Development of Hybrid Systems by Integrating an Adsorption Process with Natural Zeolite and/or Palygorskite into the Electrocoagulation Treatment of Sanitary Landfill Leachate
Abstract
1. Introduction
2. Materials and Methods
2.1. SLL Origin and Sampling
2.2. Adsorbents
2.3. Experimental Set-Up and Procedure
2.3.1. Electrocoagulation
2.3.2. Hybrid AD-EC Systems Comprising AD and EC
Assessment of the Optimal Arrangement of the Hybrid System Consisting of an Adsorption Process Using Zeolite (ADzeo) and EC
Hybrid Systems Including Adsorption with Zeolite and Palygorskite
2.4. Analytical Methods
3. Results and Discussion
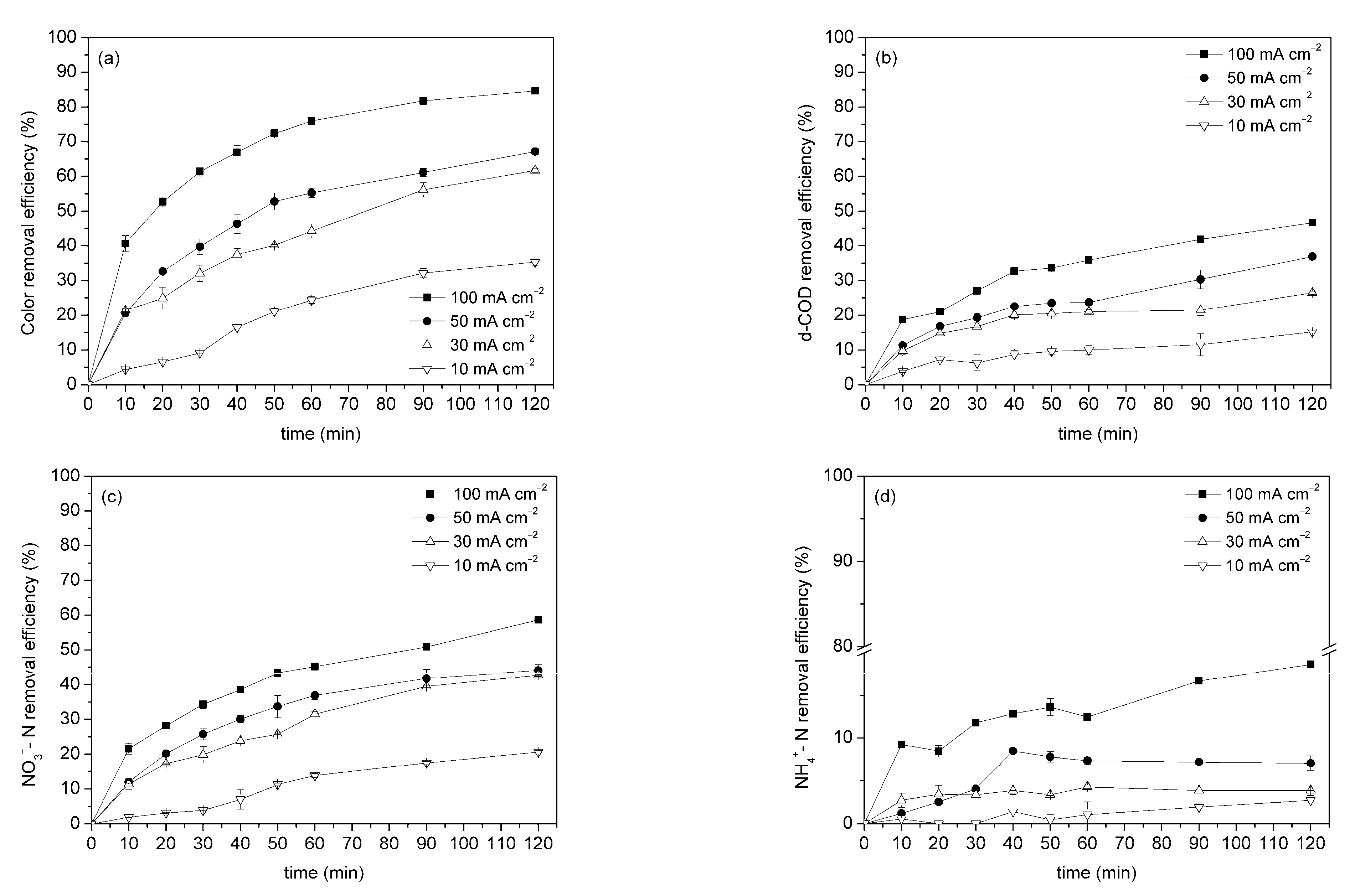
3.1. Effect of Current Density and Electrode Material
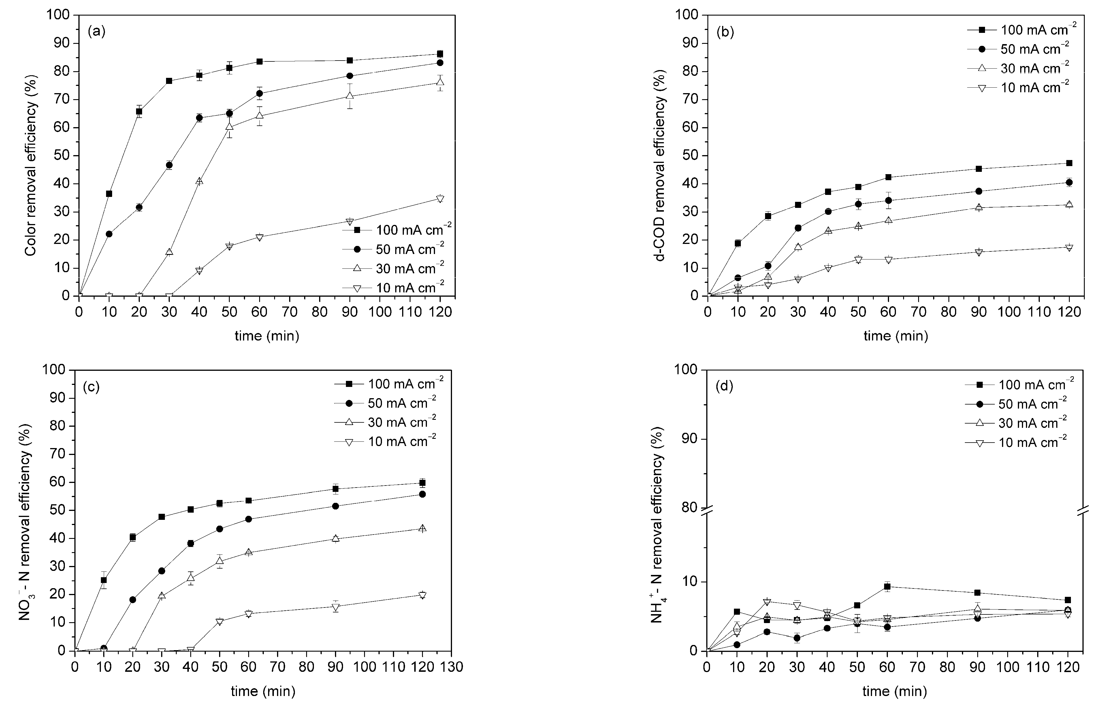
3.2. Effect of pH
3.3. Performance of the Combined ADzeo and EC Systems
3.3.1. Performance of the ADzeo-EC Hybrid System
3.3.2. Performance of the EC-ADzeo Hybrid System
3.4. Performance of the ADzeo – ADpal – EC and ADpal – ADzeo – EC hybrid systems
4. Conclusions
Author Contributions
Funding
Institutional Review Board Statement
Informed Consent Statement
Data Availability Statement
Conflicts of Interest
References
- Fernandes, A.; Pacheco, M.J.; Ciríaco, L.; Lopes, A. Review on the electrochemical processes for the treatment of sanitary landfill leachates: Present and future. Appl. Catal. B Environ. 2015, 176–177, 183–200. [Google Scholar] [CrossRef]
- Lim, C.K.; Seow, T.W.; Neoh, C.H.; Md Nor, M.H.; Ibrahim, Z.; Ware, I.; Mat Sarip, S.H. Treatment of landfill leachate using ASBR combined with zeolite adsorption technology. 3 Biotech 2016, 6, 195. [Google Scholar] [CrossRef] [PubMed]
- Salas-Enríquez, B.G.; Torres-Huerta, A.M.; Conde-Barajas, E.; Domínguez-Crespo, M.A.; Negrete-Rodríguez, M.L.X.; Dorantes-Rosales, H.J.; López-Oyama, A.B. Stabilized landfill leachate treatment using Guadua amplexifolia bamboo as a source of activated carbon: Kinetics study. Environ. Technol. 2019, 40, 768–783. [Google Scholar] [CrossRef] [PubMed]
- Martins, T.H.; Souza, T.S.O.; Foresti, E. Ammonium removal from landfill leachate by Clinoptilolite adsorption followed by bioregeneration. J. Environ. Chem. Eng. 2017, 5, 63–68. [Google Scholar] [CrossRef]
- Torretta, V.; Ferronato, N.; Katsoyiannis, I.A.; Tolkou, A.K.; Airoldi, M. Novel and conventional technologies for landfill leachates treatment: A review. Sustainability 2017, 9, 9. [Google Scholar] [CrossRef]
- Karadag, D.; Tok, S.; Akgul, E.; Turan, M.; Ozturk, M.; Demir, A. Ammonium removal from sanitary landfill leachate using natural Gördes clinoptilolite. J. Hazard. Mater. 2008, 153, 60–66. [Google Scholar] [CrossRef]
- Tsarpali, V.; Kamilari, M.; Dailianis, S. Seasonal alterations of landfill leachate composition and toxic potency in semi-arid regions. J. Hazard. Mater. 2012, 233–234, 163–171. [Google Scholar] [CrossRef]
- de Pauli, A.R.; Espinoza-Quiñones, F.R.; Trigueros, D.E.G.; Módenes, A.N.; de Souza, A.R.C.; Borba, F.H.; Kroumov, A.D. Integrated two-phase purification procedure for abatement of pollutants from sanitary landfill leachates. Chem. Eng. J. 2018, 334, 19–29. [Google Scholar] [CrossRef]
- Hilles, A.H.; Abu Amr, S.S.; Hussein, R.A.; El-Sebaie, O.D.; Arafa, A.I. Performance of combined sodium persulfate/H2O2 based advanced oxidation process in stabilized landfill leachate treatment. J. Environ. Manag. 2016, 166, 493–498. [Google Scholar] [CrossRef]
- Mohamad Zailani, L.W.; Mohd Amdan, N.S.; Zin, N.S.M. Removal Efficiency of Electrocoagulation Treatment Using Aluminium Electrode for Stabilized Leachate. In Proceedings of the IOP Conference Series: Earth and Environmental Science, April 2018; Institute of Physics Publishing: Bristol, UK, 2018; Volume 140, p. 12049. [Google Scholar]
- Rada, E.; Istrate, I.; Ragazzi, M.; Andreottola, G.; Torretta, V. Analysis of Electro-Oxidation Suitability for Landfill Leachate Treatment through an Experimental Study. Sustainability 2013, 5, 3960–3975. [Google Scholar] [CrossRef]
- Azmi, N.B.; Bashir, M.J.K.; Sethupathi, S.; Aun, N.C.; Lam, G.C. Optimization of preparation conditions of sugarcane bagasse activated carbon via microwave-induced KOH activation for stabilized landfill leachate remediation. Environ. Earth Sci. 2016, 75, 902. [Google Scholar] [CrossRef]
- De, S.; Hazra, T.; Dutta, A. Treatment of landfill leachate by integrated sequence of air stripping, coagulation–flocculation and adsorption. Environ. Dev. Sustain. 2019, 21, 657–677. [Google Scholar] [CrossRef]
- Ates, H.; Argun, M.E. Removal of PAHs from leachate using a combination of chemical precipitation and Fenton and ozone oxidation. Water Sci. Technol. 2018, 78, 1064–1070. [Google Scholar] [CrossRef]
- Assou, M.; El Fels, L.; El Asli, A.; Fakidi, H.; Souabi, S.; Hafidi, M. Landfill leachate treatment by a coagulation–flocculation process: Effect of the introduction order of the reagents. Desalin. Water Treat. 2016, 57, 21817–21826. [Google Scholar] [CrossRef]
- Huda, N.; Raman, A.A.A.; Bello, M.M.; Ramesh, S. Electrocoagulation treatment of raw landfill leachate using iron-based electrodes: Effects of process parameters and optimization. J. Environ. Manag. 2017, 204, 75–81. [Google Scholar] [CrossRef]
- Rusdianasari; Taqwa, A.; Jaksen; Syakdani, A. Treatment of landfill leachate by electrocoagulation using aluminum electrodes. MATEC Web Conf. 2017, 101, 02010. [Google Scholar] [CrossRef]
- Dia, O.; Drogui, P.; Buelna, G.; Dubé, R. Hybrid process, electrocoagulation-biofiltration for landfill leachate treatment. Waste Manag. 2018, 75, 391–399. [Google Scholar] [CrossRef]
- Naje, A.S.; Ajeel, M.A.; Ali, I.M.; Al-Zubaidi, H.A.M.; Alaba, P.A. Raw landfill leachate treatment using an electrocoagulation process with a novel rotating electrode reactor. Water Sci. Technol. 2019, 80, 458–465. [Google Scholar] [CrossRef]
- Xu, B.; Iskander, S.M.; He, Z. Dominant formation of unregulated disinfection by-products during electrocoagulation treatment of landfill leachate. Environ. Res. 2020, 182, 109006. [Google Scholar] [CrossRef]
- Ricordel, C.; Djelal, H. Treatment of landfill leachate with high proportion of refractory materials by electrocoagulation: System performances and sludge settling characteristics. J. Environ. Chem. Eng. 2014, 2, 1551–1557. [Google Scholar] [CrossRef]
- Deng, Y.; Chen, N.; Feng, C.; Chen, F.; Wang, H.; Kuang, P.; Feng, Z.; Liu, T.; Gao, Y.; Hu, W. Treatment of organic wastewater containing nitrogen and chlorine by combinatorial electrochemical system: Taking biologically treated landfill leachate treatment as an example. Chem. Eng. J. 2019, 364, 349–360. [Google Scholar] [CrossRef]
- Li, R.; Wang, B.; Owete, O.; Dertien, J.; Lin, C.; Ahmad, H.; Chen, G. Landfill Leachate Treatment by Electrocoagulation and Fiber Filtration. Water Environ. Res. 2017, 89, 2015–2020. [Google Scholar] [CrossRef] [PubMed]
- Ghanbari, F.; Wu, J.; Khatebasreh, M.; Ding, D.; Lin, K.Y.A. Efficient treatment for landfill leachate through sequential electrocoagulation, electrooxidation and PMS/UV/CuFe2O4 process. Sep. Purif. Technol. 2020, 242, 116828. [Google Scholar] [CrossRef]
- Bhagawan, D.; Poodari, S.; Chaitanya, N.; Ravi, S.; Rani, Y.M.; Himabindu, V.; Vidyavathi, S. Industrial solid waste landfill leachate treatment using electrocoagulation and biological methods. Desalin. Water Treat. 2017, 68, 137–142. [Google Scholar] [CrossRef]
- Mussa, Z.H.; Othman, M.R.; Abdullah, M.P. Electrocoagulation and decolorization of landfill leachate. AIP Conf. Proc. 2013, 1571, 829. [Google Scholar] [CrossRef]
- Bouhezila, F.; Hariti, M.; Lounici, H.; Mameri, N. Treatment of the OUED SMAR town landfill leachate by an electrochemical reactor. Desalination 2011, 280, 347–353. [Google Scholar] [CrossRef]
- Alver, A.; Altaş, L. Characterization and electrocoagulative treatment of landfill leachates: A statistical approach. Process Saf. Environ. Prot. 2017, 111, 102–111. [Google Scholar] [CrossRef]
- Guo, Z.; Zhang, Y.; Jia, H.; Guo, J.; Meng, X.; Wang, J. Electrochemical methods for landfill leachate treatment: A review on electrocoagulation and electrooxidation. Sci. Total Environ. 2022, 806, 150529. [Google Scholar] [CrossRef]
- Li, X.; Song, J.; Guo, J.; Wang, Z.; Feng, Q. Landfill leachate treatment using electrocoagulation. Procedia Environ. Sci. 2011, 10, 1159–1164. [Google Scholar] [CrossRef]
- Moussa, D.T.; El-Naas, M.H.; Nasser, M.; Al-Marri, M.J. A comprehensive review of electrocoagulation for water treatment: Potentials and challenges. J. Environ. Manag. 2017, 186, 24–41. [Google Scholar] [CrossRef]
- De Pauli, A.R.; Espinoza-Quiñones, F.R.; Dall’Oglio, I.C.; Trigueros, D.E.G.; Módenes, A.N.; Ribeiro, C.; Borba, F.H.; Kroumov, A.D. New insights on abatement of organic matter and reduction of toxicity from landfill leachate treated by the electrocoagulation process. J. Environ. Chem. Eng. 2017, 5, 5448–5459. [Google Scholar] [CrossRef]
- Hamid, M.A.A.; Aziz, H.A.; Yusoff, M.S.; Rezan, S.A. Optimization and Analysis of Zeolite Augmented Electrocoagulation Process in the Reduction of High-Strength Ammonia in Saline Landfill Leachate. Water 2020, 12, 247. [Google Scholar] [CrossRef]
- Hamid, M.A.A.; Aziz, H.A.; Yusoff, M.S.; Rezan, S.A. Clinoptilolite augmented electrocoagulation process for the reduction of high-strength ammonia and color from stabilized landfill leachate. Water Environ. Res. 2020, 93, 596–607. [Google Scholar] [CrossRef]
- Ilhan, F.; Kurt, U.; Apaydin, O.; Gonullu, M.T. Treatment of leachate by electrocoagulation using aluminum and iron electrodes. J. Hazard. Mater. 2008, 154, 381–389. [Google Scholar] [CrossRef]
- Asaithambi, P.; Govindarajan, R.; Busier Yesuf, M.; Selvakumar, P.; Alemayehu, E. Enhanced treatment of landfill leachate wastewater using sono(US)-ozone(O3)–electrocoagulation(EC) process: Role of process parameters on color, COD and electrical energy consumption. Process Saf. Environ. Prot. 2020, 142, 212–218. [Google Scholar] [CrossRef]
- Kurtoǧlu Akkaya, G.; Bilgili, M.S. Evaluating the performance of an electro-membrane bioreactor in treatment of young leachate. J. Environ. Chem. Eng. 2020, 8, 104017. [Google Scholar] [CrossRef]
- Ding, J.; Wang, K.; Wang, S.; Zhao, Q.; Wei, L.; Huang, H.; Yuan, Y.; Dionysiou, D.D. Electrochemical treatment of bio-treated landfill leachate: Influence of electrode arrangement, potential, and characteristics. Chem. Eng. J. 2018, 344, 34–41. [Google Scholar] [CrossRef]
- Zolfaghari, M.; Dia, O.; Klai, N.; Drogui, P.; Brar, S.K.; Buelna, G.; Dubé, R. Removal of Pollutants in Different Landfill Leachate Treatment Processes on the Basis of Organic Matter Fractionation. J. Environ. Qual. 2018, 47, 297–305. [Google Scholar] [CrossRef]
- Mariam, T.; Nghiem, L.D. Landfill leachate treatment using hybrid coagulation-nanofiltration processes. Desalination 2010, 250, 677–681. [Google Scholar] [CrossRef]
- Top, S.; Sekman, E.; Hoşver, S.; Bilgili, M.S. Characterization and electrocaogulative treatment of nanofiltration concentrate of a full-scale landfill leachate treatment plant. Desalination 2011, 268, 158–162. [Google Scholar] [CrossRef]
- Norma, D.; Fernandes, A.; Pacheco, M.J.; Ciríaco, L.; Lopes, A. Electrocoagulation and anodic oxidation integrated process to treat leachate from a Portuguese sanitary landfill. Port. Electrochim. Acta 2012, 30, 221–234. [Google Scholar] [CrossRef]
- Oumar, D.; Patrick, D.; Gerardo, B.; Rino, D.; Ihsen, B.S. Coupling biofiltration process and electrocoagulation using magnesium-based anode for the treatment of landfill leachate. J. Environ. Manag. 2016, 181, 477–483. [Google Scholar] [CrossRef] [PubMed]
- Sadani, M.; Karimaei, M.; Ghahramani, E.; Ghadiri, K.; Taghizadeh, M.; Faraji, M.; Mehrizi, E. Isotherms and kinetics of lead and cadmium uptake from the waste leachate by natural and modified clinoptilolite. Int. J. Environ. Health Eng. 2012, 1, 26. [Google Scholar] [CrossRef]
- Song, C.; Wu, S.; Cheng, M.; Tao, P.; Shao, M.; Gao, G. Adsorption studies of coconut shell carbons prepared by KOH activation for removal of lead(ii) from aqueous solutions. Sustainability 2014, 6, 86. [Google Scholar] [CrossRef]
- Lee, S.; Lee, J.; Song, M.K.; Ryu, J.C.; An, B.; Lee, C.G.; Park, C.; Lee, S.H.; Choi, J.W. Effective regeneration of an adsorbent for the removal of organic contaminants developed based on UV radiation and toxicity evaluation. React. Funct. Polym. 2015, 95, 62–70. [Google Scholar] [CrossRef]
- Malamis, S.; Katsou, E. A review on zinc and nickel adsorption on natural and modified zeolite, bentonite and vermiculite: Examination of process parameters, kinetics and isotherms. J. Hazard. Mater. 2013, 252–253, 428–461. [Google Scholar] [CrossRef]
- Delkash, M.; Bakhshayesh, B.E.; Kazemian, H. Using zeolitic adsorbents to cleanup special wastewater streams: A review. Microporous Mesoporous Mater. 2015, 214, 224–241. [Google Scholar] [CrossRef]
- Wang, L.; Wang, F.; Huang, B.; Tang, Q. Recent advances in superhydrophobic composites based on clay minerals. Appl. Clay Sci. 2020, 198, 105793. [Google Scholar] [CrossRef]
- Galan, E. Properties and applications of palygorskite-sepiolite clays. Clay Miner. 1996, 31, 443–453. [Google Scholar] [CrossRef]
- Giustetto, R.; Wahyudi, O. Sorption of red dyes on palygorskite: Synthesis and stability of red/purple Mayan nanocomposites. Microporous Mesoporous Mater. 2011, 142, 221–235. [Google Scholar] [CrossRef]
- Sarkar, B.; Megharaj, M.; Xi, Y.; Naidu, R. Surface charge characteristics of organo-palygorskites and adsorption of p-nitrophenol in flow-through reactor system. Chem. Eng. J. 2012, 185–186, 35–43. [Google Scholar] [CrossRef]
- Genethliou, C.; Triantaphyllidou, I.E.; Giannakis, D.; Papayianni, M.; Sygellou, L.; Tekerlekopoulou, A.G.; Koutsoukos, P.; Vayenas, D.V. Simultaneous removal of ammonium nitrogen, dissolved chemical oxygen demand and color from sanitary landfill leachate using natural zeolite. J. Hazard. Mater. 2021, 406, 124679. [Google Scholar] [CrossRef]
- Aydın Temel, F.; Kuleyin, A. Ammonium removal from landfill leachate using natural zeolite: Kinetic, equilibrium, and thermodynamic studies. Desalin. Water Treat. 2016, 57, 23873–23892. [Google Scholar] [CrossRef]
- Wambuguh, D.; Chianelli, R.R. Indigo dye waste recovery from blue denim textile effluent: A by-product synergy approach. New J. Chem. 2008, 32, 2189–2194. [Google Scholar] [CrossRef]
- Genethliou, C.; Lazaratou, C.V.; Triantaphyllidou, I.E.; Xanthaki, E.; Mourgkogiannis, N.; Sygellou, L.; Tekerlekopoulou, A.G.; Koutsoukos, P.; Vayenas, D.V. Adsorption studies using natural palygorskite for the treatment of real sanitary landfill leachate. J. Environ. Chem. Eng. 2022, 10, 108545. [Google Scholar] [CrossRef]
- Guo, X.; Yao, Y.; Yin, G.; Kang, Y.; Luo, Y.; Zhuo, L. Preparation of decolorizing ceramsites for printing and dyeing wastewater with acid and base treated clay. Appl. Clay Sci. 2008, 40, 20–26. [Google Scholar] [CrossRef]
- De, S.; Hazra, T.; Dutta, A. Application of integrated sequence of air stripping, coagulation flocculation, electrocoagulation and adsorption for sustainable treatment of municipal landfill leachate. Clean. Waste Syst. 2022, 3, 100033. [Google Scholar] [CrossRef]
- Genethliou, C.; Tatoulis, T.; Charalampous, N.; Dailianis, S.; Tekerlekopoulou, A.G.; Vayenas, D.V. Treatment of raw sanitary landfill leachate using a hybrid pilot-scale system comprising adsorption, electrocoagulation and biological process. J. Environ. Manag. 2023, 330, 117129. [Google Scholar] [CrossRef]
- Kastritis, I.D.; Kacandes, G.H.; Mposkos, E. The Palygorskite and Mg-Fe-Smectite Clay Deposits of the Ventzia Basin, Western Macedonia, Greece. In Mineral Exploration and Sustainable Development-Proceedings of the 7th SGA Meeting; MillPress: Rotterdam, The Netherlands, 2003. [Google Scholar]
- Papadopoulos, K.P.; Argyriou, R.; Economou, C.N.; Charalampous, N.; Dailianis, S.; Tatoulis, T.I.; Tekerlekopoulou, A.G.; Vayenas, D.V. Treatment of printing ink wastewater using electrocoagulation. J. Environ. Manag. 2019, 237, 442–448. [Google Scholar] [CrossRef]
- Hakizimana, J.N.; Gourich, B.; Chafi, M.; Stiriba, Y.; Vial, C.; Drogui, P.; Naja, J. Electrocoagulation process in water treatment: A review of electrocoagulation modeling approaches. Desalination 2017, 404, 1–21. [Google Scholar] [CrossRef]
- Soomro, G.S.; Qu, C.; Ren, N.; Meng, S.; Li, X.; Liang, D.; Zhang, S.; Li, Y. Efficient removal of refractory organics in landfill leachate concentrates by electrocoagulation in tandem with simultaneous electro-oxidation and in-situ peroxone. Environ. Res. 2020, 183, 109249. [Google Scholar] [CrossRef] [PubMed]
- Verdouw, H.; Van Echteld, C.J.A.; Dekkers, E.M.J. Ammonia determination based on indophenol formation with sodium salicylate. Water Res. 1978, 12, 399–402. [Google Scholar] [CrossRef]
- Baird, R. Standard Methods for the Examination of Water and Wastewater, 23rd ed.; American Public Health Association: Washington, DC, USA, 2017; ISBN 9780875532875. [Google Scholar]
- Pirsaheb, M.; Azizi, E.; Almasi, A.; Soltanian, M.; Khosravi, T.; Ghayebzadeh, M.; Sharafi, K. Evaluating the efficiency of electrochemical process in removing COD and NH4-N from landfill leachate. Desalin. Water Treat. 2016, 57, 6644–6651. [Google Scholar] [CrossRef]
- Majlesi, M.; Mohseny, S.M.; Sardar, M.; Golmohammadi, S.; Sheikhmohammadi, A. Improvement of aqueous nitrate removal by using continuous electrocoagulation/electroflotation unit with vertical monopolar electrodes. Sustain. Environ. Res. 2016, 26, 287–290. [Google Scholar] [CrossRef]
- Tanyol, M.; Ogedey, A.; Oguz, E. COD removal from leachate by electrocoagulation process: Treatment with monopolar electrodes in parallel connection. Water Sci. Technol. 2018, 77, 177–186. [Google Scholar] [CrossRef]
- Ogedey, A.; Tanyol, M. Optimizing electrocoagulation process using experimental design for COD removal from unsanitary landfill leachate. Water Sci. Technol. 2017, 76, 2907–2917. [Google Scholar] [CrossRef] [PubMed]
- Bazrafshan, E.; Mohammadi, L.; Ansari-Moghaddam, A.; Mahvi, A.H. Heavy metals removal from aqueous environments by electrocoagulation process—A systematic review. J. Environ. Health Sci. Eng. 2015, 13, 74. [Google Scholar] [CrossRef]
- Le, T.S.; Dang, N.M.; Tran, D.T. Performance of coupling electrocoagulation and biofiltration processes for the treatment of leachate from the largest landfill in Hanoi, Vietnam: Impact of operating conditions. Sep. Purif. Technol. 2021, 255, 117677. [Google Scholar] [CrossRef]
- Benekos, A.K.; Zampeta, C.; Argyriou, R.; Economou, C.N.; Triantaphyllidou, I.E.; Tatoulis, T.I.; Tekerlekopoulou, A.G.; Vayenas, D.V. Treatment of table olive processing wastewaters using electrocoagulation in laboratory and pilot-scale reactors. Process Saf. Environ. Prot. 2019, 131, 38–47. [Google Scholar] [CrossRef]
- Chu, L.M.; Cheung, K.C.; Wong, M.H. Variations in the chemical properties of landfill leachate. Environ. Manag. 1994, 18, 105–117. [Google Scholar] [CrossRef]
- Mojiri, A.; Ziyang, L.; Tajuddin, R.M.; Farraji, H.; Alifar, N. Co-treatment of landfill leachate and municipal wastewater using the ZELIAC/zeolite constructed wetland system. J. Environ. Manag. 2016, 166, 124–130. [Google Scholar] [CrossRef] [PubMed]
- García-García, P.; López-López, A.; Moreno-Baquero, J.M.; Garrido-Fernández, A. Treatment of wastewaters from the green table olive packaging industry using electro-coagulation. Chem. Eng. J. 2011, 170, 59–66. [Google Scholar] [CrossRef]
- Yadav, J.S.; Dikshit, A.K. Stabilized old landfill leachate treatment using electrocoagulation. EnvironmentAsia 2017, 10, 25–33. [Google Scholar] [CrossRef]
- Ghimire, U.; Jang, M.; Jung, S.; Park, D.; Park, S.; Yu, H.; Oh, S.-E. Electrochemical Removal of Ammonium Nitrogen and COD of Domestic Wastewater using Platinum Coated Titanium as an Anode Electrode. Energies 2019, 12, 883. [Google Scholar] [CrossRef]
- Nanayakkara, N.; Koralage, A.; Meegoda, C.; Kariyawasam, S. Removing nitrogenous compounds from landfill leachate using electrochemical techniques. Environ. Eng. Res. 2019, 24, 339–346. [Google Scholar] [CrossRef]
- Tezcan Un, U.; Kandemir, A.; Erginel, N.; Ocal, S.E. Continuous electrocoagulation of cheese whey wastewater: An application of response surface methodology. J. Environ. Manag. 2014, 146, 245–250. [Google Scholar] [CrossRef]
- Lakshmanan, D.; Clifford, D.A.; Samanta, G. Ferrous and ferric ion generation during iron electrocoagulation. Environ. Sci. Technol. 2009, 43, 3853–3859. [Google Scholar] [CrossRef] [PubMed]
- Aziz, H.A.; Foul, A.A.; Isa, M.H.; Hung, Y.T. Physico-chemical treatment of anaerobic landfill leachate using activated carbon and zeolite: Batch and column studies. Int. J. Environ. Waste Manag. 2010, 5, 269–285. [Google Scholar] [CrossRef]
- Rodríguez, J.; Castrillón, L.; Marañón, E.; Sastre, H.; Fernández, E. Removal of non-biodegradable organic matter from landfill leachates by adsorption. Water Res. 2004, 38, 3297–3303. [Google Scholar] [CrossRef]
- Ye, Z.; Wang, J.; Sun, L.; Zhang, D.; Zhang, H. Removal of ammonium from municipal landfill leachate using natural zeolites. Environ. Technol. 2015, 36, 2919–2923. [Google Scholar] [CrossRef]
- Hankins, N.P.; Pliankarom, S.; Hilal, N. An equilibrium ion-exchange study on the removal of NH4 + ion from aqueous effluent using clinoptilolite. Sep. Sci. Technol. 2004, 39, 3639–3663. [Google Scholar] [CrossRef]
- Brönsted, J.N. Einige Bemerkungen über den Begriff der Säuren und Basen. Recl. Trav. Chim. Pays-Bas. 1923, 42, 718–728. [Google Scholar] [CrossRef]
- Lowry, T.M. The uniqueness of hydrogen. J. Soc. Chem. Ind. 1923, 42, 43–47. [Google Scholar] [CrossRef]






| Parameter | Value | 
|---|---|
| pH | 8.09 ± 0.23 | 
| Conductivity | 14.74 ± 0.13 mS cm−1 | 
| Color | dark brown | 
| d-COD | 1576 ± 243 mg L−1 | 
| NO3−-N | 109 ± 11.3 mg L−1 | 
| NH4+- N | 622 ± 30 mg L−1 | 
| Fe | 13.26 ± 0.15 mg L−1 | 
| Mn | 751 ± 3 μg L−1 | 
| Ni | 406 ± 10 μg L−1 | 
| Zn | 578 ± 1 μg L−1 | 
| Hybrid ADpal-ADzeo-EC system | ||||
| Pollutants | After ADpal | After ADzeo | After EC | Overall removal | 
| Color | 81.18 ± 0.02% | 11.49 ± 0.95% | 36.93 ± 0.80% | 89.45 ± 0.42% | 
| d-COD | 38.38 ± 3.47% | 0.00 ± 0.00% | 14.05 ± 0.69% | 47.01 ± 0.74% | 
| NO3−-N | 48.73 ± 0.78% | 6.82 ± 0.02% | 22.44 ± 0.95% | 62.73 ± 0.81% | 
| NH4+-N | 36.75 ± 0.07% | 66.63 ± 0.43% | 3.55 ± 0.46% | 79.86 ± 1.70% | 
| Hybrid ADzeo-ADpal-EC system | ||||
| Pollutants | After ADzeo | After ADpal | After EC | Overall removal | 
| Color | 43.51 ± 1.24% | 77.12 ± 0.03% | 61.86 ± 1.20% | 95.06 ± 0.19% | 
| d-COD | 20.76 ± 1.25% | 25.46 ± 1.47% | 14.43 ± 1.43% | 48.89 ± 0.89% | 
| NO3−-N | 28.54 ± 0.50% | 43.71 ± 0.06% | 20.82 ± 1.11% | 68.38 ± 0.93% | 
| NH4+-N | 65.83 ± 0.39% | 25.73 ± 0.64% | 14.26 ± 0.27% | 78.25 ± 0.61% | 
| Disclaimer/Publisher’s Note: The statements, opinions and data contained in all publications are solely those of the individual author(s) and contributor(s) and not of MDPI and/or the editor(s). MDPI and/or the editor(s) disclaim responsibility for any injury to people or property resulting from any ideas, methods, instructions or products referred to in the content. | 
© 2023 by the authors. Licensee MDPI, Basel, Switzerland. This article is an open access article distributed under the terms and conditions of the Creative Commons Attribution (CC BY) license (https://creativecommons.org/licenses/by/4.0/).
Share and Cite
Genethliou, C.; Triantaphyllidou, I.-E.; Chatzitheodorou, D.; Tekerlekopoulou, A.G.; Vayenas, D.V. Development of Hybrid Systems by Integrating an Adsorption Process with Natural Zeolite and/or Palygorskite into the Electrocoagulation Treatment of Sanitary Landfill Leachate. Sustainability 2023, 15, 8344. https://doi.org/10.3390/su15108344
Genethliou C, Triantaphyllidou I-E, Chatzitheodorou D, Tekerlekopoulou AG, Vayenas DV. Development of Hybrid Systems by Integrating an Adsorption Process with Natural Zeolite and/or Palygorskite into the Electrocoagulation Treatment of Sanitary Landfill Leachate. Sustainability. 2023; 15(10):8344. https://doi.org/10.3390/su15108344
Chicago/Turabian StyleGenethliou, Christiana, Irene-Eva Triantaphyllidou, Dimitrios Chatzitheodorou, Athanasia G. Tekerlekopoulou, and Dimitris V. Vayenas. 2023. "Development of Hybrid Systems by Integrating an Adsorption Process with Natural Zeolite and/or Palygorskite into the Electrocoagulation Treatment of Sanitary Landfill Leachate" Sustainability 15, no. 10: 8344. https://doi.org/10.3390/su15108344
APA StyleGenethliou, C., Triantaphyllidou, I.-E., Chatzitheodorou, D., Tekerlekopoulou, A. G., & Vayenas, D. V. (2023). Development of Hybrid Systems by Integrating an Adsorption Process with Natural Zeolite and/or Palygorskite into the Electrocoagulation Treatment of Sanitary Landfill Leachate. Sustainability, 15(10), 8344. https://doi.org/10.3390/su15108344
 
        



 
       