Synthesis and Characterization of Zinc-Lead-Phosphate Glasses Doped with Europium for Radiation Shielding
Abstract
1. Introduction
2. Materials and Methods
2.1. Sample Preparation
2.2. Density and Oxygen Packing Density, Molar Volume, and Oxygen Volume Measurements
2.3. Measuring Infrared Absorption
2.4. Optical Transmission Measurements
2.5. Gamma-ray Transmission Measurement
2.6. Theoretical Background of γ-ray Shielding
2.6.1. Single-Valued Zeff and Neff
2.6.2. Energy-Dependent Zeff (E) and Neff (E)
2.7. Gamma-ray Kerma Coefficient Calculations
3. Results
3.1. Structural and Physical Characteristics
3.2. FTIR Absorption Spectra
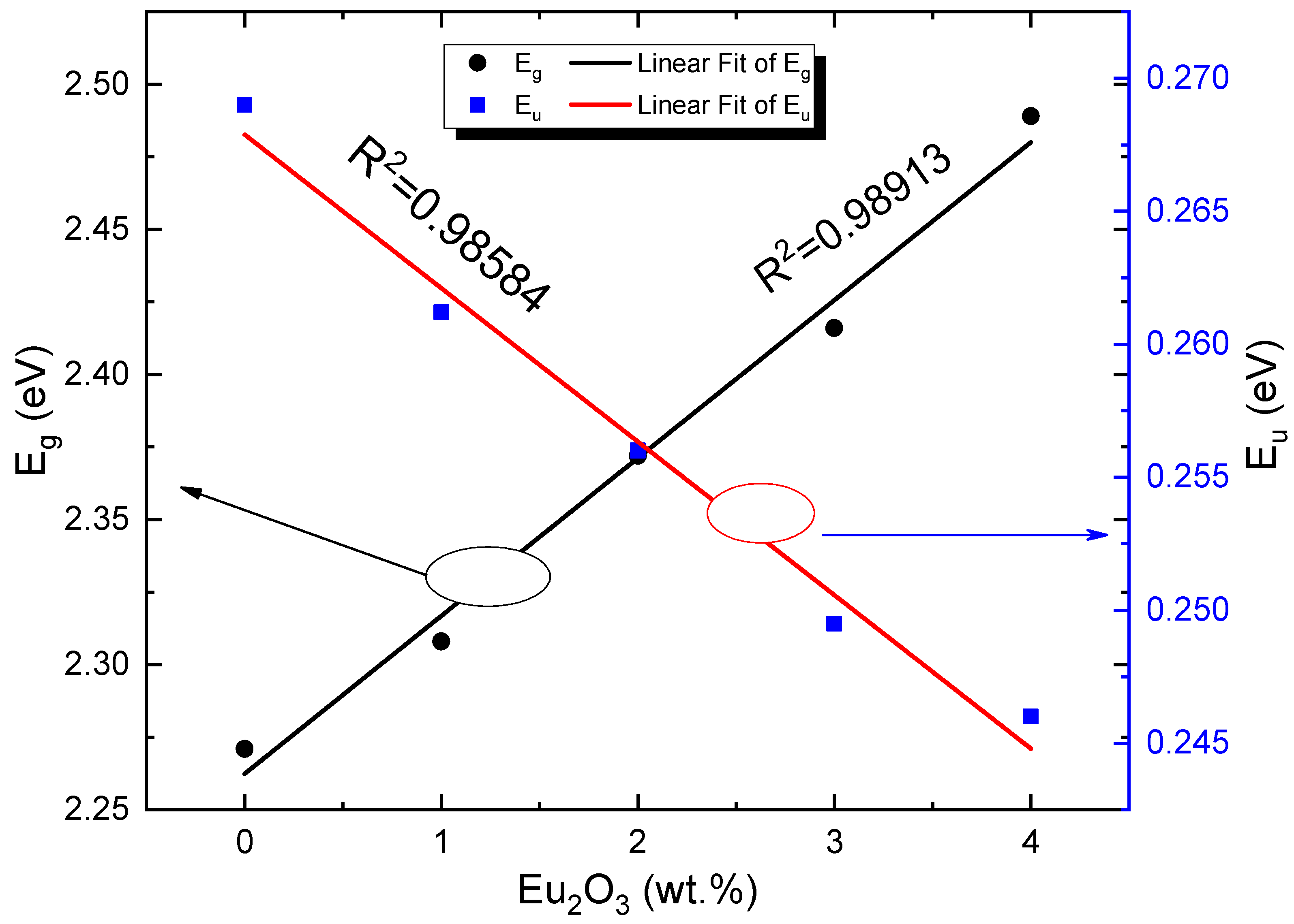
3.3. Optical Characterization
3.4. Gamma-ray Attenuation Characteristics
3.4.1. Mass Attenuation Coefficients
3.4.2. Effective Atomic Numbers and Effective Electron Densities
3.5. Experimental and Theoretical Kerma Coefficients of γ-ray
3.6. Fast Neutron Attenuation Characteristics
4. Conclusions
Author Contributions
Funding
Institutional Review Board Statement
Informed Consent Statement
Data Availability Statement
Conflicts of Interest
References
- Khor, S.; Talib, Z.; Yunus, W.M. Optical properties of ternary zinc magnesium phosphate glasses. Ceram. Int. 2012, 38, 935–940. [Google Scholar] [CrossRef]
- Das, S.; Srivastava, P.; Singh, N. Fast ion conducting phosphate glasses and glass ceramic composites: Promising materials for solid state batteries. J. Non-Cryst. Solids 2012, 358, 2841–2846. [Google Scholar] [CrossRef]
- Azizabadi, N.; Azar, P.A.; Tehrani, M.S.; Derakhshi, P. Synthesis and characteristics of gel-derived SiO2-CaO-P2O5-SrO-Ag2O-ZnO bioactive glass: Bioactivity, biocompatibility, and antibacterial properties. J. Non-Cryst. Solids 2021, 556, 120568. [Google Scholar] [CrossRef]
- Wahab, E.A.; El-Maaref, A.; Shaaban, K.; Börcsök, J.; Abdelawwad, M. Lithium cadmium phosphate glasses doped Sm3+ as a host material for near-IR laser applications. Opt. Mater. 2021, 111, 110638. [Google Scholar] [CrossRef]
- Li, X.; Xiao, Z.; Luo, M.; Dong, X.; Du, T.; Wang, Y. Low melting glasses in ZnO-Fe2O3-P2O5 system with high chemical durability and thermal stability for sealing or waste immobilization. J. Non-Cryst. Solids 2017, 469, 62–69. [Google Scholar] [CrossRef]
- Niraula, G.; Coaquira, J.A.; Aragon, F.H.; Villar, B.M.G.; Mello, A.; Garcia, F.; Muraca, D.; Zoppellaro, G.; Vargas, J.M.; Sharma, S.K. Tuning the shape, size, phase composition and stoichiometry of iron oxide nanoparticles: The role of phosphate anions. J. Alloys Compd. 2021, 856, 156940. [Google Scholar] [CrossRef]
- Dimitrov, V.; Sakka, S. Electronic oxide polarizability and optical basicity of simple oxides. I. J. Appl. Phys. 1996, 79, 1736–1740. [Google Scholar] [CrossRef]
- El-Egili, K.; Doweidar, H.; Moustafa, Y.; Abbas, I. Structure and some physical properties of PbO-P2O5 glasses. Phys. B Condens. Matter 2003, 339, 237–245. [Google Scholar] [CrossRef]
- Muñoz, F.; Rocherullé, J.; Ahmed, I.; Hu, L. Phosphate Glasses. In Springer Handbook of Glass; Musgraves, J.D., Hu, J., Calvez, L., Eds.; Springer: Cham, Switzerland, 2019; pp. 553–594. [Google Scholar] [CrossRef]
- Elalaily, N.A.; Zahran, A.H.; Sallam, O.I.; Eldin, F.M.E. Structure and electrical conductivity of ɤ-irradiated lead-phosphate glass containing MoO3. Appl. Phys. A 2019, 125, 128. [Google Scholar] [CrossRef]
- Chowdhury, S.; Mandal, P.; Ghosh, S. Structural properties of Er3+ doped lead zinc phosphate glasses. Mater. Sci. Eng. B 2019, 240, 116–120. [Google Scholar] [CrossRef]
- Sidek, H.; El-Mallawany, R.; Matori, K.; Halimah, M. Effect of PbO on the elastic behavior of ZnO-P2O5 glass systems. Results Phys. 2016, 6, 449–455. [Google Scholar] [CrossRef]
- Ali, A.A.; Shaaban, H.M.; Abdallah, A. Spectroscopic studies of ZnO borate-tellurite glass doped with Eu2O3. J. Mater. Res. Technol. 2018, 7, 240–247. [Google Scholar] [CrossRef]
- Chen, G.; Stump, N.; Haire, R.; Peterson, J. Study of the phase behavior of Eu2O3 under pressure via luminescence of Eu3+. J. Alloys Compd. 1992, 181, 503–509. [Google Scholar] [CrossRef]
- Zagrai, M.; Suciu, R.-C.; Rada, S.; Pică, M.; Pruneanu, S. Structural and optical properties of Eu3+ ions in lead glass for photonic applications. J. Non-Cryst. Solids 2021, 569, 120988. [Google Scholar] [CrossRef]
- Sharvani, K.N.; Ganesh, P.S.; Kaewkhao, J.; Intachai, N.; Kothan, S.; Rachniyom, W.; Pasha, A.; Rajaramakrishna, R. Optical and structural properties of Eu3+ doped MgO-Li2O-Na2O-BaO-B2O3 glasses for scintillating glass applications. Radiat. Phys. Chem. 2022, 199, 110295. [Google Scholar] [CrossRef]
- Teresa, P.E.; Naseer, K.; Piotrowski, T.; Marimuthu, K.; Aloraini, D.A.; Almuqrin, A.H.; Sayyed, M. Optical properties and radiation shielding studies of europium doped modifier reliant multi former glasses. Optik 2021, 247, 168005. [Google Scholar] [CrossRef]
- Esawii, H.A.; Salama, E.; El-Ahll, L.S.; Moustafa, M.; Saleh, H.M. High impact tungsten-doped borosilicate glass composite for gamma and neutron transparent radiation shielding. Prog. Nucl. Energy 2022, 150, 104321. [Google Scholar] [CrossRef]
- Ehab, M.; Salama, E.; Ashour, A.; Attallah, M.; Saleh, H.M. Optical Properties and Gamma Radiation Shielding Capability of Transparent Barium Borosilicate Glass Composite. Sustainability 2022, 14, 13298. [Google Scholar] [CrossRef]
- Saleh, H.M.; Bondouk, I.I.; Salama, E.; Esawii, H.A. Consistency and shielding efficiency of cement-bitumen composite for use as gamma-radiation shielding material. Prog. Nucl. Energy 2021, 137, 103764. [Google Scholar] [CrossRef]
- Eid, M.S.; Bondouk, I.; Saleh, H.M.; Omar, K.M.; Sayyed, M.; El-Khatib, A.M.; Elsafi, M. Implementation of waste silicate glass into composition of ordinary cement for radiation shielding applications. Nucl. Eng. Technol. 2022, 54, 1456–1463. [Google Scholar] [CrossRef]
- Reda, S.M.; Saleh, H.M. Calculation of the gamma radiation shielding efficiency of cement-bitumen portable container using MCNPX code. Prog. Nucl. Energy 2021, 142, 104012. [Google Scholar] [CrossRef]
- Bayoumi, T.; Reda, S.; Saleh, H. Assessment study for multi-barrier system used in radioactive borate waste isolation based on Monte Carlo simulations. Appl. Radiat. Isot. 2012, 70, 99–102. [Google Scholar] [CrossRef] [PubMed]
- Wagh, A.; Raviprakash, Y.; Kamath, S.D. Gamma rays interactions with Eu2O3 doped lead fluoroborate glasses. J. Alloys Compd. 2017, 695, 2781–2798. [Google Scholar] [CrossRef]
- Yin, S.; Wang, H.; Wang, S.; Zhang, J.; Zhu, Y. Effect of B2O3 on the Radiation Shielding Performance of Telluride Lead Glass System. Crystals 2022, 12, 178. [Google Scholar] [CrossRef]
- Amjad, R.J.; Sahar, M.; Ghoshal, S.; Dousti, M.R.; Arifin, R. Synthesis and characterization of Dy3+ doped zinc-lead-phosphate glass. Opt. Mater. 2013, 35, 1103–1108. [Google Scholar] [CrossRef]
- Dousti, M.R.; Amjad, R.J. Spectroscopic properties of Tb3+-doped lead zinc phosphate glass for green solid state laser. J. Non-Cryst. Solids 2015, 420, 21–25. [Google Scholar] [CrossRef]
- Dousti, M.R.; Ghoshal, S.; Amjad, R.J.; Sahar, M.; Nawaz, F.; Arifin, R. Structural and optical study of samarium doped lead zinc phosphate glasses. Opt. Commun. 2013, 300, 204–209. [Google Scholar] [CrossRef]
- Ma, C.; Jiang, S.; Zhou, X. Energy transfer from Ce3+ to Tb3+ and Eu3+ in zinc phosphate glasses. J. Rare Earths 2010, 28, 40–42. [Google Scholar] [CrossRef]
- Segawa, H.; Hirosaki, N.; Ohki, S.; Deguchi, K.; Shimizu, T. Exploration of zinc phosphate glasses dispersed with Eu-doped SiAlON for white LED applications. Opt. Mater. 2013, 35, 2677–2684. [Google Scholar] [CrossRef]
- Zakaly, H.M.; Rashad, M.; Tekin, H.; Saudi, H.; Issa, S.A.; Henaish, A. Synthesis, optical, structural and physical properties of newly developed dolomite reinforced borate glasses for nuclear radiation shielding utilizations: An experimental and simulation study. Opt. Mater. 2021, 114, 110942. [Google Scholar] [CrossRef]
- Sikora, P.; El-Khayatt, A.M.; Saudi, H.; Chung, S.-Y.; Stephan, D.; Elrahman, M.A. Evaluation of the effects of bismuth oxide (Bi2O3) micro and nanoparticles on the mechanical, microstructural and γ-ray/neutron shielding properties of Portland cement pastes. Constr. Build. Mater. 2021, 284, 122758. [Google Scholar] [CrossRef]
- Gerward, L.; Guilbert, N.; Jensen, K.B.; Levring, H. WinXCom—A program for calculating X-ray attenuation coefficients. Radiat. Phys. Chem. 2004, 71, 653–654. [Google Scholar] [CrossRef]
- Murty, R.C. Effective Atomic Numbers of Heterogeneous Materials. Nature 1965, 207, 398–399. [Google Scholar] [CrossRef]
- Mayneord, W.V. The significance of the röntgen. Acta Int. Union Against Cancer 1937, 3, 271–282. [Google Scholar]
- Sellakumar, P.; Samuel, E.J.J.; Supe, S.S. Water equivalence of polymer gel dosimeters. Radiat. Phys. Chem. 2007, 76, 1108–1115. [Google Scholar] [CrossRef]
- Hine, G.J. Secondary electron emission and effective atomic numbers. Nucleon. US Ceased Publ. 1952, 10, 1. [Google Scholar]
- Tsai, C.M.; Cho, Z.H. Physics of contrast mechanism and averaging effect of linear attenuation coefficients in a computerized transverse axial tomography (CTAT) transmission scanner. Phys. Med. Biol. 1976, 21, 544–559. [Google Scholar] [CrossRef]
- Puumalainen, P.; Olkkonen, H.; Sikanen, P. Assessment of fat content of liver by a photon scattering technique. Int. J. Appl. Radiat. Isot. 1977, 28, 785–787. [Google Scholar] [CrossRef]
- Manninen, S.; Koikkalainen, S. Determination of the effective atomic number using elastic and inelastic scattering of γ-rays. Int. J. Appl. Radiat. Isot. 1984, 35, 965–968. [Google Scholar] [CrossRef]
- Akkurt, I.; El-Khayatt, A. The effect of barite proportion on neutron and gamma-ray shielding. Ann. Nucl. Energy 2013, 51, 5–9. [Google Scholar] [CrossRef]
- El-Khayatt, A. Semi-empirical determination of gamma-ray kerma coefficients for materials of shielding and dosimetry from mass attenuation coefficients. Prog. Nucl. Energy 2017, 98, 277–284. [Google Scholar] [CrossRef]
- De, M.; Jana, S.; Mitra, S. Structural and spectroscopic characteristics of Eu3+ embedded titanium lead phosphate glasses for red luminescence. Solid State Sci. 2021, 114, 106560. [Google Scholar] [CrossRef]
- Saudi, H.A.; El-Kameesy, S.U. Investigation of modified zinc borate glasses doped with BaO as a nuclear radiation-shielding material. Radiat. Detect. Technol. Methods 2018, 2, 44. [Google Scholar] [CrossRef]
- Znášik, P.; Jamnick, M. Non-Crystalline Solids Preparation, infrared spectra and structure of glasses in the system CuC1-Cu2O-(P2O5 + MoO3). J. Non-Cryst. Solids 1992, 146, 74–80. [Google Scholar] [CrossRef]
- Abo-Naf, S.; El-Amiry, M.; Abdel-Khalek, A. FT-IR and UV-Vis optical absorption spectra of γ-irradiated calcium phosphate glasses doped with Cr2O3, V2O5 and Fe2O3. Opt. Mater. 2008, 30, 900–909. [Google Scholar] [CrossRef]
- ElBatal, F.H.; Ouis, M.A.; Morsi, R.M.M.; Marzouk, S.Y. Interaction of gamma rays with some sodium phosphate glasses containing cobalt. J. Non-Cryst. Solids 2010, 356, 46–55. [Google Scholar] [CrossRef]
- Abid, M.; Et-Tabirou, M.; Hafid, M. Glass forming region, ionic conductivity and infrared spectroscopy of vitreous sodium lead mixed phosphates. Mater. Res. Bull. 2001, 36, 407–421. [Google Scholar] [CrossRef]
- Fayad, A.M.; Ouis, M.A.; ElBatal, F.H.; ElBatal, H.A. Shielding Behavior of Gamma-Irradiated MoO3 or WO3-Doped Lead Phosphate Glasses Assessed by Optical and FT Infrared Absorption Spectral Measurements. Silicon 2017, 10, 1873–1879. [Google Scholar] [CrossRef]
- Maity, A.; Jana, S.; Ghosh, S.; Sharma, S. Spectroscopic investigation on Europium (Eu3+) doped strontium zinc lead phosphate glasses with varied ZnO and PbO compositions. J. Non-Cryst. Solids 2020, 550, 120322. [Google Scholar] [CrossRef]
- Monisha, M.; Sayyed, M.I.; Mazumder, N.; Arayro, J.; Kamath, S.D. Color tuneability behaviour and energy transfer analysis on Dy3+-Eu3+ co-doped glasses for NUV-WLEDs application. J. Mater. Sci. Mater. Electron. 2023, 34, 487. [Google Scholar] [CrossRef]
- Abul-Magd, A.A.; Abu-Khadra, A.S.; Taha, A.M.; Basry, A. Influence of La3+ ions on the structural, optical and dielectric properties and ligand field parameters of Fe3+ hybrid borate glasses. J. Non-Cryst. Solids 2023, 599, 121981. [Google Scholar] [CrossRef]
- Salem, S.M.; Abou-Elnasr, T.Z.; El-Gammal, W.A.; Mahmoud, A.S.; Saudi, H.A.; Mostafa, A.G. Optical Parameters and Electrical Transport Properties of Some Barium-Sodium-Borate Glasses Doped Bismuth Oxide. Am. J. Aerosp. Eng. 2018, 5, 1–8. [Google Scholar] [CrossRef]
- El-Samrah, M.; El-Mohandes, A.; El-Khayatt, A.; Chidiac, S. MRCsC: A user-friendly software for predicting shielding effectiveness against fast neutrons. Radiat. Phys. Chem. 2021, 182, 109356. [Google Scholar] [CrossRef]
- El-Khayatt, A. NXcom—A program for calculating attenuation coefficients of fast neutrons and gamma-rays. Ann. Nucl. Energy 2011, 38, 128–132. [Google Scholar] [CrossRef]
- Abdo, A.E.-S. Calculation of the cross-sections for fast neutrons and gamma-rays in concrete shields. Ann. Nucl. Energy 2002, 29, 1977–1988. [Google Scholar] [CrossRef]














| Constituent | ||||||||||
|---|---|---|---|---|---|---|---|---|---|---|
| mole% | wt.% | mole% | wt.% | mole% | wt.% | mole% | wt.% | mole% | wt.% | |
| PbO | 19.20 | 34.46 | 19.43 | 34.46 | 19.67 | 34.46 | 19.91 | 34.46 | 20.16 | 34.46 |
| CaO | 22.36 | 10.08 | 22.63 | 10.08 | 22.90 | 10.08 | 23.18 | 10.08 | 23.47 | 10.08 |
| P2O5 | 35.33 | 40.33 | 35.76 | 40.33 | 36.19 | 40.33 | 36.64 | 40.33 | 37.09 | 40.33 |
| ZnO | 23.10 | 15.12 | 21.82 | 14.12 | 20.51 | 13.11 | 19.16 | 12.10 | 17.78 | 11.09 |
| Eu2O3 | 0.36 | 1.01 | 0.73 | 2.02 | 1.11 | 3.02 | 1.50 | 4.03 | ||
| Glass | ρ a | M | VM | VO | OPD |
|---|---|---|---|---|---|
| g/cm3 | g/mole | cm3/mole | mole/cm3 | ||
| S | 5.04 | 152.14 | 63.04 | 26.12 | 79.95 |
| S1 | 5.058 | 154.86 | 63.53 | 26.07 | 79.61 |
| S2 | 5.076 | 157.59 | 63.54 | 25.62 | 79.89 |
| S3 | 5.094 | 160.32 | 63.73 | 25.34 | 79.93 |
| S4 | 5.112 | 163.05 | 63.90 | 25.04 | 80.00 |
| Sample | ˂A˃ | ˂Z˃ | ˂N˃ × 1026 | [34] | [35] | [36] | [37] | [38] | [40] |
|---|---|---|---|---|---|---|---|---|---|
| S | 32.31 | 14.89 | 2.78 | 57.5 | 53.7 | 54.8 | 57.2 | 56.3 | 45.5 |
| S1 | 32.42 | 14.93 | 2.77 | 57.7 | 53.9 | 55.0 | 57.4 | 56.5 | 56.5 |
| S2 | 32.53 | 14.96 | 2.77 | 57.8 | 54.1 | 55.2 | 57.6 | 56.6 | 46.1 |
| S3 | 32.64 | 15.00 | 2.77 | 58.0 | 54.3 | 55.4 | 57.7 | 56.8 | 46.4 |
| S4 | 32.75 | 15.04 | 2.77 | 58.2 | 54.5 | 55.6 | 57.9 | 57.0 | 46.6 |
| E(γ) MeV | S | S1 | S2 | S3 | S4 | ||||||||||
|---|---|---|---|---|---|---|---|---|---|---|---|---|---|---|---|
| μm | μm | μm | μm | μm | |||||||||||
| Exp. | Theo. | Div. | Exp. | Theo. | Div. | Exp. | Theo. | Div. | Exp. | Theo. | Div. | Exp. | Theo. | Div. | |
| 0.08 | 0.988 | 1.005 | 1.7 | 1.030 | 1.046 | 1.5 | 1.070 | 1.086 | 1.5 | 1.110 | 1.126 | 1.5 | 1.150 | 1.167 | 1.5 |
| 0.238 | 0.294 | 0.298 | 1.4 | 0.296 | 0.300 | 1.4 | 0.298 | 0.302 | 1.4 | 0.300 | 0.304 | 1.4 | 0.302 | 0.306 | 1.4 |
| 0.356 | 0.160 | 0.161 | 0.6 | 0.160 | 0.162 | 1.1 | 0.161 | 0.162 | 0.9 | 0.162 | 0.163 | 0.7 | 0.162 | 0.164 | 1.1 |
| 0.662 | 0.087 | 0.087 | 0.1 | 0.087 | 0.087 | 0.3 | 0.087 | 0.087 | 0.3 | 0.087 | 0.087 | 0.3 | 0.087 | 0.088 | 0.3 |
| 1.173 | 0.059 | 0.059 | −0.4 | 0.059 | 0.059 | −0.2 | 0.059 | 0.059 | −0.2 | 0.059 | 0.059 | −0.2 | 0.059 | 0.059 | −0.2 |
| 1.325 | 0.055 | 0.055 | 0.5 | 0.055 | 0.055 | 0.3 | 0.055 | 0.055 | 0.4 | 0.055 | 0.055 | 0.5 | 0.055 | 0.055 | 0.5 |
| 2.614 | 0.040 | 0.040 | 0.2 | 0.040 | 0.040 | 0.0 | 0.040 | 0.040 | 0.1 | 0.040 | 0.040 | 0.1 | 0.040 | 0.040 | 0.1 |
| Energy | S | S1 | S2 | S3 | S4 | |||||
|---|---|---|---|---|---|---|---|---|---|---|
| Theo. | Exp. | Theo. | Exp. | Theo. | Theo. | Exp. | Theo. | Exp. | Theo. | |
| 0.080 | 9.9 | 9.7 | 10.4 | 10.2 | 10.9 | 10.7 | 11.4 | 11.2 | 11.9 | 11.7 |
| 0.238 | 7.7 | 7.6 | 7.8 | 7.7 | 7.9 | 7.7 | 7.9 | 7.8 | 8.0 | 7.9 |
| 0.356 | 5.1 | 5.1 | 5.1 | 5.1 | 5.2 | 5.1 | 5.2 | 5.2 | 5.2 | 5.2 |
| 0.662 | 4.4 | 4.4 | 4.4 | 4.4 | 4.4 | 4.4 | 4.4 | 4.4 | 4.4 | 4.4 |
| 1.173 | 5.5 | 5.5 | 5.5 | 5.5 | 5.5 | 5.5 | 5.5 | 5.5 | 5.5 | 5.5 |
| 1.325 | 5.9 | 5.8 | 5.9 | 5.9 | 5.9 | 5.9 | 5.9 | 5.9 | 5.9 | 5.9 |
| 2.614 | 9.7 | 9.7 | 9.7 | 9.7 | 9.7 | 9.7 | 9.7 | 9.7 | 9.7 | 9.7 |
| Elem. | S | S1 | S2 | S3 | S4 | |||||
|---|---|---|---|---|---|---|---|---|---|---|
| PD | ΣR | ΣR | ΣR | ΣR | ΣR | |||||
| O | 1.603 | 0.0649 | 1.606 | 0.0650 | 1.609 | 0.0651 | 1.611 | 0.0653 | 1.614 | 0.0654 |
| Si | 0.832 | 0.0245 | 0.835 | 0.0246 | 0.838 | 0.0247 | 0.841 | 0.0248 | 0.844 | 0.0249 |
| Ca | 0.360 | 0.0088 | 0.361 | 0.0088 | 0.363 | 0.0088 | 0.364 | 0.0088 | 0.365 | 0.0089 |
| Zn | 0.607 | 0.0111 | 0.569 | 0.0104 | 0.530 | 0.0097 | 0.491 | 0.0090 | 0.452 | 0.0083 |
| Eu | 0.044 | 0.0005 | 0.088 | 0.0011 | 0.132 | 0.0016 | 0.177 | 0.0021 | ||
| Pb | 1.638 | 0.0170 | 1.643 | 0.0171 | 1.649 | 0.0172 | 1.655 | 0.0172 | 1.661 | 0.0173 |
| ΣR | 0.1264 | 0.1265 | 0.1266 | 0.1267 | 0.1268 | |||||
| ΣR [56] | DS | 0.1011 | BB | 0.1253 | ML | 0.1260 | II | 0.1280 | ||
Disclaimer/Publisher’s Note: The statements, opinions and data contained in all publications are solely those of the individual author(s) and contributor(s) and not of MDPI and/or the editor(s). MDPI and/or the editor(s) disclaim responsibility for any injury to people or property resulting from any ideas, methods, instructions or products referred to in the content. |
© 2023 by the authors. Licensee MDPI, Basel, Switzerland. This article is an open access article distributed under the terms and conditions of the Creative Commons Attribution (CC BY) license (https://creativecommons.org/licenses/by/4.0/).
Share and Cite
El-Khayatt, A.M.; Saudi, H.A.; AlRowis, N.H. Synthesis and Characterization of Zinc-Lead-Phosphate Glasses Doped with Europium for Radiation Shielding. Sustainability 2023, 15, 9245. https://doi.org/10.3390/su15129245
El-Khayatt AM, Saudi HA, AlRowis NH. Synthesis and Characterization of Zinc-Lead-Phosphate Glasses Doped with Europium for Radiation Shielding. Sustainability. 2023; 15(12):9245. https://doi.org/10.3390/su15129245
Chicago/Turabian StyleEl-Khayatt, Ahmed M., Heba A. Saudi, and Norah H. AlRowis. 2023. "Synthesis and Characterization of Zinc-Lead-Phosphate Glasses Doped with Europium for Radiation Shielding" Sustainability 15, no. 12: 9245. https://doi.org/10.3390/su15129245
APA StyleEl-Khayatt, A. M., Saudi, H. A., & AlRowis, N. H. (2023). Synthesis and Characterization of Zinc-Lead-Phosphate Glasses Doped with Europium for Radiation Shielding. Sustainability, 15(12), 9245. https://doi.org/10.3390/su15129245

