Adsorption of Pb2+ Ions from Aqueous Solution onto Porous Kappa-Carrageenan/Cellulose Hydrogels: Isotherm and Kinetics Study
Abstract
1. Introduction
2. Materials and Methods
2.1. Materials
2.2. Preparation of Hydrogels
2.3. Characterizations
2.4. Adsorption Experiments
2.5. Desorption Experiments
2.6. Adsorption Kinetics
2.7. Adsorption Isotherms
2.8. Statistical Analysis
3. Results and Discussion
3.1. FTIR Spectra of κ-CG/CL Hydrogel
3.2. XRD Pattern of κ-CG/CL Hydrogel
3.3. Morphology of κ-CG/CL Hydrogel
3.4. Adsorption Optimization of the κ-CG/CL Hydrogel
3.5. Reusability of κ-CG/CL Hydrogel
3.6. Adsorption Kinetics of κ-CG/CL Hydrogel
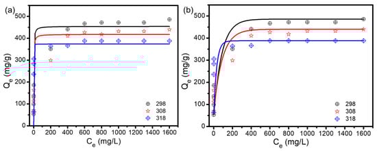
3.7. Adsorption Isotherms of κ-CG/CL Hydrogel
3.8. Comparison with Other Adsorbents
4. Conclusions
Supplementary Materials
Author Contributions
Funding
Institutional Review Board Statement
Informed Consent Statement
Data Availability Statement
Acknowledgments
Conflicts of Interest
References
- Mitra, S.; Chakraborty, A.J.; Tareq, A.M.; Bin Emran, T.; Nainu, F.; Khusro, A.; Idris, A.M.; Khandaker, M.U.; Osman, H.; Alhumaydhi, F.A.; et al. Impact of Heavy Metals on the Environment and Human Health: Novel Therapeutic Insights to Counter the Toxicity. J. King Saud Univ. Sci. 2022, 34, 101865. [Google Scholar] [CrossRef]
- Yabanlı, M.; Şener, İ.; Yozukmaz, A.; Öner, S.; Yapıcı, H.H. Heavy Metals in Processed Seafood Products from Turkey: Risk Assessment for the Consumers. Environ. Sci. Pollut. Res. 2021, 28, 53171–53180. [Google Scholar] [CrossRef] [PubMed]
- Zhou, X.; Zheng, N.; Su, C.; Wang, J.; Soyeurt, H. Relationships between Pb, As, Cr, and Cd in Individual Cows’ Milk and Milk Composition and Heavy Metal Contents in Water, Silage, and Soil. Environ. Pollut. 2019, 255, 113322. [Google Scholar] [CrossRef] [PubMed]
- Shaheen, N.; Irfan, N.M.; Khan, I.N.; Islam, S.; Islam, M.S.; Ahmed, M.K. Presence of Heavy Metals in Fruits and Vegetables: Health Risk Implications in Bangladesh. Chemosphere 2016, 152, 431–438. [Google Scholar] [CrossRef] [PubMed]
- Zhang, Q.; Cheng, Y.; Fang, C.; Shi, J.; Chen, J.; Han, H. Functionalized Waste Cellulose with Metal-Organic-Frameworks as the Adsorbent with Adjustable Pore Size: Ultralight, Effective, and Selective Removal of Organic Dyes. J. Solid State Chem. 2021, 302, 122361. [Google Scholar] [CrossRef]
- Lee, J.H.; Bae, W.S.; Choi, J.H. Electrode Reactions and Adsorption/Desorption Performance Related to the Applied Potential in a Capacitive Deionization Process. Desalination 2010, 258, 159–163. [Google Scholar] [CrossRef]
- Zhao, C.; Liu, G.; Tan, Q.; Gao, M.; Chen, G.; Huang, X.; Xu, X.; Li, L.; Wang, J.; Zhang, Y.; et al. Polysaccharide-Based Biopolymer Hydrogels for Heavy Metal Detection and Adsorption. J. Adv. Res. 2022, 44, 53–70. [Google Scholar] [CrossRef]
- Paulino, A.T.; Belfiore, L.A.; Kubota, L.T.; Muniz, E.C.; Almeida, V.C.; Tambourgi, E.B. Effect of Magnetite on the Adsorption Behavior of Pb(II), Cd(II), and Cu(II) in Chitosan-Based Hydrogels. Desalination 2011, 275, 187–196. [Google Scholar] [CrossRef]
- Liu, N.; Chen, J.; Wu, Z.; Zhan, P.; Zhang, L.; Wei, Q.; Wang, F.; Shao, L. Construction of Microporous Lignin-Based Hypercross-Linked Polymers with High Surface Areas for Enhanced Iodine Capture. ACS Appl. Polym. Mater. 2021, 3, 2178–2188. [Google Scholar] [CrossRef]
- Liu, N.; Shao, L.; Wang, C.; Sun, F.; Wu, Z.; Zhan, P.; Zhang, L.; Wan, H. Preparation of Lignin Modified Hyper-Cross-Linked Nanoporous Resins and Their Efficient Adsorption for p-Nitrophenol in Aqueous Solution and CO2 Capture. Int. J. Biol. Macromol. 2022, 221, 25–37. [Google Scholar] [CrossRef]
- Shao, L.; Liu, N.; Wang, L.; Sang, Y.; Wan, H.; Zhan, P.; Zhang, L.; Huang, J.; Chen, J. Facile Preparation of Oxygen-Rich Porous Polymer Microspheres from Lignin-Derived Phenols for Selective CO2 Adsorption and Iodine Vapor Capture. Chemosphere 2022, 288, 132499. [Google Scholar] [CrossRef] [PubMed]
- Jaishankar, M.; Tseten, T.; Anbalagan, N.; Mathew, B.B.; Beeregowda, K.N. Toxicity, Mechanism and Health Effects of Some Heavy Metals. Interdiscip. Toxicol. 2014, 7, 60–72. [Google Scholar] [CrossRef] [PubMed]
- Sukhadeorao Dongre, R. Lead: Toxicological Profile, Pollution Aspects and Remedial Solutions. In Lead Chemistry; IntechOpen: London, UK, 2020; pp. 1–22. [Google Scholar] [CrossRef]
- Wani, A.L.; Ara, A.; Usmani, J.A. Lead Toxicity: A Review. Interdiscip. Toxicol. 2015, 8, 55–64. [Google Scholar] [CrossRef] [PubMed]
- Song, M.; Wei, Y.; Cai, S.; Yu, L.; Zhong, Z.; Jin, B. Study on Adsorption Properties and Mechanism of Pb2+ with Different Carbon Based Adsorbents. Sci. Total Environ. 2018, 618, 1416–1422. [Google Scholar] [CrossRef]
- Reddy, N.; Rao, K. Polymeric Hydrogels: Recent Advances in Toxic Metal Ion Removal and Anticancer Drug Delivery Applications. Indian J. Adv. Chem. Sci. 2016, 4, 214–234. [Google Scholar]
- Seida, Y.; Tokuyama, H. Hydrogel Adsorbents for the Removal of Hazardous Pollutants—Requirements and Available Functions as Adsorbent. Gels 2022, 8, 220. [Google Scholar] [CrossRef]
- Nath, P.C.; Debnath, S.; Sharma, M.; Sridhar, K.; Nayak, P.K.; Inbaraj, B.S. Recent Advances in Cellulose-Based Hydrogels: Food Applications. Foods 2023, 12, 350. [Google Scholar] [CrossRef]
- Zainul Armir, N.A.; Mohd Salleh, K.; Zulkifli, A.; Zakaria, S. PH-Responsive Ampholytic Regenerated Cellulose Hydrogel Integrated with Carrageenan and Chitosan. Ind. Crops Prod. 2022, 178, 114588. [Google Scholar] [CrossRef]
- Kundu, R.; Mahada, P.; Chhirang, B.; Das, B. Cellulose Hydrogels: Green and Sustainable Soft Biomaterials. Curr. Res. Green Sustain. Chem. 2022, 5, 100252. [Google Scholar] [CrossRef]
- Wang, X.; Yao, C.; Wang, F.; Li, Z. Cellulose-Based Nanomaterials for Energy Applications. Small 2017, 13, 1702240. [Google Scholar] [CrossRef]
- Lovegrove, A.; Edwards, C.H.; De Noni, I.; Patel, H.; El, S.N.; Grassby, T.; Zielke, C.; Ulmius, M.; Nilsson, L.; Butterworth, P.J.; et al. Role of Polysaccharides in Food, Digestion, and Health. Crit. Rev. Food Sci. Nutr. 2017, 57, 237–253. [Google Scholar] [CrossRef] [PubMed]
- Kabir, S.M.F.; Sikdar, P.P.; Haque, B.; Bhuiyan, M.A.R.; Ali, A.; Islam, M.N. Cellulose-Based Hydrogel Materials: Chemistry, Properties and Their Prospective Applications. Prog. Biomater. 2018, 7, 153–174. [Google Scholar] [CrossRef] [PubMed]
- Rupert, R.; Rodrigues, K.F.; Thien, V.Y.; Yong, W.T.L. Carrageenan from Kappaphycus Alvarezii (Rhodophyta, Solieriaceae): Metabolism, Structure, Production, and Application. Front. Plant Sci. 2022, 13, 859635. [Google Scholar] [CrossRef] [PubMed]
- Johnson, A.; Kong, F.; Miao, S.; Lin, H.T.V.; Thomas, S.; Huang, Y.C.; Kong, Z.L. Therapeutic Effects of Antibiotics Loaded Cellulose Nanofiber and κ-Carrageenan Oligosaccharide Composite Hydrogels for Periodontitis Treatment. Sci. Rep. 2020, 10, 18037. [Google Scholar] [CrossRef] [PubMed]
- Mitsumata, T.; Suemitsu, Y.; Fujii, K.; Fujii, T.; Taniguchi, T.; Koyama, K. Ph-Response of Chitosan, Κ-Carrageenan, Carboxymethyl Cellulose Sodium Salt Complex Hydrogels. Polymer 2003, 44, 7103–7111. [Google Scholar] [CrossRef]
- Kono, H.; Kenta, O.; Taichi, N. Characterization and bisphenol A adsorption capacity of β-cyclodextrin–carboxymethylcellulose-based hydrogels. Carbohydr. Polym. 2013, 98, 784–792. [Google Scholar] [CrossRef]
- Zhou, Y.; Hu, X.; Zhang, M.; Zhuo, X.; Niu, J. Preparation and Characterization of Modified Cellulose for Adsorption of Cd(II), Hg(II), and Acid Fuchsin from Aqueous Solutions. Ind. Eng. Chem. Res. 2013, 52, 876–884. [Google Scholar] [CrossRef]
- Cao, J.; Fei, D.; Tian, X.; Zhu, Y.; Wang, S.; Zhang, Y.; Mao, Q.; Sun, M. Novel Modified Microcrystalline Cellulose-Based Porous Material for Fast and Effective Heavy-Metal Removal from Aqueous Solution. Cellulose 2017, 24, 5565–5577. [Google Scholar] [CrossRef]
- Liu, J.; Chen, T.W.; Yang, Y.L.; Bai, Z.C.; Xia, L.R.; Wang, M.; Lv, X.L.; Li, L. Removal of Heavy Metal Ions and Anionic Dyes from Aqueous Solutions Using Amide-Functionalized Cellulose-Based Adsorbents. Carbohydr. Polym. 2020, 230, 115619. [Google Scholar] [CrossRef]
- Zhou, Y.; Zhang, L.; Fu, S.; Zheng, L.; Zhan, H. Adsorption behavior of Cd2+, Pb2+, and Ni2+ from aqueous solutions on cellulose-based hydrogels. BioResources 2012, 7, 2752–2765. [Google Scholar]
- Yang, S.; Fu, S.; Liu, J.; Zhou, Y. Adsorption of Hydrogels Based on Cellulose for Cu(II) and Ni(II): Behaviors and Mechanisms. J. Macromol. Sci. Part B 2016, 55, 722–731. [Google Scholar] [CrossRef]
- Isobe, N.; Chen, X.; Kim, U.J.; Kimura, S.; Wada, M.; Saito, T.; Isogai, A. TEMPO-Oxidized Cellulose Hydrogel as a High-Capacity and Reusable Heavy Metal Ion Adsorbent. J. Hazard. Mater. 2013, 260, 195–201. [Google Scholar] [CrossRef] [PubMed]
- Zhou, L.; Wang, Y.; Liu, Z.; Huang, Q. Characteristics of Equilibrium, Kinetics Studies for Adsorption of Hg(II), Cu(II), and Ni(II) Ions by Thiourea-Modified Magnetic Chitosan Microspheres. J. Hazard. Mater. 2009, 161, 995–1002. [Google Scholar] [CrossRef]
- Zhu, Y.; Hu, J.; Wang, J. Competitive Adsorption of Pb(II), Cu(II) and Zn(II) onto Xanthate-Modified Magnetic Chitosan. J. Hazard. Mater. 2012, 221–222, 155–161. [Google Scholar] [CrossRef] [PubMed]
- Amin, M.T.; Alazba, A.A.; Shafiq, M. Comparative Removal of Lead and Nickel Ions onto Nanofibrous Sheet of Activated Polyacrylonitrile in Batch Adsorption and Application of Conventional Kinetic and Isotherm Models. Membranes 2021, 11, 10. [Google Scholar] [CrossRef] [PubMed]
- Periasamy, K.; Namasivayam, C. Process Development for Removal and Recovery of Cadmium from Wastewater by a Low-Cost Adsorbent: Adsorption Rates and Equilibrium Studies. Ind. Eng. Chem. Res. 1994, 33, 317–320. [Google Scholar] [CrossRef]
- Dai, H.; Huang, Y.; Huang, H. Eco-Friendly Polyvinyl Alcohol/Carboxymethyl Cellulose Hydrogels Reinforced with Graphene Oxide and Bentonite for Enhanced Adsorption of Methylene Blue. Carbohydr. Polym. 2018, 185, 1–11. [Google Scholar] [CrossRef]
- Zhao, B.; Jiang, H.; Lin, Z.; Xu, S.; Xie, J.; Zhang, A. Preparation of Acrylamide/Acrylic Acid Cellulose Hydrogels for the Adsorption of Heavy Metal Ions. Carbohydr. Polym. 2019, 224, 115022. [Google Scholar] [CrossRef] [PubMed]
- Webber, V.; de Carvalho, S.M.; Ogliari, P.J.; Hayashi, L.; Barreto, P.L.M. Optimization of the Extraction of Carrageenan from Kappaphycus Alvarezii Using Response Surface Methodology. Food Sci. Technol. 2012, 32, 812–818. [Google Scholar] [CrossRef]
- Atykyan, N.; Revin, V.; Shutova, V. Raman and FT-IR Spectroscopy Investigation the Cellulose Structural Differences from Bacteria Gluconacetobacter Sucrofermentans during the Different Regimes of Cultivation on a Molasses Media. AMB Express 2020, 10, 84. [Google Scholar] [CrossRef]
- Liew, J.W.Y.; Loh, K.S.; Ahmad, A.; Lim, K.L.; Wan Daud, W.R. Synthesis and characterization of modified κ-Carrageenan for enhanced proton conductivity as polymer electrolyte membrane. PLoS ONE 2017, 12, e0185313. [Google Scholar] [CrossRef] [PubMed]
- Keshk, S.M.A.S.; Hamdy, M.S. Preparation and Physicochemical Characterization of Zinc Oxide/Sodium Cellulose Composite for Food Packaging. Turk. J. Chem. 2019, 43, 94–105. [Google Scholar] [CrossRef]
- Chen, J.; Jiang, X.; Yin, D.; Zhang, W. Preparation of a Hydrogel-Based Adsorbent for Metal Ions through High Internal Phase Emulsion Polymerization. ACS Omega 2020, 5, 19920–19927. [Google Scholar] [CrossRef] [PubMed]
- Chen, S.B.; Ma, Y.B.; Chen, L.; Xian, K. Adsorption of Aqueous Cd2+, Pb2+, Cu2+ Ions by Nano-Hydroxyapatite: Single-and Multi-Metal Competitive Adsorption Study. Geochem. J. 2010, 44, 233–239. [Google Scholar] [CrossRef]
- Wan, J.; Zhang, F.; Han, Z.; Song, L.; Zhang, C.; Zhang, J. Adsorption of Cd2+ and Pb2+ by Biofuel Ash-Based Geopolymer Synthesized by One-Step Hydrothermal Method. Arab. J. Chem. 2021, 14, 103234. [Google Scholar] [CrossRef]
- Li, L.; Zhao, J.; Sun, Y.; Yu, F.; Ma, J. Ionically Cross-Linked Sodium Alginate/ĸ-Carrageenan Double-Network Gel Beads with Low-Swelling, Enhanced Mechanical Properties, and Excellent Adsorption Performance. Chem. Eng. J. 2019, 372, 1091–1103. [Google Scholar] [CrossRef]
- Melichová, Z.; Hromada, L. Adsorption of Pb2+ and Cu2+ Ions from Aqueous Solutions on Natural Bentonite. Pol. J. Environ. Stud. 2012, 22, 457–464. [Google Scholar]
- Song, D.; Kang, B.; Zhao, Z.; Song, S. Stretchable Self-Healing Hydrogels Capable of Heavy Metal Ion Scavenging. RSC Adv. 2019, 9, 19039–19047. [Google Scholar] [CrossRef]
- Godiya, C.B.; Liang, M.; Sayed, S.M.; Li, D.; Lu, X. Novel Alginate/Polyethyleneimine Hydrogel Adsorbent for Cascaded Removal and Utilization of Cu2+ and Pb2+ Ions. J. Environ. Manag. 2019, 232, 829–841. [Google Scholar] [CrossRef]
- Lin, Z.; Yang, Y.; Liang, Z.; Zeng, L.; Zhang, A. Preparation of Chitosan/Calcium Alginate/Bentonite Composite Hydrogel and Its Heavy Metal Ions Adsorption Properties. Polymers 2021, 13, 1891. [Google Scholar] [CrossRef]
- Gholitabar, S.; Tahermansouri, H. Kinetic and Multi-Parameter Isotherm Studies of Picric Acid Removal from Aqueous Solutions by Carboxylated Multi-Walled Carbon Nanotubes in the Presence and Absence of Ultrasound. Carbon Lett. 2017, 22, 14–24. [Google Scholar] [CrossRef]
- Alkadir, O.K.A.; Al-Mashhadani, Z.I.; Aljeboree, A.M.; Alkaim, A.F. Comparison Between Pseudo-First-Order and Pseudo-Second-Order of Linear and Nonlinear Equations Adsorption Kinetic Models for the Removal of Amoxicillin (AMX) onto Hydrogel. Int. J. Pharm. Qual. Assur. 2021, 12, 346–350. [Google Scholar] [CrossRef]
- Swelam, A.A.; Awad, A.M.A.S.M.B. Recovery of Calcium and Magnesium from Aqueous-Alcoholic Solutions by Cation Exchange Resin. Middle East J. Appl. Sci. 2014, 4, 569–578. [Google Scholar]
- Saha, T.K.; Bhoumik, N.C.; Karmaker, S.; Ahmed, M.G.; Ichikawa, H.; Fukumori, Y. Adsorption of Methyl Orange onto Chitosan from Aqueous Solution. J. Water Resour. Prot. 2010, 2, 898–906. [Google Scholar] [CrossRef]
- William Kajjumba, G.; Emik, S.; Öngen, A.; Kurtulus Özcan, H.; Aydın, S. Modelling of Adsorption Kinetic Processes—Errors, Theory and Application. In Advanced Sorption Process Applications; IntechOpen: London, UK, 2019; pp. 1–19. [Google Scholar] [CrossRef]
- Wu, F.C.; Tseng, R.L.; Juang, R.S. Initial Behavior of Intraparticle Diffusion Model Used in the Description of Adsorption Kinetics. Chem. Eng. J. 2009, 153, 1–8. [Google Scholar] [CrossRef]
- Guerrero, R.; Acibar, C.; Alarde, C.M.; Maslog, J.; Pacilan, C.J. Evaluation of Pb (II) Removal from Water Using Sodium Alginate/Hydroxypropyl Cellulose Beads. E3S Web Conf. 2020, 148, 02002. [Google Scholar] [CrossRef]
- Qiu, C.; Zhang, X.; Zhang, Y.; Tang, Q.; Yuan, Z.; De Hoop, C.F.; Cao, J.; Hao, S.; Liang, T.; Li, F.; et al. Bamboo-Based Biofoam Adsorbents for the Adsorption of Cationic Pollutants in Wastewater: Methylene Blue and Cu(II). ACS Omega 2021, 6, 23447–23459. [Google Scholar] [CrossRef]
- Zhu, H.; Chen, S.; Luo, Y. Adsorption Mechanisms of Hydrogels for Heavy Metal and Organic Dyes Removal: A Short Review. J. Agric. Food Res. 2023, 12, 100552. [Google Scholar] [CrossRef]
- Kalam, S.; Abu-Khamsin, S.A.; Kamal, M.S.; Patil, S. Surfactant Adsorption Isotherms: A Review. ACS Omega 2021, 6, 32342–32348. [Google Scholar] [CrossRef]
- Xu, Y.; Qu, Y.; Yang, Y.; Qu, B.; Shan, R.; Yuan, H.; Sun, Y. Study on Efficient Adsorption Mechanism of Pb2+ by Magnetic Coconut Biochar. Int. J. Mol. Sci. 2022, 23, 14053. [Google Scholar] [CrossRef]
- Farag, A.A.; Gafar Afif, A.; Salih, S.A.; Altalhi, A.A.; Mohamed, E.A.; Mohamed, G.G. Highly Efficient Elimination of Pb+2 and Al+3 Metal Ions from Wastewater Using Graphene Oxide/3,5-Diaminobenzoic Acid Composites: Selective Removal of Pb2+ from Real Industrial Wastewater. ACS Omega 2022, 7, 38347–38360. [Google Scholar] [CrossRef] [PubMed]
- Al-Gorair, A.S.; Sayed, A.; Mahmoud, G.A. Engineered Superabsorbent Nanocomposite Reinforced with Cellulose Nanocrystals for Remediation of Basic Dyes: Isotherm, Kinetic, and Thermodynamic Studies. Polymers 2022, 14, 567. [Google Scholar] [CrossRef] [PubMed]
- Subramanyam, B.; Das, A. Linearised and Non-Linearised Isotherm Models Optimization Analysis by Error Functions and Statistical Means. J. Environ. Health Sci. Eng. 2014, 12, 92. [Google Scholar] [CrossRef]
- Gupta, A.; Sharma, V.; Sharma, K.; Kumar, V.; Choudhary, S.; Mankotia, P.; Kumar, B.; Mishra, H.; Moulick, A.; Ekielski, A.; et al. A Review of Adsorbents for Heavy Metal Decontamination: Growing Approach to Wastewater Treatment. Materials 2021, 14, 4702. [Google Scholar] [CrossRef] [PubMed]
- Wu, Q.; Wang, Y. Research Status of Polyvinyl Alcohol-Based Chelating Materials. IOP Conf. Ser. Earth Environ. Sci. 2019, 330, 042044. [Google Scholar] [CrossRef]
- Ghiorghita, C.A.; Dinu, M.V.; Lazar, M.M.; Dragan, E.S. Polysaccharide-Based Composite Hydrogels as Sustainable Materials for Removal of Pollutants from Wastewater. Molecules 2022, 27, 8574. [Google Scholar] [CrossRef]
- Zhao, H.; Ouyang, X.K.; Yang, L.Y. Adsorption of Lead Ions from Aqueous Solutions by Porous Cellulose Nanofiber–Sodium Alginate Hydrogel Beads. J. Mol. Liq. 2021, 324, 115122. [Google Scholar] [CrossRef]
- Karbarz, M.; Khalil, A.M.; Wolowicz, K.; Kaniewska, K.; Romanski, J.; Stojek, Z. Efficient Removal of Cadmium and Lead Ions from Water by Hydrogels Modified with Cystine. J. Environ. Chem. Eng. 2018, 6, 3962–3970. [Google Scholar] [CrossRef]
- Wu, S.; Guo, J.; Wang, Y.; Huang, C.; Hu, Y. Facile Preparation of Magnetic Sodium Alginate/Carboxymethyl Cellulose Composite Hydrogel for Removal of Heavy Metal Ions from Aqueous Solution. J. Mater. Sci. 2021, 56, 13096–13107. [Google Scholar] [CrossRef]
- Tang, S.; Yang, J.; Lin, L.; Peng, K.; Chen, Y.; Jin, S.; Yao, W. Construction of Physically Crosslinked Chitosan/Sodium Alginate/Calcium Ion Double-Network Hydrogel and Its Application to Heavy Metal Ions Removal. Chem. Eng. J. 2020, 393, 124728. [Google Scholar] [CrossRef]
- Zhou, Y.; Fu, S.; Zhang, L.; Zhan, H.; Levit, M.V. Use of Carboxylated Cellulose Nanofibrils-Filled Magnetic Chitosan Hydrogel Beads as Adsorbents for Pb(II). Carbohydr. Polym. 2014, 101, 75–82. [Google Scholar] [CrossRef]
- Wang, Z.; Wu, S.; Zhang, Y.; Miao, L.; Zhang, Y.; Wu, A. Preparation of Modified Sodium Alginate Aerogel and Its Application in Removing Lead and Cadmium Ions in Wastewater. Int. J. Biol. Macromol. 2020, 157, 687–694. [Google Scholar] [CrossRef]
- Naushad, M. Surfactant Assisted Nano-Composite Cation Exchanger: Development, Characterization and Applications for the Removal of Toxic Pb2+ from Aqueous Medium. Chem. Eng. J. 2014, 235, 100–108. [Google Scholar] [CrossRef]
- Mwandira, W.; Nakashima, K.; Togo, Y.; Sato, T.; Kawasaki, S. Cellulose-Metallothionein Biosorbent for Removal of Pb(II) and Zn(II) from Polluted Water. Chemosphere 2020, 246, 125733. [Google Scholar] [CrossRef]
- Aquino, R.R.; Tolentino, M.S.; Elacion, R.M.P.D.; Ladrillono, R.; Laurenciana, T.R.C.; Basilia, B.A. Adsorptive Removal of Lead (Pb2+) Ion from Water Using Cellulose Acetate/Polycaprolactone Reinforced Nanostructured Membrane. IOP Conf. Ser. Earth Environ. Sci. 2018, 191, 1–8. [Google Scholar] [CrossRef]
- Chen, B.; Zhao, H.; Chen, S.; Long, F.; Huang, B.; Yang, B.; Pan, X. A Magnetically Recyclable Chitosan Composite Adsorbent Functionalized with EDTA for Simultaneous Capture of Anionic Dye and Heavy Metals in Complex Wastewater. Chem. Eng. J. 2019, 356, 69–80. [Google Scholar] [CrossRef]
- De Rossi, A.; Rigueto, C.V.T.; Dettmer, A.; Colla, L.M.; Piccin, J.S. Synthesis, Characterization, and Application of Saccharomyces Cerevisiae/Alginate Composites Beads for Adsorption of Heavy Metals. J. Environ. Chem. Eng. 2020, 8, 104009. [Google Scholar] [CrossRef]
- Yuvaraja, G.; Pang, Y.; Chen, D.Y.; Kong, L.J.; Mehmood, S.; Subbaiah, M.V.; Rao, D.S.; Mouli Pavuluri, C.; Wen, J.C.; Reddy, G.M. Modification of Chitosan Macromolecule and Its Mechanism for the Removal of Pb(II) Ions from Aqueous Environment. Int. J. Biol. Macromol. 2019, 136, 177–188. [Google Scholar] [CrossRef]
- Vijayalakshmi, K.; Devi, B.M.; Latha, S.; Gomathi, T.; Sudha, P.N.; Venkatesan, J.; Anil, S. Batch Adsorption and Desorption Studies on the Removal of Lead (II) from Aqueous Solution Using Nanochitosan/Sodium Alginate/Microcrystalline Cellulose Beads. Int. J. Biol. Macromol. 2017, 104, 1483–1494. [Google Scholar] [CrossRef]
- Jiang, H.; Yang, Y.; Lin, Z.; Zhao, B.; Wang, J.; Xie, J.; Zhang, A. Preparation of a Novel Bio-Adsorbent of Sodium Alginate Grafted Polyacrylamide/Graphene Oxide Hydrogel for the Adsorption of Heavy Metal Ion. Sci. Total Environ. 2020, 744, 140653. [Google Scholar] [CrossRef]






Disclaimer/Publisher’s Note: The statements, opinions and data contained in all publications are solely those of the individual author(s) and contributor(s) and not of MDPI and/or the editor(s). MDPI and/or the editor(s) disclaim responsibility for any injury to people or property resulting from any ideas, methods, instructions or products referred to in the content. |
© 2023 by the authors. Licensee MDPI, Basel, Switzerland. This article is an open access article distributed under the terms and conditions of the Creative Commons Attribution (CC BY) license (https://creativecommons.org/licenses/by/4.0/).
Share and Cite
Kalaiselvi, K.; Mohandoss, S.; Ahmad, N.; Khan, M.R.; Manoharan, R.K. Adsorption of Pb2+ Ions from Aqueous Solution onto Porous Kappa-Carrageenan/Cellulose Hydrogels: Isotherm and Kinetics Study. Sustainability 2023, 15, 9534. https://doi.org/10.3390/su15129534
Kalaiselvi K, Mohandoss S, Ahmad N, Khan MR, Manoharan RK. Adsorption of Pb2+ Ions from Aqueous Solution onto Porous Kappa-Carrageenan/Cellulose Hydrogels: Isotherm and Kinetics Study. Sustainability. 2023; 15(12):9534. https://doi.org/10.3390/su15129534
Chicago/Turabian StyleKalaiselvi, Karuppiah, Sonaimuthu Mohandoss, Naushad Ahmad, Mohammad Rizwan Khan, and Ranjith Kumar Manoharan. 2023. "Adsorption of Pb2+ Ions from Aqueous Solution onto Porous Kappa-Carrageenan/Cellulose Hydrogels: Isotherm and Kinetics Study" Sustainability 15, no. 12: 9534. https://doi.org/10.3390/su15129534
APA StyleKalaiselvi, K., Mohandoss, S., Ahmad, N., Khan, M. R., & Manoharan, R. K. (2023). Adsorption of Pb2+ Ions from Aqueous Solution onto Porous Kappa-Carrageenan/Cellulose Hydrogels: Isotherm and Kinetics Study. Sustainability, 15(12), 9534. https://doi.org/10.3390/su15129534

