Abstract
The stable surrounding rock is the key to ensuring tunnel availability in weakly cemented strata. In recent years, the joint support scheme of “steel beam + anchor net rope + grouting” was proposed based on numerical analysis, laboratory tests, and field tests, which was efficient in the short term. However, the effect of time and environment on the support structure was neglected. The weakly cemented mudstone was sensitive to water, with disintegration soaking up water and consolidation losing water. In this paper, analogy-based remolded soil puts forward the structural restrengthening of damaged mudstone. It was believed that when the clay content of a rock mass exceeded the critical proportion, the restrengthened structure could be regained under certain conditions of consolidation stress and water content. On the one hand, the residual strength of broken mudstone can be improved; on the other hand, pores and cracks are filled with minerals, restraining further water absorption. The structural strengthening feasibility of damaged mudstone was verified based on the geological characteristics and microscopic and strength tests. It is found that restrengthening specimens form cementation on the contacts of broken blocks. The greater the consolidation stress and moisture content, the denser the structure and the higher the strength. The research contributes to supporting the construction of weakly cemented mudstone.
1. Introduction
Underground constructions will disturb the initial state of rock masses, changing the stress field, seepage field, temperature field, and humidity field, followed by local damage accumulating, forming loose circles [1]. The responses to external disturbances were related to the physical and mechanical properties of the rock. Limestones, tight sandstones, and other hard rocks were of complete diagenesis and had high uniaxial compressive strength and resistance to deformation [2,3]. Soft rocks such as weak-cemented sandstone and mudstone were in poor diagenesis, characterized by poor cementation structure, low strength, weak resistance to deformation, and susceptibility to temperature and humidity. Roadways excavated in this kind of rock mass deform largely [4,5]. The deformation of roadways continues for a few months, followed by water migration. Pores and cracks in the strata were filled with water under pressure. Fissures were generated around the roadway after excavation, providing channels for water migration [6]. Water-rock interaction accelerates the failure of roadways. Therefore, the physical and mechanical properties of weakly cemented mudstone are important factors for guiding engineering construction.
In general, the surrounding rock damage was inescapable when excavating roadways in soft strata. However, further deformation can be restricted by strengthening supports. Water-rock interaction can weaken the rock’s strength and accelerate the crushing deformation. Water migration became the key factor in controlling the surrounding rock deformation. Broken clay or sand can be reconsolidated to form remolded structures under certain water content and consolidation stress conditions [7], which enhance the foundation’s bearing capacity and water-retaining capacity. Differing from sandstone, granite, limestone, and other brittle rock masses, the broken, weakly cemented mudstone can be reconsolidated into a whole with a density similar to the original rock. The mudstone disintegrated after soaking in water and consolidated after losing water due to its high clay mineral content, which was similar to the consolidated soil [8]. On the one hand, recombined mudstone formed new joints between fragments, increasing the bearing and anti-deforming capacity of the rock mass. On the other hand, pores and fissures were filled with cementation minerals, forming cementation under pressure and blocking the water seepage and water-rock interaction further [9,10]. Therefore, it was of great significance to study the physical and mechanical properties of reconsolidated mudstones around weakly cemented mudstone roadways and formulate reasonable supporting schemes.
The physical and mechanical properties of soft rock had been deeply studied, and corresponding supporting schemes were proposed according to the specific engineering background [11,12,13]. Yang et al. proposed the supporting technology, focusing on cutting off the water, strengthening the rock’s small structure, and transferring the rock’s large structure [14]. However, previous studies did not take into account the structural effect of broken mudstone under the combination of supporting and ground stress, resulting in a large supporting safety coefficient and an insufficient understanding of the roadway deformation mechanisms. In this paper, according to the ground stress and hydrogeological data of Xiyi Coal Mine, eastern Inner Mongolia, China, the feasibility of structure restrengthening of damaged weak-cemented mudstone was first analyzed. Secondly, recombined samples were prepared under different consolidation stresses and water content by the self-designed consolidation device for rock mass. Structures of recombined mudstones were obtained by high magnification and a large-depth microscope (VHX-6000) to recover the recombinant mechanism of weakly cemented mudstones. Finally, a uniaxial compressive strength test was carried out to reveal the mechanical properties of recombined mudstones under the MTS 816 servo control system.
2. The Feasibility of Structural Regeneration for Broken Mudstone
The disturbed soil can be reconsolidated under certain consolidation stress and saturation conditions, enhancing anti-deforming capability, reducing permeability, and benefiting engineering stabilization. Similarly, weak-cemented silt mudstone is sensitive to water, with disintegration soaking in water and consolidation losing water. According to the consolidation mechanism of disturbed soil, the feasibility of damaged mudstone recombination is analyzed from the aspects of ground stress, water migration, and the supports of the surrounding rock.
2.1. Ground Stress
The stress distribution in shallow areas is influenced by various factors such as geological formation movement, weathering, water migration, and human activities. Kang et al. and Jing et al. [15,16] found that the vertical stress (σv), the maximum and the minimum of the horizontal stress (σH and σh), vary regularly with the depth based on an investigation of the ground stress in shallow areas of the Chinese Mainland.
According to the measurement of ground stress in distinct areas in shallow water, the ground stress gradually transforms from σH > σh > σv to σH > σv > σh with the burial depth increasing. The literature [17] indicated the relationship between vertical stress and buried depth through the linear fitting of statistical data, as shown in Equations (1) and (2), which is similar to the law obtained by Brown and Hoek [18]. The H represents the burial depth in meters.
In general, vertical stress is equal to the weight of overlaying strata. However, the measured vertical stress is generally greater than the weight of overlying strata, attributable to the influence of the tectonic movement. The difference between the maximum and minimum horizontal principal stresses in shallow water is considerable. The lateral coefficient calculation using the average horizontal principal stress will lead to a large difference compared to the actual situation, so it is necessary to consider it separately.
There is a good linear relationship between horizontal principal stress and buried depth, and the correlation coefficient is greater than 0.9, as shown in Equation (3) below.
This result is similar to the study of Zhu and Tao [19] based on the global stress distribution, as shown in Equation (4) below.
The relationships between lateral coefficient and buried depth can be represented by the following Equations (5) and (6), respectively.
The original state of the surroundings varies once it suffers from excavation and forms a disturbance area around the roadway. The disturbance range is about 3–5 times the span of the roadway [20].
2.1.1. Excavation Model
The engineering background for the study involves the No. 1302 ventilation roadway located in the No. 3-3 coal seam of Xiyi Coal Mine [21]. The basic mechanical parameters of strata are listed in Table 1. The E, σc, σT, K, G, φ, c, and ρ refer to elasticity modulus, compressive strength, strength of extension, shear modulus, frictional angle, cohesion, and density, respectively. Due to the weak diagenesis, the E is small in Table 1. The Mohr–Coulumb criteria were adopted [22]. The plane-strain model was founded, as shown in Figure 1. Considering the boundary effect, the dimension of the model was 50 m × 40 m × 1 m. The cross-section of the roadway was an arch with a span of 5.2 m. Displacement boundary conditions were set at the bottom and laterals, a vertical load of 4.7 MPa was applied at the top, and the lateral pressure coefficient was set at 1.2. The layout of measurements is shown in Figure 2.
Table 1.
Stratigraphic Parameters.
Figure 1.
The excavation model.
Figure 2.
The measurements layout.
2.1.2. Stress and Deformation Characteristics
The crushing zone, plastic zone, elastic zone, and original zone occurred around the roadway successively after excavation, and each region corresponded to relevant stress and deformation. The stress and displacement distributions are shown in Figure 3.

Figure 3.
Stress and displacement at distinct sites: (a) the left rib; (b) the right rib; (c) the floor; (d) the roof.
As is shown in Figure 3, horizontal stress concentration happened on the roof and floor, with a maximum horizontal stress of 10 MPa and a stress concentration factor of 1.9, resulting in compression and shear failure. As we all know, the rock mass was irresistible to tension, and the tensile stress occurred on the ribs with a maximum value of 37 kPa, which caused the surface to break seriously. The stress was unloaded near both the roof and the floor. Local tensile stress occurred with a maximum value of 45 kPa. The roof deformation was large, within the range of 1–1.5 m. As it extended to the depth, the deformation decreased sharply, with a maximum deformation of 0.13 m. The floor heave was 0.22 m, which was about twice as much as the roof subsidence. Under the vertical stress, compressive stress concentration was generated within 2–2.5 m from the surface of the ribs, with a value of 8 MPa and a stress concentration factor of 1.52, which was lower than both the roof and floor. The maximum deformation was 0.12 m, lower than the roof subsidence.
The ground stress can provide consolidation stress for the recombination of fractured rock masses in the plastic and broken zones. The initial porosity and water content were both high and close to saturation. In the high-stress zone, large pores were compressed, followed by pore pressure increases, which led to water diffusion and migration in pores and fractures. The minerals on the crack surface were very apt to be slimed and form hydrogels.
2.2. Hydrogeologic Condition
According to drilling data, the Lower Cretaceous Bayanhua formation included fractures, pore diving, and water-bearing rock formations in most areas, with the water pressure between 1.5 and 3.6 MPa on the No. 3-3 coal seam floor. The water inrush coefficient Ts (MPa/m) was between 0.09 and 0.06. The critical water inrush coefficient of the northern coal field was between 0.06 and 1.5, which indicated that water inrush may happen on the floor.
As the porous medium material, fluid will migrate along pores and fissures under the hydraulic gradient. The initial ground stress field, fracture field, and seepage field changed after excavation, followed by water migration from the high-pressure field to the low-pressure field under hydraulic pressure. During stress adjustment, fracture initiation, expansion, and connection occurred in the rock mass, breaking the rock into discrete blocks. Under the hydraulic gradient, pore and fissure water in deep water moved to the roadway surface. The water migration in the surrounding rock had gone through the initial state—adjustment state—stable state, including two evolutions: water loss and water absorption. The water distribution around the surroundings at different stages is shown in Figure 4.
Figure 4.
Water distribution around the surrounding.
2.2.1. Water Loss
Initially, supports were not carried out promptly after excavation. Due to the poor ventilation conditions of high temperature and low humidity compared with the shallow rock under relatively lower temperature and higher humidity, a temperature and humidity gradient were formed, resulting in water migration from the shallow rock into the air. As it moved away from the roadway surface, the dehydration rate decreased. In this phase, the surrounding rock fissures had not been connected, and the artesian water in the deep rock mass could not penetrate into the plastic zone.
2.2.2. Water Absorption
After stress adjustment, interconnected pores and cracks were formed in the disturbed rock. The initial water content of the rock mass is high (10%), and the water-bearing type is pore and fissure diving—confined water. The increased fracture extended the seepage channel; the fracture water moved into the roadway under the hydraulic gradient and eventually accumulated near the supports and broken zone. Then the supports would bear part of the water pressure. There was a water outlet point near the anchorage and the surface fracture because of water pressure. Mudstone can be deemed the relatively water-resistant layer, and an artesian layer is formed at the lower part. However, when the fractures were interconnected, the artesian water rapidly diffused away along the fractures. During water migration, the clay on the crack surface was muddy and dispersed, which was carried away with water flow, softening the rock in the broken and plastic zone further. The water immersion test of weakly cemented mudstone showed that the lower the water content of the rock mass, the more intense the water-rock interaction was, leading to further disintegration.
According to the relationships between water content (w), volume (Vs), and mass (ms) of the original sample, the volume moisture content was obtained, as shown in Equation (7).
where referred to the density of water; referred to the volume of water. The obtained by the equation above was 19.54%, accounting for 84.6% of the total pore volume, which was close to saturation.
2.3. Mineral Components Analysis
The X-ray diffractometer was used to acquire the mineral compositions of the mudstone at the China University of Mining and Technology. The scale of measurement angles was from 3° to 45°. Table 2 shows the mineral composition and content of weakly cemented mudstone.
Table 2.
Mineral composition and content.
The lithology of the floor was silty mudstone. The main components include quartz, feldspar, and clay minerals, with contents of 48%, 12%, and 36%, respectively. The amount of secondary minerals, such as calcite and mica, was rare, taking up only 4%. The primary swelling mineral was illite/smectite formation, accounting for 40% of all clay minerals.
3. Experimental Procedures
3.1. Damaged Mudstone Reconsolidation
Damaged mudstone can form restrengthened structures under certain consolidation stresses (p) and water content (w). The structure and mechanical properties of recombinant mudstone were determined by p, w, and consolidation time. In this section, the recombination samples were made by the self-designed consolidation device under different p and w conditions.
3.1.1. The Instrument for Remodeling
The consolidation device included the loading system, the molds, and the stress and displacement monitoring system. The cell size is 50 mm in diameter, and the height is between 100 mm and 150 mm. The consolidation stress was applied based on the lever principle. In order to ensure the stability of the system during consolidation tests, concave and convex contact was made between the compression bar and the mold cavity. Measures were taken to keep the loading bar vertically downward and avoid excessive compression, which would result in uneven consolidation on the surface.
3.1.2. Consolidation Tests
The size distribution of recombinant minerals was considered so as to conform to the actual engineering background. The components of two kinds of scale were prepared: fine particles less than 1 mm and fragments between 10 mm and 20 mm in size. The fine grains, consisting of silt and clay, filled the voids between fragments and accounted for a third of the total. Fragments played the role of the skeleton and accounted for about two-thirds of the total. The initial moisture content of minerals was obtained by the oven-dry method with a water content of 4.14%.
The degree of crushing, ground stress, and moisture content of the surrounding rock were considered comprehensively. Consolidation conditions were listed in Table 3. When consolidation conditions were met, the remolding samples were taken out carefully. Seal measures must be taken with plastic wrap to avoid weathering immediately and facilitate the uniform distribution of moisture in the sample simultaneously.
Table 3.
Consolidation plan.
In order to ensure the continuity of the consolidation process and avoid the local defects caused by the pore pressure, the actual sedimentary diagenesis was simulated as far as possible. Step loading was performed according to the literature [23]. Prior to consolidation tests, the balancing weight of each channel was determined using pressure cells, data acquisition instruments, and clump weights, as shown in Table 4. Figure 5 presents the consolidation model and loading scheme.
Table 4.
Calibration of consolidation stress.
Figure 5.
Consolidation model and loading scheme. I, II, III, VI in the figure represent channel numbers.
3.2. Mesoscopic Test
The study conducted at the College of Chemical Engineering, China University of Mining and Technology utilized a high magnification and large depth microscope (VHX-6000) to acquire the contact types and bonding characteristics between fragments and fine grains, which were related to moisture content and consolidation pressure. The magnification is 500×–5000×; 2D and 3D real-time visual image splicing can be done at any observation magnification. The maximum range of 2D and 3D splicing can be expanded to 20,000 by 20,000 pixels. After splicing, the original magnification can be maintained for observation.
Prior to tests, testing samples were prepared using a low-power cutting machine to cut the sample radially. To facilitate observation, sandpaper was used to smooth the section so it was flat. In order to prevent secondary damage to the samples, the processed samples were wrapped with plastic wrap again.
3.3. Uniaxial Compression Test
The geometric parameters of recombinant samples are listed in Table 5. Uniaxial compression tests of remolding samples were carried out on the MTS 816 electro-hydraulic servo rock mechanics test system. Considering the size effect of the rock on mechanical properties, in order to make a comparison of different rocks sense, testing samples were usually shaped into cylinders with a size of 50 mm in diameter and 100 mm in height, corresponding to the regulations of the ISRM [24,25]. Recombinant samples were not uniform in size owing to their different compression amounts under different consolidation conditions. However, all the specimens acquired in Table 6 met the rules of the ISRM based on the relationship between measured uniaxial compressive strength and height-diameter ratio (L/D), as shown in Equation (8),
Table 5.
Geometric parameters of remolded specimens.
Table 6.
Basic parameters of reconsolidated mudstones.
From Equation (8), we can see that the value of tends to be consistent when “L/D” is greater than 2 [26].
4. Results and Discussion
4.1. Mechanical Properties of Remolding Mudstone
4.1.1. Stress–Strain Curves
The uniaxial compression stress–strain curves of remolding mudstones under different moisture content and consolidation stresses are shown in Figure 6 and Figure 7. The samples had gone through the compaction stage, the linear elastic stage, the yield stage, the strain softening stage, and the residual stage successively under axial load. Due to the different remolding conditions, each stage presented different characteristics.

Figure 6.
Stress–strain curves under different water contents. (a) Water content of 8%. (b) Water content of 10%. (c) Water content of 15%.
Figure 7.
Stress–strain curves under different consolidation stresses.
- (1)
- Compaction stage
Figure 6 presents the stress–strain relationship under different water contents. The stress–strain curves were initially concave, and the deformation was mainly owing to the compaction of the initial pores and fractures. Due to differences in the pore and fracture structures under different consolidation conditions, the concave degree is distinguished macroscopically. The compression was more obvious with strains up to 0.3% under 8% w and p ≤ 10 MPa conditions than under higher water content conditions. When the p was increased to 15 MPa, the compaction was significantly shortened no matter whether the water content was high or low, indicating that there was an existing critical consolidation stress. Above this value, remolding samples were characterized by low porosity, a large contact area between fragments and particles, and enhanced intergranular force, forming compact contact structures. The compaction became significant, with the consolidation stress increasing below 10% w. The lower the initial consolidation stress, the greater the deformation. No mutation threshold existed. Owing to that, the hydration degree and plasticity of mineral particles increased with the water content, and the space between particles decreased significantly with the consolidation stress increasing compared with low water content samples. With the water content increasing to 15%, the effect of consolidation stresses on compressibility was more remarkable. The deformation was up to 0.5% ε under 5 MPa. When the consolidation stress was greater than or equal to 7.5 MPa, the deformation became unconspicuous. When the initial moisture content increased to 15%, the clay minerals would be hydrated completely, and the plasticity was further enhanced. The hydration film on the surface of mineral particles will lose water, and the porosity will decrease gradually during the consolidation process. Due to insufficient drainage, there was pore pressure. The pore pressure increased with the compression. If the consolidation stress was too little to overcome pore pressure, the porosity would be relatively large. This, in turn, resulted in significant initial compression of the strata. Subsequently, a little compression would require a higher external load owing to increasing pore pressure. In the compaction stage, the structure of the sample was strengthened.
Figure 7 presents the stress–strain relationship under different consolidation stresses. The moisture content had little influence on compression under the low consolidation stress condition at initial. As the consolidation stress increased (p ≥ 7.5 MPa), the compaction stage became less apparent with a higher initial moisture content.
- (2)
- Elastic stage
The stress–stress curves were approximately linear, with local fluctuations due to mutation of the contact area. No damage occurred as the deformation increased. Both the initial w and p influenced the slope and range of the elastic phase in Figure 6. The inclination angles were similar, with some overlap when the Ps were less than or equal to 10 MPa under the 8% w. Subsequently, the slopes and ranges increased significantly when the p increased to 15 MPa. The response was obvious when the p was less than 10 MPa under the 10% w and the slope increased with the p increasing. However, when the p increased to the critical value, the slope did not increase significantly. The evolution was the same as that under 10% w, with w increasing up to 15%, but when p was greater than or equal to 7.5 MPa, the slope no longer changed significantly. It can be seen that under the same p, the slope of the elastic stage was less affected by w, but the range increased with w increasing in Figure 7.
- (3)
- Yield stage
The irreversible deformation began to occur once the loading stress exceeded the elastic limit and was characterized by longitudinal microcracks appearing on the surface and expanding along the loading direction. The bearing capacity increased with the deformation; however, the growth rate decreased gradually at this stage. When the cracks were penetrated, the specimen reached its peak and was destroyed. The yield ranges were determined by the crack propagation speed. In Figure 6, the proportion of yield stages varied with the consolidation stress and moisture content. The yield stages of the remolding samples under high water content were more obvious than those under low water content. When the p was low, the yield stage was obvious. The yield stage would be shortened with the p increasing. From Figure 7, it can be seen that increasing consolidation stress and moisture content would increase yield stress.
- (4)
- Strain-softening stage
Figure 6 and Figure 7 showed that macrocracks were penetrated and the cementation failed. The loaded specimens lost their integrity. Large deformations occurred along the radial direction. The bearing mode mainly depended on the bite contact and friction between broken fragments in the strain-softening stage. As the strain increased, the bearing capacity decreased linearly. The slope of the softening stage increased as the consolidation stress p increased under all moisture content conditions. This observation indicates that the greater consolidation stress resulted in a stronger structure of the remolded samples and increased brittleness. Similarly, the slope of the softening stage increased with water content under all consolidation stresses.
- (5)
- Residual stage
Generally, rock samples still had a certain bearing capacity, even after complete failure. Remolding mudstones behaved differently compared with the original rocks in the residual stage. There was no residual stress due to continuous deformation occurring under axial stress. The remolding samples were made up of broken blocks and fine particles undergoing compaction and argillaceous cementation. The cementing interface between fragments and particle aggregates constituted the weak surfaces. When subjected to external loads, cracks started to crack along the contact surfaces of blocks and the contact points of particles and then expanded along the contact surface to form a macroscopic fracture surface. The failure fragments were granular and had no bearing capacity.
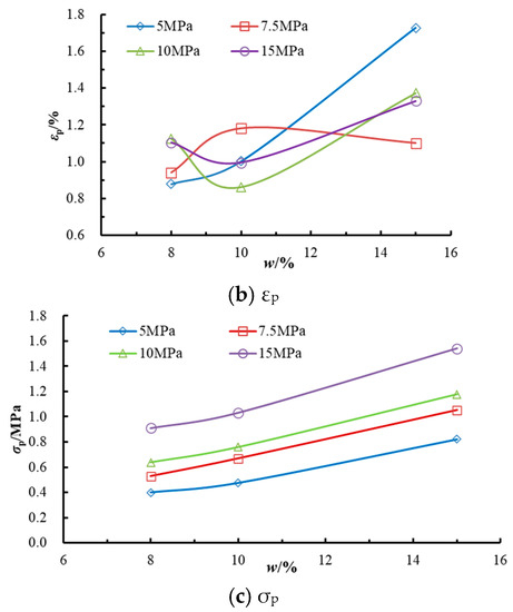
4.1.2. Strength Characteristics
The basic mechanical parameters of remolding mudstones are shown in Table 6 based on the loading curves. In Figure 8 and Figure 9, the elastic modulus E, peak strain εp, and peak stress σp were affected by both moisture content and consolidation stress. The E increased with the initial moisture content and consolidation stress. Variation rates of the E in low moisture contents (8–10%) were relatively slow and subsequently invariable with the moisture content increasing. In Figure 8a, E was greatly affected by the moisture content when p was small. However, E was similar, as the p reached up to 15 MPa under all moisture content conditions. The influence of the moisture content on E decreased as the consolidation stress increased. Under 8% of w, the variation was not obvious when the p was less than or equal to 7.5 MPa and increased linearly as the consolidation stress increased. Under the 15% of w, the variation rate of E increased rapidly when p was less than or equal to 7.5 MPa and then decreased as p increased. Under 10% of w, E increased linearly with consolidation stress.

Figure 8.
Relationships between strength parameters and water contents.
Figure 9.
Relationships between strength parameters and consolidation stresses.
In Figure 8b, the dispersion of εp was large under low p and w conditions, and the correlations were enhanced when p and w exceeded the critical value. The peak strain increased with the increase in water content to 5 MPa. The change was not obvious under the water content of 8–10% w, and then the linear correlation increased with the w increasing. In Figure 9b, the influence of w on εp was large when p was low. As the p increased up to 10 MPa, the variation rate of strain became less with the p increasing. Specifically, as p and w increased, the εp also increased linearly.
In Figure 8c and Figure 9c, the σp was positively correlated with the p and w. Under the same p, the σp increased as a quadratic function with the w, as shown in Equation (9). While keeping the w constant, the σp increased linearly with the p, as shown in Equation (10). The fitting parameters are shown in Table 7 and Table 8.
Table 7.
Fitting parameters for the relation between σp and w.
Table 8.
Fitting parameters for the relation between σp and p.
The a, b, c, and d were fitting coefficients. The parameter of an increased linearly with the p increasing, while the parameter of b decreased exponentially as the p increased. The evolution laws of fitting parameters with p are shown in Figure 10.
Figure 10.
Relationships between fitting parameters and consolidation stresses.
Table 9.
Variation rates of E and σp under different w.
Table 10.
Variation rates of E and σp under different p.
4.1.3. Failure Process Analysis
Damage was accumulated continuously under the axial load, and the failure occurred when σp was reached. The failure mechanism and mode of remolded mudstone differed from the original rock due to structural differences. Digital photography can clearly record the damage during loading. In this section, the remolded samples with a p of 15 MPa and a water content of 8% were illustrated to explain the failure process under the axial load in Figure 11.
Figure 11.
The failure process of remolding mudstones.
The stress concentration occurred around the large pores and cracks, which compacted subsequently. This resulted in a decrease in the equivalent pore diameter and crack opening, an increase in the contact area between particles, and the initial release of accumulated strain energy. In the elastic stage, the interactions between structures and particles were enhanced. The bearing capability was mainly attributed to the adhesion and static friction between cemented fragments and particle aggregates. No obvious damage appeared on the surface. The deformation can be recovered after removing the load. In the yield stage, the cracks were initiated and further extended and connected, with the stress increasing continuously. The cohesive force decreased, and the axial stress was mainly borne by the friction and partial adhesion between the fragments and particle aggregates, behaving as strain hardening. In the post-peak stage, as the strain softened, the microcracks on the surface were connected, macroscopic cracks were formed along the interfaces of fragments, and the opening increased significantly. The granular aggregates lost cementation and became granular, undergoing complete disintegration and relying on frictions between fragments to bear the load.
4.2. The Microstructures of Weakly Cemented Mudstones
Due to the differences in mineral compositions, fluid medium, temperature, tectonic movement, weathering, and so on, different microstructures will be formed during diagenesis for sedimentary rock masses, and behave anisotropically on mechanical properties. The remolding samples were made under different p, w, and particle size distribution conditions. This forms different cementation and contact types between fragments and presents different mechanical responses when subjected to an external force. In general, samples with smaller intergranular pores and closer contact between fragments exhibit stronger cementation strength and higher bearing capacity. Therefore, it was helpful to reveal the recombination mechanism by studying the microscopic structure of remolding rocks.
4.2.1. Contact Characteristics
The clay has cementation ability and good plasticity after hydration. Broken mudstone remolding refers to the fact that broken blocks can be reconsolidated to form joint structures, with porosity decreasing and partial strength recovering under certain p and w conditions. According to the contact between broken blocks, the cementation type can be divided into contact cementation and non-contact cementation, in which the contact cementation can be divided into point contacts and surface contacts, as shown in Figure 12.
Figure 12.
Contact types of reconsolidated specimens.
Among the remolded components, broken blocks maintained the dense structure and initial strength of the original rock and had a high resistance to deformation. Under the consolidation stress, fine particles were compacted, and the spacing between particles was reduced [27]. Hydrated clay particles joined quartz and feldspar together and formed different contacts between blocks and particle aggregates. Compared to the original diagenesis, artificial consolidation lacked the action of high temperature, long-time crystallization, and the chemical reaction of the fluid medium. As a result, the intergranular bonds formed during artificial consolidation are weaker, resulting in low strength. Figure 12 showed that fine particles were filled between blocks, and hydrated clay joined blocks on the interface, forming a whole. The strength of remolded samples depended on the cohesive force Cfc and friction coefficient ffc between particle aggregates and blocks. The pore size of particle aggregates was larger than that in the blocks, forming lower cementation. When subjected to pressure, pores were compressed, which acted as a buffer and consumed part of the stress potential energy, enhancing certain anti-deformation abilities. The Cf between particles with point contact was small. When subjected to high stress, the stress was transferred in the form of point contact, and stress concentration occurred at the contact point, resulting in damage, indicating that point contact was bad for the stability of remolded rocks. The Cf and ff were both large on the contact surface. When subjected to external force, they had a high resistance to deformation due to their large bearing area. Therefore, the type and amount of contact between blocks had an important influence on the stability of recombinant rocks.
4.2.2. The Microstructures of Recombinant Mudstones
Microstructures of the Original Rock under Different Water Content
The water content of the initial rocks was high. The color on the surface seemed dark and became gray after losing water. The surface felt granular. Based on the variation of the surface morphology after going through dehydration and absorption, the effect of water on the structure of weakly cemented mudstone can be revealed.
Figure 13a presents the microstructure of the original mudstone. The distribution of minerals was uneven with the clay, quartz crystals, and feldspar interval distribution. Fine minerals such as kaolinite, illite/smectite formation, and illite formed a cementing base. Additionally, minerals such as quartz and feldspar were embedded in the gel to form weakly cemented sandy mudstone. The surface seemed dense, the contact between particles was compacted, and no macroscopic cracks or pores appeared.
Figure 13.
Microstructure of the mudstone: (a) Original mudstone; (b) Original mudstone after saturation; (c) Original mudstone after going through dehydration.
Figure 13b presents the microstructure of the original mudstone after saturation. Weak-cemented mudstone gradually saturated after water absorption and became dense on the surface, covered by a layer of gum. The grain size of swelling clay minerals such as the illite/smectite formation and illite was between 10 nm and 20 nm. These minerals belong to a colloidal dispersion system [28,29], characterized by a large specific surface area and energy. The surface of particles generated a hydration film up to a maximum thickness of 10 μm, which was greater than the pore size. It was visible that the hydration film filled the gap in the figure. The montmorillonite and illite had similar crystal structures, including two layers of silicon–oxygen tetrahedrons and one layer of aluminum-oxygen octahedron sandwiched in the middle. The outer layer exposed oxygen atoms. The connection between unit cells was the O-O bond, which had weak bond energy and was easy to break with water invading. Different from montmorillonite, the crystal cells of illite contain potassium ions, which can enhance the connection between the crystal cells. Therefore, the expansion of illite was weak. Kaolinite was composed of a silicon–oxygen tetrahedron and an aluminum–oxygen octahedron. The crystal cells are connected by H-O bonds, and the bond energy was high. Therefore, water molecules were not easy to invade. Kaolinite had little expansion ability.
Figure 13c presents the microstructure of the original mudstone after going through dehydration. The mesoscopic fracture occurred when the saturated mudstone dehydrated part of the water. The interaction of the outer bound water on the clay surface was poor. When the environmental humidity changes, the weak binding water may dissipate first, and the hydration film may become thinner, exposing cracks and pores. Loose crystal cells can be seen at the crack junction at high magnification, with a grain size of less than 5 μm. This indicates that particles within the crack migrate with the water flow, leading to their precipitation and aggregation at the crack junction. As a result, granular accumulations are formed, which effectively block the migration channel and play the role of cementation to a certain extent.
Reconstituted Rock Structures under Different w and p Conditions
Clay hydrated and formed colloidal particles after adsorbing water, working as cement. Adjacent crystal particles were joined to form aggregates [30]. The hydration rate of clay is related to its water content. When the water content was low, the hydration of clay particles was insufficient, and fewer colloids were formed. Mineral crystals such as quartz and feldspar would not form colloidal inclusions completely, leading to coarse contacts. When the water content was too high, argillization occurred completely, resulting in large pore pressure during the consolidation process, which was adverse to compaction. Therefore, the w had a great influence on the structure and mechanical properties of reconstituted mudstones. By comparing the microstructure of reconstituted rocks under different w and p, it was helpful to reveal the influence of the w and p on the reconstituted mudstone. Figure 14, Figure 15 and Figure 16 present the microstructures of remolding rocks under different consolidation conditions.
Figure 14.
Water content of 8%.
Figure 15.
Water content of 10%.
Figure 16.
Water content of 15%.
The cementation occurred between fragments and fine particles under the consolidation stress in Figure 14. The bonding strength and the contact type between blocks determined the strength of recombinant samples. Under the consolidation stress of 5 MPa, it can be seen that the surface near contacts was rough, and the contacts between blocks were uneven with a gap greater than 10 μm. This primarily shows point contacts. Quartz aggregated on the crack surface, playing the role of proppant and preventing the crack from closing. Additionally, The filled material presented denser structure near the contacts, determined the strength of recombinant mudstone. Under the consolidation stress of 7.5 MPa, the surface of the particle aggregates was still rough, feeling granular, with developed intergranular pores. Restricted by the hard fragment supports, the fine-grain minerals between blocks were subject to less stress and could not be fully compacted, forming large pores and weak cementation between grains. Under the consolidation stress of 15 MPa, the stress was large enough to facilitate the remolding of blocks, thereby optimizing the contacts from point to face. This optimization enhanced the interactions between blocks and particle aggregates. The fracture opening was significantly lower than those at 5 MPa and 7.5 MPa. The microstructures of particle aggregates seemed dense. Quartz was distributed on the cracks. Although the consolidation stress was large, the condition of quartz crystallization was out of reach. Therefore, there were cracks in the contacts. Due to the low moisture content, the minerals did not hydrate completely, leading to weak plasticity. The damage would accumulate during the consolidation, reducing the structural strength. The formation of cementation between particles and blocks only occurred when the consolidation stress exceeded the critical value. The p-wave velocity of the recombinant sample was measured by the acoustic wave tester. However, the p-wave peak was not obvious, further indicating that the structures of recombinant samples with low moisture content were poor.
Figure 15 presents the microstructures of remolding specimens with a water content of 10%. It can be seen that the structure of recombinant samples was strengthened with the increase in w. Under the consolidation stress of 5 MPa, crystalline quartz was scattered on the surface. Intergranular pores and small fissures were visible, which were shrunken in size compared with the 8% of w condition. Under the consolidation stress of 10 MPa, the smoothness of aggregates increased, the number and size of pores decreased, and microcracks appeared near crystalline grains with an opening of less than 1 μm, forming intergranular cracks. Under the consolidation stress of 15 MPa, distinctions on both sides of the interface between fragments and aggregates were obvious. Structures were reinforced further. Particle aggregates were compacted densely compared with specimens under lower consolidation stress. There were no visible pores at the magnification of 2000. The crack on the interface showed unconformable contact with the opening of less than 1 μm, similar to specimens at 10 MPa.
Figure 16 presents the microstructures of remolding specimens with a water content of 15%. It can be seen that the structures were enhanced significantly compared with specimens under any consolidation stresses at low water contents. Under the consolidation stress of 5 MPa, the recombination structure seemed dense, and there were no obvious pores or cracks. There were both point contacts and line contacts, with the p increasing up to 10 MPa. The morphology of near-point contacts presented in triangular form produced stress concentration, resulting in uneven contacts adjacently and insufficient compaction. The surface exhibited a relatively rough texture, with fine particles scattered near the aperture. However, the contact area showed a dense arrangement, and no cracks extended near the line contacts. As the p increased up to 15 MPa, there still existed cracks along the interface even under higher consolidation stress due to the uneven surface of the blocks, presenting conformity contacts. The particle aggregates were in close contact with the blocks, and no cracks appeared.
5. Conclusions
Under certain consolidation stress and moisture content conditions, broken mudstones can form cemented structures and restore some of the properties of the original rock. In order to illustrate the recombination mechanism and engineering significance of weakly consolidated mudstone, the recombination samples were made by the self-designed recombination device for rock. According to the mechanical and microscopic tests, the structural and strength characteristics of the recombined mudstone were revealed. The following conclusions were drawn:
- (1)
- The clay content of weak cementation mudstone was high, with a value of 34%. The cementation type was mainly argillaceous cementation, followed locally by calcareous and iron cementation. This type of cementation is characterized by disintegration after soaking in water and consolidation after losing water. The recombination conditions for broken weakly cemented mudstone were satisfied on the site: the ground stress and supporting force can provide consolidation stresses. Formation water interacted with crushed fragments to form hydrogels, which played the role of cement. The concrete shotcrete layer on the roadway surface formed the closed structure to prevent water loss from reconstituted mudstone, resulting in structural damage.
- (2)
- Consolidation stress and moisture content have significant effects on the structure of recombinant specimens, which produce different mechanical responses when subjected to stress. As the consolidation stress and initial moisture content increase, the density of the recombinant sample also increases, leading to the formation of strong cementation between the broken blocks. Strength parameters such as σp and E were positive for the consolidation stress and moisture content.
- (3)
- The failure of recombinant mudstones differed from that of intact rock masses. Recombinant mudstone consisted of dispersed fine granules and broken blocks, forming different structures under each consolidation condition. The external force was created by both parts. The failure mode was mainly a vertical tensile crack. The cracks first appeared near the contact surface between blocks and particle aggregates. As the axial load increased, the particle aggregates were completely destroyed into dispersed grains and lost cementation, forming a network of penetrating cracks on the contact surface, which aggravated the degree of damage.
Author Contributions
Conceptualization, S.W. and L.H.; methodology, S.W.; software, H.W.; validation, S.Z. and L.H.; formal analysis, S.W.; data curation, S.W.; writing—original draft preparation, S.W.; writing—review and editing, L.H.; visualization, H.W.; supervision, L.H.; funding acquisition, L.H. All authors have read and agreed to the published version of the manuscript.
Funding
This research received no external funding.
Institutional Review Board Statement
Not applicable.
Informed Consent Statement
Not applicable.
Data Availability Statement
Not report any data.
Conflicts of Interest
The authors declare no conflict of interest.
References
- Lin, H. Study of Soft Rock Roadway Support Technique. Procedia Eng. 2011, 26, 321–326. [Google Scholar] [CrossRef]
- Rocchi, I.; Coop, M.R.; Maccarini, M. The effects of weathering on the physical and mechanical properties of igneous and metamorphic sapro-lites. Eng. Geol. 2017, 231, 56–67. [Google Scholar] [CrossRef]
- Tan, P.; Oberhardt, N.; Dypvik, H.; Riber, L.; Ferrell, R.E. Weathering profiles and clay mineralogical developments, Bornholm, Denmark. Mar. Pet. Geol. 2017, 80, 32–48. [Google Scholar] [CrossRef]
- Bhakta, T.; Avseth, P.; Landrø, M. Sensitivity analysis of effective fluid and rock bulk modulus due to changes in pore pressure, temperature and saturation. J. Appl. Geophys. 2016, 135, 77–89. [Google Scholar] [CrossRef]
- Paul, J.D. Correlations between rock and water characteristics of the Inferior Oolite aquifer, central Cotswolds, UK. J. Hydrol. 2017, 548, 448–457. [Google Scholar] [CrossRef]
- Wang, Q.; Pan, R.; Jiang, B.; Li, S.C.; He, M.C.; Sun, H.B.; Luan, Y.C. Study on failure mechanism of roadway with soft rock in deep coal mine and confined concrete support system. Eng. Fail. Anal. 2017, 81, 155–177. [Google Scholar] [CrossRef]
- Huang, Y.; Zhu, W.; Zhang, C.L. Mechanical characteristics and strength source of remolded solidified dredged material. Rock Soil Mech. 2009, 30, 1352–1356. (In Chinese) [Google Scholar]
- Kikumoto, M.; Nguyen, V.P.Q.; Yasuhara, H.; Kishida, K. Constitutive model for soft rocks considering structural healing and decay. Comput. Geotech. 2017, 91, 93–103. [Google Scholar] [CrossRef]
- Yu, B.; Chen, Z.; Yu, L. Water-resisting ability of cemented broken rocks. Int. J. Min. Sci. Technol. 2016, 26, 449–454. [Google Scholar] [CrossRef]
- Zhang, C. The stress–strain–permeability behaviour of clay rock during damage and recompaction. J. Rock Mech. Geotech. Nical Eng. 2016, 8, 16–26. [Google Scholar] [CrossRef]
- Sun, X.; Chen, F.; Miao, C.; Song, P.; Li, G.; Zhao, C.; Xia, X. Physical modeling of deformation failure mechanism of surrounding rocks for the deep-buried tunnel in soft rock strata during the excavation. Tunn. Undergr. Space Technol. 2018, 74, 247–261. [Google Scholar] [CrossRef]
- He, M. Latest progress of soft rock mechanics and engineering in China. J. Rock Mech. Geotech. Eng. 2014, 6, 165–179. [Google Scholar] [CrossRef]
- Zhu, H.; Ye, B.; Cai, Y.; Zhang, F. An elasto-viscoplastic model for soft rock around tunnels considering overconsolidation and structure effects. Comput. Geotech. 2013, 50, 6–16. [Google Scholar] [CrossRef]
- Yang, R.; Li, Y.; Guo, D.; Yao, L.; Yang, T.; Li, T. Failure mechanism and control technology of water-immersed roadway in high-stress and soft rock in a deep mine. Int. J. Min. Sci. Technol. 2017, 27, 245–252. [Google Scholar] [CrossRef]
- Kang, H.P.; Si, L.P.; Zhang, X. Characteristics of underground in-situ stress distribution in shallow coal mines and its applications. J. China Coal Soc. 2016, 41, 1332–1340. (In Chinese) [Google Scholar]
- Jing, F.; Sheng, Q.; Zhang, Y.H. Research on distribution rule of shallow crustal geostress in China mainland. Chin. J. Rock Mech. Eng. 2007, 26, 2056–2062. (In Chinese) [Google Scholar]
- Hoek, E.; Brown, E.T. Underground Excavations in Rock; The Institute of Mining and Metallurgy: London, UK, 1982; pp. 382–395. [Google Scholar]
- Brown, E.T.; Hoek, E. Technical note trends in relationships between measured in-situ stress and depth. Int. J. Rock Mech. Min. Sci. Geomech. Abstr. 1978, 15, 211–215. [Google Scholar] [CrossRef]
- Zhu, H.C.; Tao, Z.Y. Geostress distributions in different rocks. Acta Seismol. Sin. 1994, 16, 49–63. (In Chinese) [Google Scholar]
- Dong, F.T. Support Theory and Application Technology for the Roadway in Rock Loose Ring; Coal Industry Press: Beijing, China, 2001. [Google Scholar]
- Hart, R.; Cundall, P.A.; Lemos, J. Formulation of a Three-Dimensional Distinct Element Model—Part II: Mechanical Calculations for Motion and Interaction of a System Composed of Many Polyhedral Blocks. Int. J. Rock Mech. Min. Sci. Geome Chanics Abstr. 1988, 25, 117–125. [Google Scholar] [CrossRef]
- Wang, Y.J.; Xing, J.B. Discrete Element Method and its Application in Geotechnical Engineering; Northeastern University Press: Shenyang, China, 1993. (In Chinese) [Google Scholar]
- Meng, Q.B. Study on Structure and Mechanical Properties and Constitutive Model of Very Weakly Cemented Rock; China University of Mining and Technology: Beijing, China, 2014. (In Chinese) [Google Scholar]
- Ulusay, R. The Isrm Suggested Methods for Rock Characterization, Testing and Monitoring: 2007–2014; Springer International Publishing: Berlin/Heidelberg, Germany, 2014; Volume 15, pp. 47–48. [Google Scholar]
- Kanji, M.A. Critical issues in soft rocks. J. Rock. Mech. Geotech. Eng. 2014, 6, 186–195. [Google Scholar] [CrossRef]
- Kovari, K. ISRM suggested methods for determining the strength of rock material in triaxial compression. J. Rock Mech. Min. Sci. 1983, 20, 285–290. [Google Scholar]
- Burland, J.B. Study on the compressibility and shear strength of natural clays. Geotechnique 1990, 40, 329–378. [Google Scholar] [CrossRef]
- Xu, W.; Johnston, C.T.; Parker, P.; Agnew, S.F. Infrared study of water sorption on Na-, Li-, Ca-, and Mg-exchanged (swy-1 and saz-1) montmorillonite. Clay Clay Min. 2000, 48, 120–131. [Google Scholar] [CrossRef]
- Cui, D.S.; Xiang, W.; Cao, L.J. Experimental study on reducing thickness of absorbed water layer for red clay particles treated by Ionic Soil Stabilizer. Chin. J. Geotech. Eng. 2010, 32, 944–949. [Google Scholar]
- Radlinski, A.P.; Ioannidis, M.A.; Hinde, A.L.; Hainbuchner, M.; Baron, M.; Rauch, H.; Kline, S.R. Angstrom to millimeter characterization of sedimentary rock microstructure. J. Colloid Interf. Sci. 2004, 274, 607–612. [Google Scholar] [CrossRef]
Disclaimer/Publisher’s Note: The statements, opinions and data contained in all publications are solely those of the individual author(s) and contributor(s) and not of MDPI and/or the editor(s). MDPI and/or the editor(s) disclaim responsibility for any injury to people or property resulting from any ideas, methods, instructions or products referred to in the content. |
© 2023 by the authors. Licensee MDPI, Basel, Switzerland. This article is an open access article distributed under the terms and conditions of the Creative Commons Attribution (CC BY) license (https://creativecommons.org/licenses/by/4.0/).