Machine Learning: Volume and Biomass Estimates of Commercial Trees in the Amazon Forest
Abstract
1. Introduction
2. Materials and Methods
2.1. Characterization of the Study Area
2.2. Determination of Volume and Biomass Stocks
2.3. Predictor Variables for Modeling
2.4. Model Evaluation
3. Results
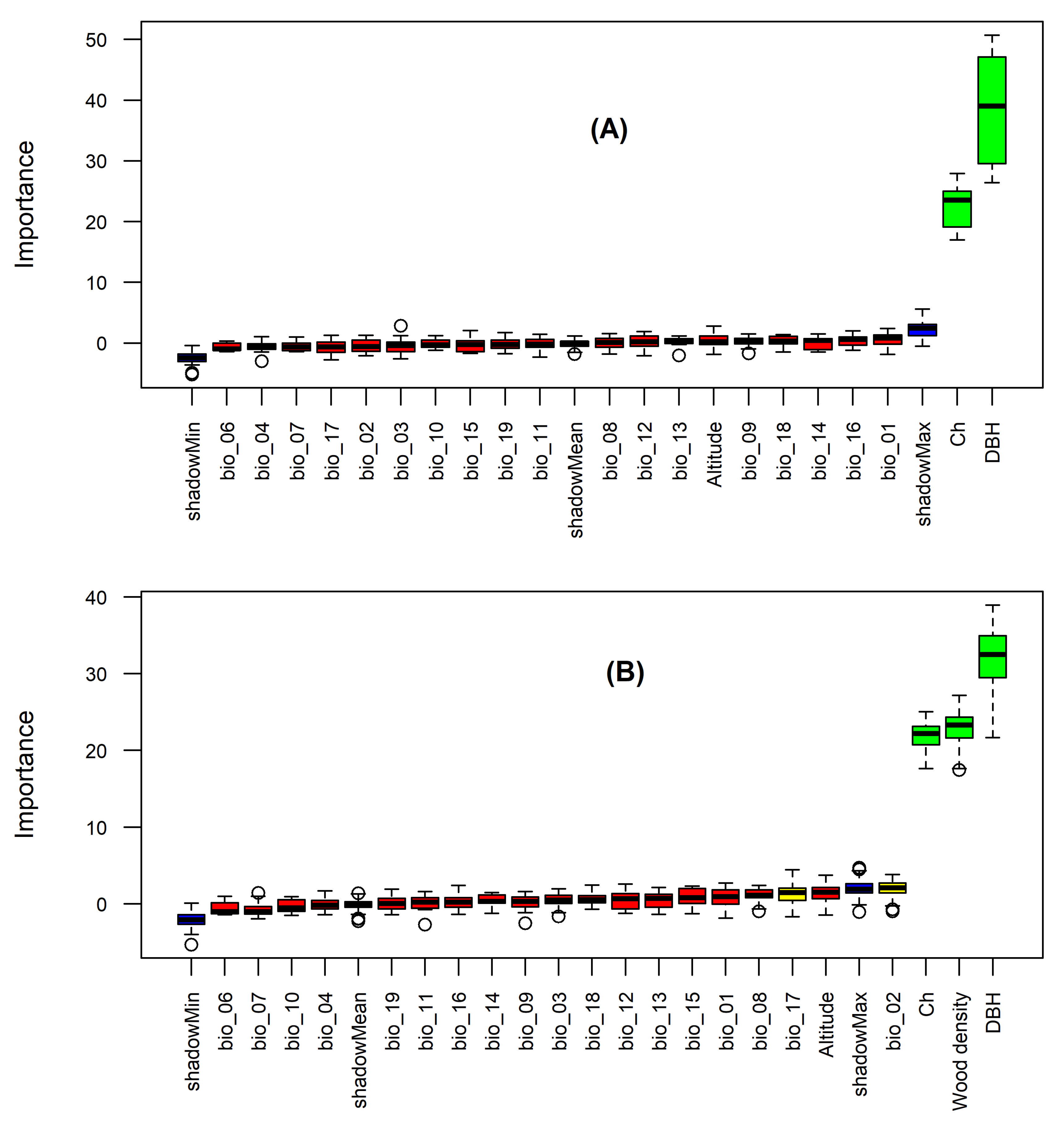
3.1. Selection of Variables
3.2. Selection of Models
4. Discussion
4.1. Selection of Variables
4.2. Model Performance
5. Conclusions
Author Contributions
Funding
Institutional Review Board Statement
Informed Consent Statement
Data Availability Statement
Acknowledgments
Conflicts of Interest
References
- Gleason, C.J.; Im, J. Forest biomass estimation from airborne LiDAR data using machine learning approaches. Remote Sens. Environ. 2012, 125, 80–91. [Google Scholar] [CrossRef]
- Jachowski, N.R.A.; Quak, M.S.Y.; Friess, D.A.; Duangnamon, D.; Webb, E.L.; Ziegler, A.D. Mangrove biomass estimation in Southwest Thailand using machine learning. Appl. Geogr. 2013, 45, 311–321. [Google Scholar] [CrossRef]
- Zhao, K.; Popescu, S.; Meng, X.; Pang, Y.; Agca, M. Characterizing forest canopy structure with lidar composite metrics and machine learning. Remote Sens. Environ. 2011, 115, 1978–1996. [Google Scholar] [CrossRef]
- Goodman, R.C.; Phillips, O.L.; del Castillo Torres, D.; Freitas, L.; Cortese, S.T.; Monteagudo, A.; Baker, T.R. Amazon palm biomass and allometry. For. Ecol. Manag. 2013, 310, 994–1004. [Google Scholar] [CrossRef]
- Chave, J.; Réjou-Méchain, M.; Búrquez, A.; Chidumayo, E.; Colgan, M.S.; Delitti, W.B.; Duque, A.; Eid, T.; Fearnside, P.M.; Goodman, R.C.; et al. Improved allometric models to estimate the aboveground biomass of tropical trees. Glob. Change Biol. 2014, 20, 3177–3190. [Google Scholar] [CrossRef]
- Alvarez, E.; Duque, A.; Saldarriaga, J.; Cabrera, K.; Salas, G.D.L.; del Valle, I.; Lema, A.; Moreno, F.; Orrego, S.; Rodríguez, L. Tree above-ground biomass allometries for carbon stocks estimation in the natural forests of Colombia. For. Ecol. Manag. 2012, 267, 297–308. [Google Scholar] [CrossRef]
- Chambers, J.Q.; dos Santos, J.; Ribeiro, R.J.; Higuchi, N. Tree damage, allometric relationships, and above-ground net primary production in central Amazon forest. For. Ecol. Manag. 2001, 152, 73–84. [Google Scholar] [CrossRef]
- Chave, J.; Andalo, C.; Brown, S.; Cairns, M.A.; Chambers, J.Q.; Eamus, D.; Fölster, H.; Fromard, F.; Higuchi, N.; Kira, T.; et al. Tree allometry and improved estimation of carbon stocks and balance in tropical forests. Oecologia 2005, 145, 87–99. [Google Scholar] [CrossRef]
- Cummings, D.; Kauffman, J.B.; Perry, D.A.; Hughes, R.F. Aboveground biomass and structure of rainforests in the southwestern Brazilian Amazon. For. Ecol. Manag. 2002, 163, 293–307. [Google Scholar] [CrossRef]
- Goodman, R.C.; Phillips, O.L.; Baker, T.R. The importance of crown dimensions to improve tropical tree biomass estimates. Ecol. Appl. 2014, 24, 680–698. [Google Scholar] [CrossRef]
- Keller, M.; Palace, M.; Hurtt, G. Biomass estimation in the Tapajos National Forest, Brazil: Examination of sampling and allometric uncertainties. For. Ecol. Manag. 2001, 154, 371–382. [Google Scholar] [CrossRef]
- Lima, A.J.N.; Suwa, R.; de Mello Ribeiro, G.H.P.; Kajimoto, T.; Dos Santos, J.; Da Silva, R.P.; De Souza, C.A.S.; De Barros, P.C.; Noguchi, H.; Ishizuka, M. Allometric models for estimating above- and below-ground biomass in Amazonian forests at São Gabriel da Cachoeira in the upper Rio Negro, Brazil. For. Ecol. Manag. 2012, 277, 163–172. [Google Scholar] [CrossRef]
- Nelson, B.W.; Mesquita, R.; Pereira, J.L.G.; de Souza, S.G.A.; Batista, G.T.; Couto, L.B. Allometric regressions for improved estimate of secondary forest biomass in the central Amazon. For. Ecol. Manag. 1999, 117, 149–167. [Google Scholar] [CrossRef]
- Nogueira, E.M.; Fearnside, P.M.; Nelson, B.W.; Barbosa, R.I.; Keizer, E.W.H. Estimates of forest biomass in the Brazilian Amazon: New allometric equations and adjustments to biomass from wood-volume inventories. For. Ecol. Manag. 2008, 256, 1853–1867. [Google Scholar] [CrossRef]
- Vieilledent, G.; Vaudry, R.; Andriamanohisoa, S.F.D.; Rakotonarivo, O.S.; Randrianasolo, H.Z.; Razafindrabe, H.N.; Rakotoarivony, C.B.; Ebeling, J.; Rasamoelina, M. A universal approach to estimate biomass and carbon stock in tropical forests using generic allometric models. Ecol. Appl. 2012, 22, 572–583. [Google Scholar] [CrossRef] [PubMed]
- Reis, L.P.; de Souza, A.L.; dos Reis, P.C.M.; Mazzei, L.; Soares, C.P.B.; Torres, C.M.M.E.; da Silva, L.F.; Ruschel, A.R.; Rêgo, L.J.S.; Leite, H.G. Estimation of mortality and survival of individual trees after harvesting wood using artificial neural networks in the amazon rain forest. Ecol. Eng. 2018, 112, 140–147. [Google Scholar] [CrossRef]
- da Rocha, S.J.S.S.; Torres, C.M.M.E.; Jacovine, L.A.G.; Leite, H.G.; Gelcer, E.M.; Neves, K.M.; Schettini, B.L.S.; Villanova, P.H.; da Silva, L.F.; Reis, L.P.; et al. Artificial neural networks: Modeling tree survival and mortality in the Atlantic Forest biome in Brazil. Sci. Total Environ. 2018, 645, 655–661. [Google Scholar] [CrossRef]
- Júnior, I.d.S.T.; Torres, C.M.M.E.; Leite, H.G.; de Castro, N.L.M.; Soares, C.P.B.; Castro, R.V.O.; Farias, A.A. Machine learning: Modeling increment in diameter of individual trees on Atlantic Forest fragments. Ecol. Indic. 2020, 117, 106685. [Google Scholar] [CrossRef]
- Reis, L.P.; de Souza, A.L.; Mazzei, L.; dos Reis, P.C.M.; Leite, H.G.; Soares, C.P.B.; Torres, C.M.M.E.; da Silva, L.F.; Ruschel, A.R. Prognosis on the diameter of individual trees on the eastern region of the amazon using artificial neural networks. For. Ecol. Manag. 2016, 382, 161–167. [Google Scholar] [CrossRef]
- Corona-Núñez, R.; Mendoza-Ponce, A.; López-Martínez, R. Model selection changes the spatial heterogeneity and total potential carbon in a tropical dry forest. For. Ecol. Manag. 2017, 405, 69–80. [Google Scholar] [CrossRef]
- Nandy, S.; Singh, R.; Ghosh, S.; Watham, T.; Kushwaha, S.P.S.; Kumar, A.S.; Dadhwal, V.K. Neural network-based modelling for forest biomass assessment. Carbon Manag. 2017, 8, 305–317. [Google Scholar] [CrossRef]
- Santi, E.; Paloscia, S.; Pettinato, S.; Fontanelli, G.; Mura, M.; Zolli, C.; Maselli, F.; Chiesi, M.; Bottai, L.; Chirici, G. The potential of multifrequency SAR images for estimating forest biomass in Mediterranean areas. Remote Sens. Environ. 2017, 200, 63–73. [Google Scholar] [CrossRef]
- Foody, G.M.; Cutler, M.E. Mapping the species richness and composition of tropical forests from remotely sensed data with neural networks. Ecol. Model. 2006, 195, 37–42. [Google Scholar] [CrossRef]
- Diamantopoulou, M.J.; Özçelik, R.; Crecente-Campo, F.; Eler, Ü. Estimation of Weibull function parameters for modelling tree diameter distribution using least squares and artificial neural networks methods. Biosyst. Eng. 2015, 133, 33–45. [Google Scholar] [CrossRef]
- Diamantopoulou, M.J.; Özçelik, R. Evaluation of different modeling approaches for total tree-height estimation in Mediterranean Region of Turkey. For. Syst. 2012, 21, 383. [Google Scholar] [CrossRef]
- Vieira, G.C.; de Mendonça, A.R.; da Silva, G.F.; Zanetti, S.S.; da Silva, M.M.; dos Santos, A.R. Prognoses of diameter and height of trees of eucalyptus using artificial intelligence. Sci. Total Environ. 2018, 619–620, 1473–1481. [Google Scholar] [CrossRef]
- Ingram, J.C.; Whittaker, R.J.; Dawson, T.P. Tree Structure and Diversity in Human-Impacted Littoral Forests, Madagascar. Environ. Manag. 2005, 35, 779–798. [Google Scholar] [CrossRef]
- Zhao, Q.; Yu, S.; Zhao, F.; Tian, L.; Zhao, Z. Comparison of machine learning algorithms for forest parameter estimations and application for forest quality assessments. For. Ecol. Manag. 2019, 434, 224–234. [Google Scholar] [CrossRef]
- Hansen, M.C.; Potapov, P.V.; Moore, R.; Hancher, M.; Turubanova, S.A.; Tyukavina, A.; Thau, D.; Stehman, S.V.; Goetz, S.J.; Loveland, T.R.; et al. High-resolution global maps of 21st-century forest cover change. Science 2013, 342, 850–853. [Google Scholar] [CrossRef]
- Brienen, R.J.W.; Phillips, O.L.; Feldpausch, T.R.; Gloor, E.; Baker, T.R.; Lloyd, J.; Lopez-Gonzalez, G.; Monteagudo-Mendoza, A.; Malhi, Y.; Lewis, S.L.; et al. Long-term decline of the Amazon carbon sink. Nature 2015, 519, 344–348. [Google Scholar] [CrossRef]
- Antonelli, A.; Sanmartín, I. Why are there so many plant species in the Neotropics? Taxon 2011, 60, 403–414. [Google Scholar] [CrossRef]
- Ter Steege, H.; Pitman, N.C.A.; Sabatier, D.; Baraloto, C.; Salomão, R.P.; Guevara, J.E.; Phillips, O.L.; Castilho, C.V.; Magnusson, W.E.; Molino, J.-F.; et al. Hyperdominance in the Amazonian Tree Flora. Science 2013, 342, 1243092. [Google Scholar] [CrossRef]
- Cardoso, D.; Särkinen, T.; Alexander, S.; Amorim, A.M.; Bittrich, V.; Celis, M.; Daly, D.C.; Fiaschi, P.; Funk, V.A.; Giacomin, L.L.; et al. Amazon plant diversity revealed by a taxonomically verified species list. Proc. Natl. Acad. Sci. USA 2017, 114, 10695–10700. [Google Scholar] [CrossRef] [PubMed]
- Andrade, V.H.F.; Machado, S.D.A.; Filho, A.F.; Botosso, P.C.; Miranda, B.P.; Schöngart, J. Growth models for two commercial tree species in upland forests of the Southern Brazilian Amazon. For. Ecol. Manag. 2019, 438, 215–223. [Google Scholar] [CrossRef]
- Luize, B.G.; Magalhães, J.L.L.; Queiroz, H.; Lopes, M.A.; Venticinque, E.M.; Novo, E.M.L.D.M.; Silva, T.S.F. The tree species pool of Amazonian wetland forests: Which species can assemble in periodically waterlogged habitats? PLoS ONE 2018, 13, e0198130. [Google Scholar] [CrossRef] [PubMed]
- ter Steege, H.; Vaessen, R.W.; Cárdenas-López, D.; Sabatier, D.; Antonelli, A.; de Oliveira, S.M.; Pitman, N.C.A.; Jørgensen, P.M.; Salomão, R.P. The discovery of the Amazonian tree flora with an updated checklist of all known tree taxa. Sci. Rep. 2016, 6, 29549. [Google Scholar] [CrossRef]
- Fortini, L.B. Integrated models show a transient opportunity for sustainable management by tropical forest dwellers. For. Ecol. Manag. 2019, 438, 233–242. [Google Scholar] [CrossRef]
- Putz, F.; Sist, P.; Fredericksen, T.; Dykstra, D. Reduced-impact logging: Challenges and opportunities. For. Ecol. Manag. 2008, 256, 1427–1433. [Google Scholar] [CrossRef]
- Dang, A.T.N.; Nandy, S.; Srinet, R.; Luong, N.V.; Ghosh, S.; Kumar, A.S. Forest aboveground biomass estimation using machine learning regression algorithm in Yok Don National Park, Vietnam. Ecol. Inform. 2018, 50, 24–32. [Google Scholar] [CrossRef]
- Ye, Q.; Yu, S.; Liu, J.; Zhao, Q.; Zhao, Z. Aboveground biomass estimation of black locust planted forests with aspect variable using machine learning regression algorithms. Ecol. Indic. 2021, 129, 107948. [Google Scholar] [CrossRef]
- Zarzosa, P.S.; Navarro-Cerrillo, R.M.; Mc Cubbin, E.P.; Cruz, G.; Lopez, M. Biomass estimation models for four priority Prosopis species: Tools required for forestry management in overexploited arid ecosystems. J. Arid. Environ. 2023, 209, 104904. [Google Scholar] [CrossRef]
- Jiang, X.; Li, G.; Lu, D.; Moran, E.; Batistella, M. Modeling Forest Aboveground Carbon Density in the Brazilian Amazon with Integration of MODIS and Airborne LiDAR Data. Remote Sens. 2020, 12, 3330. [Google Scholar] [CrossRef]
- Zhu, Y.; Feng, Z.; Lu, J.; Liu, J. Estimation of Forest Biomass in Beijing (China) Using Multisource Remote Sensing and Forest Inventory Data. Forests 2020, 11, 163. [Google Scholar] [CrossRef]
- Prăvălie, R.; Niculiţă, M.; Roşca, B.; Patriche, C.; Dumitraşcu, M.; Marin, G.; Nita, I.-A.; Bandoc, G.; Birsan, M.-V. Modelling forest biomass dynamics in relation to climate change in Romania using complex data and machine learning algorithms. Stoch. Environ. Res. Risk Assess. 2023, 37, 1669–1695. [Google Scholar] [CrossRef]
- Diamantopoulou, M.J.; Milios, E. Modelling total volume of dominant pine trees in reforestations via multivariate analysis and artificial neural network models. Biosyst. Eng. 2010, 105, 306–315. [Google Scholar] [CrossRef]
- Alencar, J.D.C.; De Almeida, R.A.; Fernandes, N.P. Fenologia de espécies florestais em floresta tropical úmida de terra firme na Amazônia Central. Acta Amaz. 1979, 9, 163–199. [Google Scholar] [CrossRef]
- Alvares, C.A.; Stape, J.L.; Sentelhas, P.C.; Moraes, G.J.L.; Sparovek, G. Köppen’s climate classification map for Brazil. Meteorol. Z. 2013, 22, 711–728. [Google Scholar] [CrossRef]
- Governo do Estado do Acre Zoneamento Ecológico-Econômico. Fase III: Escala 1:250.000; Semapi: Rio Branco-Acre, Brazil, 2021. [Google Scholar]
- Romero, F.M.B.; Jacovine, L.A.G.; Ribeiro, S.C.; Torres, C.M.M.E.; da Silva, L.F.; Gaspar, R.d.O.; da Rocha, S.J.S.S.; Staudhammer, C.L.; Fearnside, P.M. Allometric Equations for Volume, Biomass, and Carbon in Commercial Stems Harvested in a Managed Forest in the Southwestern Amazon: A Case Study. Forests 2020, 11, 874. [Google Scholar] [CrossRef]
- Husch, B.; Beers, T.W.; Kershaw, J.A., Jr. Forest Mensuration, 5th ed.; John Wiley & Sons: Hoboken, NJ, USA, 2016. [Google Scholar]
- Associação Brasileira de Normas Técnicas. 11941: Madeira—Determinação Da Densidade Básica; Associação Brasileira de Normas Técnicas: São Paulo, Brazil, 2003. [Google Scholar]
- Fick, S.E.; Hijmans, R.J. WorldClim 2: New 1-km spatial resolution climate surfaces for global land areas. Int. J. Climatol. 2017, 37, 4302–4315. [Google Scholar] [CrossRef]
- Kursa, M.B.; Rudnicki, W.R. Feature Selection with the Boruta Package. J. Stat. Softw. 2010, 36, 1–13. [Google Scholar] [CrossRef]
- Speiser, J.L.; Miller, M.E.; Tooze, J.; Ip, E. A comparison of random forest variable selection methods for classification prediction modeling. Expert Syst. Appl. 2019, 134, 93–101. [Google Scholar] [CrossRef] [PubMed]
- Kuyah, S.; Dietz, J.; Muthuri, C.; Jamnadass, R.; Mwangi, P.; Coe, R.; Neufeldt, H. Allometric equations for estimating biomass in agricultural landscapes: I. Aboveground biomass. Agric. Ecosyst. Environ. 2012, 158, 216–224. [Google Scholar] [CrossRef]
- Yuen, J.Q.; Fung, T.; Ziegler, A.D. Review of allometric equations for major land covers in SE Asia: Uncertainty and implications for above- and below-ground carbon estimates. For. Ecol. Manag. 2016, 360, 323–340. [Google Scholar] [CrossRef]
- Rutishauser, E.; Noor’an, F.; Laumonier, Y.; Halperin, J.; Ie, R.; Hergoualc’h, K.; Verchot, L. Generic allometric models including height best estimate forest biomass and carbon stocks in Indonesia. For. Ecol. Manag. 2013, 307, 219–225. [Google Scholar] [CrossRef]
- Feldpausch, T.R.; Banin, L.; Phillips, O.L.; Baker, T.R.; Lewis, S.L.; Quesada, C.A.; Affum-Baffoe, K.; Arets, E.J.M.M.; Berry, N.J.; Bird, M.; et al. Height-diameter allometry of tropical forest trees. Biogeosciences 2011, 8, 1081–1106. [Google Scholar] [CrossRef]
- Lines, E.R.; Zavala, M.A.; Purves, D.W.; Coomes, D.A. Predictable changes in aboveground allometry of trees along gradients of temperature, aridity and competition. Glob. Ecol. Biogeogr. 2012, 21, 1017–1028. [Google Scholar] [CrossRef]
- Marshall, A.; Willcock, S.; Platts, P.; Lovett, J.; Balmford, A.; Burgess, N.; Latham, J.; Munishi, P.; Salter, R.; Shirima, D.; et al. Measuring and modelling above-ground carbon and tree allometry along a tropical elevation gradient. Biol. Conserv. 2012, 154, 20–33. [Google Scholar] [CrossRef]
- Banin, L.; Feldpausch, T.R.; Phillips, O.L.; Baker, T.R.; Lloyd, J.; Affum-Baffoe, K.; Arets, E.J.M.M.; Berry, N.J.; Bradford, M.; Brienen, R.J.W.; et al. What controls tropical forest architecture? Testing environmental, structural and floristic drivers. Glob. Ecol. Biogeogr. 2012, 21, 1179–1190. [Google Scholar] [CrossRef]
- Taylor, P.G.; Cleveland, C.C.; Soper, F.; Wieder, W.R.; Dobrowski, S.; Doughty, C.E.; Townsend, A.R. Greater stem growth, woody allocation, and aboveground biomass in Paleotropical forests than in Neotropical forests. Ecology 2019, 100, e02589. [Google Scholar] [CrossRef]
- Loh, W.-Y. Classification and regression trees. WIREs Data Min. Knowl. Discov. 2011, 1, 14–23. [Google Scholar] [CrossRef]
- Abdel-Rahman, E.M.; Mutanga, O.; Adam, E.; Ismail, R. Detecting Sirex noctilio grey-attacked and lightning-struck pine trees using airborne hyperspectral data, random forest and support vector machines classifiers. ISPRS J. Photogramm. Remote Sens. 2014, 88, 48–59. [Google Scholar] [CrossRef]
- Belgiu, M.; Drăguţ, L. Random forest in remote sensing: A review of applications and future directions. ISPRS J. Photogramm. Remote Sens. 2016, 114, 24–31. [Google Scholar] [CrossRef]
- Ali, J.; Khan, R.; Ahmad, N.; Maqsood, I. Random Forests and Decision Trees. Int. J. Comput. Sci. Issues 2012, 9, 272–278. [Google Scholar]
- Reise, J.; Kukulka, F.; Flade, M.; Winter, S. Characterising the richness and diversity of forest bird species using National Forest Inventory data in Germany. For. Ecol. Manag. 2019, 432, 799–811. [Google Scholar] [CrossRef]
- Lazri, M.; Ameur, S. Combination of support vector machine, artificial neural network and random forest for improving the classification of convective and stratiform rain using spectral features of SEVIRI data. Atmos. Res. 2018, 203, 118–129. [Google Scholar] [CrossRef]
- Sun, T.; Chen, F.; Zhong, L.; Liu, W.; Wang, Y. GIS-based mineral prospectivity mapping using machine learning methods: A case study from Tongling ore district, eastern China. Ore Geol. Rev. 2019, 109, 26–49. [Google Scholar] [CrossRef]
- Breiman, L. Random forests. Mach. Learn. 2001, 45, 5–32. [Google Scholar] [CrossRef]
- Rodriguez-Galiano, V.; Sanchez-Castillo, M.; Chica-Olmo, M.; Chica-Rivas, M.J.O.G.R. Machine learning predictive models for mineral prospectivity: An evaluation of neural networks, random forest, regression trees and support vector machines. Ore Geol. Rev. 2015, 71, 804–818. [Google Scholar] [CrossRef]
- Meyer, D.; Leisch, F.; Hornik, K. The support vector machine under test. Neurocomputing 2003, 55, 169–186. [Google Scholar] [CrossRef]
- Lopatin, J.; Dolos, K.; Hernández, H.; Galleguillos, M.; Fassnacht, F. Comparing Generalized Linear Models and random forest to model vascular plant species richness using LiDAR data in a natural forest in central Chile. Remote Sens. Environ. 2016, 173, 200–210. [Google Scholar] [CrossRef]





| SN | F | N | Bd |
|---|---|---|---|
| Albizia niopoides (Spruce ex Benth.) Burkart | Fabaceae Lindl. | 7 | 0.64 ± 0.03 |
| Apuleia leiocarpa (Vogel) J.F.Macbr. | Fabaceae Lindl. | 13 | 0.77 ± 0.03 |
| Astronium lecointei Ducke | Anacardiaceae R.Br. | 6 | 0.82 ± 0.05 |
| Barnebydendron riedelii (Tul.) J.H.Kirkbr. | Fabaceae Lindl. | 5 | 0.57 ± 0.03 |
| Buchenavia tetraphylla (Aubl.) R.A.Howard | Combretaceae R.Br. | 9 | 0.69 ± 0.04 |
| Castilla ulei Warb. | Moraceae Gaudich. | 37 | 0.41 ± 0.04 |
| Cedrela odorata L. | Meliaceae A.Juss. | 8 | 0.43 ± 0.04 |
| Ceiba pentandra (L.) Gaertn. | Malvaceae Juss. | 4 | 0.29 ± 0.03 |
| Ceiba samauma (Mart.) K.Schum. | Malvaceae Juss. | 22 | 0.51 ± 0.05 |
| Copaifera multijuga Hayne | Fabaceae Lindl. | 6 | 0.52 ± 0.05 |
| Dipteryx odorata (Aubl.) Willd. | Fabaceae Lindl. | 11 | 0.80 ± 0.04 |
| Eschweilera bracteosa (Poepp. ex O.Berg) Miers | Lecythidaceae A.Rich. | 15 | 0.65 ± 0.05 |
| Eschweilera grandiflora (Aubl.) Sandwith | Lecythidaceae A.Rich. | 13 | 0.73 ± 0.03 |
| Handroanthus serratifolius (Vahl) S.Grose | Bignoniaceae Juss. | 8 | 0.82 ± 0.04 |
| Hura crepitans L. | Euphorbiaceae Juss. | 6 | 0.36 ± 0.06 |
| Hymenaea courbaril L. | Fabaceae Lindl. | 8 | 0.76 ± 0.04 |
| Parkia paraensis Ducke | Fabaceae Lindl. | 20 | 0.46 ± 0.06 |
| Schizolobium parahyba var. amazonicum (Huber ex Ducke) Barneby | Fabaceae Lindl. | 16 | 0.48 ± 0.08 |
| ± CI | 11.89 ± 8.12 | 0.59 ± 0.17 |
| Variable | Min | 1° Quartil | Median | Mean | 3° Quartil | Max | SD |
|---|---|---|---|---|---|---|---|
| DBH | 50.38 | 64.78 | 75.44 | 79.60 | 89.52 | 149.92 | 20.14 |
| Ch | 7.30 | 11.71 | 14.20 | 14.82 | 17.87 | 25.40 | 4.03 |
| Bd | 0.29 | 0.43 | 14.20 | 0.57 | 0.73 | 0.82 | 0.15 |
| Bio1 | 24.86 | 24.88 | 24.88 | 24.88 | 24.89 | 24.92 | 0.01 |
| Bio2 | 11.45 | 11.51 | 11.52 | 11.51 | 11.52 | 11.53 | 0.01 |
| Bio3 | 81.21 | 81.62 | 81.68 | 81.65 | 81.68 | 82.02 | 0.09 |
| Bio4 | 82.28 | 83.38 | 83.42 | 83.49 | 83.63 | 84.39 | 0.25 |
| Bio6 | 17.30 | 17.30 | 17.30 | 17.30 | 17.30 | 17.40 | 0.01 |
| Bio7 | 14.00 | 14.10 | 14.10 | 14.10 | 14.10 | 14.10 | 0.01 |
| Bio8 | 25.32 | 25.32 | 25.33 | 25.33 | 25.35 | 25.38 | 0.02 |
| Bio9 | 23.63 | 23.67 | 23.67 | 23.67 | 23.68 | 23.73 | 0.02 |
| Bio10 | 25.55 | 25.57 | 25.57 | 25.57 | 25.58 | 25.60 | 0.01 |
| Bio11 | 23.63 | 23.67 | 23.67 | 23.67 | 23.68 | 23.73 | 0.02 |
| Bio12 | 1830.00 | 1834.00 | 1836.00 | 1836.31 | 1839.00 | 1853.00 | 3.98 |
| Bio13 | 250.00 | 251.00 | 252.00 | 251.61 | 252.00 | 254.00 | 1.03 |
| Bio14 | 40.00 | 40.00 | 41.00 | 40.70 | 41.00 | 41.00 | 0.46 |
| Bio15 | 51.47 | 51.58 | 51.77 | 51.74 | 51.77 | 52.05 | 0.17 |
| Bio16 | 735.00 | 736.00 | 738.00 | 737.61 | 738.00 | 744.00 | 2.09 |
| Bio17 | 154.00 | 155.00 | 155.00 | 155.29 | 156.00 | 158.00 | 0.91 |
| Bio18 | 568.00 | 570.00 | 570.00 | 570.27 | 571.00 | 576.00 | 1.69 |
| Bio19 | 154.00 | 155.00 | 155.00 | 156.82 | 156.00 | 198.00 | 8.01 |
| Alt | 151.05 | 164.99 | 173.16 | 175.08 | 183.08 | 248.87 | 13.75 |
| Variable | Model | RMSE | MAE | ryŷ |
|---|---|---|---|---|
| Volume | SVM | 1.93 ± 0.54 | 1.19 ± 0.23 | 0.89 ± 0.04 |
| ANN | 1.67 ± 0.36 | 1.13 ± 0.19 | 0.91 ± 0.04 | |
| RF | 1.82 ± 0.41 | 1.24 ± 0.20 | 0.90 ± 0.04 | |
| GLM | 1.82 ± 0.33 | 1.30 ± 0.18 | 0.89± 0.04 | |
| Biomass | SVM | 1.15 ± 0.33 | 0.67 ± 0.15 | 0.92 ± 0.03 |
| ANN | 1.10 ± 0.27 | 0.69 ± 0.13 | 0.92 ± 0.03 | |
| RF | 1.19 ± 0.31 | 0.76 ± 0.14 | 0.91 ± 0.03 | |
| GLM | 1.35 ± 0.27 | 0.97 ± 0.12 | 0.88 ± 0.04 |
Disclaimer/Publisher’s Note: The statements, opinions and data contained in all publications are solely those of the individual author(s) and contributor(s) and not of MDPI and/or the editor(s). MDPI and/or the editor(s) disclaim responsibility for any injury to people or property resulting from any ideas, methods, instructions or products referred to in the content. |
© 2023 by the authors. Licensee MDPI, Basel, Switzerland. This article is an open access article distributed under the terms and conditions of the Creative Commons Attribution (CC BY) license (https://creativecommons.org/licenses/by/4.0/).
Share and Cite
Rocha, S.J.S.S.d.; Romero, F.M.B.; Torres, C.M.M.E.; Jacovine, L.A.G.; Ribeiro, S.C.; Villanova, P.H.; Schettini, B.L.S.; Junior, V.T.M.d.M.; Reis, L.P.; Rufino, M.P.M.X.; et al. Machine Learning: Volume and Biomass Estimates of Commercial Trees in the Amazon Forest. Sustainability 2023, 15, 9452. https://doi.org/10.3390/su15129452
Rocha SJSSd, Romero FMB, Torres CMME, Jacovine LAG, Ribeiro SC, Villanova PH, Schettini BLS, Junior VTMdM, Reis LP, Rufino MPMX, et al. Machine Learning: Volume and Biomass Estimates of Commercial Trees in the Amazon Forest. Sustainability. 2023; 15(12):9452. https://doi.org/10.3390/su15129452
Chicago/Turabian StyleRocha, Samuel José Silva Soares da, Flora Magdaline Benitez Romero, Carlos Moreira Miquelino Eleto Torres, Laércio Antônio Gonçalves Jacovine, Sabina Cerruto Ribeiro, Paulo Henrique Villanova, Bruno Leão Said Schettini, Vicente Toledo Machado de Morais Junior, Leonardo Pequeno Reis, Maria Paula Miranda Xavier Rufino, and et al. 2023. "Machine Learning: Volume and Biomass Estimates of Commercial Trees in the Amazon Forest" Sustainability 15, no. 12: 9452. https://doi.org/10.3390/su15129452
APA StyleRocha, S. J. S. S. d., Romero, F. M. B., Torres, C. M. M. E., Jacovine, L. A. G., Ribeiro, S. C., Villanova, P. H., Schettini, B. L. S., Junior, V. T. M. d. M., Reis, L. P., Rufino, M. P. M. X., Comini, I. B., Tavares Júnior, I. d. S., & Viana, Á. B. T. (2023). Machine Learning: Volume and Biomass Estimates of Commercial Trees in the Amazon Forest. Sustainability, 15(12), 9452. https://doi.org/10.3390/su15129452

