Effects of Household Clean Fuel Combustion on the Physical and Mental Health of the Elderly in Rural China
Abstract
1. Introduction
2. Literature Review and Theoretical Framework
2.1. Literature Review
2.2. Theoretical Framework and Potential Mechanism
3. Materials and Methods
3.1. Materials
3.2. Variable Selection
3.2.1. Dependent Variables
3.2.2. Explanatory Variable
3.2.3. Control Variables
3.2.4. Mediating Variables
3.3. Identification Strategy
4. Results
4.1. Descriptive Statistics
4.2. Basic Regression Analysis
4.3. Endogeneity Tests and Robustness Checks
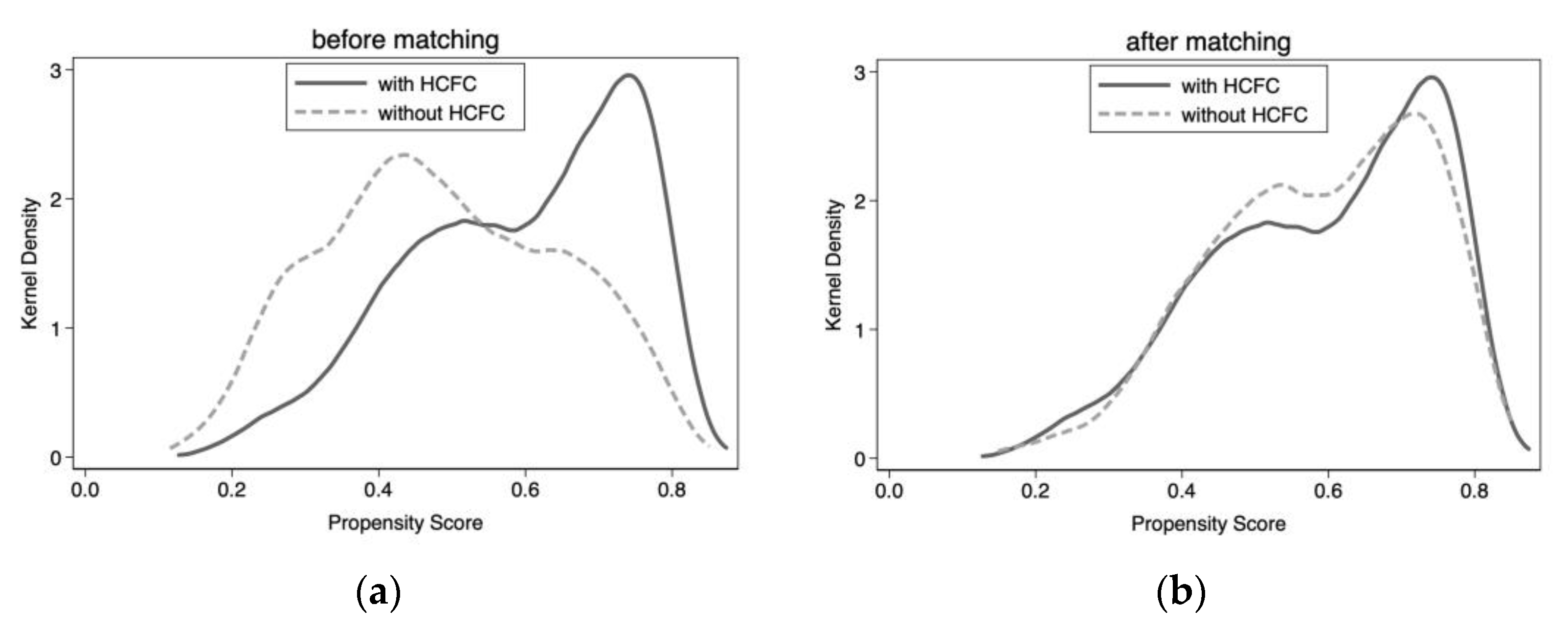
4.3.1. Results of the Propensity Score Matching Method
4.3.2. Results of the Instrument Variable Strategy
4.3.3. Results of Replacing the Estimation Variables
4.4. Heterogeneous Effects of Household Clean Fuel Combustion
4.5. The Effects of Household Clean Fuel Combustion on Chronic Pain and Social Interaction
5. Discussion
6. Conclusions
Author Contributions
Funding
Institutional Review Board Statement
Informed Consent Statement
Data Availability Statement
Conflicts of Interest
Appendix A
| Variables | Questions |
|---|---|
| CES-D score 1. Rarely or none of the time (<1 day). 2. Some or a little of the time (1–2 days). 3. Occasionally or a moderate amount of the time (3–4 days). 4. Most or all of the time (5–7 days). | 1. I was bothered by things that don’t usually bother me. |
| 2. I had trouble keeping my mind on what I was doing. | |
| 3. I felt depressed. | |
| 4. I felt everything I did was an effort. | |
| 5. I felt hopeful about the future. | |
| 6. I felt fearful. | |
| 7. My sleep was restless. | |
| 8. I was happy. | |
| 9. I felt lonely. | |
| 10. I could not get “going”. |
| Variables | Full Sample | With HCFC | Without HCFC | p-Value |
|---|---|---|---|---|
| (1) | (2) | (3) | (4) | |
| SRH score, mean (SD) | 2.985 (1.032) | 3.068 (1.030) | 2.884 (1.026) | 0.184 *** |
| CES-D score, mean (SD) | 9.336 (6.652) | 8.653 (6.485) | 10.157 (6.758) | −1.504 *** |
| Age, mean (SD) | 62.227 (8.361) | 61.334 (8.253) | 63.299 (8.364) | −1.966 *** |
| Gender (%) (1 if male) | 0.509 (0.500) | 0.509 (0.500) | 0.509 (0.500) | −0.000 |
| Male | 4048 (50.86%) | 2209 (50.85%) | 1839 (50.87%) | |
| Female | 3911 (49.14%) | 2135 (49.15%) | 1776 (49.13%) | |
| Marital status (%) (1 if married) | 0.873 (0.333) | 0.873 (0.333) | 0.872 (0.334) | 0.000 |
| Married | 6946 (87.27%) | 3792 (87.29%) | 3154 (87.25%) | |
| Others | 1013 (12.73%) | 552 (12.71%) | 461 (12.75%) | |
| Education, mean (SD) | 4.252 (4.360) | 4.772 (4.417) | 3.628 (4.208) | 1.144 *** |
| Basic medical insurance (%) (1 if yes) | 0.959 (0.198) | 0.961 (0.193) | 0.957 (0.203) | 0.004 |
| Yes | 7724 (97.05%) | 4231 (97.40%) | 3493 (96.63%) | |
| No | 235 (2.95%) | 113 (.60%) | 122 (3.37%) | |
| Household consumption, mean (SD) | 9023.89 (30970.08) | 12323.94 (39509.62) | 5058.372 (14398.69) | 7.3 × 103 *** |
| Dibaohu (%) (1 if yes) | 0.088 (0.284) | 0.059 (0.236) | 0.124 (0.329) | −0.065 *** |
| Yes | 703 (8.83%) | 256 (5.89%) | 447 (12.37%) | |
| No | 7256 (91.17%) | 4088 (94.11%) | 3168 (87.63%) | |
| Health during childhood, mean (SD) | 3.273 (1.123) | 3.286 (1.117) | 3.256 (1.130) | 0.029 |
| ADL (%) (1 if ADL disability) | 0.057 (0.232) | 0.042 (0.201) | 0.075 (0.264) | −0.033 *** |
| Yes | 455 (5.72%) | 183 (4.21%) | 272 (7.52%) | |
| No | 7504 (94.28%) | 4161 (95.79%) | 3343 (92.48%) | |
| Smoke (%) (1 if yes) | 0.456 (0.498) | 0.450 (0.498) | 0.465 (0.499) | −0.015 |
| Daughter number, mean (SD) | 1.307 (1.093) | 1.288 (1.080) | 1.329 (1.107) | −0.041 * |
| Toilet flushable (%) (1 if yes) | 0.511 (0.500) | 0.627 (0.484) | 0.372 (0.483) | 0.255 *** |
| Yes | 4066 (1.09%) | 2722 (62.66%) | 1344 (37.18%) | |
| No | 3893 (48.91%) | 1622 (37.34%) | 2271 (62.82%) |
References
- The World Bank. Available online: https://blogs.worldbank.org/voices/eradicating-household-air-pollution-will-pay-itself (accessed on 10 April 2023).
- Pérez, S.; Del Molino, E.; Barrio, V.L. Modeling and testing of a milli-structured reactor for carbon dioxide methanation. Int. J. Chem. React. Eng. 2019, 17, 114–122. [Google Scholar] [CrossRef]
- Liu, K.Y.; Wu, Q.R.; Ren, Y.J.; Wang, S.X. Air pollutant emissions from residential solid fuel combustion in the Pan-Third Pole region. Environ. Sci. Technol. 2022, 56, 15347–15355. [Google Scholar] [CrossRef] [PubMed]
- Sidhu, M.K.; Ravindra, K.; Mor, S.; John, S. Household air pollution from various types of rural kitchens and its exposure assessment. Sci. Total Environ. 2017, 586, 419–429. [Google Scholar] [CrossRef] [PubMed]
- Balmes, J.R. Household air pollution from domestic combustion of solid fuels and health. J. Allergy Clin. Immunol. 2019, 143, 1979–1987. [Google Scholar] [CrossRef]
- The World Health Organization. Available online: https://www.who.int/news-room/fact-sheets/detail/household-air-pollution-and-health (accessed on 10 April 2023).
- Badamassi, A.; Xu, D.; Leyla, B.H. The impact of residential combustion emissions on health expenditures: Empirical evidence from sub-Saharan Africa. Atmosphere 2017, 8, 157. [Google Scholar] [CrossRef]
- Zhao, W. Effect of air pollution on household insurance purchases. Evidence from China household finance survey data. PLoS ONE 2020, 15, e0242282. [Google Scholar] [CrossRef]
- Haseeb, Y.; Yew, H.T.; Talha, S.; Farooq, S.; Muhammad, A.J.; Tazien, R.; Kashif, A.Y. Energy evaluation and environmental impact assessment of transportation fuels in Pakistan. Case Stud. Chem. Environ. Eng. 2021, 3, 100081. [Google Scholar]
- Sustainable Development Goals. Available online: https://www.un.org/sustainabledevelopment/ (accessed on 10 April 2023).
- Chen, S.Y.; Xue, M.T.; Wang, Z.H.; Tian, X.; Zhang, B. Exploring pathways of phasing out clean heating subsidies for rural residential buildings in China. Energy Econ. 2022, 116, 106411. [Google Scholar] [CrossRef]
- Health Effects Institute. State of Global Air 2020, Special Report; Health Effects Institute: Boston, MA, USA, 2020; p. 13. [Google Scholar]
- China Population Census Yearbook 2020. Available online: http://www.stats.gov.cn/sj/pcsj/rkpc/7rp/indexch.htm (accessed on 10 April 2023).
- Young, B.N.; Clark, M.L.; Rajkumar, S.; Benka-Coker, M.L.; Bachand, A.; Brook, R.D.; Nelson, T.L.; Volckens, J.; Reynolds, S.J.; L’Orange, C.; et al. Exposure to household air pollution from biomass cookstoves and blood pressure among women in rural Honduras: A cross-sectional study. Indoor Air 2018, 29, 130–142. [Google Scholar] [CrossRef]
- GBD 2019 Risk Factors Collaborators. Global burden of 87 risk factors in 204 countries and territories, 1990–2019: A systematic analysis for the Global Burden of Disease Study 2019. Lancet 2020, 396, 1223–1249. [Google Scholar] [CrossRef]
- Pope, C.A.; Coleman, N.; Pond, Z.A.; Burnett, R.T. Fine particulate air pollution and human mortality: 25+ years of cohort studies. Environ. Res. 2020, 191, 109974. [Google Scholar] [CrossRef] [PubMed]
- Li, S.D.; Liu, Z.G.; Joseph, P.; Hu, B.; Yin, L.; Tse, L.A.; Rangarajan, S.; Wang, C.S.; Wang, Y.; Islam, S.; et al. Modifiable risk factors associated with cardiovascular disease and mortality in China: A PURE substudy. Eur. Heart J. 2022, 43, 2852. [Google Scholar] [CrossRef] [PubMed]
- Liu, Y.; Tian, Z.H.; He, X.H.; Wang, X.L.; Wei, H.T. Short-term effects of indoor and outdoor air pollution on the lung cancer morbidity in Henan Province, Central China. Environ. Geochem. Health 2021, 44, 2711–2731. [Google Scholar] [CrossRef] [PubMed]
- Yin, P.; Brauer, M.; Cohen, A.J.; Wang, H.D.; Li, J.; Burnett, R.T.; Stanaway, J.D.; Causey, K.; Larson, S.; Godwin, W.; et al. The effect of air pollution on deaths, disease burden, and life expectancy across China and its provinces, 1990–2017: An analysis for the Global Burden of Disease Study 2017. Lancet Planet. Health 2020, 4, E386–E398. [Google Scholar] [CrossRef] [PubMed]
- Siddharthan, T.; Grigsby, M.R.; Goodman, D.; Chowdhury, M.; Rubinstein, A.; Irazola, V.; Gutierrez, L.; Miranda, J.J.; Bernabe-Ortiz, A.; Alam, D.; et al. Association between household air pollution exposure and chronic obstructive pulmonary disease outcomes in 13 low-and middle-income country settings. Am. J. Respir. Crit. Care Med. 2018, 197, 611–620. [Google Scholar] [CrossRef] [PubMed]
- Ren, Z.Y.; Sun, W.D.; Shan, S.Y.; Hou, L.Y.; Zhu, S.Y.; Yi, Q.; Wu, Y.; Guo, C.; Liu, J.F.; Song, P.G. Risk of functional disability associated with solid fuel use and population impact of reducing indoor air pollution in China: A national cohort study. Front. Public Health 2022, 10, 976614. [Google Scholar] [CrossRef]
- Rahut, D.B.; Ali, A.; Behera, B. Domestic use of dirty energy and its effects on human health: Empirical evidence from Bhutan. Int. J. Sustain. Energy 2017, 36, 983–993. [Google Scholar] [CrossRef]
- Lin, B.Q.; Wei, K. Does use of solid cooking fuels increase family medical expenses in China? Int. J. Environ. Res. Public Health 2022, 19, 1649. [Google Scholar] [CrossRef]
- Calderón-Garciduenas, L.; Calderón-Garciduenas, A.; Torres-Jardón, R.; Avila-Ramirez, J.; Kulesza, R.J.; Angiulli, A.D. Air pollution and your brain: What do you need to know right now. Prim. Health Care Res. Dev. 2015, 16, 329–345. [Google Scholar] [CrossRef]
- Chen, B.W.; Ma, W.; Pan, Y.; Guo, W.; Chen, Y.S. PM2.5 exposure and anxiety in China: Evidence from the prefectures. BMC Public Health 2021, 21, 429. [Google Scholar] [CrossRef]
- Zhou, Y.M.; Fan, Y.N.; Yao, C.Y.; Xu, C.; Liu, X.L.; Li, X.; Xie, W.J.; Chen, Z.; Jia, X.Y.; Xia, T.T.; et al. Association between short-term ambient air pollution and outpatient visits of anxiety: A hospital-based study in northwestern China. Environ. Res. 2021, 197, 111071. [Google Scholar] [CrossRef] [PubMed]
- Vert, C.; Sánchez-Benavides, G.; Martínez, D.; Gotsens, X.; Gramunt, N.; Cirach, M.; Molinuevo, J.L.; Sunyer, J.; Nieuwenhuijsen, M.J.; Crous-Bou, M.; et al. Effect of long-term exposure to air pollution on anxiety and depression in adults: A cross-sectional study. Int. J. Hyg. Environ. Health 2017, 220, 1074–1080. [Google Scholar] [CrossRef] [PubMed]
- Li, X.; Guo, Y.F.; Xiao, J.P.; Liu, T.; Zeng, W.L.; Hu, J.X.; He, G.H.; Rong, Z.H.; Zhu, Z.H.; Wu, F.; et al. The effect of polluting cooking fuels on depression among older adults in six low- and middle-income countries. Sci. Total Environ. 2022, 838, 155690. [Google Scholar] [CrossRef] [PubMed]
- Katuwal, H.; Bohara, A.K. Biogas: A promising renewable technology and its impact on rural households in Nepal. Renew. Sustain. Energy Rev. 2009, 13, 2668–2674. [Google Scholar] [CrossRef]
- Cesur, R.; Tekin, E.; Ulker, A. Can natural gas save lives? Evidence from the deployment of a fuel delivery system in a developing country. J. Health Econ. 2018, 59, 91–108. [Google Scholar] [CrossRef]
- Hong, X.D.; Wu, S.N.; Zhang, X.L. Clean energy powers energy poverty alleviation: Evidence from Chinese micro-survey data. Technol. Forecast. Soc. Chang. 2022, 182, 121737. [Google Scholar] [CrossRef]
- Lamport, D.J.; Bewwaw, E.; Giao, M.S.; Chandra, S.; Orchard, F. Can air purification improve sleep quality? A 2-week randomised-controlled crossover pilot study in healthy adults. J. Sleep Res. 2022, 32, e13782. [Google Scholar] [CrossRef]
- Liao, W.; Liu, X.T.; Kang, N.; Song, Y.; Li, R.Y.; Song, X.Q.; Hou, X.Y.; Zhang, C.Y.; Huo, W.Q.; Mao, Z.X.; et al. Effect modification of kitchen ventilation on the associations of solid fuel use and long-duration cooking with the increased prevalence of depressive and anxiety symptoms: The Henan Rural Cohort Study. Indoor Air 2022, 32, e13016. [Google Scholar] [CrossRef]
- Deng, Y.; Gao, Q.; Yang, T.Y.; Wu, B.; Liu, Y.; Liu, R.X. Indoor solid fuel use and incident arthritis among middle-aged and older adults in rural China: A nationwide population-based cohort study—ScienceDirect. Sci. Total Environ. 2021, 772, 145395. [Google Scholar] [CrossRef]
- Liu, Z.M.; Li, J.; Rommel, J.; Feng, S.Y. Health impacts of cooking fuel choice in rural China. Energy Econ. 2020, 89, 104811. [Google Scholar] [CrossRef]
- Smith, K.R.; Pillarisetti, A. Household air pollution from solid cookfuels and its effects on health. In Injury Prevention and Environmental Health, 3rd ed.; The International Bank for Reconstruction and Development/The World Bank: Washington, DC, USA, 2017; pp. 133–152. [Google Scholar]
- Grossman, M. Concept of health capital and demand for health. J. Political Econ. 1972, 80, 223–255. [Google Scholar] [CrossRef]
- Liu, H. Health depreciation effect and medical cost effect of air pollution: Based on multidimensional health perspective. Air Qual. Atmos. Health 2022, 15, 877–892. [Google Scholar] [CrossRef]
- Sapci, O.; Shogren, J.F. Environmental quality, human capital and growth. J. Environ. Econ. Policy 2018, 7, 184–203. [Google Scholar] [CrossRef]
- Osinuga, A.; Hicks, C.; Ibitoye, S.E.; Schweizer, M.; Fethke, N.B.; Baker, K.K. A meta-analysis of the association between physical demands of domestic labor and back pain among women. BMC Women’s Health 2021, 21, 150. [Google Scholar] [CrossRef]
- Agüera-Ortiz, L.; Failde, I.; Mico, J.A.; Cervilla, J.; Lopez-Ibor, J.J. Pain as a symptom of depression: Prevalence and clinical correlates in patients attending psychiatric clinics. J. Affect. Disord. 2011, 130, 106–112. [Google Scholar] [CrossRef]
- Bair, M.J.; Robinson, R.L.; Katon, W.; Kroenke, K. Depression and pain comorbidity: A literature review. Arch. Intern. Med. 2003, 163, 2433–2445. [Google Scholar] [CrossRef]
- Harpham, T.; Grant, E.; Thomas, E. Measuring social capital within health surveys: Key issues. Health Policy Plan. 2002, 17, 106–111. [Google Scholar] [CrossRef]
- Rodgers, J.; Valuev, A.V.; Hswen, Y.; Subramanian, S.V. Social capital and physical health: An updated review of the literature for 2007–2018. Soc. Sci. Med. 2019, 236, 112360. [Google Scholar] [CrossRef]
- Uphoff, E.P.; Pickett, K.E.; Cabieses, B.; Small, N.; Wright, J. A systematic review of the relationships between social capital and socioeconomic inequalities in health: A contribution to understanding the psychosocial pathway of health inequalities. Int. J. Equity Health 2013, 12, 54. [Google Scholar] [CrossRef]
- Choi, E.; Han, K.M.; Chang, J.; Lee, Y.J.; Choi, K.W.; Han, C.S.; Ham, B.J. Social participation and depressive symptoms in community-dwelling older adults: Emotional social support as a mediator. J. Psychiatr. Res. 2021, 137, 589–596. [Google Scholar] [CrossRef]
- Rahut, D.B.; Das, S.; De Groote, H.; Behera, B. Determinants of household energy use in Bhutan. Energy 2014, 69, 661–672. [Google Scholar] [CrossRef]
- Lu, N.; Xu, S.C.; Zhang, J.Y. Community social capital, family social capital, and self-rated health among older rural Chinese adults: Empirical evidence from rural northeastern China. Int. J. Environ. Res. Public Health 2021, 18, 5516. [Google Scholar] [CrossRef] [PubMed]
- Zhao, Y.H.; Hu, Y.S.; Smith, J.P.; Strauss, J.; Yang, G.H. Cohort profile: The China Health and Retirement Longitudinal Study (CHARLS). Int. J. Epidemiol. 2014, 43, 61–68. [Google Scholar] [CrossRef] [PubMed]
- Miilunpalo, S.; Vuori, I.; Oja, P.; Pasanen, M.; Urponen, H. Self-rated health status as a health measure: The predictive value of self-reported health status on the use of physician services and on mortality in the working-age population. J. Clin. Epidemiol. 1997, 50, 517–528. [Google Scholar] [CrossRef]
- Kaplan, G.A.; Camacho, T. Perceived health and mortality: A 9-year follow-up of the human population laboratory cohort. J. Clin. Epidemiol. 1983, 117, 292–304. [Google Scholar] [CrossRef]
- Giles, J.; Mu, R. Elderly Parent health and the migration decisions of adult children: Evidence from rural China. Demography 2007, 44, 265–288. [Google Scholar] [CrossRef]
- Boey, K.W. Cross-validation of a short form of the CES-D in Chinese elderly. Int. J. Geriatr. Psychiatry 1999, 14, 608–617. [Google Scholar] [CrossRef]
- Lenore, S.R. The CES-D scale: A self-report depression scale for research in the general population. Appl. Psychol. Meas. 2016, 1, 385–401. [Google Scholar]
- WHO. Burning Opportunity: Clean Household Energy for Health, Sustainable Development, and Wellbeing of Women and Children; WHO: Geneva, Switzerland, 2016; pp. 16–44.
- Meyer, O.L.; Castro-Schilo, L.; Aguilar-Gaxiola, S. Determinants of mental health and self-rated health: A model of socioeconomic status, neighborhood safety, and physical activity. Am. J. Public Health 2014, 104, 1734–1741. [Google Scholar] [CrossRef]
- Zhu, X.D.; Zhu, Z.; Zhu, B.Z.; Wang, P. The determinants of energy choice for household cooking in China. Energy 2022, 260, 124987. [Google Scholar] [CrossRef]
- Dongzagla, A.; Adams, A. Determinants of urban household choice of cooking fuel in Ghana: Do socioeconomic and demographic factors matter? Energy 2022, 256, 124613. [Google Scholar] [CrossRef]
- Fang, L.M.; Liu, H.B. Solid fuels utilization, health equity and energy poverty alleviation in rural China. J. Agrotech. Econ. 2019, 291, 115–125. [Google Scholar]
- Heckman, J.J.; Ichimura, H.; Todd, P. Matching as an econometric evaluation estimator. Rev. Econ. Stud. 1998, 65, 261–294. [Google Scholar] [CrossRef]
- Gao, J.J.; Zhu, Y.S.; Wang, X. Effect of depression on labor force participation among middle-aged and elderly Chinese: An empirical study based on CHARLS panel data. Stud. Labor Econ. 2018, 6, 63–80. [Google Scholar]
- Alem, Y.; Beyene, A.D.; Kohlin, G.; Mekonnen, A. Modeling household cooking fuel choice: A panel multinomial logit approach. Energy Econ. 2016, 59, 129–137. [Google Scholar] [CrossRef]
- Hou, B.D.; Wu, J.W.; Mi, Z.F.; Ma, C.B.; Shi, X.P.; Liao, H. Cooking fuel types and the health effects: A field study in China. Energy Policy 2022, 167, 113012. [Google Scholar] [CrossRef]
- Yang, Z.M.; Zhuang, X.J.; Li, J.L.; Zhang, G.H.; Zhang, Y.Q.; Fu, L.F.; Li, C.Y. The relationship between cooking fuel and health status from the perspective of income heterogeneity: Evidence from China. Energy Environ. 2023. [CrossRef]
- Liao, W.; Liu, X.T.; Kang, N.; Song, Y.; Wang, L.L.; Yuchi, Y.H.; Huo, W.Q.; Mao, Z.X.; Hou, J.; Wang, C.J. Associations of cooking fuel types and daily cooking duration with sleep quality in rural adults: Effect modification of kitchen. Sci. Total Environ. 2022, 854, 158827. [Google Scholar] [CrossRef]
- He, X.X. Influence of cooking energy for people’s health in rural China: Based on CLDS data in 2014. Energy Rep. 2021, 7, 279–288. [Google Scholar] [CrossRef]
- Song, D.Y.; Li, D.F. The improvement of rural household fuel structure and residents’ health returns in China—Test based on CFPS data. J. Henan Univ. (Soc. Sci.) 2021, 61, 57–63. [Google Scholar]
- Xu, F.R.; Cohen, S.A.; Greaney, M.L.; Earp, J.E.; Delmonico, M.J. Longitudinal sex-specific physical function trends by age, race/ethnicity, and weight status. J. Am. Geriatr. Soc. 2020, 68, 2270–2278. [Google Scholar] [CrossRef] [PubMed]
- Luo, Y.N.; Zhong, Y.J.; Pang, L.H.; Zhao, Y.H.; Liang, R.; Zheng, X.Y. The effects of indoor air pollution from solid fuel use on cognitive function among middle-aged and older population in China. Sci. Total Environ. 2021, 754, 142460. [Google Scholar] [CrossRef] [PubMed]
- Rahut, D.B.; Behera, B.; Ali, A. Household energy choice and consumption intensity: Empirical evidence from Bhutan. Renew. Sustain. Energy Rev. 2015, 53, 993–1009. [Google Scholar] [CrossRef]
- Wang, Q.; Yang, Z.M. Does chronic disease influence susceptibility to the effects of air pollution on depressive symptoms in China? Int. J. Ment. Health Syst. 2018, 12, 33. [Google Scholar] [CrossRef] [PubMed]
- Wang, P.; Xu, M.T.; Liu, J.; Zhang, J.S. Impact of household energy consumption on health of the elderly in rural China. J. Beijing Inst. Technol. (Soc. Sci. Ed.) 2021, 23, 31–42. [Google Scholar]
- Lee, A.; Kinney, P.; Chillrud, S.; Jack, D. A systematic review of innate immunomodulatory effects of household air pollution secondary to the burning of biomass fuels. Ann. Glob. Health 2015, 81, 368–374. [Google Scholar] [CrossRef]
- Li, Z.; Yan, H.; Zhang, X.; Shah, S.F.; Yang, G.; Chen, Q.; Han, S.Z.; Zhang, D.; Weinberger, D.R.; Yue, W.H.; et al. Air pollution interacts with genetic risk to influence cortical networks implicated in depression. Proc. Natl. Acad. Sci. USA 2021, 118, e2109310118. [Google Scholar] [CrossRef]
- Tsang, A.; Von-Korff, M.; Lee, S.; Alonso, J.; Karam, E.; Angermeyer, M.C.; Borges, G.L.; Bromet, E.J.; Demytteneare, K.; de Girolamo, G.; et al. Common chronic pain conditions in developed and developing countries: Gender and age differences and comorbidity with depression-anxiety disorders. J. Pain 2008, 10, 883–891. [Google Scholar] [CrossRef]
- Zheng, Y.J.; Zhang, T.J.; Yang, X.Q.; Feng, Z.Y.; Feng, Q.; Xin, G.K.; Liu, J.F.; Nie, F.C.; Jin, H.X.; Liu, Y.Q. A survey of chronic pain in China. Libyan J. Med. 2020, 15, 1730550. [Google Scholar]
- Teh, J.K.L.; Tey, N.P. Effects of selected leisure activities on preventing loneliness among older Chinese. SSM Popul. Health 2019, 9, 100479. [Google Scholar] [CrossRef]
- Liu, P.H.; Han, C.F.; Teng, M.M. Does clean cooking energy improve mental health? Evidence from China. Energy Policy 2022, 166, 113011. [Google Scholar] [CrossRef]
- Jana, A.; Varghese, J.S.; Naik, G. Household air pollution and cognitive health among Indian older adults: Evidence from LASI. Environ. Res. 2022, 214, 113880. [Google Scholar] [CrossRef] [PubMed]



| SRH Score | CES-D Score | |||||
|---|---|---|---|---|---|---|
| (1) | (2) | (3) | (4) | (5) | (6) | |
| HCFC | 0.160 *** (0.023) | 0.104 *** (0.023) | 0.080 *** (0.023) | −1.460 *** (0.147) | −0.949 *** (0.146) | −0.799 *** (0.150) |
| Age | −0.012 *** (0.075) | −0.006 *** (0.001) | −0.005 *** (0.002) | 0.022 ** (0.009) | −0.032 *** (0.009) | −0.034 *** (0.010) |
| Gender | 0.165 *** (0.023) | 0.172 *** (0.036) | 0.167 *** (0.036) | −2.555 *** (0.146) | −2.298 *** (0.220) | −2.271 *** (0.220) |
| Married | 0.075 ** (0.037) | 0.022 (0.036) | 0.025 (0.036) | −1.928 *** (0.241) | −1.481 *** (0.235) | −1.492 *** (0.235) |
| Education | 0.011 *** (0.003) | 0.011 *** (0.003) | −0.146 *** (0.017) | −0.148 *** (0.017) | ||
| Insurance | −0.131 ** (0.056) | −0.119 ** (0.057) | 0.355 (0.347) | 0.298 (0.348) | ||
| Consumption | 0.008 ** (0.004) | 0.006 * (0.004) | −0.091 *** (0.026) | −0.080 *** (0.026) | ||
| Dibaohu | −0.234 *** (0.041) | −0.223 *** (0.041) | 2.377 *** (0.272) | 2.318 *** (0.272) | ||
| Childhood health | 0.107 *** (0.010) | 0.108 *** (0.010) | −0.553 *** (0.062) | −0.557 *** (0.062) | ||
| ADL | −0.836 *** (0.045) | −0.826 *** (0.045) | 5.110 *** (0.330) | 5.062 *** (0.331) | ||
| Smoke | −0.094 *** (0.034) | −0.089 *** (0.034) | 0.460 ** (0.210) | 0.435 ** (0.210) | ||
| Daughter number | −0.023 ** (0.010) | 0.058 (0.066) | ||||
| Toilet flushes | 0.108 *** (0.023) | −0.655 *** (0.146) | ||||
| R−square | 0.025 | 0.085 | 0.088 | 0.064 | 0.131 | 0.133 |
| Observation | 7959 | 7959 | 7959 | 7959 | 7959 | 7959 |
| (1) | (2) | (3) | (4) | |
|---|---|---|---|---|
| Panel 1: physical health | ||||
| SRH score | 0.104 *** (0.028) | 0.094 *** (0.027) | 0.104 *** (0.028) | 0.099 *** (0.026) |
| Observations | 7959 | 7959 | 7959 | 7959 |
| SRH-good | 0.033 *** (0.011) | 0.032 *** (0.011) | 0.032 *** (0.011) | 0.034 *** (0.011) |
| Observations | 7959 | 7959 | 7959 | 7959 |
| Panel 2: mental health | ||||
| CES-D score | −0.748 *** (0.184) | −0.780 *** (0.173) | −0.748 *** (0.184) | −0.780 *** (0.170) |
| Observations | 7959 | 7959 | 7959 | 7959 |
| Depression | −0.048 *** (0.013) | −0.050 *** (0.013) | −0.048 *** (0.013) | −0.049 *** (0.012) |
| Observations | 7959 | 7959 | 7959 | 7959 |
| Loneliness | −0.074 ** (0.029) | −0.083 *** (0.028) | −0.074 ** (0.029) | −0.078 *** (0.027) |
| Observations | 7959 | 7959 | 7959 | 7959 |
| HCFC | Physical Health | Mental Health | ||||
|---|---|---|---|---|---|---|
| (1) | (2) | (3) | (4) | (5) | (6) | |
| HCFC (IV: CCFU) | 0.923 *** (0.015) | 0.159 *** (0.046) | 0.070 *** (0.019) | −1.347 *** (0.290) | −0.103 *** (0.021) | −0.206 *** (0.047) |
| Control variables | Yes | Yes | Yes | Yes | Yes | Yes |
| R−square | 0.343 | 0.087 | 0.042 | 0.132 | 0.092 | 0.085 |
| Observation | 7959 | 7959 | 7959 | 7959 | 7959 | 7959 |
| SRH Score | CES-D Score | |||||||
|---|---|---|---|---|---|---|---|---|
| (1) | (2) | (3) | (4) | (5) | (6) | (7) | (8) | |
| Panel 1: by age | ||||||||
| Age < 75 (n = 7247) | 0.115 *** (0.030) | 0.099 *** (0.028) | 0.115 *** (0.030) | 0.106 *** (0.027) | −0.913 *** (0.194) | −0.814 *** (0.180) | −0.912 *** (0.194) | −0.784 *** (0.178) |
| Age ≥ 75 (n = 712) | 0.026 (0.096) | 0.040 (0.091) | 0.025 (0.094) | 0.004 (0.088) | −0.715 (0.745) | −0.674 (−0.605) | −0.530 (0.629) | −0.706 (0.585) |
| Panel 2: by education level | ||||||||
| Illiterate (n = 3793) | 0.062 (0.041) | 0.059 (0.038) | 0.062 (0.041) | 0.054 (0.037) | −0.732 *** (0.278) | −0.918 *** (0.258) | −0.712 *** (0.278) | −0.869 *** (0.251) |
| Educated (n = 4166) | 0.145 *** (0.039) | 0.126 *** (0.036) | 0.145 *** (0.039) | 0.129 *** (0.036) | −0.755 *** (0.239) | −0.795 *** (0.222) | −0.753 *** (0.239) | −0.752 *** (0.220) |
| Panel 3: by chronic diseases status | ||||||||
| None (n = 1532) | 0.038 (0.063) | 0.042 (0.061) | 0.033 (0.063) | 0.070 (0.058) | −0.419 (0.375) | −0.430 (0.359) | −0.474 (0.376) | −0.4481 (0.342) |
| Yes (n = 6427) | 0.072 ** (0.030) | 0.084 *** (0.028) | 0.072 ** (0.030) | 0.091 *** (0.028) | −0.822 *** (0.208) | −0.831 *** (0.194) | −0.825 *** (0.208) | −0.851 *** (0.190) |
| (1) | (2) | (3) | (4) | |
|---|---|---|---|---|
| Panel 1: chronic pain | ||||
| Feeling pain | −0.173 *** (0.036) | −0.190 *** (0.034) | −0.173 *** (0.036) | −0.197 *** (0.034) |
| Arm pain | −0.041 ** (0.017) | −0.050 *** (0.015) | −0.041 ** (0.017) | −0.054 *** (0.015) |
| Back pain | −0.051 *** (0.016) | −0.059 *** (0.015) | −0.051 *** (0.016) | −0.062 *** (0.015) |
| Knees pain | −0.035 ** (0.017) | −0.038 ** (0.016) | −0.035 ** (0.017) | −0.052 *** (0.014) |
| Panel 2: social interaction | ||||
| Social activities | 0.052 *** (0.014) | 0.044 *** (0.013) | 0.052 *** (0.014) | 0.047 *** (0.013) |
| Playing Ma−Jong/chess/cards | 0.051 *** (0.010) | 0.051 *** (0.009) | 0.051 *** (0.010) | 0.052 *** (0.009) |
| Interacting with friends | 0.023 * (0.013) | 0.022 * (0.012) | 0.023 * (0.013) | 0.022 * (0.012) |
| Going to a club | 0.016 *** (0.005) | 0.015 *** (0.005) | 0.016 *** (0.005) | 0.016 *** (0.005) |
Disclaimer/Publisher’s Note: The statements, opinions and data contained in all publications are solely those of the individual author(s) and contributor(s) and not of MDPI and/or the editor(s). MDPI and/or the editor(s) disclaim responsibility for any injury to people or property resulting from any ideas, methods, instructions or products referred to in the content. |
© 2023 by the authors. Licensee MDPI, Basel, Switzerland. This article is an open access article distributed under the terms and conditions of the Creative Commons Attribution (CC BY) license (https://creativecommons.org/licenses/by/4.0/).
Share and Cite
Chen, H.; Gu, S.; Jia, C.; Gu, H.; Xu, Q.; Lin, Z. Effects of Household Clean Fuel Combustion on the Physical and Mental Health of the Elderly in Rural China. Sustainability 2023, 15, 8275. https://doi.org/10.3390/su15108275
Chen H, Gu S, Jia C, Gu H, Xu Q, Lin Z. Effects of Household Clean Fuel Combustion on the Physical and Mental Health of the Elderly in Rural China. Sustainability. 2023; 15(10):8275. https://doi.org/10.3390/su15108275
Chicago/Turabian StyleChen, Huiying, Shuyan Gu, Cangcang Jia, Hai Gu, Qinglin Xu, and Zi Lin. 2023. "Effects of Household Clean Fuel Combustion on the Physical and Mental Health of the Elderly in Rural China" Sustainability 15, no. 10: 8275. https://doi.org/10.3390/su15108275
APA StyleChen, H., Gu, S., Jia, C., Gu, H., Xu, Q., & Lin, Z. (2023). Effects of Household Clean Fuel Combustion on the Physical and Mental Health of the Elderly in Rural China. Sustainability, 15(10), 8275. https://doi.org/10.3390/su15108275

