Abstract
There have been significant changes in daily activities and corresponding durations since the outbreak of COVID-19. This study examines how the built environment factors and individual/household characteristics affect activity durations (e.g., shopping, social-related, hiking, and working) under the COVID-19 pandemic and analyzes the heterogeneity between different urbanized areas using the data of a Dutch national travel survey in 2020. A hazard-based duration model (e.g., the Cox proportional hazard model) was used to predict activity durations. Estimation results showed that the activity durations for different social groups varied under different geographical and policy conditions. In particular, women and seniors are more susceptible to the unprecedented pandemic, manifested in significantly shorter durations for work and hiking activities. In addition, couples with one or more children need to shorten their working hours and give more attention to their children due to the closure of nurseries and schools. Furthermore, the influences of built environment factors also present significant differences. A higher number of service facilities does not significantly foster the extension of hiking activity duration; however, this is the opposite among regions with more open green areas. Compared with previous studies on analyzing the influencing factors of activity durations, this study incorporated some unique variables (e.g., COVID-19 countermeasures and urban class) to consider the temporal and spatial heterogeneity under the particular pandemic period.
1. Introduction
Since the first known outbreak of COVID-19 in Wuhan, China, in December 2019, this novel coronavirus has spread rapidly around the world. Precisely because of the unexpected epidemic, many countries have suffered varying losses. By early October 2021, more than 233.2 million cases were confirmed in 215 countries, with more than 4.7 million deaths [1]. In order to limit the further spread of COVID-19 and reduce the number of deaths, most countries have imposed certain restrictions on their residents. Like other European countries, the Netherlands has also introduced some epidemic prevention and control measures in the last two years. These measures are expected to present an effective method to prevent and slow down the pandemic in the Netherlands. However, the practical effects depend on how society follows these rules. Subject to these kinds of stricter control measures, Shelat et al. [2] found that residents could be roughly divided into two groups: “COVID Conscious” and “Infection Indifferent”. In addition, the residents’ various activities could also provide valuable references for the government to adapt and update COVID-19 prevention measures further.
The COVID-19 pandemic and its countermeasures have disrupted daily life in many aspects. One of those apparent influences is on travel behavior and transportation mode choices. For instance, based on a worldwide web-based survey finding, Abdullah et al. [3] argued that during the COVID-19 pandemic, the primary trip purpose became supermarket shopping. In addition, private vehicles and active transport have become the first choice. Existing studies have largely focused on the analysis of the impact of pandemic preparedness policies on transportation and travel during the pandemic [3,4,5,6]. Moreover, there have been numerous studies examining the changes in activity duration during the COVID-19 pandemic [7,8,9,10]. However, the specific factors influencing activity duration in the context of the pandemic and whether the effects of built environment and socio-demographic factors on activity duration have been altered remain relatively unexplored. Therefore, in response to this gap, the paper aims to investigate the duration of various activities based upon proposed governmental control measures for COVID-19 and the built environment, primarily focusing on the Dutch context.
Due to the unique situation of the COVID-19 pandemic, the current paper investigates the activity duration by considering two aspects of drivers: the observed heterogeneity in socio-demographic characteristics and the built environment under COVID-19 countermeasures. The former has universal and observable variability, such as individual/household characteristics (e.g., age, income). The latter has its own unique features because the built environment factors (e.g., some public service facilities) under the pandemic can only be used with restrictions [11,12].
Firstly, many governments have adopted social distancing and family isolation measures to minimize the damage to health caused by COVID-19 [13]. Although measures are considered to reduce the transmission rate of this coronavirus, they can also endanger people’s mental health, such as increasing the incidence of anxiety and depressive symptoms [14]. Therefore, influenced by this anxiety, people could be more inclined to participate in activities of a relaxing nature in their lives, such as travel and exercise [15]. However, not everyone is worried about COVID-19. Residents have differences in awareness of COVID-19 infection due to different socio-demographic characteristics, such as gender, education, and age [2]. Therefore, the latest research appears to show that individuals with different characteristics tend to have different activity features. Against this background, our research focuses on whether heterogeneous socio-demographic characteristics affect the activity duration under the COVID-19 pandemic. This exploration facilitates the identification of unique characteristics linked to different population groups, thereby equipping policymakers with new perspectives to develop customized and effective policies targeted at specific segments of the population.
Secondly, researchers have confirmed that exercise activities, such as sports and cycling, strongly correlate with the surrounding built environment for residents of all ages [16]. In addition, some studies have also confirmed that the built environment is inseparable from the duration of shopping activities [17]. As discussed in Koohsari et al. [18], the walkability of surrounding buildings will worsen with the improvement of the built environment, and the increase in population density will, in contrast, promote the sedentary behavior of residents. These factors have a potential impact on the duration of various types of activities. Furthermore, store opening hours have also changed due to the implementation of COVID-19 policies [19]. Consequently, the built environment and government policies have a profound joint influence on activity duration. Therefore, it is also necessary to analyze the relationship between the built environment, COVID-19 countermeasures, and the duration of various activities in life.
This paper investigates the impact of COVID-19 countermeasures taken by the Dutch government and the surrounding built environment of the community on activity duration based on a hazard-based duration model. The main contribution of this study does not lie in its methodology, as hazard-based duration models have already been successfully employed in studying event durations across multiple disciplines, such as biomedicine [20] and traffic safety analysis [21]. In relation to the topic of our study, hazard-based duration models have been deployed to understand household evacuation time behavior in the United States [22], as well as to investigate travel patterns concerning the use of new energy modes [23]. Additionally, related techniques have been applied to explore factors influencing social activity durations [24], gender differences in commuting activities [25], and walking durations during daily travel [26]. What sets our study apart is its pioneering approach, as it is the first, to the best of our knowledge, to employ this tool in analyzing the impact of various built environment factors and individual/household characteristics on activity durations during the COVID-19 crisis.
While this study focuses specifically on the Netherlands, and we acknowledge the substantial variations among countries in terms of their culture, urbanization, government-implemented COVID-19 countermeasures, and daily travel patterns [5,6,27], we nonetheless also note that many other countries have experienced similar changes in behaviors during the pandemic, akin to those observed in the Netherlands [28]. Therefore, considering the shared features of reduced travel demand and ongoing debates on COVID-19 countermeasures, we expect that that our findings will provide valuable insights extending beyond the specific context of the Netherlands.
The rest of this paper is organized as follows. Section 2 reviews the existing relevant literature on behavior changes under the COVID-19 pandemic and methodologies. Section 3 explains the data, study area, and research time. Section 4 develops the hazard-based duration model to derive hazard function distributions for various activities. Estimation results for the considered factors and significant findings are then elaborated in Section 5. Finally, the paper gives conclusions and recommendations for future research.
2. Literature Review
In the past two years, extensive and continuous measures have been announced by governments worldwide to stem the spread of COVID-19 [5,29]. Nevertheless, a problem is that people’s lives have been strongly shaped, and these effects are unprecedented. Significant influences of COVID-19 countermeasures and built environment factors on daily activities have been found in prior studies, presenting the differences among different communities and social groups [3,4,11,12,30,31]. Since the objective of this paper is to examine the relationship between socio-demographic, built environment factors, and activity durations under the COVID-19 pandemic and to explore the spatial heterogeneity of influences across different urbanized areas, the review mainly focuses on the pandemic and the resulting activity duration features. The related aspects could be summarized as follows: (1) the impact of COVID-19 on people’s daily life; (2) activity duration and its influencing factors; (3) methodology; and (4) research gaps.
2.1. Life Changes under the COVID-19 Pandemic
Amid the continual spread of COVID-19, Thunström et al. [29] and Cohen and Kupferschmidt [32] have noted the necessity and feasibility of the requirement for a part of the community to stay at home such that the social distance can be maintained and the strategy of “flattening the transmission curve” can be ensured. Indeed, such large-scale travel restrictions have had significant negative effects on individual travel and economic activities of enterprises. In particular, the unprecedented pandemic has severely disrupted travel patterns in almost all countries worldwide. Taking the United States as an example, the decline in accommodation orders in every American state provides evidence for the shrinking of traveling [30]. Studies have also shown that, due to the fear of COVID-19, even a low risk of COVID-19 infection can significantly affect the turnover rates in an area. In addition, the decline in the turnover rates was also influenced by the citizens’ desire to follow governmental regulations [33]. Furthermore, due to the closure of recreational, educational, and workplace facilities and the local or international travel restrictions, individuals were forced to spend more time in their habitations. Consequently, they began to find ways to replace or supplement their non-family activities with family activities [4].
Some studies also indicated that, from the long-term point of view, individual voluntary behaviors rather than government regulations might be more critical in controlling COVID-19 transmission in Western countries [34]. Specifically, compared with citizens in other European countries who were forced to stay at home, the Dutch government relied a great deal on amoral appeals, encouraging citizens to stay at home and maintain a 1.5 m social distance as much as possible. All public spaces, from parks to beaches, were kept open in the early days of the outbreak of COVID-19 [35]. However, as the number of infections increased, the Netherlands also adopted “intelligent lockdown”. During that period, cafés, restaurants, gyms, and schools were forced to close [36]. Obviously, young people were free to join clubs and watch movies, women were free to participate in shopping activities, and men were free to practice or watch football before the pandemic [37]. Under the lockdown policies, people’s activity duration had to be adjusted passively (i.e., from March to July 2020).
Meanwhile, an extensive body of research has been dedicated to investigating the impacts of the COVID-19 pandemic and its associated policies on travel behavior, placing specific emphasis on scrutinizing the spatial and social heterogeneity. Utilizing extensive cellphone big data collected from regular metro users, Liu and Zhang [5] conducted a comprehensive study to examine the socially and spatially heterogeneous impacts of mobility intervention policies on daily metro transit use in Shenzhen, China. Concurrently, Zhang and Li [6] adopted a similar methodology to investigate the causal effects of mobility intervention policies on urban park visits during the COVID-19 pandemic. Furthermore, employing spatial regression models, Li et al. [38] explored the utilization of urban parks before and during the pandemic in Guangzhou, China, and identified spatially uneven effects, underscoring the importance of considering sub-city-level differences (i.e., spatial heterogeneity) in city planning. These aforementioned studies collectively demonstrate the presence of social and spatial heterogeneity in influencing various factors.
2.2. Activity Duration
Previous studies generally divided activities into work-related and non-work-related activities and indicated that the time allocation of work-related activities has better predictability and lower dependence on personal daily spatiotemporal constraints [39]. Compared to work-related activities, the modeling of non-work-related activities is more complicated, and these complexities could be attributed to the flexibility, variability, and randomness of such behaviors [40]. In addition, the examination of relevant literature showed that the non-work-related activities have great diversity, making diversity seeking a critical factor in the choice of non-work-related activities (e.g., shopping activity, travel activity, social activity). The duration of these activities has been extensively investigated in the literature [24].
Bláfoss et al. [41] found that the durations of work-related activities and non-work-related activities were negatively correlated and varied with the changes in age and physical strength. Analogously, Sreela et al. [42] analyzed the duration of shopping activities based on parametric and semi-parametric hazard-based models. In their research, the impacts of household status, gender, age, travel cost, and activity start time were considered. In terms of economic conditions, Sarangi and Manoj [43] developed a multivariate Probit model to evaluate the decision making for activity participation and analyzed the duration of various activities. Furthermore, with time and budget constraints, Dane et al. [44] proposed an activity-based model to simultaneously predict the duration of several outdoor leisure activities.
The effects of built environment factors on activity duration have also been examined in previous studies [31]. Some researchers found that the built environment factors are closely related to outdoor leisure activities [17,23,45,46]. In particular, various studies have highlighted the effects of the built environment on the duration of outdoor activities and sedentary behavior of young and old adults [47,48]. Based on spatial hazard modeling, Anastasopoulos et al. [23] examined the impacts of distance of different facilities on the duration of hiking activities. Clark et al. [45] also found that the changes in outing activities are significantly affected by life events, spatial context, and individual perceptions (e.g., attitudes towards the built environment). Hahm et al. [17] examined the causal relationship between the built environment, walking duration, and activity duration of shopping activities using GPS data in Seoul retail districts. Based on the national travel survey data of the Netherlands, Wang et al. [46] examined the impacts of the built environment and natural environment factors on the duration of recreational activities. In the context of the pandemic, Park et al. [31] conducted a study examining the impacts of COVID-19 and built environments on daily community living activities. Their research specifically concentrated on individuals with disabilities, who are particularly susceptible to the effects of the pandemic.
2.3. Methodologies
In recent years, the growing focus on studying time allocation has sparked a quest for flexible and tractable modes, exemplified by the emergence of the multiple discrete continuous extreme value (MDCEV) model as a prominent approach [49]. Originating from the foundational concept of maximizing individual utility, multiple discrete continuous (MDC) structures have evolved into a framework to model decisions related to activity participation and time allocation while accounting for budget constraints. These methodological advancements have yielded noteworthy contributions in understanding the dynamics of activity participation [50]. More recently, the MDC model, which emphasizes the heterogeneity in socioeconomic characteristics and individual activity duration, has been further developed into a choice model with latent variables [51]. Although some MDC variant models (e.g., multiple discrete continuous extreme value models) improved the variable handling method, in most cases, the MDC models still treat the duration of activity as a discrete variable [52]. In addition, it is important to highlight that, owing to the data prerequisites involving both discrete choice and continuous consumption decisions, MDC models are commonly applied with stated preference data as opposed to revealed preference data [53]. Conversely, the data used in this study fall under the category of revealed preference data, thereby posing challenges in utilizing the MDC model to examine the determinants influencing activity duration.
Due to the dynamic characteristics, non-work-related activities have inherent randomness, leading to uncertainty in estimating activity duration. The fuzzy set theory has been proved to be an effective method to deal with the uncertainty in construction projects [54]. Salah and Moselhi [55] modeled emergency activities in projects based on the fuzzy set theory and used the digital fuzzy number to express the total duration of each activity. However, the fuzzy set theory cannot assign proper weights to the estimation. In addition, the application of the average method may also cause incorrect membership functions, a core element of fuzzy set theory [56]. Consequently, Gładysz [57] proposed a hybrid probability distribution model that employed beta distribution and generation probability distribution of fuzzy variables to model task durations. In their model, the deterministic level was also incorporated into the most likely time estimation. However, this particular model is better suited for modeling activities within construction projects rather than individual travel activities. Therefore, it is crucial to find a method that can effectively model and investigate the factors influencing the variations in daily activity durations.
In addition to the aforementioned methods, other commonly used approaches in the literature to investigate the correlation between the built environment and physical activity duration include multilevel Tobit regression models [58], structural equations [16], multiple regression models [31], and spatial regression models [38]. However, there is an important concept that needs to be highlighted, namely, the dependence of the probability of an activity’s end on the duration of the activity. In other words, the likelihood of ending an activity is influenced by the amount of time already spent on the activity. However, these models do not take this characteristic into account. Therefore, it is crucial to find a model that can incorporate this concept in studying duration-based data.
The use of hazard-based duration models to study the time of occurrence for an event has been a subject of research. Due to the flexibility of accounting for censored observations of duration, this kind of model has been widely used in the analysis of duration data. In particular, the proportional hazard model is the most commonly used method in duration research [59]. For instance, using the proportional hazard model, Yee and Niemeier [60] analyzed the duration data obtained from Puget Sound Transportation Panel surveys. Additionally, based on a hazard-based econometric model, Anastasopoulos et al. [61] analyzed the effect of influential factors on trip distance. Pang and Krathaus et al. [21] adopted a hazard-based duration model considering multiple layers of heterogeneity to analyze accident occurrences during snow events. It needs to be emphasized that heterogeneity is a critical factor in duration modeling. The most commonly used method in the literature to consider this factor is to incorporate an unobserved random term. Another alternative that could include heterogeneity is to separately estimate parameters for different segments of individuals using the underlying factors. Relative to other econometric models (e.g., standard regression), the Cox proportional hazards model could reasonably consider the effect of heterogeneity. Therefore, in this paper, the Cox proportional hazards model is adopted to examine the relationship between activity duration, socio-demographic characteristics, built environment factors, and some representative COVID-19 countermeasures under the COVID-19 pandemic.
2.4. Research Gap
The review of existing works presented above clearly shows missing knowledge of activity duration under an emergency. Most studies only consider the relationship between socio-demographic characteristics and activity duration, ignoring the impact of environmental factors such as the built environment [26]. Considering the differences in the built environment due to COVID-19 pandemic countermeasures, further understanding the heterogeneous impacts of built environment factors and COVID-19 countermeasures on activity duration is needed. Furthermore, studies on the relationship between activity duration and built environment factors only focus on a single area and fail to explain the differences in activity duration between different urbanized areas. The spatial heterogeneity remains underexplored.
Therefore, to fill these research gaps, this study explores the duration patterns of various activities by analyzing the Dutch national travel survey and physical neighborhood data in 2020. Rather than defining complex land-use mix indexes, like in the literature, we directly used lower-level land-use variables to measure the built environment in this study. In addition, the impacts of COVID-19 countermeasures are also considered for the first time. Moreover, we also examined the interaction effects between built environment factors and COVID-19 countermeasures, e.g., the number of opened stores under the COVID-19 pandemic. Finally, the spatial heterogeneity in the duration of various activities for Dutch society was also recognized using the hazard-based duration model. Results obtained in this paper could serve as a reference for policymakers to understand the effectiveness of COVID-19 countermeasures in different areas and take timely steps to better control the spread of COVID-19.
3. Data and Study Area
3.1. Study Area, Time Span, and Dependent Variable
This paper considers all of the Netherlands as the study area. As different urban contexts are found in different Dutch cities, the individual travel behaviors are bound to show different traits. In the literature, the regional division of the Netherlands is usually made based on municipalities, towns, or districts. Statistics Netherlands also takes these classifications to publish statistics [36,46]. However, as an important identification code for location, the classification according to postcode areas has also become popular in recent years. Therefore, this paper aggregates all data at the postcode level for the analysis.
The data employed in this study were retrieved from different data sources. In particular, being the most critical dependent variables, the activity duration was collected as part of the Dutch national travel survey conducted from January to December 2020 [62]. The survey includes data from 62,940 respondents, about 0.38% of the population aged six years and older. Respondents were asked to keep a record of where they visited, for what purpose, with what means of transport, and how long the activity lasted for one particular day of the year. Additionally, information of individual/household characteristics, such as age, gender, and driving license, was also collected. The location data were registered at the 4-digit postcode level, which was used to link with the data at the neighborhood level. The data contained a total of 4072 4-digit postcode areas (see Figure 1).
Figure 1.
Study area of the Netherlands (four-digit postcode areas).
A detailed classification of activities (e.g., nine kinds of activities) was used in the survey, and it is available from the corresponding author upon request. However, considering the potential influence of COVID-19 policies on the possibility of various activities, these activities were reclassified into four major activity classes: daily shopping, social-related, hiking, and in-office work. Furthermore, to ensure that all activities examined originated from the home location, activities departing from non-home addresses were excluded from the analysis. The resulting sample size available for the present investigation included 12,392 shopping activities, 6481 social-related activities, 8870 work-related activities, and 4142 hiking activities. Based on the collected data, the average duration of activities was found to be 43.7 min for shopping activity, 129.7 min for social-related activity, 315.7 min for work-related activity, and 167.9 min for hiking activity.
3.2. Explanatory Variables
The selection of the influential factors was largely based on the previous work on activity analysis [26]. In Table 1 and Table 2, we provide a descriptive summary of the variables. Nine variables related to individual/household characteristics were included to capture the effects of social demographics on activity duration. In addition, several groups of neighborhood characteristics were also considered to explore the impacts of built environment factors on activity duration. Furthermore, four types of COVID-19 countermeasures were included to assess the effectiveness of various Dutch governmental measures on reducing regular activity duration.
3.2.1. Social Demographical and Neighborhood Characteristics
Among individual/household characteristics, the effects of gender, age, driver’s license, education level, migration background, income status, household status, the number of vehicles in the household, and the number of young members in a family were examined. Some variables have continuous values while others are categorical. For categorical variables, the first category was considered as a reference.
The neighborhood data were extracted from the Dutch Central Bureau of Statistics [63,64,65,66]. Five aspects were considered, including density, facilities, green space, land-use mix indexes, and an urban class variable. The density variables include population density and neighborhood address density. Facilities contain a range of facility–distance variables and the number of facilities available within a 5 km radius. Note that the facility–distance variables represent the average distance from the neighborhood center to its nearest facility. In this study, various types of facilities are considered, namely health and well-being facilities (e.g., hospitals), retail facilities (e.g., department stores), catering facilities (e.g., restaurants), education facilities (e.g., primary schools), traffic and transport facilities (e.g., train stations), and leisure and cultural facilities (e.g., museums and music venues). For a detailed explanation of these facility variables, please refer to Table 1 and Table 2. In addition, as discussed earlier, people under the pandemic may become more willing to use open and clear space to avoid crowds and reduce the infection risks. Thus, a wide variety of green space variables, including open green spaces (e.g., green park space, forest, and open nature space) and daily recreational spaces (e.g., sport space and recreation area), were included.
Moreover, we tested a wide range of land-use mix indexes [67], including the Balance Index, the Entropy Index, and the Herfindahl–Hirschman Index. However, none of these indicators showed significant improvements in the model goodness of fit and interpretability. Thus, we used the percentages of specific land-use types within an area (e.g., land use for traffic, land use for residential buildings, land use for agriculture, and land use for recreation). Finally, an urban class variable was used to represent the level of urbanization within an area. A detailed description of these built environment factors is provided in Table 1 and Table 2.
It is also important to point out that the neighborhood data do not entirely match the travel survey data presented in Section 3.1 because the travel data were identified based on the 4-digit postcode, while the neighborhood data were derived from the Esri-open postcode plane with 8 digits. Indeed, the 4-digit postcode area represents a higher level of spatial aggregation than the 8-digit neighborhood postcode. For further analysis, the neighborhood data were aggregated to the 4-digit postcode level. Based on the final candidate variable dataset, some statistical indicators for the candidate variables are also presented in Table 2.
Table 1.
The list of variables.
Table 2.
The descriptive analysis of the final candidate variable dataset.
3.2.2. COVID-19 Countermeasures
As in many other countries, unprecedented packages of COVID-19 countermeasures, namely intelligent lockdown and hard lockdown, were also announced in the Netherlands. Figure 2 summarizes a timeline of COVID-19 countermeasures announced by the Dutch government over the whole of 2020. Besides this, the number of new cases daily (along with the policy packages) during the same period is also presented. Policies such as working from home, banning large-scale events, and social distancing undoubtedly have a significant impact on activity choice behavior and activity duration.
Therefore, this study included the variables presenting the information on the Dutch countermeasures to consider the effects of COVID-19 countermeasures on activity duration. In particular, several representative policies, e.g., suggestions for working from home, physical distancing requirement, mandatory mask wearing, and entertainment closure, were included as control variables of our models. The selection of the four countermeasures could also be attributed to the fact that these four measures are some of the most well-adopted response strategies worldwide, making the result comparison of different countries in future studies easier and more convenient [12,36,68].
Figure 2.
Measures against COVID-19 and the number of new cases daily during the same period.
3.3. Descriptive Statistics
In short, four dependent variables and six groups of explanatory variables are considered in this paper. Table 2 shows a detailed overview of the variable classification and the descriptive statistics of all involved variables.
4. Methodologies
In this study, the activity durations under the COVID-19 pandemic were modeled based on hazard-based duration models. Specifically, a semi-parametric model, known as the Cox proportional hazards model, was developed to examine the relationship of various covariates with the activity duration data. Using this model, the survival probabilities of the duration data (or the conditional probabilities of ending activities at a specific time t) could also be estimated and acquired [24].
4.1. Survival Analysis
In hazard-based duration models, a hazard function h(t) gives the rate at which an event (e.g., ending of an activity) occurs during a specific time interval, e.g., t to t + δ, given that the event has not occurred. This conditional probability of an activity’s end is critical in the model because the probability that an activity terminates depends on the length of time the activity has lasted. For instance, when examining activity durations, the probability of an individual ending an activity is contingent upon the time the individual has already spent on that activity. Due to this feature, the hazard-based duration model was selected in this study, rather than other statistical models (e.g., partial least square regression), to examine the determinants of activity duration. In this study, it is assumed that the activity duration starts when an activity is about to be executed and ends when the activity is actually performed. The hazard function can be expressed mathematically in the following equation.
where t is a specific time and T is a non-negative continuous random time variable with a probability density function f(t) and cumulative distribution function F(t). Note that the function F(t) defines the probability that an activity is completed before time t The mathematical expressions for the two functions are given by Equations (2) and (3).
F(t) = P(T < t)
In addition to the hazard function, the survival function is another important concept in hazard-based duration models [69]. This function is defined as the probability that the activity duration is greater than or equal to a specific time t (see Equation (3)).
The most frequently used method to estimate the survival function in the literature is the Kaplan–Meier method [70]. This non-parametric model exploits the product limit of conditional probabilities to estimate the approximate survival function. A general formula for the Kaplan–Meier estimator is shown below.
where r(ti) represents the number of individuals at risk of ending their activity in time period i, d(ti) is the number of individuals terminating their activity in time period i, and K is the number of all time periods. However, it should be pointed out that the non-parametric models cannot involve any other covariates except for the duration variable.
4.2. Hazard-Based Duration Model
The effect of covariates on the activity duration can be accounted for by two alternative hazard models: the accelerated hazard (AH) model and the proportional hazard (PH) model. Unlike the PH model, which assumes the covariates have a constant effect on an unspecified baseline hazard function, the AH model requires a prior distribution (e.g., exponential, Weibull, log-logistic, etc.) for the hazard function. Previous studies also pointed out that the approach will lead to inconsistent estimates if the assumption of the distribution of hazard function is incorrect [71,72]. Alternatively, the semi-parametric hazard model is convenient when there is little or no knowledge on the hazard functional form available; in addition, the parametric assumption of the effects of covariates is still retained. For a detailed discussion of hazard-based duration models, see Hensher and Mannering [69] and Bhat [73]. In this paper, in order to address the above issues, the most frequently used approach in modeling duration data from biostatistics and economics, namely the Cox proportional hazards model, is employed. For this model, the hazard function is generally expressed as follows.
where h0(t) represents the baseline hazard function, i.e., a non-parametric model that does not need to be nominated as having a specific distribution. The other part is a parametric model, in which the exponential of a linear combination of covariates and corresponding parameters is involved. X is a vector of attributes describing the socio-demographics of individuals and the built environment. The vector β is a set of unknown parameters to be estimated. Note that this model could be estimated using standard maximum likelihood methods. Combining the estimated parameters and hazard ratios, this model could provide an adequate explanation for the duration data.
h(t, X) = h0(t) exp (βTX)
Based on the t-statistic, variables introduced in Table 2 were included in the final models if they were significant in any single activity duration model. In particular, a variable that had a significant effect on one activity was also included in other activities, even if this variable was indeed insignificant in that model. The main reason for this action was to fairly compare the effect of a variable on different activities (i.e., how the variable influences duration differently across different activities).
5. Results
5.1. Results of Survival Curve Analysis
As discussed earlier, this study aims to analyze the heterogeneity of activity duration between different urbanized areas. In this case, the distribution of activity duration is first examined. As an initial step, the survival curves for different urban classes were first estimated and depicted (see Figure 3). Collectively, this visual assessment provides an opportunity not only to examine the distributional characteristics of different activity durations but also to determine whether the differences in activity durations between different urbanized areas are sufficiently significant to warrant further investigation.
The survival curves presented in Figure 3 are for four different types of activities. As there are some overlaps for the survival functions of different urbanized areas in some specific activities, we also present a fitted hazard curve (see Figure 4) to jointly analyze the differences in activity durations between different urbanized areas. The findings deduced from these analyses are summarized as follows.
A general finding is that the activity behaviors (e.g., shopping, socializing, hiking, and work) are similar across Dutch citizens in different urbanized areas because the trends of all graphs for each activity are almost identical. However, as can be seen, the significance of the drops in the value of the survival function for different urbanized areas is higher among social, hiking, and working activity than shopping activity.
More specifically, Figure 3a indicates that the drop in shopping activity duration in highly urbanized areas is more remarkable than other areas in periods under 75 min, but the opposite in periods over 125 min. In that time period, the shopping activity durations for citizens living in non-urbanized areas fell at the fastest rate. One potential explanation for this finding is that the higher density of shopping facilities in highly urbanized areas leads to residents having relatively shorter shopping durations, mainly concentrated within 75 min. In contrast, residents in non-urbanized areas, confronted with the inconvenience of shopping, engage in longer shopping durations to meet their needs for an extended period. Consequently, they tend to make bulk purchases to fulfill their future requirements, resulting in a relatively longer shopping duration. In addition, as shown in Figure 3a, the probability of continuing the shopping activity declines more steeply in the periods under 50 min than other periods for all urbanized areas. The probability of continuing the shopping activity after 50 min was only about 23%, and there is 50% likelihood that Dutch citizens end their shopping activities in 29 min. This value is slightly lower than the average time Europeans spend on shopping activities, but the finding is consistent with our experience (https://ec.europa.eu/eurostat/web/products-eurostat-news/-/edn-20181123-1, accessed on 4 May 2023).
Similarly, the survival functions for social-related activities are summarized in Figure 3b. It can be seen that the main drops in the survival functions are seen at up to 4 h, and the rate of reduction rapidly decreases after this period. In particular, the probability of social-related activities longer than 4 h is 11.3%, 11.7%, 11.3%, 8.7%, and 6.2% for Dutch citizens in very strongly urban, highly urban, moderately urban, slightly urban, and non-urban areas, respectively. We can also observe that the fall in the survival function values is more remarkable in less urbanized areas (e.g., slightly and not urban) than in other areas. One plausible explanation for this finding is that residents living in less urbanized areas, where social facilities are limited in availability, need to travel a greater distance to engage in social activities. The relatively longer return journey, coupled with the increased risk of infection during such social interactions, prompts them to prefer concluding their activities at an earlier time.
Regarding the survival functions for hiking activities, Figure 3c indicates that the probability of continuing hiking activity decreases almost linearly in periods under 300 min. In addition, it is interesting to note that the decline in hiking activity duration in non-urban areas has a relatively high magnitude. This result implies that a wide-open area does not lead to a significant increase in hiking activities. Quite the opposite, the hiking activity duration is much higher in slightly urban areas, especially when the periods are over 200 min. Specifically, compared to the average hiking time provided in Table 2, the probability of continuing hiking activity for longer than that time is 47.4% and 38.7% for citizens in slightly urban areas and non-urban areas, respectively. This finding raised a question regarding the shared experience that more open green areas result in more hiking activities. It seems possible that the lack of essential public facilities (e.g., shops and restaurants) might be the cause of the opposite results in non-urban areas.
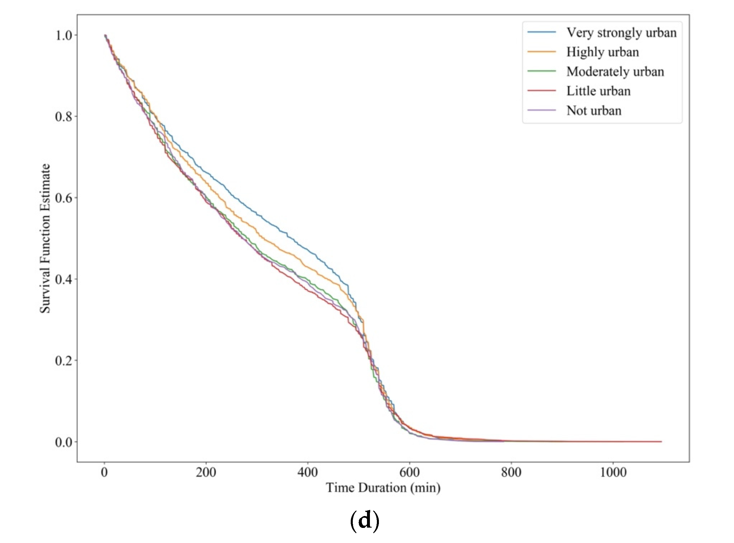
Particular attention should be given to the survival functions of working activities, which have a relatively interesting distribution pattern. Unlike the distribution pattern of other activities, the S-shaped survival function for work activities shows that the reduction rate is relatively high in periods under 2.5 h and between periods of 7.5 h and 12 h. According to Figure 3d, the work activity duration for nearly 40% of the respondents lies between 2.5 h and 12 h, and the probability of work activities longer than 600 min (i.e., 12 h) per day is negligible. These values correspond well with findings from most previous studies (https://www.spica.com/blog/working-regulations-netherlands, accessed on 4 May 2023). For example, according to the latest OECD Better Life Index, most full-time employees in The Netherlands work 36–40 h per week (e.g., 430 min to 480 min per day). In addition, Dutch part-time work limits the working time to between 12 and 36 h per week. The data also provide indirect insights into the underlying reason for the S-shaped pattern observed in the survival function for work activities. The implementation of pandemic-related policies has led to a decrease in the operating hours of numerous businesses or service establishments and, in some cases, complete closures. Consequently, there has been a reduced demand for short-term part-time positions, and there is no need for full-time employees to extend their working hours. Instead, they are simply expected to fulfill their prescribed work hours, contributing to the relatively gradual decline observed in the middle part of the survival function for work activities. Furthermore, it can also be observed that the reduction rate of the survival function decreases with the increasing level of urbanization, indicating that citizens in highly urbanized areas tend to work longer than those who live in non-urban areas. This finding is as expected because the increasingly competitive environment in urban areas puts many people under great pressure and, consequently, they need to work hard for a better quality of life [74,75].

Figure 3.
Survival function estimation for different activities and urbanized areas. (a) Shopping; (b) Social; (c) Hiking; (d) Work.

Figure 4.
Fitted hazard curves for different activities and urbanized areas. (a) Shopping; (b) Social; (c) Hiking; (d) Work.
5.2. Results of Hazard-Based Duration Model
To examine the effects of the built environment and individual/household characteristics (introduced in Table 2) on the activity durations under the COVID-19 pandemic, a hazard-based duration model (e.g., the Cox proportional hazard model) was calibrated in this study. Note that, different from previous studies that calibrated the models for different groups, we include an urban class variable to consider the effect of urbanization on activity durations. In addition, based on the z-statistics, variables that were significant at a 10% level in one of the four activities were included in the final model. The detailed results are discussed in subsequent sections.
5.2.1. Individual/Household Characteristics
Table 3 represents the estimation results of the socio-demographic variable part. First of all, age tends to significantly influence the duration of social-related activities under the COVID-19 pandemic. The results reveal that, relative to the 18–24 age group, older persons tend to have shorter durations of social-related activities, and the magnitudes of this factor are distributed relatively equally across different age groups. This is probably because people try to avoid non-necessary social activities under the pandemic in order to protect themselves from infection. In particular, the fact that the magnitude for the older group (0.19) is higher than the magnitude for the middle-aged group (0.16) suggests that older people are more concerned by the pandemic, which is fairly consistent with most previous studies [2]. The results also show that young people are more likely to work longer in the pandemic, while elderly people work less. These findings are understandable because the 25–45 age group generally has a strong sense of professionalism, e.g., high level of commitment and motivation to work. In contrast, the elderly tend to work from home and shorten their working hours.
Regarding gender, results show that females are more likely to have a longer shopping activity duration but a shorter social and work-related activity duration. This may indicate that under the COVID-19 pandemic, females have a relatively strong willingness to shop. Unlike males’ shopping activities aiming simply to buy things, females prefer to treat it as a hobby and enjoy it [76]. Results also show that females are more reluctant to take part in social and work-related activities under the pandemic. Previous studies also indicated that the reduction of work and social activities decreases the probability of exposure to infected individuals [33]. One possible explanation for this may be that females need to devote more time to their families and take care of their children because of the closure (or the restricted use) of daycare centers and schools.
The results also reveal that people who have a valid driver’s license are more likely to spend more time on shopping and work activities. This finding highlights a shift that people expect to need to avoid crowds more than usual to reduce their exposure to COVID-19 [77]. One reason may be that it is convenient for people with a valid driver’s license to take part in these activities since they can use a relatively safe and private mode of transport (e.g., car) in their journey. However, the number of cars in the household has an opposite influence on hiking activity duration. It is shown that car-owning households tend to reduce their duration of hiking activities under the COVID-19 pandemic. This may be because people abandoned long-distance hiking in favor of walking or biking around their home locations due to the restrictions on non-essential travel.
Moreover, education level is also found to closely correlate with the activity duration under the COVID-19 pandemic. In particular, we found that people with lower education (e.g., primary and low vocational education) tend to have a longer shopping activity duration. This corresponds well with previous studies [78]. Particularly, relevant studies have also demonstrated that older and less educated people took more time shopping in brick-and-mortar stores [78]. In contrast, all education levels negatively affect the duration of social-related activities, and the effects are relatively stable. This finding confirms that a relatively large proportion of older adults with lower education are less likely to participate in social activities due to physical conditions [79]. In addition, this result may be caused by the policy of home quarantine. In recent years, the policy of home quarantine led to significant changes in the Dutch shopping pattern, and online shopping has become an appealing option to avoid crowded contact in offline malls.
Table 3.
Estimates for the socio-demographic variables.
The migration background leads to some interesting interpretations. The effects on shopping and work activity duration are significantly negative, which implies that individuals with migration backgrounds tend to spend more time on shopping and work compared with Dutch people. In addition, people with oriental immigrant backgrounds tend to reduce their hiking activity duration. This is perhaps because the perceived risk of infection for Eastern people is higher than that of people with Western backgrounds [80].
Furthermore, it is found that the coefficients of the income level are significant for social-related activities, indicating that high-income people are more likely to reduce the duration of social activities. This result is in line with the COVID-19 countermeasures urging the public to avoid social interactions outside of the household. In addition, due to the pandemic, people are more inclined to contact each other online unless face-to-face communication is necessary.
The results also show that household composition is closely related to activity duration, as one can expect that families with children tend to have shorter social and work-related activity duration. In other words, parents need to shorten their work time and spend more time at home with their children under the pandemic. Moreover, a single-parent household with children is positively and significantly associated with the hiking activity duration, which perhaps means single-parent households have a stronger need for hiking activities during the pandemic.
Similarly, the number of family members younger than six years old has a positive effect on hiking activity duration. As discussed earlier, children have to stay at home due to the closure of childcare facilities but outdoor activities are still necessary. Based on the policy adopted in the Netherlands, there are no restrictions on the travel of underage children. Consequently, parents would prefer to take their children to open green spaces.
5.2.2. Built Environment Characteristics
Regarding the green space variables, results reveal that individuals are more motivated to work and increase their working hours if large-scale green spaces (especially allotment gardens) exist around the workplace. This finding is consistent with our shared knowledge and experience because green space around offices could contribute to physical and mental health. In particular, green space areas around offices could make the office staff exercise properly in their spare time and make them feel energetic and relaxed. However, the result for time spent on socializing in sport and recreational areas is quite the opposite. This result confirms that people are more inclined to socialize in leisure and entertainment venues [81]. Private and quiet recreational areas are more suitable for social activities than noisy sports areas. It is interesting to note that business park and day recreation areas have a negative impact on the shopping activity duration. This reflects that, during the COVID-19 pandemic, shopping desires could be easily satisfied if many other recreational options were available in residential areas.
Similarly, the neighborhood address density (EAD) was employed as a residence measure for each neighborhood. A larger EAD represents a higher density of human settlement. The results show that individuals living in neighborhoods with high EAS have shorter durations for shopping activity. This finding seems logical, as the distribution of shopping malls in large population centers is generally broad, bringing convenience to local people and therefore shortening the shopping duration. From another point of view, EAD, to a certain extent, could reflect the economic status of a family. Individuals who live in villas with a low EAD or communities with large housing areas tend to have a high income [82]. Due to the different economic conditions, as expected, the frequency and duration of shopping activities also differ.
Particular attention should be given to the effects of facility variables. This part will be analyzed in the order of activities: (1) regarding the shopping-related activities, the results show that the duration of shopping activity will increase as the average distance from the center of the neighborhood to the nearest supermarket and daily goods stores increases. This can be attributed to the fact that individuals tend to buy more daily necessities at once to reduce the number of unnecessary trips during the pandemic. (2) For the social and hiking-related activities, it can be found that the duration of social-related activities increases by the increase in the average distance to supermarkets and cinemas. This may be because a long distance to supermarkets and cinemas indirectly indicates the area is less urbanized, and people need to travel for a long time to enjoy social activities. Consequently, when people conduct a social activity, they still tend to take part in it for a long duration even travel cost and risk of COVID-19 infection are high. As shown in Table 4, similar results are also found in the hiking-related activities. When respondents choose to take part in hiking activity, duration increases as the distance to cafés and cafeterias increases. This finding is indeed consistent with our shared knowledge and experience because people need to spend more time finding support facilities during their hiking activities. (3) Lastly, the results reveal that when the number of daycare facilities and restaurants in the neighborhood increases, the duration of work activity also increases. Quite the opposite, the average distance to an important transfer station and main highway entrance is significantly and negatively associated with the duration of work-related activities. The possible reason for these results may be that placing children in nurseries could effectively save parents’ time. On the other hand, due to long commuting distance or time, people’s intention to work in person will be severely weakened. Furthermore, as the distance from train stations increases, the noise in the community can be effectively reduced, which is beneficial for the workers’ productivity and work time [83].
Table 4.
Estimates for the built environment variables.
The lower-level land-use variables (e.g., retail and hospitality area, agricultural land, recreational area, residential area, and socio-cultural area) also significantly affect shopping and work-related activities, which is consistent with most previous studies. The negative coefficient of retail and hospitality areas for shopping activity indicates a reduced risk of these activities coming to an end. This suggests that a greater availability of shopping options has a positive influence on the duration of shopping activities. Quite the opposite, the agricultural area significantly and negatively influences shopping time. This result is understandable because a large agricultural area usually means a less developed urban area, and residents have fewer shopping options. In addition, the results show that the larger the recreational and residential areas in a neighborhood, the shorter the in-office work time. One logical explanation for this may be that the probability of exposure to the virus also increases due to the high population density in entertainment venues and residential areas. The negative impact of the soundness and expansion of entertainment venues on work should also be considered.
To further investigate the effects of urban class on the duration of different activities, a more detailed estimation (e.g., a quantitative analysis) was conducted to further analyze the correlations. Results are shown in Table 4. It is found that the effects on shopping activity duration in highly and moderately urbanized areas are both positive, indicating that residents in these areas exhibit longer durations of shopping activities compared to individuals in the very strongly urban area. This finding aligns with expectations, as the availability of shopping malls in highly and moderately urbanized areas is comparatively limited compared to very strongly urban areas. Residents in highly and moderately urbanized areas may face less convenience compared to those in very urban areas, leading them to make larger purchases in one go to meet their future needs. In addition, the relatively lower population density in highly and moderately urbanized areas, in contrast to very urban areas, contributes to a reduced risk of COVID-19 infection. As a result, local residents in these areas are more inclined to engage in longer shopping durations. This observation is further supported by the estimated parameter of the variable EAD.
It is interesting to note that a significantly positive correlation is found between the hiking activity duration and the fourth class of urban density (i.e., slightly urbanized area). This may be attributed to the fact that people who live in slightly urbanized areas tend to have a relatively slow-paced lifestyle and fewer options for leisure activities, especially under the COVID-19 pandemic with strict control measures [84]. In addition, due to the availability of large open spaces, the slightly urbanized areas are also more attractive for travelers to take part in hiking activities.
5.2.3. COVID-19 Countermeasures and Interaction Effects
For the effects of COVID-19 countermeasures, it can be found that the opening rule of entertainment venues is positively associated with the duration of shopping activity. This means that the issue of the opening rule of entertainment venues, initially aiming to reduce the shopping demand, tends to increase the shopping duration instead. A plausible explanation for this finding is the shorter opening hours in the pandemic and the limited store attendants. Compared with the pre-pandemic period, customers need to wait a longer time for services under the pandemic (e.g., waiting at the checkouts of supermarkets). In contrast to the positive impact of the opening rule of entertainment venues, the face mask requirement has a negative effect on the duration of social, hiking, and work-related activities. This finding is understandable because the public in Western countries has a perception that wearing a face mask in public open spaces is sometimes considered unusual for a healthy person. In addition, under the pandemic, the enforcement of the face mask requirement signifies a high risk of COVID-19 infection for travelers. This heightened risk not only leads individuals to instinctively shorten their activity duration but also reduce the frequency of their trips to protect themselves from infection. This finding is also supported by relevant literature [11,12].
We also estimated several two-way interactions to identify the interaction effects between built environment factors and COVID-19 countermeasures. Table 4 shows the significant interaction effects between the opening rule of entertainment venues and the number of restaurants and cinemas. It can be found that, when the entertainment venues are allowed to open, the durations of shopping and social-related activities tend to increase with the increasing number of restaurants and cinemas. Quite the opposite, the interaction between the opening rule of entertainment venues and the number of restaurants is significantly and negatively associated with the duration of work-related activities. The possible reason for this may be that people who have been constrained for a long time because of the “intelligent lockdown” are able to re-experience entertainment with the relaxation of measures. Consequently, these palliative measures further contribute towards longer durations of shopping and social-related activities. In addition, due to the long hours of working from home and telecommuting, working time will instead be taken up by other activities as the entertainment venues open up again.
6. Conclusions
Contributing to the literature on investigating the duration of activities, this study examines the effects of various factors on the duration of several typical activities, both in terms of individual characteristics and built environment factors. Unlike earlier studies on normal situations, this study focuses on the effects under the COVID-19 pandemic. More specifically, this paper used a hazard-based duration model to examine the differences in activity duration between different urbanized areas. In particular, the impacts of various COVID-19 countermeasures adopted by the Dutch government, individual characteristics, and local built environment factors on the duration of several representative activities were examined. In this regard, we hope to offer a stepping stone for future study efforts to investigate travel behavior and activity duration concerning the policy and built environments impacts of the COVID-19 or other pandemics in different countries.
The estimation results generally confirm that a relatively large number of factors influence the duration of social and work-related activities. To be more specific, most of these effects are negative, indicating that, under the COVID-19 pandemic, Dutch society as a whole tends to reduce their duration of social and work-related activities. It is also interesting to note that several socio-demographic characteristics and built environment types significantly and positively impact the shopping activity duration. In addition, household composition and green spaces around residential areas are found to correlate closely with the activity duration. As expected, the results also show that driving private vehicles and official COVID-19 countermeasures, to a certain extent, also affect individuals’ decision making regarding activity duration. These findings raised a question regarding the coincident objective of introducing COVID-19 countermeasures in many countries. The examination of relevant literature reveals that the primary goal of COVID-19 countermeasures (e.g., non-pharmaceutical interventions) is to minimize mobility and shorten all activities, regardless of their purposes, with the ultimate aim of reducing the transmission of COVID-19 [85]. However, based on the findings of this study, the implemented COVID-19 countermeasures in The Netherlands have only effectively decreased the duration of social and work-related activities. In other words, the COVID-19 countermeasures in the Netherlands have not fully achieved their initial objectives. Despite this, the findings of this study can also serve as a valuable resource for policymakers in developing targeted policies aimed at mitigating diverse types of activities during future health emergencies.
Moreover, the survival curve analysis revealed significant variations in the duration of different activities in terms of both patterns and locations. Specifically, the duration of shopping activities exhibited comparable levels across various urbanized areas. However, a more focused analysis indicated that individuals residing in highly urban and moderately urban areas tend to have longer shopping durations. Consequently, the cumulative impact of these subtle differences significantly influences the overall outcome. Additionally, individuals in highly urbanized areas demonstrated relatively longer durations of work activities compared to those in other urbanized areas. On the contrary, in less urbanized areas, the survival curve illustrating the duration of hiking activities exhibited a relatively rapid decline. This trend can be attributed to factors such as the presence of crop areas and inadequate infrastructural facilities. Subsequent analyses revealed no significant variations in the duration of work activities across different urbanized areas, and only slightly urban areas exhibited a positive impact on hiking activity duration. These findings emphasize the significance of policymakers’ acknowledgement of the variations observed in different activities, as well as the often neglected spatial heterogeneities in policy effectiveness, as highlighted in the existing literature [5,6,27]. By recognizing these variations, policymakers can develop tailored intervention policies that are specific to different regions, thereby effectively mitigating mobility during the pandemic. Understanding the heterogeneous nature of activity duration can facilitate the identification of activities that necessitate additional interventions, particularly when the efficacy of current policies on those activities diminishes.
Furthermore, it is important to recognize that activity duration during the pandemic exhibits both social and spatial heterogeneity. The findings related to social heterogeneity offer insights for identifying groups that may exhibit resistance to complying with preventive measures. As revealed in this study, older individuals, those with higher levels of education, and married individuals are more susceptible to the impacts of the COVID-19 pandemic. They perceive adhering to measures aimed at shortening their activity duration as an effective strategy to mitigate the risk of COVID-19 infection. In contrast, young and single males demonstrate a higher level of resilience in maintaining their activity duration despite the increased risk of infection. This particular group, characterized by their continued engagement in social activities, may underestimate the risk of COVID-19 and hold strong beliefs regarding personal immunity [5]. Therefore, special attention should be given to this group, and policymakers should consider implementing appropriate measures to minimize their risk of infection.
The findings of this study could also provide implications for resilient neighborhood planning. Office spaces located in close proximity to plentiful green spaces appear to exhibit a higher level of resilience in terms of work-related activities during the COVID-19 pandemic. In contrast, office spaces situated in residential and commercial areas demonstrate a trend of shortened work durations in the absence of work from home policies. This finding implies that, in order to enhance the working efficiency, the establishment of garden-style office environments (i.e., decentralized, away from shopping and leisure areas, and surrounded by abundant green spaces) should be encouraged in the Netherlands. In addition, prior to the pandemic, the accessibility of shopping and social facilities played a significant role in encouraging shopping and leisure activities. However, during the pandemic, neighborhoods with convenient access to retail facilities were more vulnerable to the impacts of pandemic-related policies, leading to an increase in shopping duration due to social distancing restrictions and reduced staff availability. This observation suggests that regions characterized by concentrated commercial areas are more susceptible to the repercussions of the pandemic. Hence, in future urban planning endeavors, adopting a decentralized approach to distribute commercial facilities within neighborhoods could effectively mitigate the potential challenge of prolonged shopping durations resulting from policy constraints.
In short, this paper is the first of a batch of studies investigating activity durations in the context of the COVID-19 pandemic. More specifically, with the objective to provide valuable insight for future related research, this study examined the relationship between socio-demographic characteristics, built environment factors, and COVID-19 countermeasures regarding the duration of different activities and attempted to find a difference in influence among different urbanized areas. The findings of this study could be of value for transportation professionals and health protection agencies to develop transportation plans and establish COVID-19 policies, as well as for future pandemics or any other public health emergencies. Nevertheless, although this research can be regarded as a supplement to the literature on the impacts of the COVID-19 pandemic and the influential factors of activity duration, this topic could be further explored in future studies, especially for the consideration of heterogeneous effects of COVID-19 countermeasures. More narrowly, this paper has not considered the differentiated impacts of COVID-19 countermeasures on different populations. In addition, in the current study, we only examine to what extent the included factors influence the duration of a single activity in a single trip. However, a trip may have several different activities. Thus, it would be interesting in future research to examine the combined influences on sequential activities. Another limitation of this research is the data. Indeed, the data used in this study were obtained from the self-reported national travel survey of The Netherlands in 2020 and have not been objectively confirmed, e.g., by GPS tracking, which may have led to biased estimation. Therefore, the results could be more convincing if more accurate data (e.g., GPS data) could be collected in future studies. Lastly, it is important to note that the scope of this study is limited to investigating the determinants of activity duration during the pandemic. Future research endeavors could be intriguingly expanded to explore the underlying determinants that influence the differences in activity durations between the pre-pandemic and pandemic periods, provided the availability of suitable data.
Author Contributions
Conceptualization, C.L. and M.S.; methodology, X.G.; software, X.Z.; validation, M.S.; investigation, C.L.; resources, M.S.; data curation, X.Z. and X.G.; writing—original draft, C.L.; writing—review & editing, C.C.; supervision, C.C.; project administration, C.C. All authors have read and agreed to the published version of the manuscript.
Funding
This research was funded by China Scholarship Council grant number 201906060030.
Institutional Review Board Statement
Not applicable.
Informed Consent Statement
Not applicable.
Data Availability Statement
The data employed in this study are available from the Central Bureau of Statistics (CBS), The Netherlands. The data are open access, and the authors are authorized to freely use, copy, and redistribute the material in any medium or format. Therefore, the data are available directly from the website of CBS Open Data StatLine or the authors if requested.
Acknowledgments
This paper was jointly supported by the Science Research Development Program of Higher Education of the China Association of Higher Education (No. 22DL0403) and the Key R&D Project (Soft Science) of Shandong Province, China (No. 2021RZA02025). The authors would also like to thank the China Scholarship Council (CSC, No. 201906060030) for support to Chao Chen.
Conflicts of Interest
The authors declare that they have no competing interest that might have had an effect on the work reported in the study.
References
- Statistics on the Hopkins Outbreak in the USA. TRACKING: Follow Global Cases and Trends, Updated Daily. 2021. Available online: https://coronavirus.jhu.edu/data (accessed on 3 October 2021).
- Shelat, S.; Cats, O.; van Cranenburgh, S. Avoiding the Crowd: Traveller Behaviour in Public Transport in the Age of COVID-19. arXiv 2021, arXiv:2104.10973. [Google Scholar]
- Abdullah, M.; Dias, C.; Muley, D.; Shahin, M. Exploring the impacts of COVID-19 on travel behavior and mode preferences. Transp. Res. Interdiscip. Perspect. 2020, 8, 100255. [Google Scholar] [CrossRef] [PubMed]
- Fatmi, M.R.; Thirkell, C.; Hossain, S. COVID-19 and Travel: How Our Out-of-home Travel Activity, In-home Activity, and Long-Distance Travel Have Changed. Transp. Res. Interdiscip. Perspect. 2021, 10, 100350. [Google Scholar] [CrossRef] [PubMed]
- Liu, C.; Zhang, W. Social and spatial heterogeneities in COVID-19 impacts on individual’s metro use: A big-data driven causality inference. Appl. Geogr. 2023, 155, 102947. [Google Scholar] [CrossRef] [PubMed]
- Zhang, W.; Li, J. A quasi-experimental analysis on the causal effects of COVID-19 on urban park visits: The role of park features and the surrounding built environment. Urban For. Urban Green. 2023, 82, 127898. [Google Scholar] [CrossRef] [PubMed]
- Elvén, M.; Kerstis, B.; Stier, J.; Hellström, C.; von Heideken Wågert, P.; Dahlen, M.; Lindberg, D. Changes in physical activity and sedentary behavior before and during the COVID-19 pandemic: A Swedish population study. Int. J. Environ. Res. Public Health 2022, 19, 2558. [Google Scholar] [CrossRef]
- Rafiq, R.; McNally, M.G.; Uddin, Y.S.; Ahmed, T. Impact of working from home on activity-travel behavior during the COVID-19 Pandemic: An aggregate structural analysis. Transp. Res. Part A Policy Pract. 2022, 159, 35–54. [Google Scholar] [CrossRef]
- Stokes, E.C.; Román, M.O. Tracking COVID-19 urban activity changes in the Middle East from nighttime lights. Sci. Rep. 2022, 12, 8096. [Google Scholar] [CrossRef]
- Batur, I.; Dirks, A.C.; Bhat, C.R.; Polzin, S.E.; Chen, C.; Pendyala, R.M. Analysis of changes in time use and activity participation in response to the COVID-19 pandemic in the United States: Implications for well-being. Transp. Res. Rec. J. Transp. Res. Board 2023. [Google Scholar] [CrossRef]
- Chen, C.; Feng, T.; Gu, X. Role of latent factors and public policies in travel decisions under COVID-19 pandemic: Findings of a hybrid choice model. Sustain. Cities Soc. 2022, 78, 103601. [Google Scholar] [CrossRef]
- Chen, C.; Feng, T.; Gu, X.; Yao, B. Investigating the effectiveness of COVID-19 pandemic countermeasures on the use of public transport: A case study of The Netherlands. Transp. Policy 2022, 117, 98–107. [Google Scholar] [CrossRef]
- Bedford, J.; Enria, D.; Giesecke, J.; Heymann, D.L.; Ihekweazu, C.; Kobinger, G.; Lane, H.C.; Memish, Z.; Oh, M.-D.; Sall, A.A.; et al. COVID-19: Towards controlling of a pandemic. Lancet 2020, 395, 1015–1018. [Google Scholar] [CrossRef]
- Brooks, S.K.; Webster, R.K.; Smith, L.E.; Woodland, L.; Wessely, S.; Greenberg, N.; Rubin, G.J. The psychological impact of quarantine and how to reduce it: Rapid review of the evidence. Lancet 2020, 395, 912–920. [Google Scholar] [CrossRef]
- Meira, C.M., Jr.; Meneguelli, K.S.; Leopoldo, M.P.; Florindo, A.A. Anxiety and Leisure-Domain Physical Activity Frequency, Duration, and Intensity during COVID-19 Pandemic. Front. Psychol. 2020, 11, 3758. [Google Scholar] [CrossRef]
- Zhao, L.; Shen, Z.; Zhang, Y.; Sheng, F. Study on the Impact of the Objective Characteristics and Subjective Perception of the Built Environment on Residents’ Physical Activities in Fuzhou, China. Sustainability 2020, 12, 329. [Google Scholar] [CrossRef]
- Hahm, Y.; Yoon, H.; Choi, Y. The effect of built environments on the walking and shopping behaviors of pedestrians; A study with GPS experiment in Sinchon retail district in Seoul, South Korea. Cities 2019, 89, 1–13. [Google Scholar] [CrossRef]
- Koohsari, M.J.; Shibata, A.; Ishii, K.; Kurosawa, S.; Yasunaga, A.; Hanibuchi, T.; Nakaya, T.; Mavoa, S.; McCormack, G.R.; Oka, K. Built environment correlates of objectively-measured sedentary behaviours in densely-populated areas. Health Place 2020, 66, 102447. [Google Scholar] [CrossRef]
- Pratama, V.; Santoso, I.; A Mustaniroh, S. Development strategy of SMEs in the new normal era of coronavirus disease 2019 (COVID-19): A literature review. IOP Conf. Ser. Earth Environ. Sci. 2021, 733, 012058. [Google Scholar] [CrossRef]
- Sá, C.; Dismuke, C.E.; Guimarães, P. Survival analysis and competing risk models of hospital length of stay and discharge destination: The effect of distributional assumptions. Health Serv. Outcomes Res. Methodol. 2007, 7, 109–124. [Google Scholar] [CrossRef]
- Pang, J.; Krathaus, A.; Benedyk, I.; Ahmed, S.S.; Anastasopoulos, P.C. A temporal instability analysis of environmental factors affecting accident occurrences during snow events: The random parameters hazard-based duration model with means and variances heterogeneity. Anal. Methods Accid. Res. 2022, 34, 100215. [Google Scholar] [CrossRef]
- Hasan, S.; Mesa-Arango, R.; Ukkusuri, S. A random-parameter hazard-based model to understand household evacuation timing behavior. Transp. Res. Part C Emerg. Technol. 2013, 27, 108–116. [Google Scholar] [CrossRef]
- Anastasopoulos, P.C.; Bin Islam, M.; Perperidou, D.; Karlaftis, M.G. Hazard-based analysis of travel distance in urban environments: Longitudinal data approach. J. Urban Plan. Dev. 2012, 138, 53–61. [Google Scholar] [CrossRef]
- Berg, P.V.D.; Arentze, T.; Timmermans, H. A latent class accelerated hazard model of social activity duration. Transp. Res. Part A Policy Pract. 2012, 46, 12–21. [Google Scholar] [CrossRef]
- Dissanayake, D. Watching the clock on the way to work? Analysing trends in commuting activities, modes and gender differences in commute times, using hazard-based duration modelling methods. J. Transp. Geogr. 2017, 65, 188–199. [Google Scholar] [CrossRef]
- Hosseini, S.A.R.S.; Hatamzadeh, Y. Walking duration in daily travel: An analysis among males and females using a hazard-based model. Transp. A Transp. Sci. 2021, 17, 1150–1170. [Google Scholar] [CrossRef]
- Zhang, W.; Ning, K. Spatiotemporal heterogeneities in the causal effects of mobility intervention policies during the COVID-19 outbreak: A spatially interrupted time-series (SITS) analysis. Ann. Assoc. Am. Geogr. 2023, 113, 1112–1134. [Google Scholar] [CrossRef]
- Ammar, A.; Brach, M.; Trabelsi, K.; Chtourou, H.; Boukhris, O.; Masmoudi, L.; Bouaziz, B.; Bentlage, E.; How, D.; Ahmed, M.; et al. Effects of COVID-19 home confinement on eating behaviour and physical activity: Results of the ECLB-COVID19 international online survey. Nutrients 2020, 12, 1583. [Google Scholar] [CrossRef]
- Thunström, L.; Newbold, S.C.; Finnoff, D.; Ashworth, M.; Shogren, J.F. The benefits and costs of using social distancing to flatten the curve for COVID-19. J. Benefit-Cost Anal. 2020, 11, 179–195. [Google Scholar] [CrossRef]
- Liu, Z.; Stern, R. Quantifying the Traffic Impacts of the COVID-19 Shutdown. J. Transp. Eng. Part A Syst. 2021, 147, 04021014. [Google Scholar] [CrossRef]
- Park, K.; Chamberlain, B.; Song, Z.; Esfahani, H.N.; Sheen, J.; Larsen, T.; Novack, V.L.; Licon, C.; Christensen, K. A double jeopardy: COVID-19 impacts on the travel behavior and community living of people with disabilities. Transp. Res. Part A Policy Pract. 2022, 156, 24–35. [Google Scholar] [CrossRef]
- Cohen, J.; Kupferschmidt, K. Countries test tactics in ‘war’ against COVID-19. Science 2020, 367, 1287–1288. [Google Scholar] [CrossRef]
- Engle, S.; Stromme, J.; Zhou, A. Staying at home: Mobility effects of COVID-19. SSRN Electron. J. 2020, 16. [Google Scholar] [CrossRef]
- Anderson, R.M.; Heesterbeek, H.; Klinkenberg, D.; Hollingsworth, T.D. How will country-based mitigation measures influence the course of the COVID-19 epidemic? Lancet 2020, 395, 931–934. [Google Scholar] [CrossRef]
- de Jonge, E.; Kloppenburg, R.; Hendriks, P. The impact of the COVID-19 pandemic on social work education and practice in the Netherlands. Soc. Work. Educ. 2020, 39, 1027–1036. [Google Scholar] [CrossRef]
- van Leeuwen, M.; Klerks, Y.; Bargeman, B.; Heslinga, J.; Bastiaansen, M. Leisure will not be locked down–insights on leisure and COVID-19 from The Netherlands. World Leis. J. 2020, 62, 339–343. [Google Scholar] [CrossRef]
- Wennekers, A.; Roeters, A.; van den Broek, A.; Pulles, I. Vrije Tijd. De Sociale Staat van Nederland: 2018. 2018. Available online: https://digitaal.scp.nl/ssn2018/vrije-tijd (accessed on 4 May 2023).
- Li, L.; Li, X.; Niu, N.; He, J. Uneven impacts of COVID-19 on residents’ utilization of urban parks: A case study of Guangzhou, China. Appl. Geogr. 2023, 153, 102905. [Google Scholar] [CrossRef]
- Susilo, Y.O.; Axhausen, K.W. Repetitions in individual daily activity–travel–location patterns: A study using the Herfindahl–Hirschman Index. Transportation 2014, 41, 995–1011. [Google Scholar] [CrossRef]
- Pinjari, A.; Bhat, C. A multiple discrete–continuous nested extreme value (MDCNEV) model: Formulation and application to non-worker activity time-use and timing behavior on weekdays. Transp. Res. Part B Methodol. 2010, 44, 562–583. [Google Scholar] [CrossRef]
- Bláfoss, R.; Micheletti, J.K.; Sundstrup, E.; Jakobsen, M.D.; Bay, H.; Andersen, L.L. Is fatigue after work a barrier for leisure-time physical activity? Cross-sectional study among 10,000 adults from the general working population. Scand. J. Public Health 2019, 47, 383–391. [Google Scholar] [CrossRef]
- Sreela, P.; Melayil, S.; Anjaneyulu, M. Modeling of Shopping Participation and Duration of Workers in Calicut. Procedia-Soc. Behav. Sci. 2013, 104, 543–552. [Google Scholar] [CrossRef]
- Sarangi, P.; Manoj, M. Analysis of activity participation and time use decisions of partners: The context of low-and high-income households. Transportation 2021, 49, 1017–1058. [Google Scholar] [CrossRef]
- Dane, G.; Arentze, T.A.; Timmermans, H.J.; Ettema, D. Simultaneous modeling of individuals’ duration and expenditure decisions in out-of-home leisure activities. Transp. Res. Part A Policy Pract. 2014, 70, 93–103. [Google Scholar] [CrossRef]
- Clark, B.; Chatterjee, K.; Melia, S. Changes to commute mode: The role of life events, spatial context and environmental attitude. Transp. Res. Part A Policy Pract. 2016, 89, 89–105. [Google Scholar] [CrossRef]
- Wang, Z.; Ettema, D.; Helbich, M. Objective environmental exposures correlate differently with recreational and transportation walking: A cross-sectional national study in The Netherlands. Environ. Res. 2021, 194, 110591. [Google Scholar] [CrossRef]
- Colom, A.; Mavoa, S.; Ruiz, M.; Wärnberg, J.; Muncunill, J.; Konieczna, J.; Vich, G.; Barón-López, F.J.; Fitó, M.; Salas-Salvadó, J.; et al. Neighbourhood walkability and physical activity: Moderating role of a physical activity intervention in overweight and obese older adults with metabolic syndrome. Age Ageing 2021, 50, 963–968. [Google Scholar] [CrossRef]
- Vich, G.; Delclòs-Alió, X.; Maciejewska, M.; Marquet, O.; Schipperijn, J.; Miralles-Guasch, C. Contribution of park visits to daily physical activity levels among older adults: Evidence using GPS and accelerometery data. Urban For. Urban Green. 2021, 63, 127225. [Google Scholar] [CrossRef]
- Palma, D.; Enam, A.; Hess, S.; Calastri, C.; Sourd, R.C.D. Modelling multiple occurrences of activities during a day: An extension of the MDCEV model. Transp. B Transp. Dyn. 2021, 9, 456–478. [Google Scholar] [CrossRef]
- Bhat, C.R. The multiple discrete-continuous extreme value (MDCEV) model: Role of utility function parameters, identification considerations, and model extensions. Transp. Res. Part B Methodol. 2008, 42, 274–303. [Google Scholar] [CrossRef]
- Enam, A.; Konduri, K.C.; Pinjari, A.R.; Eluru, N. An integrated choice and latent variable model for multiple discrete continuous choice kernels: Application exploring the association between day level moods and discretionary activity engagement choices. J. Choice Model. 2018, 26, 80–100. [Google Scholar] [CrossRef]
- Calastri, C.; Hess, S.; Daly, A.; Carrasco, J.A. Does the social context help with understanding and predicting the choice of activity type and duration? An application of the Multiple Discrete-Continuous Nested Extreme Value model to activity diary data. Transp. Res. Part A Policy Pract. 2017, 104, 1–20. [Google Scholar] [CrossRef]
- Saxena, S.; Pinjari, A.R.; Bhat, C.R.; Mondal, A. A flexible multiple discrete–continuous probit (MDCP) model: Application to analysis of expenditure patterns of domestic tourists in India. Transportation 2023, 1–28. [Google Scholar] [CrossRef]
- Baloi, D.; Price, A.D. Modelling global risk factors affecting construction cost performance. Int. J. Proj. Manag. 2003, 21, 261–269. [Google Scholar] [CrossRef]
- Salah, A.; Moselhi, O. Contingency modelling for construction projects using fuzzy-set theory. Eng. Constr. Arch. Manag. 2015, 22, 214–241. [Google Scholar] [CrossRef]
- Zadeh, L.A. Fuzzy sets. Inf. Control. 1965, 8, 338–353. [Google Scholar] [CrossRef]
- Gładysz, B. Fuzzy-probabilistic PERT. Ann. Oper. Res. 2017, 258, 437–452. [Google Scholar] [CrossRef]
- Gao, J.; Kamphuis, C.B.M.; Dijst, M.; Helbich, M. The role of the natural and built environment in cycling duration in The Netherlands. Int. J. Behav. Nutr. Phys. Act. 2018, 15, 82. [Google Scholar] [CrossRef]
- Cox, D.R. Regression models and life-tables. J. R. Stat. Soc. Ser. B (Methodol.) 1972, 34, 187–202. [Google Scholar] [CrossRef]
- Yee, J.L.; A Niemeier, D. Analysis of activity duration using the Puget sound transportation panel. Transp. Res. Part A Policy Pract. 2000, 34, 607–624. [Google Scholar] [CrossRef]
- Anastasopoulos, P.C.; Fountas, G.; Sarwar, T.; Karlaftis, M.G.; Sadek, A.W. Transport habits of travelers using new energy type modes: A random parameters hazard-based approach of travel distance. Transp. Res. Part C Emerg. Technol. 2017, 77, 516–528. [Google Scholar] [CrossRef]
- Centraal Bureau voor de Statistiek (CBS); Rijkswaterstaat (RWS-WVL) (2021a): Onderzoek Onderweg in Nederland—ODiN 2020. DANS. Available online: https://www.cbs.nl/nl-nl/longread/rapportages/2021/onderweg-in-nederland--odin---2020-onderzoeksbeschrijving?onepage=true (accessed on 4 May 2023).
- Centraal Bureau Voor de Statistiek (CBS), Bodemgebruik, Wijk- en Buurtcijfers 2015. 2021. Available online: https://opendata.cbs.nl/statline/portal.html?_la=nl&_catalog=CBS&tableId=84324NED (accessed on 4 May 2023).
- Centraal Bureau voor de Statistiek (CBS). Nabijheid Voorzieningen; Afstand Locatie, Wijk- en Buurtcijfers 2019. 2021. Available online: https://opendata.cbs.nl/statline/portal.html?_la=nl&_catalog=CBS&tableId=84718NED (accessed on 4 May 2023).
- Centraal Bureau voor de Statistiek (CBS). Kerncijfers Wijken en Buurten 2020. 2021. Available online: https://opendata.cbs.nl/statline/portal.html?_la=nl&_catalog=CBS&tableId=84799NED (accessed on 4 May 2023).
- Centraal Bureau voor de Statistiek (CBS). Nabijheid Voorzieningen; Afstand Locatie, Wijk- en Buurtcijfers 2020. 2021. Available online: https://opendata.cbs.nl/statline/portal.html?_la=nl&_catalog=CBS&tableId=84953NED (accessed on 4 May 2023).
- Zagorskas, J. GIS-based Modelling and estimation of land use mix in urban environment. Int. J. Educ. Learn. Syst. 2016, 1, 284–293. [Google Scholar]
- Eisenmann, C.; Nobis, C.; Kolarova, V.; Lenz, B.; Winkler, C. Transport mode use during the COVID-19 lockdown period in Germany: The car became more important, public transport lost ground. Transp. Policy 2021, 103, 60–67. [Google Scholar] [CrossRef] [PubMed]
- Hensher, D.A.; Mannering, F.L. Hazard-based duration models and their application to transport analysis. Transp. Rev. 1994, 14, 63–82. [Google Scholar] [CrossRef]
- Kaplan, E.L.; Meier, P. Nonparametric estimation from incomplete observations. J. Am. Stat. Assoc. 1958, 53, 457–481. [Google Scholar] [CrossRef]
- Mohammadian, A.; Doherty, S.T. Modeling activity scheduling time horizon: Duration of time between planning and execution of pre-planned activities. Transp. Res. Part A Policy Pract. 2006, 40, 475–490. [Google Scholar] [CrossRef]
- Dhoke, A.; Kumar, A.; Ghosh, I. Hazard-Based Duration Approach to Pedestrian Crossing Behavior at Signalized Intersections. Transp. Res. Rec. J. Transp. Res. Board 2021, 2675, 519–532. [Google Scholar] [CrossRef]
- Bhat, C. Duration modeling: A methodological review with applications in activity-travel analysis. In Proceedings of the 80th Annual Meeting of the Transportation Research Board, Washington, DC, USA, 7–11 January 2001. [Google Scholar]
- Liu, B.; Chen, H.; Gan, X. How much is too much? The influence of work hours on social development: An empirical analysis for OECD countries. Int. J. Environ. Res. Public Health 2019, 16, 4914. [Google Scholar] [CrossRef]
- Inggamara, A.; Pierewan, A.C.; Ayriza, Y. Work–life balance and social support: The influence on work engagement in the Sixth European Working Conditions Survey. J. Employ. Couns. 2022, 59, 17–26. [Google Scholar]
- Hatamzadeh, Y.; Habibian, M.; Khodaii, A. Walking mode choice across genders for purposes of work and shopping: A case study of an Iranian city. Int. J. Sustain. Transp. 2020, 14, 389–402. [Google Scholar] [CrossRef]
- Tirachini, A.; Cats, O. COVID-19 and public transportation: Current assessment, prospects, and research needs. J. Public Transp. 2020, 22, 1. [Google Scholar] [CrossRef]
- Farag, S.; Dijst, M.; Lanzendorf, M. Exploring the use of e-shopping and its impact on personal travel behavior in The Netherlands. Transp. Res. Rec. J. Transp. Res. Board 2003, 1858, 47–54. [Google Scholar] [CrossRef]
- Evertsson, M.; England, P.; Mooi-Reci, I.; Hermsen, J.; de Bruijn, J.; Cotter, D. Is gender inequality greater at lower or higher educational levels? Common patterns in The Netherlands, Sweden, and the United States. Soc. Politi-Int. Stud. Gender State Soc. 2009, 16, 210–241. [Google Scholar] [CrossRef]
- Zha, J.; Tan, T.; Ma, S.; He, L.; Filimonau, V. Exploring tourist opinion expression on COVID-19 and policy response to the pandemic’s occurrence through a content analysis of an online petition platform. Curr. Issues Tour. 2021, 25, 261–286. [Google Scholar] [CrossRef]
- Tsaligopoulos, A.; Kyvelou, S.; Votsi, N.-E.; Karapostoli, A.; Economou, C.; Matsinos, Y.G. Revisiting the Concept of Quietness in the Urban Environment—Towards Ecosystems’ Health and Human Well-Being. Int. J. Environ. Res. Public Health 2021, 18, 3151. [Google Scholar] [CrossRef]
- Rong, P.; Zhang, Y.; Qin, Y.; Liu, G.; Liu, R. Spatial differentiation of carbon emissions from residential energy consumption: A case study in Kaifeng, China. J. Environ. Manag. 2020, 271, 110895. [Google Scholar] [CrossRef]
- Grubliauskas, R.; Strukčinskienė, B.; Raistenskis, J.; Strukčinskaitė, V.; Buckus, R.; Januševičius, T.; da Silva Pereira, P.A. Effects of urban rail noise level in a residential area. J. Vibroeng. 2014, 16, 987–996. [Google Scholar]
- Pullano, G.; Valdano, E.; Scarpa, N.; Rubrichi, S.; Colizza, V. Evaluating the effect of demographic factors, socioeconomic factors, and risk aversion on mobility during the COVID-19 epidemic in France under lockdown: A population-based study. Lancet Digit. Health 2020, 2, e638–e649. [Google Scholar] [CrossRef]
- Tully, M.A.; McMaw, L.; Adlakha, D.; Blair, N.; McAneney, J.; McAneney, H.; Carmichael, C.; Cunningham, C.; Armstrong, N.C.; Smith, L. The effect of different COVID-19 public health restrictions on mobility: A systematic review. PLoS ONE 2021, 16, e0260919. [Google Scholar] [CrossRef]
Disclaimer/Publisher’s Note: The statements, opinions and data contained in all publications are solely those of the individual author(s) and contributor(s) and not of MDPI and/or the editor(s). MDPI and/or the editor(s) disclaim responsibility for any injury to people or property resulting from any ideas, methods, instructions or products referred to in the content. |
© 2023 by the authors. Licensee MDPI, Basel, Switzerland. This article is an open access article distributed under the terms and conditions of the Creative Commons Attribution (CC BY) license (https://creativecommons.org/licenses/by/4.0/).





