Role of Landscape and Land-Use Transformation on Nonpoint Source Pollution and Runoff Distribution in the Dongsheng Basin, China
Abstract
1. Introduction
2. Materials and Methods
2.1. Study Area
2.2. Soil and Water Assessment Tool (SWAT)
2.3. Spatial Analysis
2.4. Landscape Analysis
2.5. Relationship between Landscape Patterns and NSP Variables
2.5.1. Correlation and Redundancy Analysis
2.5.2. Random Forest Regression Model
3. Results and Discussion
3.1. NSP Temporal Analysis at Sub-Watershed Level
3.1.1. NSP Annual Distribution Per Sub-Watershed
3.1.2. Monthly Distribution of Non-Point Source Pollution
3.2. Non-Point Source Pollution Spatial Analysis
3.2.1. Spatial Distribution of Non-Point Source Pollution at Sub-Watershed Level
3.2.2. Non-Point Source Pollution Spatio-Temporal Trend
3.3. Relationships between of Land Cover, Landscape Metrics, Runoff and Non-Point Source Pollution
3.3.1. Correlation of Land use Dynamics and Non-Point Source Pollution
3.3.2. Landscape Pattern Analysis at Different Sub-Watersheds
3.3.3. Correlation Analysis between Landscape Metrics and Non-Point Source Pollution
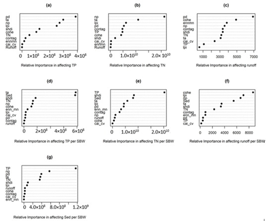
3.3.4. Influence of Landscape Pattern and Runoff on NSP Loads
4. Conclusions
Supplementary Materials
Author Contributions
Funding
Institutional Review Board Statement
Informed Consent Statement
Data Availability Statement
Acknowledgments
Conflicts of Interest
References
- Zhao, W.L.; Yang, S.Y.; Wang, J.; Xiao, J.M.; Lu, X.X.; Lin, J.; Huang, P.; Cai, M.G. Load estimation and assessment of land-based pollution for Quanzhou Bay and their relevance to the Total Quantity Control of Pollutants Discharged into the Sea (TQCPS) Program in China. Estuar. Coast. Shelf Sci. 2015, 166, 230–239. [Google Scholar] [CrossRef]
- Tan, S.; Xie, D.; Ni, J.; Chen, F.; Ni, C.; Shao, J.; Wang, J.; Zhu, D.; Wang, S.; Lei, P.; et al. Identification of nonpoint source pollution source/sink in a typical watershed of the Three Gorges Reservoir Area, China: A case study of the Qijiang River. J. Clean. Prod. 2022, 330, 129694. [Google Scholar] [CrossRef]
- Ouyang, W.; Gao, X.; Wei, P.; Gao, B.; Lin, C.; Hao, F. A review of diffuse pollution modeling and associated implications for watershed management in China. J. Soils Sediments 2017, 17, 1527–1536. [Google Scholar] [CrossRef]
- Zhang, P.; Liu, Y.; Pan, Y.; Yu, Z. Land use pattern optimization based on CLUE-S and SWAT models for agricultural non-point source pollution control. Math. Comput. Model. 2013, 58, 588–595. [Google Scholar] [CrossRef]
- Short, A.G. Governing Change: Land-Use Change and the Prevention of Nonpoint Source Pollution in the North Coastal Basin of California. Environ. Manag. 2013, 51, 108–125. [Google Scholar] [CrossRef]
- Wang, J.; Chen, C.; Ni, J.; Xie, D.; Guo, X.; Luo, Z.; Zhao, Y. Assessing effects of “source-sink” landscape on non-point source pollution based on cell units of a small agricultural catchment. J. Mountain Sci. 2019, 16, 2048–2062. [Google Scholar] [CrossRef]
- Xu, K.; Mo, L.; Zhang, Z.; Zhang, M. Water quantity and quality changes from forested riparian buffer in Beijing. Environ. Sci. Pollut. Res. 2019, 26, 29041–29051. [Google Scholar] [CrossRef]
- Azzellino, A.; Salvetti, R.; Vismara, R.; Bonomo, L. Combined use of the EPA-QUAL2E simulation model and factor analysis to assess the source apportionment of point and non point loads of nutrients to surface waters. Sci. Total. Environ. 2006, 371, 214–222. [Google Scholar] [CrossRef]
- Ouyang, W.; Yang, W.; Tysklind, M.; Xu, Y.; Lin, C.; Gao, X.; Hao, Z. Using river sediments to analyze the driving force difference for non-point source pollution dynamics between two scales of watersheds. Water Res. 2018, 139, 311–320. [Google Scholar] [CrossRef]
- Bois, P.; Huguenot, D.; Jézéquel, K.; Lollier, M.; Cornu, J.Y.; Lebeau, T. Herbicide mitigation in microcosms simulating stormwater basins subject to polluted water inputs. Water Res. 2013, 47, 1123–1135. [Google Scholar] [CrossRef]
- Wang, W.; Chen, L.; Shen, Z. Dynamic export coefficient model for evaluating the effects of environmental changes on non-point source pollution. Sci. Total. Environ. 2020, 747, 141164. [Google Scholar] [CrossRef]
- Wang, Y.; Liu, G.; Zhao, Z.; Wu, C.; Yu, B. Using soil erosion to locate nonpoint source pollution risks in coastal zones: A case study in the Yellow River Delta, China. Environ. Pollut. 2021, 283, 117117. [Google Scholar] [CrossRef]
- Peng, J.; Chen, S.; Dong, P. Temporal variation of sediment load in the Yellow River basin, China, and its impacts on the lower reaches and the river delta. Catena 2010, 83, 135–147. [Google Scholar] [CrossRef]
- Dai, C.; Guo, H.C.; Tan, Q.; Ren, W. Development of a constructed wetland network for mitigating nonpoint source pollution through a GIS-based watershed-scale inexact optimization approach. Ecol. Eng. 2016, 96, 94–108. [Google Scholar] [CrossRef]
- Bell, S. Landscape pattern, perception and visualisation in the visual management of forests. Landsc. Urban Plan. 2001, 54, 201–211. [Google Scholar] [CrossRef]
- Bu, H.; Zhang, Y.; Meng, W.; Song, X. Effects of land-use patterns on in-stream nitrogen in a highly-polluted river basin in Northeast China. Sci. Total. Environ. 2016, 553, 232–242. [Google Scholar] [CrossRef]
- Ouyang, W.; Song, K.; Wang, X.; Hao, F. Non-point source pollution dynamics under long-term agricultural development and relationship with landscape dynamics. Ecol. Indic. 2014, 45, 579–589. [Google Scholar] [CrossRef]
- He, C.; Malcolm, S.B.; Dahlberg, K.A.; Fu, B. A conceptual framework for integrating hydrological and biological indicators into watershed management. Landsc. Urban Plan. 2000, 49, 25–34. [Google Scholar] [CrossRef]
- Teixeira, Z.; Teixeira, H.; Marques, J.C. Systematic processes of land use/land cover change to identify relevant driving forces: Implications on water quality. Sci. Total. Environ. 2014, 470–471, 1320–1335. [Google Scholar] [CrossRef]
- Zhang, L.; Lu, W.; Hou, G.; Gao, H.; Liu, H.; Zheng, Y. Coupled analysis on land use, landscape pattern and nonpoint source pollution loads in Shitoukoumen Reservoir watershed, China. Sustain. Cities Soc. 2019, 51, 101788. [Google Scholar] [CrossRef]
- Zhou, Z.X.; Li, J. The correlation analysis on the landscape pattern index and hydrological processes in the Yanhe watershed, China. J. Hydrol. 2015, 524, 417–426. [Google Scholar] [CrossRef]
- De Oliveira, L.M.; Maillard, P.; de Andrade Pinto, E.J. Application of a land cover pollution index to model non-point pollution sources in a Brazilian watershed. Catena 2017, 150, 124–132. [Google Scholar] [CrossRef]
- Cheng, P.; Meng, F.; Wang, Y.; Zhang, L.; Yang, Q.; Jiang, M. The Impacts of Land Use Patterns on Water Quality in a Trans-Boundary River Basin in Northeast China Based on Eco-Functional Regionalization. Int. J. Environ. Res. Public Health 2018, 15, 1872. [Google Scholar] [CrossRef] [PubMed]
- Conway, T.M. Impervious surface as an indicator of pH and specific conductance in the urbanizing coastal zone of New Jersey, USA. J. Environ. Manag. 2007, 85, 308–316. [Google Scholar] [CrossRef] [PubMed]
- Liu, Z.; Wang, Y.; Li, Z.; Peng, J. Impervious surface impact on water quality in the process of rapid urbanization in Shenzhen, China. Environ. Earth Sci. 2013, 68, 2365–2373. [Google Scholar] [CrossRef]
- Kelsey, R.H.; Webster, L.F.; Kenny, D.J.; Stewart, J.R.; Scott, G.I. Spatial and temporal variability of ribotyping results at a small watershed in South Carolina. Water Res. 2008, 42, 2220–2228. [Google Scholar] [CrossRef]
- Lin, C.; Ma, R.; Zhu, Q.; Li, J. Using hyper-spectral indices to detect soil phosphorus concentration for various land use patterns. Environ. Monit. Assess. 2015, 187, 4130. [Google Scholar] [CrossRef]
- Matomela, N.; Li, T.; Ikhumhen, H.O.; Lopes, N.D.R.; Meng, L. Soil erosion spatio-temporal exploration and Geodetection of driving factors using InVEST-sediment delivery ratio and Geodetector models in Dongsheng, China. Geocarto Int. 2022, 37, 13039–13056. [Google Scholar] [CrossRef]
- Arnold, J.G.; Srinivasan, R.; Muttiah, R.S.; Williams, J.R. Large area hydrologic modeling and assessment part i: Model development. J. Am. Water Resour. Assoc. 1998, 34, 73–89. [Google Scholar] [CrossRef]
- Santhi, C.; Srinivasan, R.; Arnold, J.G.; Williams, J.R. A modeling approach to evaluate the impacts of water quality management plans implemented in a watershed in Texas. Environ. Model. Softw. 2006, 21, 1141–1157. [Google Scholar] [CrossRef]
- Arnold, J.G.; Srinivasan, R.; Ramanarayanan, T.S.; DiLuzio, M. Water resources of the Texas Gulf Basin. Water Sci. Technol. 1999, 39, 121–133. [Google Scholar] [CrossRef]
- Hesselbarth, M.H.K.; Sciaini, M.; With, K.A.; Wiegand, K.; Nowosad, J. landscapemetrics: An open-source R tool to calculate landscape metrics. Ecography 2019, 42, 1648–1657. [Google Scholar] [CrossRef]
- Gergel, S.E.; Turner, M.G.; Miller, J.R.; Melack, J.M.; Stanley, E.H. Landscape indicators of human impacts to riverine systems. Aquat. Sci. 2002, 64, 118–128. [Google Scholar] [CrossRef]
- Shehab, Z.N.; Jamil, N.R.; Aris, A.Z.; Shafie, N.S. Spatial variation impact of landscape patterns and land use on water quality across an urbanized watershed in Bentong, Malaysia. Ecol. Indic. 2021, 122, 107254. [Google Scholar] [CrossRef]
- Song, Y.; Song, X.; Shao, G. Response of Water Quality to Landscape Patterns in an Urbanized Watershed in Hangzhou, China. Sustainability 2020, 12, 5500. [Google Scholar] [CrossRef]
- McGarigal, K.; Cushman, S.A.; Ene, E. FRAGSTATS V4: Spatial Pattern Analysis Program for Categorical and Continuous Maps. In Computer Software Program Produced by the Authors at the University of Massachusetts; University of Massachusetts: Amherst, MA, USA, 2012. [Google Scholar]
- Shen, Z.; Qiu, J.; Hong, Q.; Chen, L. Simulation of spatial and temporal distributions of non-point source pollution load in the Three Gorges Reservoir Region. Sci. Total. Environ. 2014, 493, 138–146. [Google Scholar] [CrossRef]
- González, C.M.; Orellana, L.C.; Casanovas, S.S.; Pignata, M.L. Environmental conditions and chemical response of a transplanted lichen to an urban area. J. Environ. Manag. 1998, 53, 73–81. [Google Scholar] [CrossRef]
- Van Dobben, H.F.; Wolterbeek, H.T.; Wamelink, G.W.W.; Ter Braak, C.J.F. Relationship between epiphytic lichens, trace elements and gaseous atmospheric pollutants. Environ. Pollut. 2001, 112, 163–169. [Google Scholar] [CrossRef]
- Wang, H.; Yilihamu, Q.; Yuan, M.; Bai, H.; Xu, H.; Wu, J. Prediction models of soil heavy metal(loid)s concentration for agricultural land in Dongli: A comparison of regression and random forest. Ecol. Indic. 2020, 119, 106801. [Google Scholar] [CrossRef]
- Bénard, C.; Biau, G.; Da Veiga, S.; Scornet, E. Interpretable random forests via rule extraction. In Proceedings of the International Conference on Artificial Intelligence and Statistics, Virtual, 13–15 April 2021; PMLR: New York, NY, USA, 2021; pp. 937–945. [Google Scholar]
- Zhang, B.-Y.; Li, M.-Y.; Li, W.-X.; Jiang, Z.-W.; Khan, U.; Wang, L.-F.; Wang, F.-Y. Machine learning strategies for lithostratigraphic classification based on geochemical sampling data: A case study in area of Chahanwusu River, Qinghai Province, China. J. Central South Univ. 2021, 28, 1422–1447. [Google Scholar] [CrossRef]
- Biau, G.; Scornet, E. A random forest guided tour. TEST 2016, 25, 197–227. [Google Scholar] [CrossRef]
- Liu, H.; Benoit, G.; Liu, T.; Liu, Y.; Guo, H. An integrated system dynamics model developed for managing lake water quality at the watershed scale. J. Environ. Manag. 2015, 155, 11–23. [Google Scholar] [CrossRef] [PubMed]
- Wu, Y.; Chen, J. Modeling of soil erosion and sediment transport in the East River Basin in southern China. Sci. Total. Environ. 2012, 441, 159–168. [Google Scholar] [CrossRef] [PubMed]
- De Oliveira, L.M.; Maillard, P.; de Andrade Pinto, E.J. Modeling the effect of land use/land cover on nitrogen, phosphorous and dissolved oxygen loads in the Velhas River using the concept of exclusive contribution area. Environ. Monit. Assess. 2016, 188, 333. [Google Scholar] [CrossRef]
- Shen, Z.-Y.; Hong, Q.; Yu, H.; Niu, J.-F. Parameter uncertainty analysis of non-point source pollution from different land use types. Sci. Total. Environ. 2010, 408, 1971–1978. [Google Scholar] [CrossRef]
- Xue, B.; Zhang, H.; Wang, G.; Sun, W. Evaluating the risks of spatial and temporal changes in nonpoint source pollution in a Chinese river basin. Sci. Total. Environ. 2022, 807, 151726. [Google Scholar] [CrossRef]
- Bu, H.; Song, X.; Xia, J. The hydrogen and oxygen isotopic compositions of precipitation in a forested watershed of the South Qinling Mts., China. Environ. Sci. Pollut. Res. 2018, 25, 6720–6728. [Google Scholar] [CrossRef]
- Ding, S.; Zhang, Y.; Liu, B.; Kong, W.; Meng, W. Effects of riparian land use on water quality and fish communities in the headwater stream of the Taizi River in China. Front. Environ. Sci. Eng. 2013, 7, 699–708. [Google Scholar] [CrossRef]
- Li, L.; Gou, M.; Wang, N.; Ma, W.; Xiao, W.; Liu, C.; La, L. Landscape configuration mediates hydrology and nonpoint source pollution under climate change and agricultural expansion. Ecol. Indic. 2021, 129, 107959. [Google Scholar] [CrossRef]
- Gergel, S.E. Spatial and non-spatial factors: When do they affect landscape indicators of watershed loading? Landsc. Ecol. 2005, 20, 177–189. [Google Scholar] [CrossRef]
- Liu, X.; Zhang, Y. Landscape Analysis of Runoff and Sedimentation Based on Land Use/Cover Change in Two Typical Watersheds on the Loess Plateau, China. Life 2022, 12, 1688. [Google Scholar] [CrossRef]
- Tudesque, L.; Tisseuil, C.; Lek, S. Scale-dependent effects of land cover on water physico-chemistry and diatom-based metrics in a major river system, the Adour-Garonne basin (South Western France). Sci. Total. Environ. 2014, 466, 47–55. [Google Scholar] [CrossRef]
- Bu, H.; Meng, W.; Zhang, Y.; Wan, J. Relationships between land use patterns and water quality in the Taizi River basin, China. Ecol. Indic. 2014, 41, 187–197. [Google Scholar] [CrossRef]
- Zhou, T.; Wu, J.; Peng, S. Assessing the effects of landscape pattern on river water quality at multiple scales: A case study of the Dongjiang River watershed, China. Ecol. Indic. 2012, 23, 166–175. [Google Scholar] [CrossRef]
- Hao, F.; Zhang, X.; Wang, X.; Ouyang, W. Assessing the Relationship Between Landscape Patterns and Nonpoint-Source Pollution in the Danjiangkou Reservoir Basin in China1. J. Am. Water Resour. Assoc. 2012, 48, 1162–1177. [Google Scholar] [CrossRef]
- Wu, J.; Lu, J. Landscape patterns regulate non-point source nutrient pollution in an agricultural watershed. Sci. Total. Environ. 2019, 669, 377–388. [Google Scholar] [CrossRef]
- Jia, X.; Fu, T.; Hu, B.; Shi, Z.; Zhou, L.; Zhu, Y. Identification of the potential risk areas for soil heavy metal pollution based on the source-sink theory. J. Hazard. Mater. 2020, 393, 122424. [Google Scholar] [CrossRef]
- Turner, M.G.; Gardner, R.H.; O’neill, R.V.; O’Neill, R.V. Landscape Ecology in Theory and Practice; Springer: New York, NY, USA, 2001; Volume 401. [Google Scholar]
- Clavero, M.; Villero, D.; Brotons, L.; Willis, S.G. Climate Change or Land Use Dynamics: Do We Know What Climate Change Indicators Indicate? PLoS ONE 2011, 6, e18581. [Google Scholar] [CrossRef]
- Urban, D.L.; O’Neill, R.V.; Shugart, H.H. Landscape Ecology. Bioscience 1987, 37, 119–127. [Google Scholar] [CrossRef]
- Rajaei, F.; Sari, A.E.; Salmanmahiny, A.; Delavar, M.; Bavani, A.R.M.; Srinivasan, R. Surface drainage nitrate loading estimate from agriculture fields and its relationship with landscape metrics in Tajan watershed. Paddy Water Environ. 2017, 15, 541–552. [Google Scholar] [CrossRef]
- Shi, P.; Zhang, Y.; Li, Z.; Li, P.; Xu, G. Influence of land use and land cover patterns on seasonal water quality at multi-spatial scales. Catena 2017, 151, 182–190. [Google Scholar] [CrossRef]
- Uuemaa, E.; Roosaare, J.; Mander, Ü. Scale dependence of landscape metrics and their indicatory value for nutrient and organic matter losses from catchments. Ecol. Indic. 2005, 5, 350–369. [Google Scholar] [CrossRef]










| Category | Name | Level | Description |
|---|---|---|---|
| Core area metric | Core area index (CAI_CV) | Class, landscape | Expresses the patch proportion which is comprised of core area. |
| Total core area (TCA) | Class, landscape | ||
| Core area percentage of landscape (CPLAND) | Class | Quantifies or express the core area per type of patch as a percentage of the whole landscape area. | |
| Area and edge metric | Largest patch index (LPI) | Class, landscape | The metric is important for measuring the shape or structure of the surface height dispersion and is not impacted by the roughness of the surface. |
| Edge Density (ED) | Class, landscape | Total length of all edge segments divided by total area for the corresponding patch type. | |
| Total area (TA) | landscape | Simply defines the extent of the landscape. | |
| Patch area (AREA_MN), | Class, landscape | Express the landscape patch structure as that of patch characteristics. | |
| Aggregation metric | Patch Density (PD) | Class, landscape | Expresses the patch number of the corresponding patch type in each unit area. |
| Number of Patches (NP) | Class, landscape | Equivalent to the number of patches in the landscape. | |
| Contagion (CONTAG) | Landscape | degree of which patch types are grouped or clumped as a proportion of the maximum possible. | |
| Interspersion and Juxtaposition Index (IJI) | Class, Landscape | Equivalent to the observed interspersion divided by the maximum possible interspersion for the given number of patch types. | |
| Cohesion Index (COHESION) | Class, Landscape | Shows the physical connectivity of the corresponding patch type. | |
| Euclidean nearest neighbor distance (ENN_MN) | Class, Landscape | The measure of patch isolation. It is based on the distance between patches of the same type. | |
| landscape shape index (LSI) | Class, Landscape | This index shows the complex shapes of patches forming the landscape | |
| DiversityMetric | Shannon’s diversity index (SHDI) | Landscape | Quantitative landscape structure composition, indicates the heterogeneity of the landscape |
| Sediment Yield t_ha | Soil Loss t_ha | P kg_ha | N kg_ha | |
|---|---|---|---|---|
| cropland | 94.87 | 93.03 | 90.24 | 90.18 |
| barren | 3.32 | 1.95 | 6.36 | 6.14 |
| grassland | 1.78 | 4.91 | 3.36 | 3.64 |
| forest | 0.03 | 0.10 | 0.04 | 0.04 |
| CAI_CV | COHESION | CONTAG | ENN_MN | LPI | NP | PD | SHDI | TA | |
|---|---|---|---|---|---|---|---|---|---|
| TN | −0.24 | 0.44 | 0.34 | −0.07 | −0.58 | 0.89 | −0.47 | −0.3 | 0.94 |
| TP | −0.25 | 0.46 | 0.33 | −0.07 | −0.58 | 0.9 | −0.47 | −0.28 | 0.94 |
| Sediment | −0.28 | 0.44 | 0.27 | −0.07 | −0.62 | 0.85 | −0.43 | −0.26 | 0.87 |
Disclaimer/Publisher’s Note: The statements, opinions and data contained in all publications are solely those of the individual author(s) and contributor(s) and not of MDPI and/or the editor(s). MDPI and/or the editor(s) disclaim responsibility for any injury to people or property resulting from any ideas, methods, instructions or products referred to in the content. |
© 2023 by the authors. Licensee MDPI, Basel, Switzerland. This article is an open access article distributed under the terms and conditions of the Creative Commons Attribution (CC BY) license (https://creativecommons.org/licenses/by/4.0/).
Share and Cite
Matomela, N.; Li, T.; Zhang, P.; Ikhumhen, H.O.; Lopes, N.D.R. Role of Landscape and Land-Use Transformation on Nonpoint Source Pollution and Runoff Distribution in the Dongsheng Basin, China. Sustainability 2023, 15, 8325. https://doi.org/10.3390/su15108325
Matomela N, Li T, Zhang P, Ikhumhen HO, Lopes NDR. Role of Landscape and Land-Use Transformation on Nonpoint Source Pollution and Runoff Distribution in the Dongsheng Basin, China. Sustainability. 2023; 15(10):8325. https://doi.org/10.3390/su15108325
Chicago/Turabian StyleMatomela, Nametso, Tianxin Li, Peng Zhang, Harrison Odion Ikhumhen, and Namir Domingos Raimundo Lopes. 2023. "Role of Landscape and Land-Use Transformation on Nonpoint Source Pollution and Runoff Distribution in the Dongsheng Basin, China" Sustainability 15, no. 10: 8325. https://doi.org/10.3390/su15108325
APA StyleMatomela, N., Li, T., Zhang, P., Ikhumhen, H. O., & Lopes, N. D. R. (2023). Role of Landscape and Land-Use Transformation on Nonpoint Source Pollution and Runoff Distribution in the Dongsheng Basin, China. Sustainability, 15(10), 8325. https://doi.org/10.3390/su15108325

