Scholar] [CrossRef]
- Ghamrawi, A.; Gaubert, J.-P.; Mehdi, D. A new dual-mode maximum power point tracking algorithm based on the Perturb and Observe algorithm used on solar energy system. Sol. Energy 2018, 174, 508–514. [Google Scholar] [CrossRef]
- Abdel-Salam, M.; El-Mohandes, M.-T.; Goda, M. An improved perturb-and-observe based MPPT method for PV systems under varying irradiation levels. Sol. Energy 2018, 171, 547–561. [Google Scholar] [CrossRef]
- Shang, L.; Guo, H.; Zhu, W. An improved MPPT control strategy based on incremental conductance algorithm. Prot. Control. Mod. Power Syst. 2020, 5, 14. [Google Scholar] [CrossRef]
- Eltamaly, A.M.; Abdelaziz, A.Y. (Eds.) Modern Maximum Power Point Tracking Techniques for Photovoltaic Energy Systems; Green Energy and Technology; Springer International Publishing: Cham, Switzerland, 2020. [Google Scholar] [CrossRef]
- Dirmawan, M.A.; Suhariningsih; Rakhmawati, R. The Comparison Performance of MPPT Perturb and Observe, Fuzzy Logic Controller, and Flower Pollination Algorithm in Normal and Partial Shading Condition. In Proceedings of the 2020 International Electronics Symposium (IES), Surabaya, Indonesia, 29–30 September 2020; pp. 7–13. [Google Scholar] [CrossRef]
- Li, G.; Jin, Y.; Akram, M.W.; Chen, X.; Ji, J. Application of bio-inspired algorithms in maximum power point tracking for PV systems under partial shading conditions—A review. Renew. Sustain. Energy Rev. 2018, 81, 840–873. [Google Scholar] [CrossRef]
- Houam, Y.; Terki, A.; Bouarroudj, N. An Efficient Metaheuristic Technique to Control the Maximum Power Point of a Partially Shaded Photovoltaic System Using Crow Search Algorithm (CSA). J. Electr. Eng. Technol. 2021, 16, 381–402. [Google Scholar] [CrossRef]
- Eltamaly, A.M. An Improved Cuckoo Search Algorithm for Maximum Power Point Tracking of Photovoltaic Systems under Partial Shading Conditions. Energies 2021, 14, 953. [Google Scholar] [CrossRef]
- Yu, L.; Zhou, J.; Qin, Z.; Liu, Y.; Zhao, Z.; Bu, L. Artificial Neural Network Training of Unshaded Datasheet for Photovoltaic Maximal Power Point Prediction under Partial Shading Conditions. In Proceedings of the 2022 IEEE 17th Conference on Industrial Electronics and Applications (ICIEA), Chengdu, China, 16–19 December 2022; pp. 1383–1387. [Google Scholar] [CrossRef]
- Rezk, H.; AL-Oran, M.; Gomaa, M.R.; Tolba, M.A.; Fathy, A.; Abdelkareem, M.A.; Olabi, A.G.; El-Sayed, A.H.M. A novel statistical performance evaluation of most modern optimization-based global MPPT techniques for partially shaded PV system. Renew. Sustain. Energy Rev. 2019, 115, 109372. Available online: https://ideas.repec.org//a/eee/rensus/v115y2019ics1364032119305805.html (accessed on 29 May 2023). [CrossRef]
- Eltamaly, A.M.; Farh, H.M.H.; Al-Saud, M.S. Grade point average assessment for metaheuristic GMPP techniques of partial shaded PV systems. IET Renew. Power Gener. 2019, 13, 1215–1231. [Google Scholar] [CrossRef]
- Bhukya, L.; Kedika, N.R.; Salkuti, S.R. Enhanced Maximum Power Point Techniques for Solar Photovoltaic System under Uniform Insolation and Partial Shading Conditions: A Review. Algorithms 2022, 15, 365. [Google Scholar] [CrossRef]
- What Are the New Implications of Chaos for Unpredictability? Available online: https://www.journals.uchicago.edu/doi/epdf/10.1093/bjps/axn053 (accessed on 10 March 2023).
- Duan, Q.; Mao, M.; Duan, P.; Hu, B. Application of improved radial basis function neural network method in global MPPT for PV array. In Proceedings of the 2015 IEEE Energy Conversion Congress and Exposition (ECCE), Montreal, QC, Canada, 20–24 September 2015; pp. 3260–3264. [Google Scholar] [CrossRef]
- Farhat, S.; Alaoui, R.; Kahaji, A.; Bouhouch, L. Estimating the photovoltaic MPPT by artificial neural network. In Proceedings of the 2013 International Renewable and Sustainable Energy Conference (IRSEC), Ouarzazate, Morocco, 7–9 March 2013; pp. 49–53. [Google Scholar] [CrossRef]
- Mahmoud, Y.; Abdelwahed, M.; El-Saadany, E.F. An Enhanced MPPT Method Combining Model-Based and Heuristic Techniques. IEEE Trans. Sustain. Energy 2016, 7, 576–585. [Google Scholar] [CrossRef]
- Yong, Z.; Hong, L.; Liqun, L.; XiaoFeng, G. The MPPT Control Method by Using BP Neural Networks in PV Generating System. In Proceedings of the 2012 International Conference on Industrial Control and Electronics Engineering, Xi’an, China, 23–25 August 2012; pp. 1639–1642. [Google Scholar] [CrossRef]
- Chao, K.-H.; Wang, M.-H.; Lee, Y.-H. An extension neural network based incremental MPPT method for a PV system. In Proceedings of the 2011 International Conference on Machine Learning and Cybernetics, Guilin, China, 10–13 July 2011; Volume 2, pp. 654–660. [Google Scholar] [CrossRef]
- Ren, Y.; Wang, R.; Rind, S.J.; Zeng, P.; Jiang, L. Speed sensorless nonlinear adaptive control of induction motor using combined speed and perturbation observer. Control Eng. Pract. 2022, 123, 105166. [Google Scholar] [CrossRef]
- Lee, K.; Lee, J.; Lee, Y.I.L. Robust Model Predictive Speed Control of Induction Motors Using a Constrained Disturbance Observer. Int. J. Control Autom. Syst. 2020, 18, 1539–1549. [Google Scholar] [CrossRef]
- Kaced, K.; Larbes, C.; Ait-Chikh, S.M.; Bounabi, M.; Dahmane, Z.E. FPGA implementation of PSO based MPPT for PV systems under partial shading conditions. In Proceedings of the 2017 6th International Conference on Systems and Control (ICSC), Batna, Algeria, 7–9 May 2017; pp. 150–155. [Google Scholar] [CrossRef]
- Hadji, S.; Gaubert, J.-P.; Krim, F. Real-Time Genetic Algorithms-Based MPPT: Study and Comparison (Theoretical an Experimental) with Conventional Methods. Energies 2018, 11, 459. [Google Scholar] [CrossRef]
- Rajsekar, N.; Bhardwaj, P.; Pabbewar, A.; Verma, M. Fireworks Algorithm for MPPT. IJERT 2016, 5, 287–291. [Google Scholar] [CrossRef]
- Titri, S.; Larbes, C.; Toumi, K.Y.; Benatchba, K. A new MPPT controller based on the Ant colony optimization algorithm for Photovoltaic systems under partial shading conditions. Appl. Soft Comput. 2017, 58, 465–479. [Google Scholar] [CrossRef]
- El-Helw, H.M.; Magdy, A.; Marei, M.I. A Hybrid Maximum Power Point Tracking Technique for Partially Shaded Photovoltaic Arrays. IEEE Access 2017, 5, 11900–11908. [Google Scholar] [CrossRef]
- Deboucha, H.; Mekhilef, S.; Belaid, S.; Guichi, A. Modified deterministic Jaya (DM-Jaya)-based MPPT algorithm under partially shaded conditions for PV system. IET Power Electron. 2020, 13, 4625–4632. [Google Scholar] [CrossRef]
- Tabrizi, A.; Rahmani, M. Review Some of the Metaheuristic Optimization Algorithms in MPPT. 2021. Available online: https://civilica.com/doc/1031524 (accessed on 1 June 2023).
- Kennedy, J.; Eberhart, R. Particle Swarm Optimization. In Proceedings of the ICNN’95—International Conference on Neural Networks, Perth, WA, Australia, 27 November–1 December 1995. [Google Scholar]
- Mao, M.; Duan, Q.; Duan, P.; Hu, B. Comprehensive improvement of artificial fish swarm algorithm for global MPPT in PV system under partial shading conditions. Trans. Inst. Meas. Control 2018, 40, 2178–2199. [Google Scholar] [CrossRef]
- Abdulaziz, S.; Atlam, G.; Zaki, G.; Nabil, E. Cuckoo search algorithm and particle swarm optimization based maximum power point tracking techniques. Indones. J. Electr. Eng. Comput. Sci. 2022, 26, 605–616. [Google Scholar] [CrossRef]
- Ishaque, K.; Salam, Z.; Amjad, M.; Mekhilef, S. An Improved Particle Swarm Optimization (PSO)–Based MPPT for PV With Reduced Steady-State Oscillation. IEEE Trans. Power Electron. 2012, 27, 3627–3638. [Google Scholar] [CrossRef]
- Ahmed, J.; Salam, Z. A Maximum Power Point Tracking (MPPT) for PV system using Cuckoo Search with partial shading capability. Appl. Energy 2014, 119, 118–130. [Google Scholar] [CrossRef]
- Ahmed, J.; Salam, Z. A soft computing MPPT for PV system based on Cuckoo Search algorithm. In Proceedings of the 4th International Conference on Power Engineering, Energy and Electrical Drives, Istanbul, Turkey, 13–17 May 2013; pp. 558–562. [Google Scholar] [CrossRef]
- Al-Wesabi, I.; Fang, Z.; Farh, H.M.H.; Al-Shamma’a, A.A.; Al-Shaalan, A.M.; Kandil, T.; Ding, M. Cuckoo Search Combined with PID Controller for Maximum Power Extraction of Partially Shaded Photovoltaic System. Energies 2022, 15, 2513. [Google Scholar] [CrossRef]
- Ali, E.M.; Abdelsalam, A.K.; Youssef, K.H.; Hossam-Eldin, A.A. An Enhanced Cuckoo Search Algorithm Fitting for Photovoltaic Systems’ Global Maximum Power Point Tracking under Partial Shading Conditions. Energies 2021, 14, 7210. [Google Scholar] [CrossRef]
- Mosaad, M.I.; abed el-Raouf, M.O.; Al-Ahmar, M.A.; Banakher, F.A. Maximum Power Point Tracking of PV system Based Cuckoo Search Algorithm; review and comparison. Energy Procedia 2019, 162, 117–126. [Google Scholar] [CrossRef]
- Baset, A.; Halim, A.; Saad, N.; El-Sattar, A. A Comparative Study Between Perturb and Observe and Cuckoo Search Algorithm for Maximum Power Point Tracking. In Proceedings of the 2019 21st International Middle East Power Systems Conference (MEPCON), Cairo, Egypt, 17–19 December 2019; p. 723. [Google Scholar] [CrossRef]
- Spertino, F.; Akilimali, J.S. Are Manufacturing I–V Mismatch and Reverse Currents Key Factors in Large Photovoltaic Arrays? IEEE Trans. Ind. Electron. 2009, 56, 4520–4531. [Google Scholar] [CrossRef]
- Kang, T.; Yao, J.; Jin, M.; Yang, S.; Duong, T. A Novel Improved Cuckoo Search Algorithm for Parameter Estimation of Photovoltaic (PV) Models. Energies 2018, 11, 1060. [Google Scholar] [CrossRef]
- Chao, K.-H.; Chang, L.-Y.; Wang, K.-W. Global Maximum Power Point Tracking of Photovoltaic Module Arrays Based on Improved Cuckoo Search Algorithm. Electronics 2022, 11, 1247. [Google Scholar] [CrossRef]
- Mohammedi, A.; Benslimane, T. Development of rapid and reliable cuckoo search algorithm for global maximum power point tracking of solar PV systems in partial shading condition. Arch. Control. Sci. 2021, 31, 495–526. [Google Scholar] [CrossRef]
- Liu, X.; Yu, H.; Yu, J.; Zhao, L. Combined Speed and Current Terminal Sliding Mode Control with Nonlinear Disturbance Observer for PMSM Drive. IEEE Access 2018, 6, 29594–29601. [Google Scholar] [CrossRef]
- Krim, S.; Gdaim, S.; Mtibaa, A.; Mimouni, M.F. Implementation on the FPGA of DTC-SVM Based Proportional Integral and Sliding Mode Controllers of an Induction Motor: A Comparative Study. J. Circuits Syst. Comput. 2017, 26, 1750049. Available online: https://www.worldscientific.com/doi/10.1142/S0218126617500499 (accessed on 1 June 2023). [CrossRef]
- Yilmaz, U.; Kircay, A.; Borekci, S. PV system fuzzy logic MPPT method and PI control as a charge controller. Renew. Sustain. Energy Rev. 2018, 81, 994–1001. [Google Scholar] [CrossRef]
- Touil, S.-A.; Boudjerda, N.; Boubakir, A.; El Khamlichi Drissi, K. A sliding mode control and artificial neural network based MPPT for a direct grid-connected photovoltaic source. Asian J. Control. 2019, 21, 1892–1905. [Google Scholar] [CrossRef]
- Chaibi, Y.; Salhi, M.; El-jouni, A. Sliding Mode Controllers for Standalone PV Systems: Modeling and Approach of Control. Int. J. Photoenergy 2019, 2019, e5092078. [Google Scholar] [CrossRef]
- Ali, N.; Armghan, H.; Ahmad, I.; Armghan, A.; Khan, S.; Arsalan, M. Backstepping based non-linear control for maximum power point tracking in photovoltaic system. Sol. Energy 2018, 159, 134–141. [Google Scholar] [CrossRef]
- Ahmed, S.; Muhammad Adil, H.M.; Ahmad, I.; Azeem, M.K.; e Huma, Z.; Abbas Khan, S. Supertwisting Sliding Mode Algorithm Based Nonlinear MPPT Control for a Solar PV System with Artificial Neural Networks Based Reference Generation. Energies 2020, 13, 3695. [Google Scholar] [CrossRef]
- Rafiq, M.; Rehman, S.; Rehman, F.; Butt, Q.R.; Awan, I. A second order sliding mode control design of a switched reluctance motor using super twisting algorithm. Simul. Model. Pract. Theory 2012, 25, 106–117. [Google Scholar] [CrossRef]
- Zou, Q. Adaptive Sliding Mode Control for Chain Driving System with Disturbance Observer. Proc. Inst. Mech. Eng. Part I J. Syst. Control Eng. 2020, 234, 1050–1059. Available online: https://journals.sagepub.com/doi/abs/10.1177/0959651819895693?journalCode=piia (accessed on 1 June 2023). [CrossRef]
- Gohar Ali, H.; Arbos, R.V. Chattering Free Adaptive Sliding Mode Controller for Photovoltaic Panels with Maximum Power Point Tracking. Energies 2020, 13, 5678. [Google Scholar] [CrossRef]
- Kihal, A.; Krim, F.; Laib, A.; Talbi, B.; Afghoul, H. An improved MPPT scheme employing adaptive integral derivative sliding mode control for photovoltaic systems under fast irradiation changes. ISA Trans. 2019, 87, 297–306. [Google Scholar] [CrossRef]
- Xu, R.; Zhou, M. Sliding mode control with sigmoid function for the motion tracking control of the piezo-actuated stages. Electron. Lett. 2017, 53, 75–77. Available online: https://ietresearch.onlinelibrary.wiley.com/doi/10.1049/el.2016.3558 (accessed on 1 June 2023). [CrossRef]
- Krim, S.; Gdaim, S.; Abdellatif, M.; Mimouni, M. Real time implementation of DTC based on Sliding Mode Speed Controller of an Induction Motor. In Proceedings of the 2015 16th International Conference on Sciences and Techniques of Automatic Control and Computer Engineering (STA), Monastir, Tunisia, 21–23 December 2015. [Google Scholar] [CrossRef]
- Mishra, R.; Mohanty, K. Development and implementation of induction motor drive using sliding-mode based simplified neuro-fuzzy control. Eng. Appl. Artif. Intell. 2020, 91, 103593. [Google Scholar] [CrossRef]
- Bakkar, M.; Aboelhassan, A.; Abdelgeliel, M.; Galea, M. PV Systems Control Using Fuzzy Logic Controller Employing Dynamic Safety Margin under Normal and Partial Shading Conditions. Energies 2021, 14, 841. [Google Scholar] [CrossRef]
- Ahmad, F.F.; Ghenai, C.; Hamid, A.K.; Bettayeb, M. Application of sliding mode control for maximum power point tracking of solar photovoltaic systems: A comprehensive review. Annu. Rev. Control 2020, 49, 173–196. [Google Scholar] [CrossRef]
- Gambhire, S.J.; Kishore, D.R.; Londhe, P.S.; Pawar, S.N. Review of sliding mode based control techniques for control system applications. Int. J. Dynam. Control 2021, 9, 363–378. [Google Scholar] [CrossRef]
- Second-Order Sliding-Mode Control—An Overview|ScienceDirect Topics. Available online: https://www.sciencedirect.com/topics/engineering/second-order-sliding-mode-control (accessed on 1 June 2023).
- Krim, S.; Mimouni, M.F. Design and Xilinx Virtex-field-programmable gate array for hardware in the loop of sensorless second-order sliding mode control and model reference adaptive system–sliding mode observer for direct torque control of induction motor drive. Proc. Inst. Mech. Eng. Part I J. Syst. Control Eng. 2023, 237, 839–869. [Google Scholar] [CrossRef]
- Mao, M.; Cui, L.; Zhang, Q.; Guo, K.; Zhou, L.; Huang, H. Classification and summarization of solar photovoltaic MPPT techniques: A review based on traditional and intelligent control strategies. Energy Rep. 2020, 6, 1312–1327. [Google Scholar] [CrossRef]
- Hanzaei, S.H.; Gorji, S.A.; Ektesabi, M. A Scheme-Based Review of MPPT Techniques with Respect to Input Variables Including Solar Irradiance and PV Arrays’ Temperature. IEEE Access 2020, 8, 182229–182239. [Google Scholar] [CrossRef]
- Karami, N.; Moubayed, N.; Outbib, R. General review and classification of different MPPT Techniques. Renew. Sustain. Energy Rev. 2017, 68, 1–18. [Google Scholar] [CrossRef]
- Podder, A.K.; Roy, N.K.; Pota, H.R. MPPT methods for solar PV systems: A critical review based on tracking nature. IET Renew. Power Gener. 2019, 13, 1615–1632. [Google Scholar] [CrossRef]
- Ram, J.P.; Babu, T.S.; Rajasekar, N. A comprehensive review on solar PV maximum power point tracking techniques. Renew. Sustain. Energy Rev. 2017, 67, 826–847. [Google Scholar] [CrossRef]
- Hashim, N.; Salam, Z. Critical evaluation of soft computing methods for maximum power point tracking algorithms of photovoltaic systems. Int. J. Power Electron. Drive Syst. 2019, 10, 548. [Google Scholar] [CrossRef]
- Bendib, B.; Belmili, H.; Krim, F. A survey of the most used MPPT methods: Conventional and advanced algorithms applied for photovoltaic systems. Renew. Sustain. Energy Rev. 2015, 45, 637–648. [Google Scholar] [CrossRef]
- Balamurugan, M.; Sahoo, S.K.; Sukchai, S. Application of soft computing methods for grid connected PV system: A technological and status review. Renew. Sustain. Energy Rev. 2017, 75, 1493–1508. [Google Scholar] [CrossRef]
- Bollipo, R.B.; Mikkili, S.; Bonthagorla, P.K. Hybrid, optimal, intelligent and classical PV MPPT techniques: A review. CSEE J. Power Energy Syst. 2021, 7, 9–33. [Google Scholar] [CrossRef]
- Premkumar, M.; Sowmya, R. Certain Study on MPPT Algorithms to track the Global MPP under Partial Shading on Solar PV Module/Array. Int. J. Comput. Digit. Syst. 2019, 8, 405–416. [Google Scholar] [CrossRef]
- Reza Reisi, A.; Hassan Moradi, M.; Jamasb, S. Classification and comparison of maximum power point tracking techniques for photovoltaic system: A review. Renew. Sustain. Energy Rev. 2013, 19, 433–443. [Google Scholar] [CrossRef]
- Mellit, A.; Kalogirou, S.A. Artificial intelligence techniques for photovoltaic applications: A review. Prog. Energy Combust. Sci. 2008, 34, 574–632. [Google Scholar] [CrossRef]
- Ivancevic, V.G.; Ivancevic, T.T. Complex Nonlinearity: Chaos, Phase Transitions, Topology Change and Path; Springer: Berlin/Heidelberg, Germany, 2008. [Google Scholar]
- Rezk, H.; Fathy, A.; Abdelaziz, A.Y. A comparison of different global MPPT techniques based on meta-heuristic algorithms for photovoltaic system subjected to partial shading conditions. Renew. Sustain. Energy Rev. 2017, 74, 377–386. [Google Scholar] [CrossRef]
- Bataineh, K. Improved hybrid algorithms-based MPPT algorithm for PV system operating under severe weather conditions. IET Power Electron. 2019, 12, 703–711. [Google Scholar] [CrossRef]
- Lyden, S.; Haque, M.E. Maximum Power Point Tracking techniques for photovoltaic systems: A comprehensive review and comparative analysis. Renew. Sustain. Energy Rev. 2015, 52, 1504–1518. [Google Scholar] [CrossRef]
- Ramli, M.A.M.; Twaha, S.; Ishaque, K.; Al-Turki, Y.A. A review on maximum power point tracking for photovoltaic systems with and without shading conditions. Renew. Sustain. Energy Rev. 2017, 67, 144–159. [Google Scholar] [CrossRef]
- Belhachat, F.; Larbes, C. A review of global maximum power point tracking techniques of photovoltaic system under partial shading conditions. Renew. Sustain. Energy Rev. 2018, 92, 513–553. [Google Scholar] [CrossRef]
- Singh, B.; Sharma, U.; Kumar, S. Standalone Photovoltaic Water Pumping System Using Induction Motor Drive with Reduced Sensors. IEEE Trans. Ind. Appl. 2018, 54, 3645–3655. [Google Scholar] [CrossRef]
- Hiyama, T.; Karatepe, E. Investigation of ANN performance for tracking the optimum points of PV module under partially shaded conditions. In Proceedings of the 2010 Conference Proceedings IPEC, Singapore, 27–29 October 2010; Available online: https://ieeexplore.ieee.org/document/5697002 (accessed on 11 June 2022).
- Yadav, A.; Pachauri, R.; Chauhan, Y. Comprehensive investigation of PV arrays with puzzle shade dispersion for improved performance. Sol. Energy 2016, 129, 256–285. [Google Scholar] [CrossRef]
- Javed, K.; Ashfaq, H.; Singh, R. A new simple MPPT algorithm to track MPP under partial shading for solar photovoltaic systems. Int. J. Green Energy 2020, 17, 48–61. Available online: https://www.tandfonline.com/doi/abs/10.1080/15435075.2019.1686001 (accessed on 18 September 2022). [CrossRef]
- Xiao, W.; Dunford, W.G. A modified adaptive hill climbing MPPT method for photovoltaic power systems. In Proceedings of the 2004 IEEE 35th Annual Power Electronics Specialists Conference (IEEE Cat. No.04CH37551), Aachen, Germany, 20–25 June 2004; Volume 3, pp. 1957–1963. [Google Scholar] [CrossRef]
- Veerapen, S.; Wen, H.; Du, Y. Design of a novel MPPT algorithm based on the two stage searching method for PV systems under partial shading. In Proceedings of the 2017 IEEE 3rd International Future Energy Electronics Conference and ECCE Asia (IFEEC 2017—ECCE Asia), Kaohsiung, Taiwan, 3–7 June 2017; pp. 1494–1498. [Google Scholar] [CrossRef]
- Ali, A.I.M.; Mohamed, H.R.A. Improved P&O MPPT algorithm with efficient open-circuit voltage estimation for two-stage grid-integrated PV system under realistic solar radiation. Int. J. Electr. Power Energy Syst. 2022, 137, 107805. [Google Scholar] [CrossRef]
- Sher, H.A.; Rizvi, A.A.; Addoweesh, K.E.; Al-Haddad, K. A Single-Stage Stand-Alone Photovoltaic Energy System with High Tracking Efficiency. IEEE Trans. Sustain. Energy 2017, 8, 755–762. [Google Scholar] [CrossRef]
- Udavalakshmi, J.K.; Sheik, M.S. Comparative Study of Perturb & Observe and Look-Up Table Maximum Power Point Tracking Techniques using MATLABISimulink. In Proceedings of the 2018 International Conference on Current Trends towards Converging Technologies (ICCTCT), Coimbatore, India, 1–3 March 2018; pp. 1–5. [Google Scholar] [CrossRef]
- Hadji, S.; Gaubert, J.-P.; Krim, F. Maximum Power Point Tracking (MPPT) for Photovoltaic systems using open circuit voltage and short circuit current. In Proceedings of the 3rd International Conference on Systems and Control, Algiers, Algeria, 29–31 October 2013; pp. 87–92. [Google Scholar] [CrossRef]
- Li, M.; Huang, X.; Liu, H.; Liu, B.; Wu, Y.; Xiong, A.; Dong, T. Prediction of gas solubility in polymers by back propagation artificial neural network based on self-adaptive particle swarm optimization algorithm and chaos theory. Fluid Phase Equilibria 2013, 356, 11–17. [Google Scholar] [CrossRef]
- Nehmzow, U.; Walker, K. Quantitative description of robot–environment interaction using chaos theory. Robot. Auton. Syst. 2005, 53, 177–193. [Google Scholar] [CrossRef]
- Safonov, L.A.; Tomer, E.; Strygin, V.V.; Ashkenazy, Y.; Havlin, S. Multifractal chaotic attractors in a system of delay-differential equations modeling road traffic: Chaos: An Interdisciplinary. J. Nonlinear Sci. 2002, 12, 1006–1014. Available online: https://aip.scitation.org/doi/abs/10.1063/1.1507903 (accessed on 10 March 2023). [CrossRef] [PubMed]
- Zhou, L.; Chen, Y.; Guo, K.; Jia, F. New Approach for MPPT Control of Photovoltaic System with Mutative-Scale Dual-Carrier Chaotic Search. IEEE Trans. Power Electron. 2011, 26, 1038–1048. [Google Scholar] [CrossRef]
- Bouselham, L.; Hajji, M.; Hajji, B.; Bouali, H. A New MPPT-based ANN for Photovoltaic System under Partial Shading Conditions. Energy Procedia 2017, 111, 924–933. Available online: https://reader.elsevier.com/reader/sd/pii/S1876610217302886?token=65E1FD0FED63F608C1A5E026FF9295BAC31D8BDE1369FDE56BE3EC49F7B3E9C06AA6A4FB2F3762E5E26C9BCD5B748711&originRegion=eu-west-1&originCreation=20230125131607 (accessed on 25 January 2023). [CrossRef]
- Chekired, F.; Larbes, C.; Rekioua, D.; Haddad, F. Implementation of a MPPT fuzzy controller for photovoltaic systems on FPGA circuit. Energy Procedia 2011, 6, 541–549. [Google Scholar] [CrossRef]
- Seyedmahmoudian, M.; Horan, B.; Soon, T.K.; Rahmani, R.; Than Oo, A.M.; Mekhilef, S.; Stojcevski, A. State of the art artificial intelligence-based MPPT techniques for mitigating partial shading effects on PV systems—A review. Renew. Sustain. Energy Rev. 2016, 64, 435–455. [Google Scholar] [CrossRef]
- Tey, K.S.; Mekhilef, S.; Seyedmahmoudian, M.; Horan, B.; Oo, A.T.; Stojcevski, A. Improved Differential Evolution-Based MPPT Algorithm Using SEPIC for PV Systems Under Partial Shading Conditions and Load Variation. IEEE Trans. Ind. Inform. 2018, 14, 4322–4333. [Google Scholar] [CrossRef]
- Lodhi, E.; Shafqat, R.N.; Kerrouche, K.D.E.; Lodhi, Z. Application of Particle Swarm Optimization for Extracting Global Maximum Power Point in PV System under Partial Shadow Conditions. IJEEE 2017, 5, 223–229. [Google Scholar] [CrossRef]
- Huang, C.; Wang, L.; Yeung, R.S.-C.; Zhang, Z.; Chung, H.S.-H.; Bensoussan, A. A Prediction Model-Guided Jaya Algorithm for the PV System Maximum Power Point Tracking. IEEE Trans. Sustain. Energy 2018, 9, 45–55. [Google Scholar] [CrossRef]
- Cherukuri, S.K.; Rayapudi, S. Enhanced Grey Wolf Optimizer based MPPT Algorithm of PV system under Partial Shaded Condition. Int. J. Renew. Energy Dev. 2017, 6, 203. [Google Scholar] [CrossRef]
- Sawant, P.T.; Lbhattar, P.C.; Bhattar, C.L. Enhancement of PV system based on artificial bee colony algorithm under dynamic conditions. In Proceedings of the 2016 IEEE International Conference on Recent Trends in Electronics, Information & Communication Technology (RTEICT), Bangalore, India, 20–21 May 2016; pp. 1251–1255. [Google Scholar] [CrossRef]
- Chang, W.K.; Lin, C.K.; Chuan, D.C.; Chao, Y.C. Chang Duodenogastric reflux: Proposed new endoscopic classification in symptomatic patients. J. Med. Sci. 2016, 36, 1–5. Available online: https://www.jmedscindmc.com/article.asp?issn=1011-4564;year=2016;volume=36;issue=1;spage=1;epage=5;aulast=Chang (accessed on 4 June 2022).
- Rezk, H.; Fathy, A. Simulation of global MPPT based on teaching–learning-based optimization technique for partially shaded PV system. Electr. Eng. 2017, 99, 847–859. [Google Scholar] [CrossRef]
- Mohanty, S.; Subudhi, B.; Ray, P.K. A Grey Wolf-Assisted Perturb & Observe MPPT Algorithm for a PV System. IEEE Trans. Energy Convers. 2017, 32, 340–347. [Google Scholar] [CrossRef]
- Manickam, C.; Raman, G.P.; Raman, G.R.; Ganesan, S.I.; Chilakapati, N. Fireworks Enriched P&O Algorithm for GMPPT and Detection of Partial Shading in PV Systems. IEEE Trans. Power Electron. 2017, 32, 4432–4443. [Google Scholar] [CrossRef]
- Yang, Z.; Duan, Q.; Zhong, J.; Mao, M.; Xun, Z. Analysis of improved PSO and perturb & observe global MPPT algorithm for PV array under partial shading condition. In Proceedings of the 2017 29th Chinese Control and Decision Conference (CCDC), Chongqing, China, 28–30 May 2017; pp. 549–553. [Google Scholar] [CrossRef]
- Shi, J.; Wang, Z.; Wang, X. Innovations in the sustainable management of local government liabilities in China. Singap. Econ. Rev. 2018, 63, 819–837. [Google Scholar] [CrossRef]
- DemiRel, H.; Karagöz, M.K.; Erkal, B. A Novel MPPT Method for PV Arrays Based on Modified Bat Algorithm and Incremental Conductance Algorithm with Partial Shading Capability. In Proceedings of the First International Conference on Energy Systems Engineering, Karabuk, Turkey, 2–4 November 2017; Volume 6. [Google Scholar]
- Nayak, B.K.; Mohapatra, A.; Mohanty, K.B. Parameters estimation of photovoltaic module using nonlinear least square algorithm: A comparative study. In Proceedings of the 2013 Annual IEEE India Conference (INDICON), Mumbai, India, 13–15 December 2013; pp. 1–6. [Google Scholar] [CrossRef]
- Nayak, B.; Mohapatra, A.; Mohanty, K.B. Selection criteria of dc-dc converter and control variable for MPPT of PV system utilized in heating and cooking applications. Cogent Eng. 2017, 4, 1363357. [Google Scholar] [CrossRef]
- Khan, M.Z.; Khan, Z.; Khan, M.N.I.; Saha, S.; Noor, D.F.; Rachi, M.R.K. Maximum Power Point Tracking for Photovoltaic Array Using Parabolic Interpolation. Int. J. Inf. Electron. Eng. 2014, 4, 249–255. [Google Scholar] [CrossRef]
- Xuesong, Z.; Daichun, S.; Youjie, M.; Deshu, C. The simulation and design for MPPT of PV system Based on Incremental Conductance Method. In Proceedings of the 2010 WASE International Conference on Information Engineering, BeiDai, China, 14–15 August 2010; Volume 2, pp. 314–317. [Google Scholar] [CrossRef]
- Van Dijk, E.; Spruijt, J.N.; O’Sullivan, D.M.; Klaassens, J.B. PWM-switch modeling of DC-DC converters. IEEE Trans. Power Electron. 1995, 10, 659–665. [Google Scholar] [CrossRef]
- Motahhir, S.; Eltamaly, A. Advanced Technologies for Solar Photovoltaics Energy Systems; Springer: Berlin/Heidelberg, Germany, 2021. [Google Scholar] [CrossRef]
- Kuvshinov, V.V.; Abd Ali, L.M.; Kakushina, E.G.; Krit, B.L.; Morozova, N.V.; Kuvshinova, V.V. Studies of the PV Array Characteristics with Changing Array Surface Irradiance. Appl. Sol. Energy 2019, 55, 223–228. Available online: https://link.springer.com/article/10.3103/S0003701X19040054 (accessed on 18 September 2022). [CrossRef]
- Abdel-Salam, M.; El-Mohandes, M.; El-Ghazaly, M. An Efficient Tracking of MPP in PV Systems Using a Newly-Formulated P&O-MPPT Method Under Varying Irradiation Levels. J. Electr. Eng. Technol. 2019, 15, 501–513. [Google Scholar] [CrossRef]
- Saidi, K.; Maamoun, M.; Bounekhla, M. A new high performance variable step size perturb-and-observe MPPT algorithm for photovoltaic system. Int. J. Power Electron. Drive Syst. 2019, 10, 1662. [Google Scholar] [CrossRef]
- Harrag, A.; Messalti, S. Variable step size modified P&O MPPT algorithm using GA-based hybrid offline/online PID controller. Renew. Sustain. Energy Rev. 2015, 49, 1247–1260. [Google Scholar] [CrossRef]
- Khan, S.U.; Yang, S.; Wang, L.; Liu, L. A Modified Particle Swarm Optimization Algorithm for Global Optimizations of Inverse Problems. IEEE Trans. Magn. 2016, 52, 1–4. [Google Scholar] [CrossRef]
- Rajabioun, R. Cuckoo Optimization Algorithm. Appl. Soft Comput. 2011, 11, 5508–5518. [Google Scholar] [CrossRef]
- Utkin, V.I. Sliding mode control design principles and applications to electric drives. IEEE Trans. Ind. Electron. 1993, 40, 23–36. [Google Scholar] [CrossRef]
- Amet, L.; Ghanes, M.; Barbot, J.-P. HOSM control under quantization and saturation constraints: Zig-Zag design solutions. In Proceedings of the 2012 IEEE 51st IEEE Conference on Decision and Control (CDC), Maui, HI, USA, 10–13 December 2012; pp. 5494–5498. [Google Scholar] [CrossRef]
- Souissi, A. Adaptive sliding mode control of a PEM fuel cell system based on the super twisting algorithm. Energy Rep. 2021, 7, 3390–3399. [Google Scholar] [CrossRef]
- Motahhir, S.; El Hammoumi, A.; El Ghzizal, A. Photovoltaic system with quantitative comparative between an improved MPPT and existing INC and P&O methods under fast varying of solar irradiation. Energy Rep. 2018, 4, 341–350. [Google Scholar] [CrossRef]
- Hanafiah, S.; Ayad, A.; Hehn, A.; Kennel, R. A hybrid MPPT for quasi-Z-source inverters in PV applications under partial shading condition. In Proceedings of the 2017 11th IEEE International Conference on Compatibility, Power Electronics and Power Engineering (CPE-POWERENG), Cadiz, Spain, 4–6 April 2017; pp. 418–423. [Google Scholar] [CrossRef]
- Sarika, P.E.; Jacob, J.; Mohammed Sulthan, S.; Paul, S. A Novel Hybrid Maximum Power Point Tracking Technique with Zero Oscillation Based on P&O Algorithm. Int. J. Renew. Energy Res. 2020, 10, 1962–1973. [Google Scholar]
- Kandemir, E.; Cetin, N.S.; Borekci, S. Single-stage photovoltaic system design based on energy recovery and fuzzy logic control for partial shading condition. Int. J. Circuit Theory Appl. 2022, 50, 1770–1792. Available online: https://onlinelibrary.wiley.com/doi/full/10.1002/cta.3223 (accessed on 8 November 2022). [CrossRef]
- Eltamaly, A.; Hussein Farh, H.M. Dynamic global maximum power point tracking of the PV systems under variant partial shading using hybrid GWO-FLC. Sol. Energy 2019, 177, 306–316. [Google Scholar] [CrossRef]
- Nemours, J.A.; Chowdhury, S. Performance Analysis of Fuzzy Logic Maximum Power Point Tracking Scheme for Solar PV System Under Varying Load and Atmospheric Conditions. In Proceedings of the 2019 IEEE PES/IAS PowerAfrica, Abuja, Nigeria, 20–23 August 2019; pp. 134–139. [Google Scholar] [CrossRef]
- Moosavi, S.K.R.; Mansoor, M.; Zafar, M.H.; Khan, N.M.; Mirza, A.F.; Akhtar, N. Highly efficient maximum power point tracking control technique for PV system under dynamic operating conditions. Energy Rep. 2022, 8, 13529–13543. [Google Scholar] [CrossRef]



















| MPPT Classes | Examples | Advantages | Disadvantages | |
|---|---|---|---|---|
| Conventioanl methods | Direct |
| ||
| Indirect |
| |||
| Soft-computing methods | Chaos search method [21,96,97,98,99] | - |
|
|
| AI MPPT algorithms [80] |
|
| ||
| Metaheuristic MPPT [82] |
|
| ||
| Hybrid methods |
|
| ||
| Parameters | Values |
|---|---|
| Pmp | 150.075 W |
| Vmp | 34.5 V |
| Imp | 4.35 A |
| Vov | 41.8 V |
| Isc | 5.05 A |
| Parameters | Values |
|---|---|
| Inductance L | 1.38 mH |
| Capacitor Cin | 80 μF |
| Capacitor Cout | 20 μF |
| Load resistance Rload | 119 Ω |
| P&O Parameters | PSO Parameters | CS Parameters |
|---|---|---|
| Dinit = 0.7 | Ω = 0.2 | λ = 1.5 |
| ∆D = 0.0001 | c1 = 0.8 | α = 0.75 |
| c2 = 1 |
| Case Study | Irradiance of Each Module | GMPP | |||
|---|---|---|---|---|---|
| PV1 | PV2 | PV3 | PV4 | ||
| Case 1 | 1000 | 1000 | 1000 | 1000 | 600.3 |
| Case 2 | 1000 | 1000 | 500 | 500 | 326.1 |
| Case 3 | 1000 | 600 | 500 | 300 | 244.83 |
| Cases | Methods | GMPP | Power Tracked | Power Losses | Convergence Time | Steady State Error | Efficiency |
|---|---|---|---|---|---|---|---|
| Case 1 | Proposed CS-STSMC | 600.3 | 600.3 | Very low | 0.27 s | neglected | 100% |
| CS-PID | 600.3 | high | 0.34 s | high | 100% | ||
| CS | 600.28 | Very low | 0.42 s | neglected | 99.99% | ||
| PSO | 600.28 | Very low | 0.84 s | neglected | 99.99% | ||
| P&O | 600.1 | Medium | 0.25 s | high | 99.96% | ||
| Case 2 | Proposed CS-STSMC | 326.1 | 326.1 | Low | 0.43 s | neglected | 100% |
| CS-PID | 326 | high | 0.56 s | high | 100% | ||
| CS | 326.025 | low | 0.59 s | neglected | 99.97% | ||
| PSO | 326 | low | 1.15 s | neglected | 99.96% | ||
| P&O | 294 | 9.84% | 0.07 s | high | 90.15% | ||
| Case 3 | Proposed CS-STSMC | 244.83 | 244.83 | Low | 0.58 s | neglected | 100% |
| CS-PID | 244.8 | high | 0.62 s | high | 99.98% | ||
| CS | 244.8 | low | 0.65 s | moderate | 99.98% | ||
| PSO | 244.8 | low | 0.88 s | moderate | 99.97% | ||
| P&O | 140.8 | 42.5% | 0.2 s (LMPP) | high | 82.54% |
| Algorithm | Tracking Efficiency | Oscillations at MPP | Tracking Speed | Hardware Implementation Complexity |
|---|---|---|---|---|
| INC [131] | Low | High | High | Low |
| P&O-PSO [132] | Low | High | High | Medium |
| VSS-P&O [133] | Low | High | Low | Medium |
| FLC [134] | Low | High | Medium | Medium |
| GWO [135] | High | Medium | High | Medium |
| PSO [82] | High | Medium | Low | High |
| PSO-PI | Medium | high | High | Medium |
| CSA [15] | High | Low | High | High |
| Proposed CS-STSMC-MPPT algorithm | Very High | Low | High | Medium |
| Algorithms | MPPT Type | Cases | GMPPT (W) | Efficiency (%) | Convergence Time (ms) | Converter |
|---|---|---|---|---|---|---|
| Proposed CS-STSMC | Metaheuristic | Case1 | 600.3 | 100 | 270 | Boost |
| Case2 | 326.1 | 100 | 430 | |||
| Case3 | 244.83 | 100 | 580 | |||
| Improved CS [16] | Metaheuristic | - | - | 99.97 | 290 | Buck boost |
| CSA [15] | Metaheuristic | Case1 (one peak) | 325.5 | 99.97 | 310 | boost |
| Case2 (two peaks) | 281.2 | 99.64 | 490 | |||
| Case3 (five peaks) | 143.2 | 99.93 | 360 | |||
| Variable step size incremental resistance (VSS-INR) [136] | Metaheuristic | Case1 | 1339.6 | 97.82 | 350 | Boost |
| Case2 | 596.8 | 96.07 | 391 | |||
| Case3 | 1407 | 96.01 | 501 | |||
| PSO & P & O [132] | Hybrid | Case1 | 239.6 | 98.41 | 210 | Boost |
| Case 2 | 115.86 | 98 | 220 | |||
| Case3 | 76.57 | 97.71 | 298 | |||
| Dynamic Group Based Cooperation Optimization [137] | Bio-inspired | - | - | 99.88 | 383 | Boost |
| FLC [136] | AI | Case 1 | 399.1 | 99.9 | 263 | Boost |
| Case 2 | 183.0 | 72.8 | 255 | |||
| Case 3 | 95.9 | 65.5 | 74 | |||
| P & O [15] | Conventional | Case 1 (one peak) | 325.5 | 99.26 | 650 | boost |
| Case 2 (two peaks) | 281.2 | 75.32 | 230 | |||
| Case 3 (five peaks) | 143.2 | 93.57 | 270 | |||
| FPA [18] | Soft computing | Case1 (no shading) | 120 | 99.33 | 751 | boost |
| Case2 (weak shading) | 55.81 | 98.98 | 756 | |||
| Case3 (strong PSC) | 42.16 | 99.74 | 752 |
Disclaimer/Publisher’s Note: The statements, opinions and data contained in all publications are solely those of the individual author(s) and contributor(s) and not of MDPI and/or the editor(s). MDPI and/or the editor(s) disclaim responsibility for any injury to people or property resulting from any ideas, methods, instructions or products referred to in the content. |
© 2023 by the authors. Licensee MDPI, Basel, Switzerland. This article is an open access article distributed under the terms and conditions of the Creative Commons Attribution (CC BY) license (https://creativecommons.org/licenses/by/4.0/).
Share and Cite
Hadj Salah, Z.B.; Krim, S.; Hajjaji, M.A.; Alshammari, B.M.; Alqunun, K.; Alzamil, A.; Guesmi, T. A New Efficient Cuckoo Search MPPT Algorithm Based on a Super-Twisting Sliding Mode Controller for Partially Shaded Standalone Photovoltaic System. Sustainability 2023, 15, 9753. https://doi.org/10.3390/su15129753
Hadj Salah ZB, Krim S, Hajjaji MA, Alshammari BM, Alqunun K, Alzamil A, Guesmi T. A New Efficient Cuckoo Search MPPT Algorithm Based on a Super-Twisting Sliding Mode Controller for Partially Shaded Standalone Photovoltaic System. Sustainability. 2023; 15(12):9753. https://doi.org/10.3390/su15129753
Chicago/Turabian StyleHadj Salah, Zahra Bel, Saber Krim, Mohamed Ali Hajjaji, Badr M. Alshammari, Khalid Alqunun, Ahmed Alzamil, and Tawfik Guesmi. 2023. "A New Efficient Cuckoo Search MPPT Algorithm Based on a Super-Twisting Sliding Mode Controller for Partially Shaded Standalone Photovoltaic System" Sustainability 15, no. 12: 9753. https://doi.org/10.3390/su15129753
APA StyleHadj Salah, Z. B., Krim, S., Hajjaji, M. A., Alshammari, B. M., Alqunun, K., Alzamil, A., & Guesmi, T. (2023). A New Efficient Cuckoo Search MPPT Algorithm Based on a Super-Twisting Sliding Mode Controller for Partially Shaded Standalone Photovoltaic System. Sustainability, 15(12), 9753. https://doi.org/10.3390/su15129753

