Abstract
Nitrogen (N) availability and soil microbiota exert significant impacts on plant metabolic systems and yield. Different studies have indicated that yield and nitrogen use efficiency (NUE) of pearl millet (Pennisetum glaucum L.R.Br.) can be improved by the inoculation of N-fixing bacteria. However, the interactive effects of different N sources and bacteria inoculation on growth, productivity, and NUE of pearl millet have been less explored. Therefore, individual and interactive effects of different N sources (organic and inorganic) and bacteria inoculation on growth, productivity, and NUE of pearl millet were investigated in this study. Two different N sources, i.e., organic (farmyard manure) and inorganic (urea) alone or in 50% + 50% combinations (urea + FYM), were used to supply the recommended amount of N. Similarly, seeds were inoculated with two different N-fixing bacteria, i.e., endobacteria (Enterobacter sp. MN17) and rhizobacteria (Stenotrophomonas maltophilia FA-9). Urea + farmyard manure (FYM) and seed inoculation rhizobacteria improved soil attributes, yield-related traits, grain quality, NUE, and net economic returns. Soil porosity was significantly improved by seed inoculation with both bacteria and FYM application. Similarly, seed inoculation with rhizobacteria increased soil organic carbon by 45.45% and 34.88% during the 1st and 2nd year of the study, respectively. Urea + FYM application combined with rhizobacteria seed inoculation improved the number of grains per ear (23.49 and 23.63%), 1000-grain weight (5.76% and 7.85%), grain yield (23.19% and 25.0%), and NUE (33.83 and 48.15%). Similarly, grain quality was significantly improved by seed inoculation with both bacteria. Likewise, urea + FYM combined with rhizobacteria improved nitrogen use efficiency (NUE) by 33.83% and 48.15% in 2020 and 2021, respectively, compared to no N application and no seed inoculation. The highest economic returns (1506.4 and 1506.9 USD) were noted for urea + FYM application combined with rhizobacteria seed inoculation. Therefore, urea + FYM application combined with rhizobacteria (S. maltophilia FA-9) seed inoculation seemed a viable approach to improve grain yield, grain quality, NUE, and net economic returns of pearl millet.
1. Introduction
Pearl millet (Pennisetum glaucum L.R.Br.) is a dry-region crop, mostly cultivated in the arid and semi-arid tropics of the world [1]. It can produce highly nutritious grains under adverse environmental conditions, including prolonged drought and intense heat. Pearl millet (millet hereafter) is mostly grown in soil with low organic matter content and water retention capacity, and high infiltration rate. Moreover, it is a dual-purpose crop grown for grain and fodder purposes. Millet is gaining significant importance and popularity due to its high nutritional value [2]. Millet seeds are composed of 12% protein, 69% carbohydrate, 5% lipids, 2.5% fiber, and 2.5% minerals [3]. Therefore, the crop can be used to develop value-added products for health-conscious consumers [4], as it is rich in fiber and beneficial for diabetic and cardiac patients.
The grain yield of millet in Pakistan is low compared to the rest of millet producing countries in the world [5,6]. Less use of fertilizers, unavailability of high-yielding cultivars, and cultivation on marginal lands are the major reasons for low yield in the country [7]. Nitrogen is one of the major macronutrients required in large quantities by crop plants [8]. Therefore, N availability at critical growth stages of crop plants is crucial for improving yields. Global N demand is rising at an annual rate of 1.5% due to the increasing food demands of the rapidly growing population [9]. However, excessive N application increases soil acidification and underground water contamination due to NO3− leaching [10]. It is known that ~50% of the applied N to crop plants is lost due to leaching and volatilization [11]. The N-use efficiency (NUE) of cereals ranges between 29 and 42%, indicating the heavy losses of applied N [12]. Therefore, increasing NUE has been a major focus of agricultural research [13].
Nitrogen application through combined inorganic and organic sources could be a promising approach for minimizing N losses. Moreover, the combined application of N through organic and inorganic sources could ensure higher crop productivity [14]. Several studies [15,16] have indicated that supplying half of the required N through organic and the remaining half with inorganic sources is a better combination for improving soil physio-chemical characteristics, nutrient uptake, and crop yields [17,18]. Organic fertilizers release nutrients slowly compared to inorganic fertilizers, which are quick nutrient sources. However, the use of organic fertilizers reduces eutrophication, groundwater contamination, and overfertilization [19].
The need to reduce dependency on inorganic N fertilizers in agriculture has stimulated investigation into alternative N sources [20]. Rhizobacteria and other plant microbial endophytes have been reported to aid in growth and development, prevent disease infestation, and improve tolerance to abiotic stresses [21,22]. Nevertheless, N-fixing bacteria play a crucial role in sustaining soil fertility and crop yields [23]. Diazotroph bacteria can fix atmospheric N into a plant-available form, and these have been identified from several genera, including Enterobacter [24,25] and Stenotrophomonas [26]. Furthermore, diazotroph bacteria possess several traits that promote plant growth and development, resulting in improved growth, and yield [25]. Rhizobacteria inhabit the rhizosphere of plants and transform, mobilize, and dissolve nutrients. They also exert a major impact on plant nutrient uptake and fertilizer use efficiency [27,28]. On the other hand, endobacteria reside inside the plants throughout or in a part of their life cycle without exerting any negative impacts [29]. Both bacteria improve plant growth through N-fixation, P solubilization, and the production of phytohormones [30]. Stenotrophomonas are Gram-negative bacteria and know to possess phosphate solubilizing ability. However, the N-fixing ability of S. maltophilia has been reported in different crops, including peanut, wheat, maize, and rice [31,32]. Similarly, improvements in plant growth have been reported with the inoculation of different Enterobacter species [33].
Bacteria with N-fixing abilities and those that make phosphorus and other nutrients more soluble and absorbable have been extensively utilized to boost nutrient use efficiency [34]. Inoculation of N-fixing bacteria has been reported to increase the NUE of different crops [35,36]. Earlier studies have utilized various bacteria to improve the productivity of millet. Inoculation of Serratia marcescens EB 67, Pseudomonas sp. CDB 35, and Bacillus circulans EB 35 increased millet plant weight by 56, 52, and 42%, respectively [37]. Similarly, the combined application of rice straw compost and EB 67 improved plant growth by 88%, whereas an 83% increase was noted for the combination of Gliricidia vermicompost and EB 67 [37]. In the same way, Wani et al. [38] reported that inoculation of N-fixing bacteria improved millet yield by up to 33% compared with non-inoculated plants. The increased output was linked to improved N assimilation in plants, which might have been induced by the growth-promoting substances secreted by these bacteria. Another study indicated that inoculation with N-fixing bacteria improved N uptake by 14.9 kg ha−1 in millet [39].
Organic manures could serve as food for microorganisms and help to maintain a positive nutritional balance, and improve soil physical characteristics [40,41]. Different rhizobacteria are used as biological fertilizers, which improve fertilizer use efficiency, ensure easier nutrient uptake, increase N-binding to the soil, and exert positive impacts on plant development [42]. Nitrogen-fixing bacteria inhabit the rhizosphere and supply a significant amount of N to plants [43]. Rhizobacteria improved the growth and yield of crop plants by fixing atmospheric N and improving NUE [44]. Nautiyal et al. [45] found that Bacillus lentimorbus improved the antioxidant capacity of spinach, carrot, and lettuce, and enhanced growth. Similarly, these bacteria are used to improve tolerance against plant diseases [46].
The beneficial impacts of N-fixing bacteria, rhizobacteria, inorganic nitrogen, and organic manure are well reported in the literature. However, little is known about the interactive effect of different N sources and N-fixing bacteria on the growth, productivity, and NUE of millet. Therefore, this study determined the interactive effect of the N-fixing rhizobacteria (RB), endobacteria (EB), and N sources on the growth, productivity, and profitability of pearl millet. It was hypothesized that the integrated application of N by organic and inorganic sources combined with N-fixing bacteria would improve soil fertility, growth, productivity, NUE, and net economic returns of millet.
2. Materials and Methods
2.1. Experimental Site
This two-year study was conducted at the Agronomic Research Farm, Bahauddin Zakariya University, Multan (30.1° N, 71.42° E, and 122 m above sea level), Pakistan, during millet growing seasons of 2020 and 2021.
2.2. Soil and Weather Attributes
Soil samples were collected from the experimental site to analyze the fertility status and crop nutrient requirements. The soil properties are presented in Table 1. The soil belonged to the Sindhlianwali soil series (fine silty, mixed, hyperthermic, and sodichaplocambids in USDA classification).
Table 1.
Soil properties of the experiment location before the initiation of experiments during both years of the study.
Weather data of the experiment duration were obtained from the weather station located at Central Cotton Research Institute, Multan, Pakistan, and presented in Figure 1.
Figure 1.
Weather data (monthly averages) of experimental site during millet cultivation seasons of 2020 and 2021.
2.3. Treatment Details
The experiment consisted of two factors (i.e., seed inoculation with N-fixing bacteria and N application through different sources). Seeds were inoculated either with N-fixing endobacteria (Enterobacter sp. MN17) or N-fixing rhizobacteria (Stenotrophomonas maltophilia), whereas non-inoculated seeds were regarded as control. The bacterial strains Enterobacter sp. MN17 (accession number KT375575) and S. maltophilia (accession number NR-041577.1) were obtained from the Soil and Environmental Microbiology Laboratory, University of Agriculture, Faisalabad, Pakistan (where they were isolated and identified). The bacterial strains were inoculated into 100 mL tryptic soy broth (TSB) medium in 250 mL Erlenmeyer flasks separately and shaken at 120 rpm for 24 h at 28 °C on an orbital shaker (Firstek Scientific, Tokyo, Japan). Cultures of both strains were collected by centrifugation at 6000 rpm for 20 min at 21 °C. Microbial population density was determined by turbidimetric method, and optical density (OD) was adjusted at 108 cells mL−1 broth (OD660 = 0.08) [47]. Arabic gum was used as an adherent for seed inoculation.
The second factor consisted of N application through different sources. The required N was supplied by inorganic (urea, 46% N), organic (farmyard manure), or 50% + 50% inorganic and organic sources. Similarly, no application of N was regarded as control. The farmyard manure (FYM) contained 2.74% nitrogen, 0.88% P2O5, and 1.19% K2O, whereas urea contained 46% N. It is recommended to apply 90 and 45 kg ha−1 N and P, respectively, for millet crops in Pakistan. Therefore, whole of the N was supplied by urea, FYM, or 50% by urea and 50% by FYM. The whole amount of P was supplied by triple super phosphate (TSP, 46% P2O5) to the crop, whereas N was supplied by urea. Similarly, the P supplied by FM was deducted, and remaining P was supplied by TSP in the treatments receiving 100 and 50% N from FYM. Likewise, all treatments received equal amount of K supplied by FYM in N application (100%) through FYM treatment. Muriate of potash (60% K2O) was used as K source in the study. The experiment was laid out according to randomized complete block design with split plot arrangements. The N sources were kept in main plots, whereas bacteria inoculation was randomized in sub-plots. The experiment had three replications during both years of the study.
2.4. Crop Husbandry
A pre-soaking irrigation locally known as ‘rouni’ (~100 mm depth) was applied during both years prior to crop sowing. When the field reached a workable moisture level, it was plowed and cultivated to prepare a fine seedbed. Seeds were sown on 21 June and 27 June in 2020 and 2021, respectively, by keeping row-to-row and plant-to-plant distances of 45 and 15 cm, respectively. Millet variety ‘NARC-Bajra’ was used, and seeds were purchased from Regional Agriculture Research Institute Bahawalpur (RARI) Pakistan. Seed rate was kept at 10 kg ha−1, and net plot size was 1.8 m × 4 m. Seeds were sown with the help of a manual drill after inoculation with bacteria according to the treatments. The extra plants were removed (thinning) 20 days after germination to maintain plant-to-plant distance. In total, six irrigations were applied during both years to avoid moisture stress. The crop was harvested on 5 and 10 October in 2020 and 2021, respectively.
2.5. Data Collection
2.5.1. Soil Properties
For soil analysis, three random samples (0–15 cm depth) were taken from each plot after crop harvest using a core sampler. The collected samples were dried in an oven at 105 °C for 48 h, and soil porosity, bulk density (g cm−3), soil organic carbon (mg kg–1) [48], and total N (Kjeldahl Method, spectrophotometer) [49] were determined.
Bulk density was recorded using the formula given by Blake et al. [50] as follows:
Here, BD = bulk density, m = mass of oven-dried soil sample, and v = volume of soil with pore space.
The soil porosity (%) was calculated by using the formula given by Danielson [51]:
Here, BD = bulk density and PD = particle density
2.5.2. Yield-Related Parameters
Ten plants were randomly selected in each experimental unit to compute the number of grains per ear and 1000-grain weight. Seeds were counted manually and weighed on an electric balance. The whole plots were harvested for the determination of grain and biological yields. The harvested plants were dried under sun for 4–5 days to record biological yield. Later, ear heads were threshed manually to obtain grain yield. Harvest index was then calculated by dividing grain yield by biological yield and expressed in percentage.
2.5.3. Grain Nutrient Analysis
Parkinson et al. [52] were followed for computing grain N contents. Protein contents were determined by multiplying N content with a constant factor of 6.25. Grain iron (Fe) and zinc (Zn) contents were measured by wet digestion method using Di-acid (HNO3+ HClO4). After digestion, the absorbance of the samples was measured on an Atomic Absorption Spectrophotometer (Hitachi Polarized Zeeman AAS, Z-8200, Tokyo, Japan) to obtain grain Fe and Zn contents.
2.5.4. Nitrogen Use Efficiency (NUE)
The NUE in grain was computed by using the formula given by Fageria et al. [53].
2.6. Statistical and Economic Analysis
The collected data were tested for normality and homogeneity of variance, which indicated a normal distribution and fulfilled the normality assumption of analysis of variance (ANOVA). The difference among years was tested by t test, which was significant; therefore, data from each year were analyzed, presented, and interpreted separately. Two-way ANOVA was used to test the significance of the data, and least significant difference test at 95% probability level was used to compare treatment means where ANOVA denoted significant differences among treatments [54]. Principal component analysis (PCA) was conducted for better visualization and easier interpretation of the data. The PCA was executed on all the recorded traits except economic returns for both years separately. An economic analysis of the applied treatments was conducted to infer the net economic returns and benefit/cost ratio following Shahzad et al. [55]. The costs incurred on land rent, seedbed preparation, seeds, fertilizers, irrigation, labor charges, fuel, harvesting, etc., were computed. Similarly, gross income was computed by using the existing market price of millet grains. Total costs were deducted from gross income to compute net income.
3. Results
3.1. Soil Properties
The individual and interactive effects of N sources and bacteria inoculation had a significant effect on soil bulk density and porosity. Overall, the highest increase in the soil bulk density (7.64% and 7.09% in 2020 and 2021, respectively) was noted for N application by urea (urea hereafter), whereas N application by FYM (FYM hereafter) decreased bulk density by 2.08% and 1.42% in 2020 and 2021, respectively. Combined application of 50% urea and 50% FYM (urea + FYM hereafter) increased soil bulk density by 2.78% and 4.26% in 2020 and 2021, respectively. Seed inoculation with endobacteria (EB hereafter) increased soil bulk density by 0.67% and 0.68%, whereas seed inoculation with rhizobacteria (RB hereafter) decreased soil bulk density by 6.67% and 6.12% in 2020 and 2021, respectively (Figure S1). The interactive effect of N sources and bacteria inoculation indicated that seed inoculation with RB decreased soil bulk density under all N sources, whereas EB inoculation increased soil bulk density with FYM in the 1st year and with urea + FYM in the 2nd year (Figure S1).
Soil porosity was improved by bacteria inoculation and FYM application. Overall, seed inoculation with both bacteria improved soil porosity compared to non-inoculated seeds. However, FYM application and control (no N application) treatment had the highest soil porosity, whereas urea and urea + FYM application decreased soil porosity compared to control treatment during both years (Figure S2). Seed inoculation with RB combined with FYM application resulted in the highest soil porosity during both years. The lowest soil porosity was recorded for urea application with or without bacteria inoculation during both years (Figure S2).
The individual and interactive effects of N sources and bacteria inoculation had a significant effect on soil organic carbon (SOC). The FYM application resulted in the highest SOC during both years of the study, whereas the control treatment recorded the lowest SOC. The FYM application increased SOC by 39.13% and 40.00% compared to the control treatment in the 1st and 2nd years of the study, respectively. Similarly, seed inoculation with both bacteria improved SOC compared to non-inoculated seeds. Seeds inoculated with EB improved SOC by 43.18% and 44.19%, while inoculation with RB increased SOC by 45.45% and 34.88% during the 1st and 2nd year of the study, respectively. Regarding interactive effect, FYM with EB or no seed inoculation and urea with RB inoculation resulted in the highest SOC, while urea and control treatment without seed inoculation resulted in the lowest values of SOC during both years (Figure S3).
Soil-available N was significantly altered by individual and interactive effects of N sources and bacteria inoculation during both years. Overall, urea + FYM application and seed inoculation with RB resulted in the highest values of soil-available N during both years of the study. Urea + FYM application increased soil-available N by 250.00% and 233.33%, whereas seed inoculation with RB improved it by 185.71% and 212.50% in 2020 and 2021 compared to respective control treatments. Regarding interactive effect, urea + FYM combined with RB resulted in the highest soil-available N during both years of the study, whereas the remaining treatments had similar amounts of soil-available N. Urea + FYM application improved soil-available N by 237.50% and 211.11% in 2020 and 2021 compared to no N application by no seed inoculation interaction (Figure S4).
3.2. Yield and Related Traits
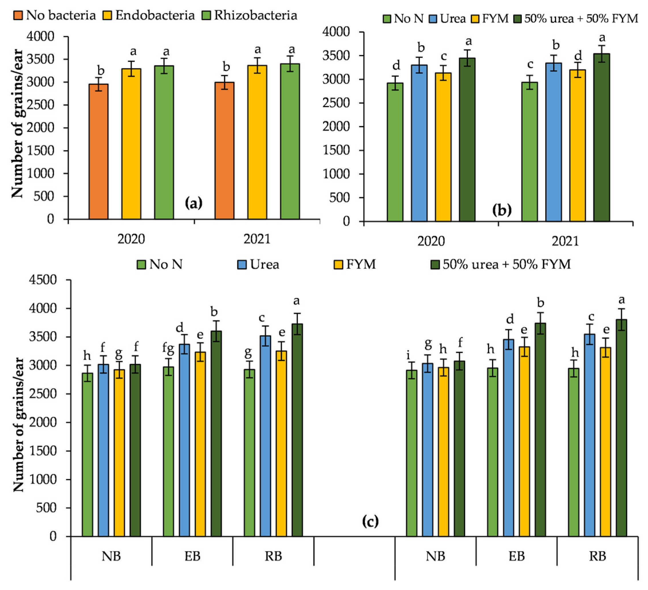
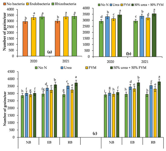
Yield-related traits were significantly affected by individual and interactive effects of N sources and bacteria inoculation during both years (except for the non-significant effect of bacteria inoculation and N sources by bacteria inoculation interaction on harvest index in 2020). Overall, the highest number of grains per ear was recorded for urea + FYM application and seed inoculation with RB during both years. Urea + FYM application improved the number of grains per year by 18.00% and 20.46%, while seed inoculation with RB increased the number of grains per year by 13.57% and 13.55% in 2020 and 2021, respectively, compared to control treatment. Nitrogen sources by bacteria inoculation interaction revealed that urea + FYM combined with RB inoculation resulted in the highest values of the number of grains per ear, whereas no N application without bacteria inoculation recorded the lowest values in this regard during both years. Urea + FYM combined with RB inoculation improved the number of grains per ear by 23.49% and 23.63% in 2020 and 2021, respectively (Figure 2).
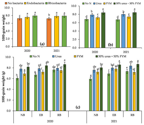
Figure 2.
The impact of nitrogen-fixing bacteria inoculation (a), different nitrogen sources (b), and their interaction (c) on number of grains per ear of millet. The values are means ± SE (n = 3). The means with same letters are statistically non-significant (p > 0.05). Here, FYM = farmyard manure; NB = no bacteria inoculation; EB = seed inoculation with endobacteria; and RB = seed inoculation with rhizobacteria.
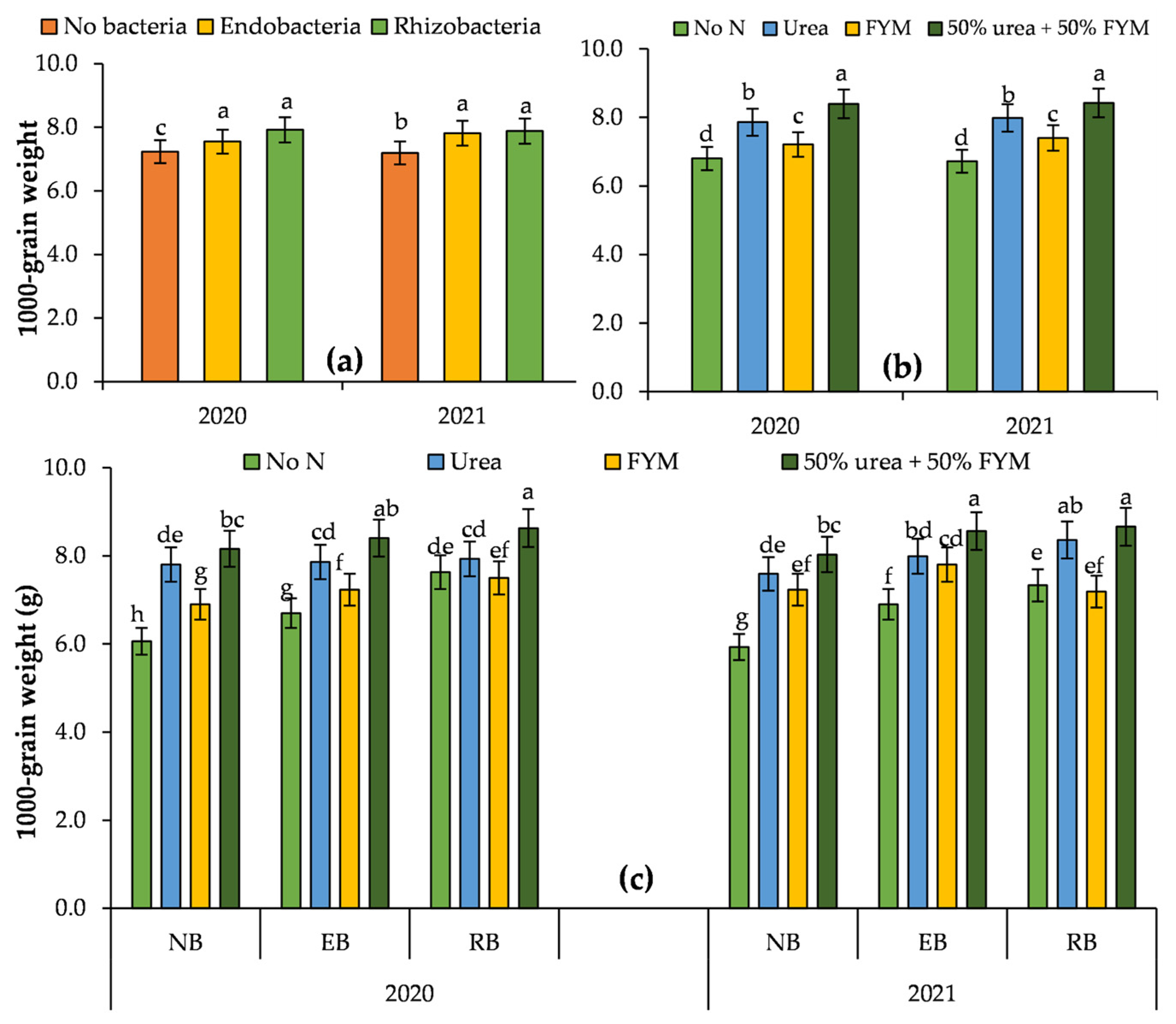
The individual and interactive effects of N sources and bacteria inoculation significantly affected 1000-grain weight during both years. Overall, urea + FYM application and seed inoculation with both N-fixing bacteria resulted in the highest values of 1000-grain weight during both years. Urea + FYM application increased 1000-grain weight by 23.38% and 25.30% in 2020 and 2021, respectively, whereas seed inoculation with both bacteria improved it by 4.43–9.60% compared to the control treatment. Regarding the interactive effect, urea + FYM combined with both bacteria inoculation resulted in the highest 1000-grain weight during both years (Figure 3).
Figure 3.
The impact of nitrogen-fixing bacteria inoculation (a), different nitrogen sources (b), and their interaction (c) on 1000-grain weight of millet. The values are means ± SE (n = 3). The means with same letters are statistically non-significant (p > 0.05). Here, FYM = farmyard manure; NB = no bacteria inoculation; EB = seed inoculation with endobacteria; and RB = seed inoculation with rhizobacteria.
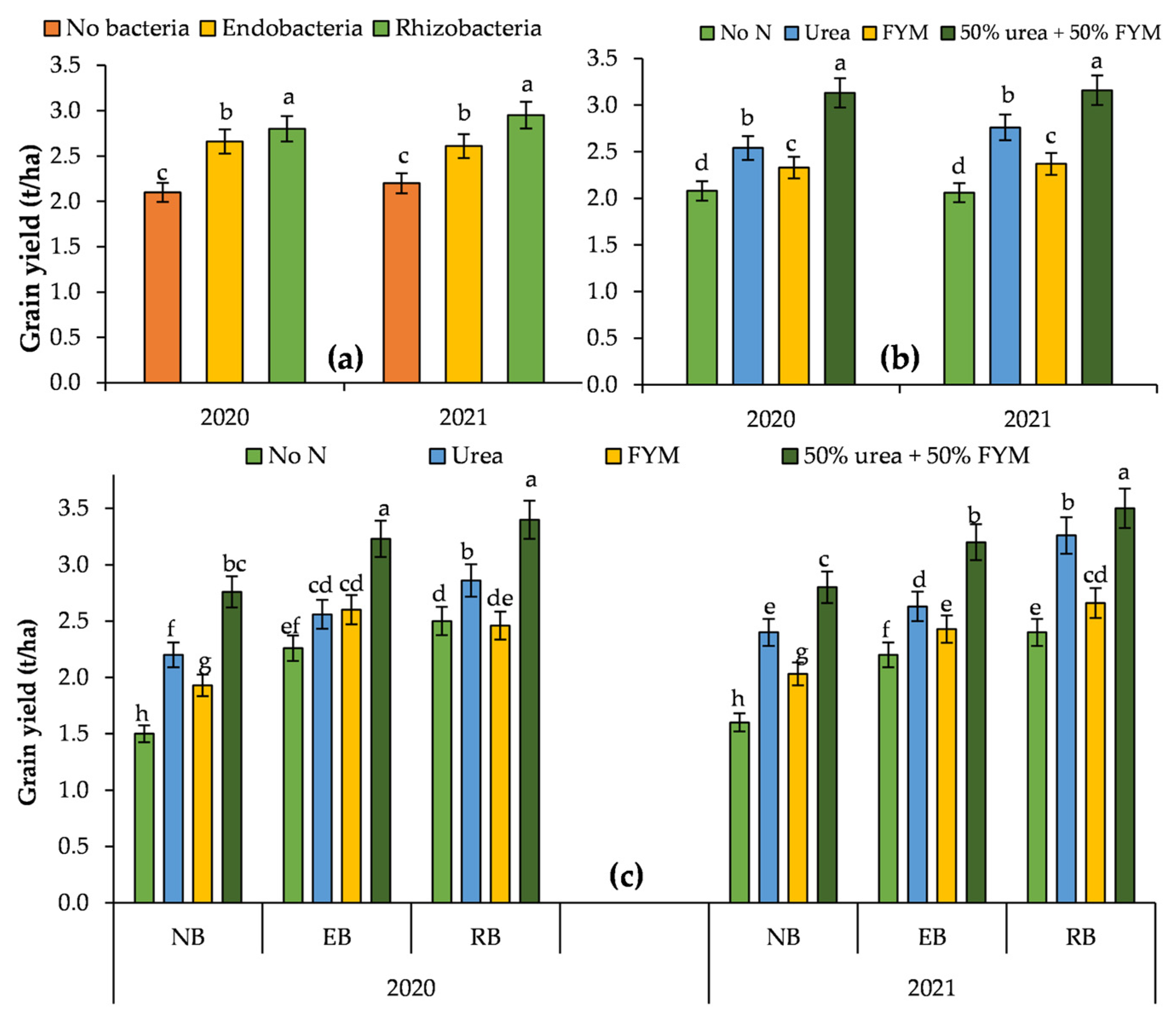
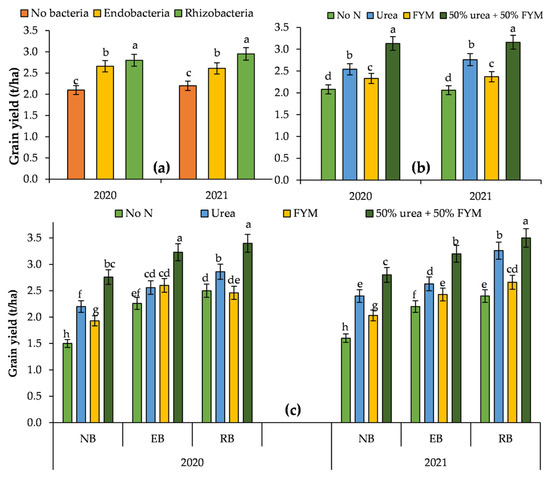
Grain yield was significantly altered by individual and interactive effects of N sources and bacteria inoculation during each year. Generally, the highest grain yield was recorded with urea + FYM application and seed inoculation with RB during both years. The increase in grain yield was 50.48% and 53.40% with the application of urea + FYM, whereas RB inoculation improved grain yield by 33.33% and 34.09% in 2020 and 2021, respectively, compared to control treatments. Similarly, urea + FYM by RB interaction recorded the highest values for grain yield during both years, and the improvement was 23.19 and 25.00% in 2020 and 2021 compared to no N application by no seed inoculation interaction (Figure 4).
Figure 4.
The impact of nitrogen-fixing bacteria inoculation (a), different nitrogen sources (b), and their interaction (c) on grain yield of millet. The values are means ± SE (n = 3). The means with same letters are statistically non-significant (p > 0.05). Here, FYM = farmyard manure; NB = no bacteria inoculation; EB = seed inoculation with endobacteria; and RB = seed inoculation with rhizobacteria.
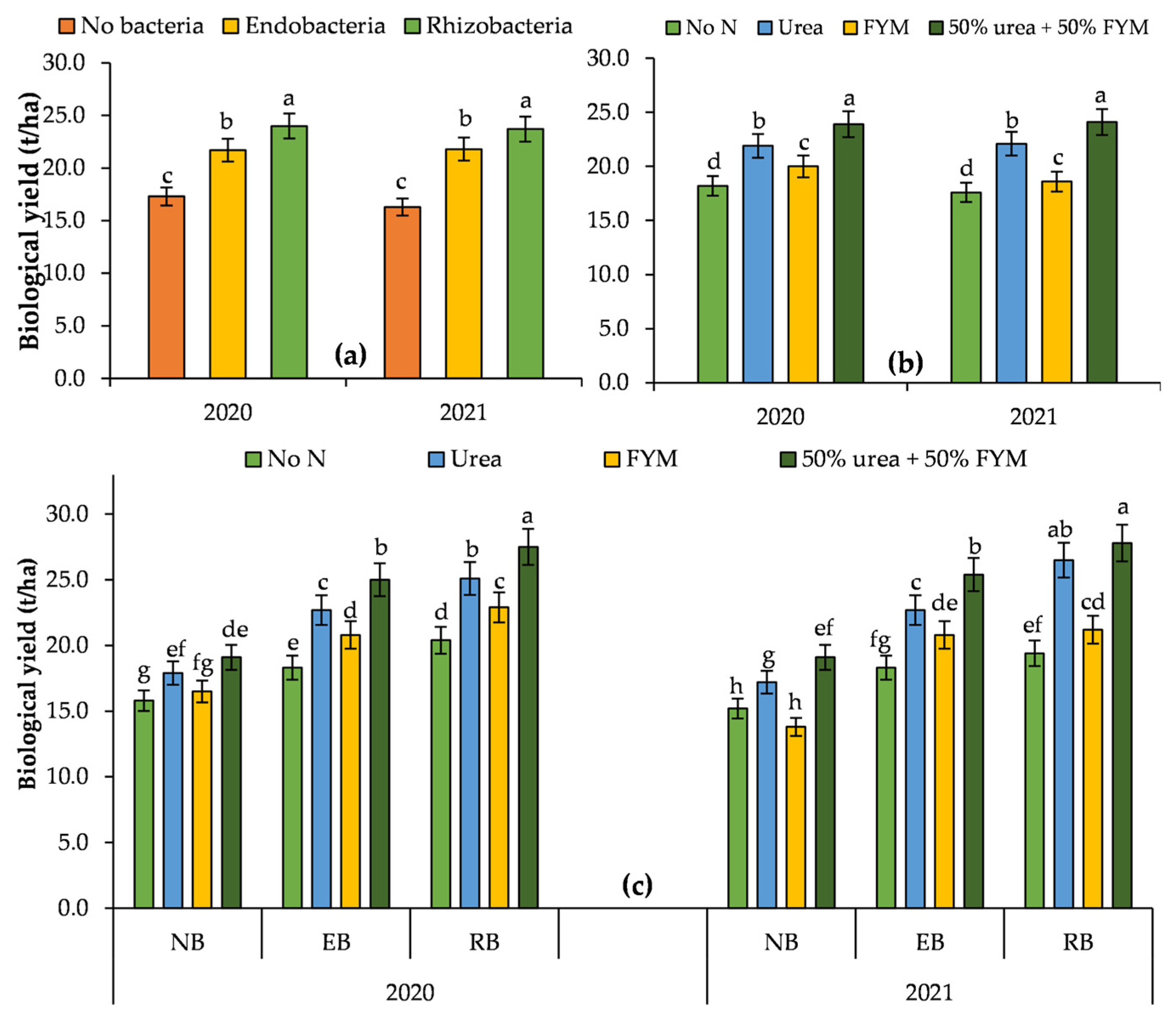
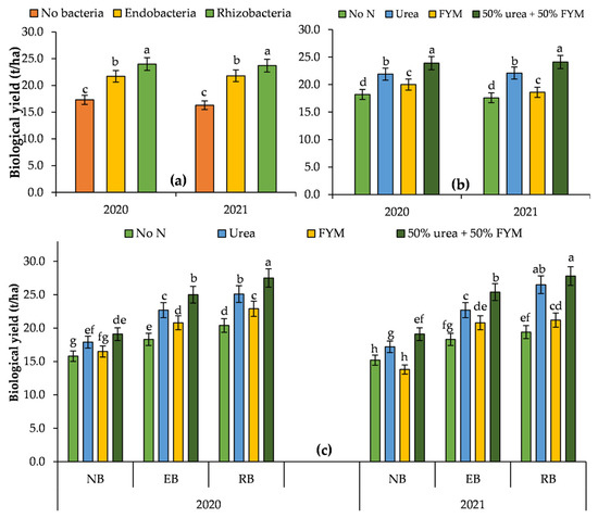
The biological yield was significantly affected by individual and interactive effects of N sources and bacteria inoculation during both years. Overall, urea + FYM application and seed inoculation with RB resulted in the highest values of biological yield during both years. Urea + FYM application increased biological yield by 31.32% and 36.93%, whereas seed inoculation with RB improved it by 38.73% and 45.40% in 2020 and 2021, respectively, compared to control treatments. Regarding the interactive effect, urea + FYM combined with RB seed inoculation resulted in the highest biological yield during both years of the study. The biological yield was increased by 43.98% and 45.55% in 2020 and 2021, respectively, compared to no N application by no seed inoculation interaction (Figure 5).
Figure 5.
The impact of nitrogen-fixing bacteria inoculation (a), different nitrogen sources (b), and their interaction (c) on biological yield of millet. The values are means ± SE (n = 3). The means with same letters are statistically non-significant (p > 0.05). Here, FYM = farmyard manure; NB = no bacteria inoculation; EB = seed inoculation with endobacteria; and RB = seed inoculation with rhizobacteria.
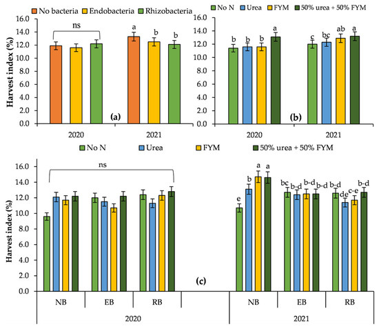
The Harvest index was not affected by individual and interactive effects of N sources and bacteria inoculation in 2020, while significantly affected in 2021. Overall, urea + FYM application and no seed inoculation resulted in the highest values of harvest index in 2021. Urea + FYM application increased harvest by 10%. Regarding the interactive effect, urea + FYM and FYM combined with no seed inoculation resulted in the highest harvest index (Figure 6).
Figure 6.
The impact of nitrogen-fixing bacteria inoculation (a), different nitrogen sources (b), and their interaction (c) on harvest index of millet. The values are means ± SE (n = 3). The means with same letters are statistically non-significant (p > 0.05). Here, FYM = farmyard manure; NB = no bacteria inoculation; EB = seed inoculation with endobacteria; and RB = seed inoculation with rhizobacteria.
3.3. Grain Quality Parameters
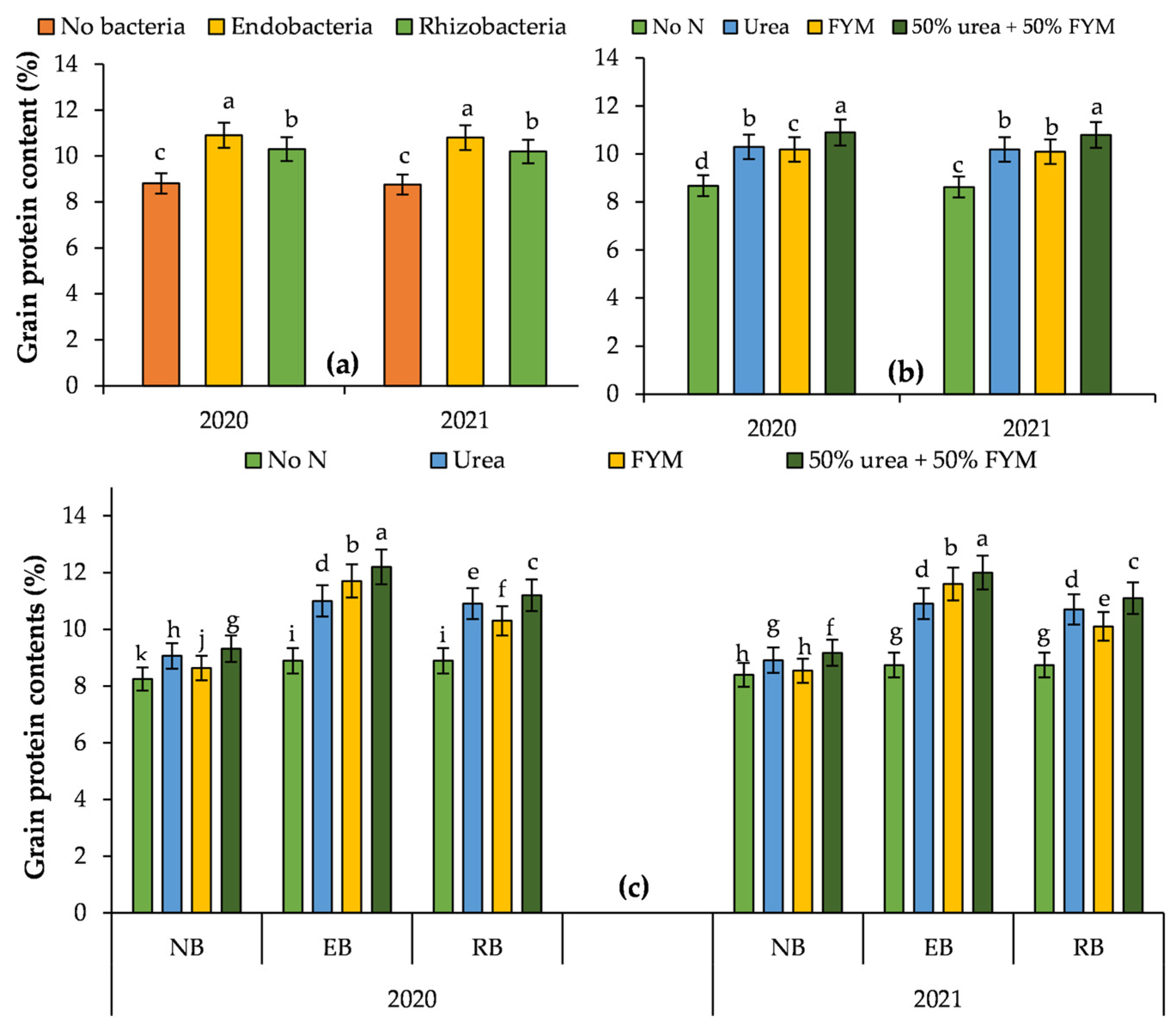
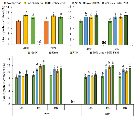
The individual and interactive effects of N sources and bacteria inoculation had a significant effect on grain protein contents during both years. Overall, urea + FYM application and seed inoculation with EB resulted in the highest values of grain protein contents during each year. Urea + FYM application increased grain protein contents by 25.58% and 25.14%, whereas seed inoculation with EB improved it by 16.91% and 16.44% in 2020 and 2021, respectively, compared to control treatments. Regarding the interactive effect, urea + FYM combined with EB seed inoculation resulted in the highest grain protein contents during both years of the study. The grain protein contents were increased by 30.90% and 30.86% in 2020 and 2021, respectively, compared to no N application by no seed inoculation interaction (Figure 7).
Figure 7.
The impact of nitrogen-fixing bacteria inoculation (a), different nitrogen sources (b), and their interaction (c) on grain protein contents of millet. The values are means ± SE (n = 3). The means with same letters are statistically non-significant (p > 0.05). Here, FYM = farmyard manure; NB = no bacteria inoculation; EB = seed inoculation with endobacteria; and RB = seed inoculation with rhizobacteria.
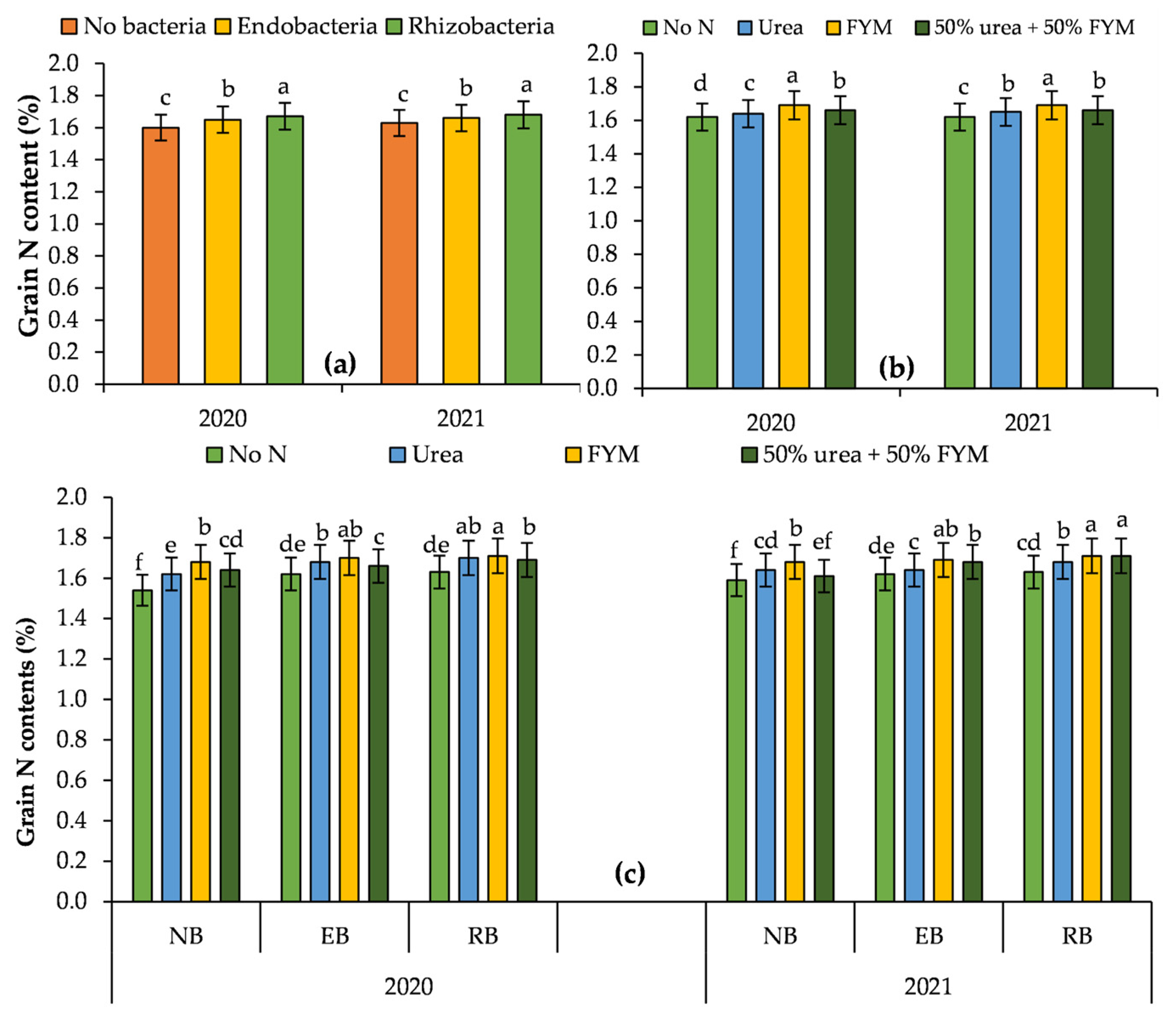
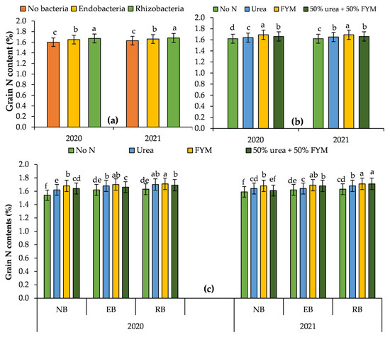
Grain N contents were significantly affected by individual and interactive effects of N sources and bacteria inoculation during both years. Overall, FYM application and seed inoculation with RB resulted in the highest values of grain N contents during both years. FYM application increased grain N contents by 4.32% and 4.32%, whereas seed inoculation with RB improved it by 4.37% and 3.07% in 2020 and 2021, respectively, compared to control treatments. Regarding the interactive effect, FYM combined with RB seed inoculation resulted in the highest grain N contents during both years of the study (Figure 8).
Figure 8.
The impact of nitrogen-fixing bacteria inoculation (a), different nitrogen sources (b), and their interaction (c) on grain nitrogen contents of millet. The values are means ± SE (n = 3). The means with same letters are statistically non-significant (p > 0.05). Here, FYM = farmyard manure; NB = no bacteria inoculation; EB = seed inoculation with endobacteria; and RB = seed inoculation with rhizobacteria.
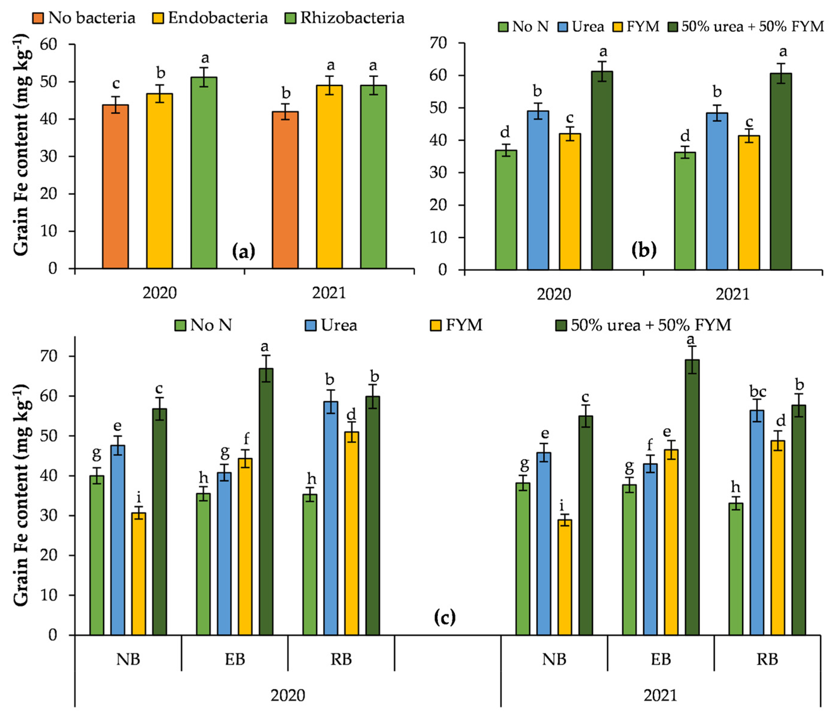
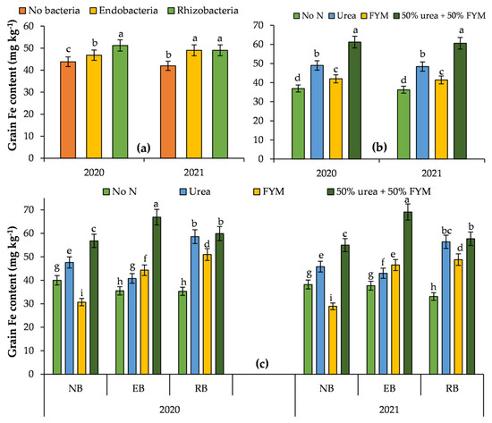
The individual and interactive effects of N sources and bacteria inoculation had a significant effect on grain iron (Fe) contents during both years. Overall, urea + FYM application and seed inoculation with RB in the 1st year and inoculation with both bacteria in both years resulted in the highest values of grain Fe contents. Urea + FYM application increased grain Fe contents by 66.85% and 66.94% in 2020 and 2021, respectively, compared to the control treatment. Similarly, seed inoculation with RB increased grain Fe contents by 16.89% in 2020, whereas both bacteria improved it by 16.67% in 2021. Regarding the interactive effect, urea + FYM combined with EB seed inoculation resulted in the highest grain Fe contents during both years of the study. The grain Fe contents were increased by 44.30% and 60.90% in 2020 and 2021, respectively, compared to no N application by no seed inoculation interaction (Figure 9).
Figure 9.
The impact of nitrogen-fixing bacteria inoculation (a), different nitrogen sources (b), and their interaction (c) on grain iron content of millet. The values are means ± SE (n = 3). The means with same letters are statistically non-significant (p > 0.05). Here, FYM = farmyard manure; NB = no bacteria inoculation; EB = seed inoculation with endobacteria; and RB = seed inoculation with rhizobacteria.
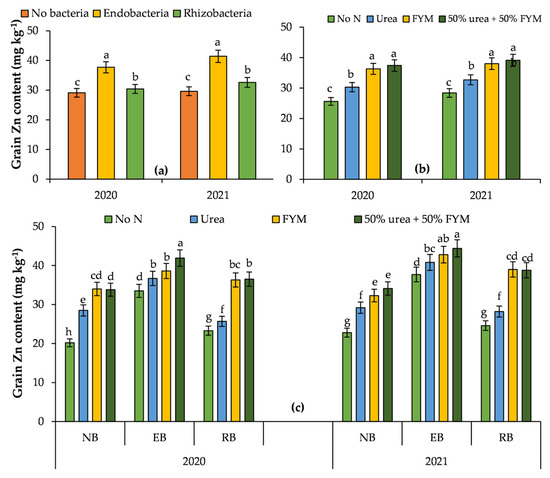
The individual and interactive effects of N sources and bacteria inoculation had a significant effect on grain zinc (Zn) contents during both years. Overall, FYM and urea + FYM application and seed inoculation with EB resulted in the highest values of grain Zn contents during each year. Urea + FYM application increased grain Zn contents by 46.09% and 37.68%, whereas FYM increased these contents by 41.80% and 33.30% in the 1st and 2nd years, respectively. Similarly, seed inoculation with EB improved grain Zn contents by 29.55% and 33.86% in 2020 and 2021, respectively, compared to no bacteria inoculation. Regarding the interactive effect, urea + FYM combined with EB seed inoculation resulted in the highest grain Zn contents during both years of the study. The grain Zn contents were increased by 23.96% and 30.21% in 2020 and 2021, respectively, compared to no N application by no seed inoculation interaction (Figure 10).
Figure 10.
The impact of nitrogen-fixing bacteria inoculation (a), different nitrogen sources (b), and their interaction (c) on grain zinc contents of millet. The values are means ± SE (n = 3). The means with same letters are statistically non-significant (p > 0.05). Here, FYM = farmyard manure; NB = no bacteria inoculation; EB = seed inoculation with endobacteria; and RB = seed inoculation with rhizobacteria.
3.4. Nitrogen Use Efficiency
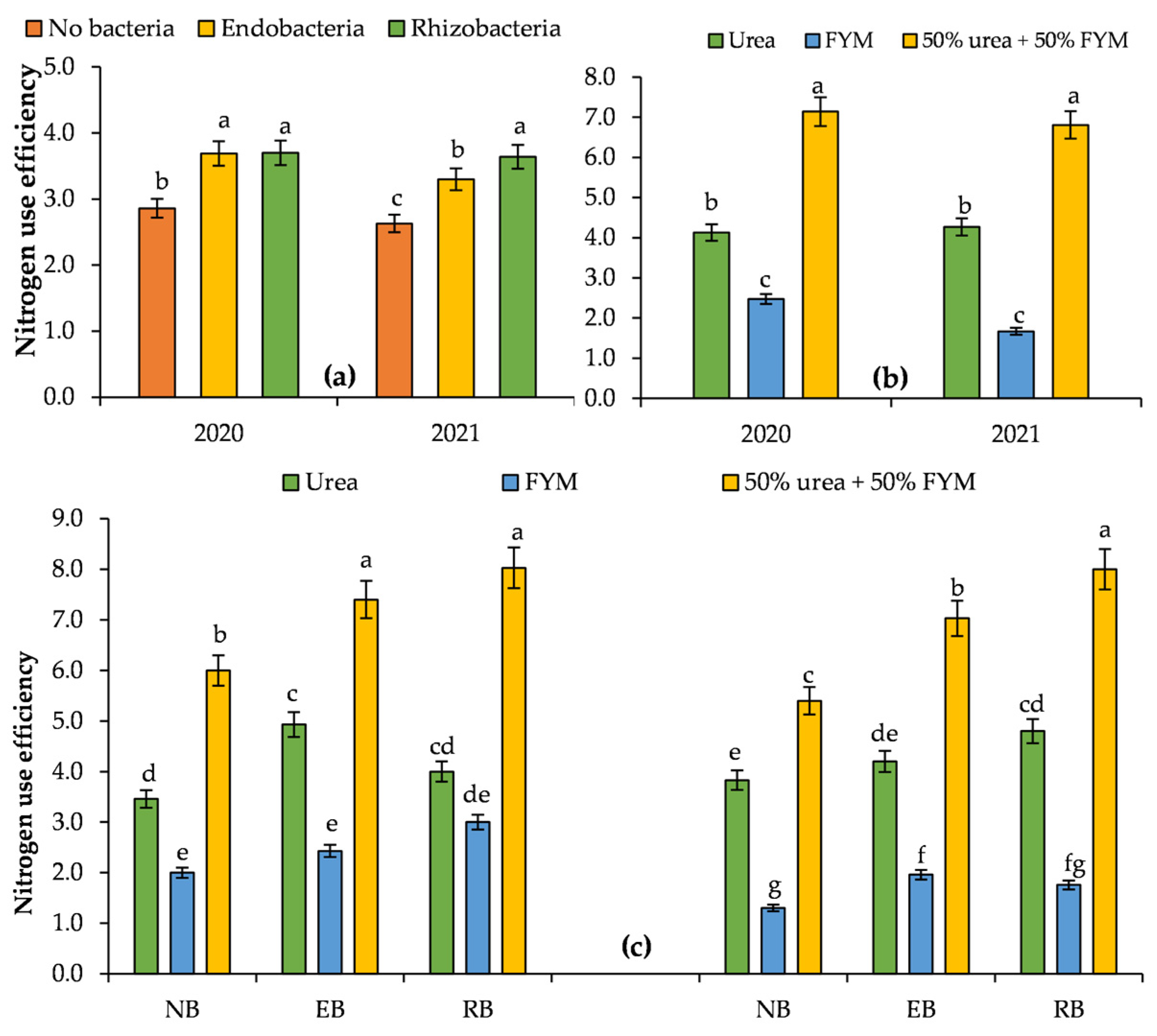
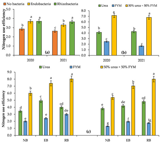
The individual and interactive effects of N sources and bacteria inoculation had a significant effect on nitrogen use efficiency (NUE) during both years. Overall, urea + FYM application and seed inoculation with RB in the highest values of NUE during both years. Seed inoculation with RB increased NUE by 29.37% and 38.40% in 2020 and 2021, respectively, compared to no bacteria inoculation. Regarding the interactive effect, urea + FYM combined with RB seed inoculation resulted in the highest NUE during both years of the study. The NUE increased by 33.83% and 48.15% in 2020 and 2021, respectively, compared to no N application by no seed inoculation interactions (Figure 11).
Figure 11.
The impact of nitrogen-fixing bacteria inoculation (a), different nitrogen sources (b), and their interaction (c) on nitrogen use efficiency of millet crop. The values are means ± SE (n = 3). The means with same letters are statistically non-significant (p > 0.05). Here, FYM = farmyard manure; NB = no bacteria inoculation; EB = seed inoculation with endobacteria; and RB = seed inoculation with rhizobacteria.
3.5. Multivariate Analysis
Principal component analysis (PCA) executed on growth, yield, and grain quality traits of millet crop grown under individual and interactive effects of different nitrogen sources and nitrogen-fixing bacteria inoculation resulted in three and four principal components (PCs) with eigenvalues >1 in 2020 and 2021, respectively. The three PCs explained 80.46% variation in the data in 2020, whereas the four PCs in 2021 explained 85.69% variation in the data. The factor loadings (>0.70) indicated that the first PC was positively influenced by the number of grains per ear, 1000-grain weight, grain and biological yields, grain N, protein and Fe contents, and NUE. Similarly, the second PC was positively influenced by soil porosity and available N, whereas it was negatively affected by soil bulk density. This indicated that these variables explained most of the variation in 2020 data.
Like 2020, the number of grains per ear, 1000-grain weight, grain and biological yields, grain protein and Fe contents, and NUE positively influenced PC1 of 2021 PCA. Similarly, the second PC was positively influenced by soil porosity and negatively by soil bulk density, indicating that these variables were responsible for most of the variation in the data (Table S1).
The biplot of the first two PCs of 2020 PCA divided the studied traits into two different groups. The first group was composed of yield-related and grain-quality traits, and it was influenced by FYM combined with seed inoculation with both bacteria and urea + FYM combined with RB. The second group consisted of grain Fe contents, 1000-grain weight, and NUE, and this group was influenced by urea combined with RB and EB, and urea + FYM with EB or no bacteria (Figure 12). The biplot of 2021 PCA also indicated similar results (Figure 13). Hence, FYM alone or combined with urea coupled with RB improved the yield and quality of millet.
Figure 12.
Biplot of first two components of principal component analysis executed on growth, yield, and grain quality traits of millet crop grown under individual and interactive effects of different nitrogen sources and nitrogen-fixing bacteria inoculation in 2020. Here, FYM = farmyard manure; NB = no bacteria inoculation; EB = seed inoculation with endobacteria; RB = seed inoculation with rhizobacteria; NUE = nitrogen use efficiency; and TGW = 1000-grain weight.
Figure 13.
Biplot of first two components of principal component analysis executed on growth, yield, and grain quality traits of millet crop grown under individual and interactive effects of different nitrogen sources and nitrogen-fixing bacteria inoculation in 2021. Here, FYM = farmyard manure; NB = no bacteria inoculation; EB = seed inoculation with endobacteria; RB = seed inoculation with rhizobacteria; NUE = nitrogen use efficiency; and TGW = 1000-grain weight.
3.6. Economic Analysis
The interactive effect of different N sources and bacteria inoculation improved the economic returns of millet. Urea + FYM combined with RB inoculation resulted in the highest benefit/cost ratio during both years (Table 2).
Table 2.
Interactive effect of different nitrogen sources and bacteria inoculation on net economic returns and benefit/cost ratio of pearl millet in 2020 and 2021.
4. Discussion
The results indicated that N application by combined inorganic and organic sources coupled with seed inoculation with rhizobacteria significantly improved yield-related traits and grain quality. These results indicate that N should be supplied through combined organic and inorganic sources. Different N sources exerted varying impacts on soil properties. The application of urea alone reduced macro aggregate stability and moisture retention capacity and increased the soil bulk density, which is attributed to small soil aggregates and increased soil microspores in the absence of organic manures. Inorganic fertilizers combined with organic fertilizers or seed inoculation with bacteria enhanced soil porosity and soil organic carbon. Organic manures improve soil aggregation and increase the ratio of macropores to micropores, thus increasing soil aeration and hydraulic properties [56,57]. These improvements were evident in the current study. Moreover, increased soil aeration and water retention capacity improve soil microbial activities [58], which increases organic manures’ decomposition of nutrients’ availability to plants [59]. Soil-available N improved under urea + FYM application combined with RB seed inoculation. This improvement is attributed to improved soil aeration [60], as microbes help in nutrient mobilization and availability of N [61]. Improved soil structure can be attributed to the presence of N-fixing bacteria in the soil. Elevated N concentrations have the potential to stimulate the proliferation of advantageous microorganisms, thereby fostering a more resilient and heterogeneous microbiota within the soil. The enhancement of soil conditions can lead to improved water retention and nutrient cycling, thereby facilitating increased crop yields. Furthermore, organic manures might provide a food source for microorganisms, which in turn would assist in keeping the soil’s nutrient levels stable and enhance its physical properties [40,41]. Nitrogen fixation, P solubilization, and production of phytohormones are the other possible reasons for improved growth and productivity of millet with bacteria inoculation [30]. It has been reported that introducing N-fixing bacteria into the soil may improve crop NUE [35,36]. Previous research has shown that several different bacteria may be used to increase millet yield.
Yield and related traits of millet were improved with urea + FYM application and seed inoculation with RB. The increased growth and yield traits are attributed to improved soil conditions [62,63] and higher nutrient availability because of seed inoculation with RB [56,64]. The number of grains per ear, 1000-grain weight, grain, and biological yields were increased under urea + FYM application combined with RB. These improvements are linked with continuous nutrient availability as FYM slowly releases N, and leaching or volatilization losses are reduced [65,66]. Furthermore, seed inoculation with RB bacteria improved N availability in soil by fixing atmospheric N. Consequently, plants had a continuous supply of N, resulting in enhanced growth and an increased yield of grains. Narendra and Ritu [65] reported that poultry manure, along with inorganic fertilizers, improved the grain yield of millet on Vertisols. Hence, the utilization of RB represents a sustainable and ecologically sound approach to enhancing soil fertility. The use of RB can lower the dependency on synthetic N-fertilizers and help in reducing input costs, soil deterioration, water contamination, and the release of greenhouse gases.
The results revealed that urea + FYM application combined with RB inoculation improves N concentration in grains and NUE. Farmyard manure releases N and other nutrients slowly, whereas N is readily available from urea. Both bacteria increased N uptake by fixing atmospheric N into a plant-available form. Organic and inorganic fertilizers combined with N-fixing bacteria help plants to expand their roots and absorb N from the soil [7,67,68]. According to Walia et al. [69], the integrated nutrient management technique increased available N and P by 171.7 to 219.3 kg ha−1, resulting in a positive influx of nutrients.
Grain quality traits, i.e., grain protein and Fe and Zn contents, significantly increased with the application of FYM or urea + FYM combined with seed inoculation of both bacteria included in the current study. Improvement in grain quality traits is attributed to higher N availability. The FYM application helps microorganisms in increasing N availability. Organic fertilizers influence the absorption of available micronutrients in the soil [70]. Application of 100% and 50% N through farmyard manure significantly increased grain Fe and Zn contents. Similar results were found by Narendra and Ritu [65], who reported that maximum contents of Fe (47.72 mg kg−1) and Zn (34.02 mg kg−1) were noticed under the treatment of 100% RDN through vermicompost.
5. Conclusions
The results of the current study revealed that N application through urea + FYM (50% + 50%) combined with RB inoculation significantly increased soil health, yield-related traits, grain quality, and economic returns of pearl millet. Nitrogen application through urea + FYM significantly increased grain yield (23.19% and 25.0%) and NUE (33.83 and 48.15%) compared with no N application and no seed inoculation. Similarly, the highest economic returns (USD 1506.4 and 1506.9) were noted for urea + FYM application combined with RB seed inoculation. Therefore, the application of N through urea + FYM (50% + 50%) coupled with RB seed inoculation seemed a viable approach for improving the productivity and profitability of pearl millet. However, more field studies are recommended under different agro-ecological conditions to make a general recommendation.
Supplementary Materials
The following supporting information can be downloaded at: https://www.mdpi.com/article/10.3390/su15108248/s1, Figure S1: The impact of nitrogen-fixing bacteria inoculation (a), different nitrogen sources (b) and their interaction (c) on soil bulk density after the harvest of millet crop. The values are means ± SE (n = 3). The means with same letters are statistically non-significant (p > 0.05). Here, FYM = farmyard manure; NB = No bacteria inoculation, EB = seed inoculation with endobacteria, and RB = seed inoculation with rhizobacteria; Figure S2: The impact of nitrogen-fixing bacteria inoculation (a), different nitrogen sources (b) and their interaction (c) on soil porosity after the harvest of millet crop. The values are means ± SE (n = 3). The means with same letters are statistically non-significant (p > 0.05). Here, FYM = farmyard manure; NB = No bacteria inoculation, EB = seed inoculation with endobacteria, and RB = seed inoculation with rhizobacteria; Figure S3: The impact of nitrogen-fixing bacteria inoculation (a), different nitrogen sources (b) and their interaction (c) on soil organic carbon after the harvest of millet crop. The values are means ± SE (n = 3). The means with same letters are statistically non-significant (p > 0.05). Here, FYM = farmyard manure; NB = No bacteria inoculation, EB = seed inoculation with endobacteria, and RB = seed inoculation with rhizobacteria; Figure S4: The impact of nitrogen-fixing bacteria inoculation (a), different nitrogen sources (b) and their interaction (c) on soil available nitrogen after the harvest of millet crop. The values are means ± SE (n = 3). The means with same letters are statistically non-significant (p > 0.05). Here, FYM = farmyard manure; NB = No bacteria inoculation, EB = seed inoculation with endobacteria, and RB = seed inoculation with rhizobacteria; Table S1: Factor loadings and variability explained by different components of the principal component analysis executed on growth, yield and grain quality traits of millet crop grown under individual and interactive effects of different nitrogen sources and nitrogen fixing bacteria inoculation.
Author Contributions
Conceptualization, S.U.-A., M.N., S.F., N.S. and M.H.; data curation, A.D.; formal analysis, A.M., S.U.-A., S.F., N.S. and M.H.; investigation, A.M.; methodology, A.M., S.U.-A., M.N. and M.H.; resources, M.N. and M.H.; software, A.D. and S.F.; supervision, M.H.; validation, A.D.; visualization, A.D. and N.S.; writing—original draft, A.D.; writing—review and editing, A.M., S.U.-A., M.N., S.F., N.S. and M.H. All authors have read and agreed to the published version of the manuscript.
Funding
This research received no external funding.
Institutional Review Board Statement
Not applicable.
Informed Consent Statement
Not applicable.
Data Availability Statement
All data are within the manuscript and supporting information files.
Conflicts of Interest
The authors declare no conflict of interest.
References
- Reddy, P.S.; Satyavathi, C.T.; Khandelwal, V.; Patil, H.T.; Gupta, P.C.; Sharma, L.D.; Mungra, K.D.; Singh, S.P.; Narasimhulu, R.; Bhadarge, H.H.; et al. Performance and Stability of Pearl Millet Varieties for Grain Yield and Micronutrients in Arid and Semi-Arid Regions of India. Front. Plant Sci. 2021, 12, 670201. [Google Scholar] [CrossRef] [PubMed]
- Hassan, Z.M.; Sebola, N.A.; Mabelebele, M. The Nutritional Use of Millet Grain for Food and Feed: A Review. Agric. Food Secur. 2021, 10, 16. [Google Scholar] [CrossRef] [PubMed]
- Asmare, B.; Demeke, S.; Tolemariam, T.; Tegegne, F.; Haile, A.; Wamatu, J. Effects of Altitude and Harvesting Dates on Morphological Characteristics, Yield and Nutritive Value of Desho Grass (Pennisetum pedicellatum Trin.) in Ethiopia. Agric. Nat. Resour. 2017, 51, 148–153. [Google Scholar] [CrossRef]
- Yadav, R.S.; Sehgal, D.; Vadez, V. Using genetic mapping and genomics approaches in understanding and improving drought tolerance in pearl millet. J. Exp. Bot. 2011, 62, 397–408. [Google Scholar] [CrossRef] [PubMed]
- Pattanashetti, S.K.; Upadhyaya, H.D.; Dwivedi, S.L.; Vetriventhan, M.; Reddy, K.N. Pearl Millet. In Genetic and Genomic Resources for Grain Cereals Improvement; Elsevier: Amsterdam, The Netherlands, 2016; pp. 253–289. [Google Scholar]
- GOP. Economic Survey of Pakistan; Economic Advisory Wing: Islamabad, Pakistan, 2021. [Google Scholar]
- Majeed, A.; Farooq, M.; Naveed, M.; Hussain, M. Combined Application of Inorganic and Organic Phosphorous with Inoculation of Phosphorus Solubilizing Bacteria Improved Productivity, Grain Quality and Net Economic Returns of Pearl Millet (Pennisetum glaucum [L.] R. Br.). Agronomy 2022, 12, 2412. [Google Scholar] [CrossRef]
- Pujarula, V.; Pusuluri, M.; Bollam, S.; Das, R.R.; Ratnala, R.; Adapala, G.; Thuraga, V.; Rathore, A.; Srivastava, R.K.; Gupta, R. Genetic Variation for Nitrogen Use Efficiency Traits in Global Diversity Panel and Parents of Mapping Populations in Pearl Millet. Front. Plant Sci. 2021, 12, 625915. [Google Scholar] [CrossRef]
- FAO. World Fertilizer Trends and Outlook to 2020; FAO: Rome, Italy, 2020. [Google Scholar]
- Núñez, P.A.; Demanet, R.; Misselbrook, T.H.; Alfaro, M.; Mora, M.d.l.L. Nitrogen Losses under Different Cattle Grazing Frequencies and Intensities in a Volcanic Soil of Southern Chile. Chil. J. Agric. Res. 2010, 70, 237–250. [Google Scholar] [CrossRef]
- Singh, A.; Maji, S.; Kumar, S. Effect of Biofertilizers on Yield and Biomolecules of Anti-Cancerous Vegetable Broccoli. Int. J. Bio-Resour. Stress Manag. 2014, 5, 262. [Google Scholar] [CrossRef]
- Raun, W.R.; Johnson, G. V Improving Nitrogen Use Efficiency for Cereal Production. Agron. J. 1999, 91, 357–363. [Google Scholar] [CrossRef]
- Fan, X.; Zhang, S.; Mo, X.; Li, Y.; Fu, Y.; Liu, Z. Effects of Plant Growth-Promoting Rhizobacteria and N Source on Plant Growth and N and P Uptake by Tomato Grown on Calcareous Soils. Pedosphere 2017, 27, 1027–1036. [Google Scholar] [CrossRef]
- Begizew, G. Role of Integrated Nutrient Management for Enhancing Nitrogen Use Efficiency in Crop. Open J. Plant Sci. 2020, 5, 1–12. [Google Scholar] [CrossRef]
- Bhatt, M.; Singh, A.P.; Singh, V.; Kala, D.C.; Kumar, V. Long-Term Effect of Organic and Inorganic Fertilizers on Soil Physico-Chemical Properties of a Silty Clay Loam Soil under Rice-Wheat Cropping System in Tarai Region of Uttarakhand. J. Pharmacogn. Phytochem. 2019, 8, 2113–2118. [Google Scholar]
- Tiwari, A.; Singh, N.B.; Kumar, A. Effect of Integrated Nutrient Management (INM) on Soil Properties, Yield and Economics of Rice (Oryza sativa L.). Res. J. Env. Life Sci. 2017, 10, 640–644. [Google Scholar]
- Ul-Allah, S.; Khan, A.A.; Fricke, T.; Buerkert, A.; Wachendorf, M. Fertilizer and Irrigation Effects on Forage Protein and Energy Production under Semi-Arid Conditions of Pakistan. Field Crops Res. 2014, 159, 62–69. [Google Scholar] [CrossRef]
- Ul-Allah, S.; Khan, A.A.; Fricke, T.; Buerkert, A.; Wachendorf, M. Effect of Fertiliser and Irrigation on Forage Yield and Irrigation Water Use Efficiency in Semi-Arid Regions of Pakistan. Exp. Agric. 2015, 51, 485–500. [Google Scholar] [CrossRef]
- Shaji, H.; Chandran, V.; Mathew, L. Organic Fertilizers as a Route to Controlled Release of Nutrients. In Controlled Release Fertilizers for Sustainable Agriculture; Elsevier: Amsterdam, The Netherlands, 2021; pp. 231–245. [Google Scholar]
- Li, H.-B.; Singh, R.K.; Singh, P.; Song, Q.-Q.; Xing, Y.-X.; Yang, L.-T.; Li, Y.-R. Genetic Diversity of Nitrogen-Fixing and Plant Growth Promoting Pseudomonas Species Isolated from Sugarcane Rhizosphere. Front. Microbiol. 2017, 8, 1268. [Google Scholar] [CrossRef]
- Glick, B.R. Plant Growth-Promoting Bacteria: Mechanisms and Applications. Scientifica 2012, 2012, 963401. [Google Scholar] [CrossRef] [PubMed]
- Paungfoo-Lonhienne, C.; Lonhienne, T.G.A.; Yeoh, Y.K.; Webb, R.I.; Lakshmanan, P.; Chan, C.X.; Lim, P.; Ragan, M.A.; Schmidt, S.; Hugenholtz, P. A New Species of B Urkholderia Isolated from Sugarcane Roots Promotes Plant Growth. Microb. Biotechnol. 2014, 7, 142–154. [Google Scholar] [CrossRef]
- Figueiredo, G.G.O.; Lopes, V.R.; Fendrich, R.C.; Szilagyi-Zecchin, V.J. Interaction between Beneficial Bacteria and Sugarcane. In Plant-Microbe Interactions in Agro-Ecological Perspectives; Springer: Singapore, 2017; pp. 1–27. [Google Scholar]
- Zhu, B.; Zhou, Q.; Lin, L.; Hu, C.; Shen, P.; Yang, L.; An, Q.; Xie, G.; Li, Y. Enterobacter Sacchari Sp. Nov., a Nitrogen-Fixing Bacterium Associated with Sugar Cane (Saccharum officinarum L.). Int. J. Syst. Evol. Microbiol. 2013, 63, 2577–2582. [Google Scholar] [CrossRef]
- Guo, D.-J.; Singh, R.K.; Singh, P.; Li, D.-P.; Sharma, A.; Xing, Y.-X.; Song, X.-P.; Yang, L.-T.; Li, Y.-R. Complete Genome Sequence of Enterobacter Roggenkampii ED5, a Nitrogen Fixing Plant Growth Promoting Endophytic Bacterium with Biocontrol and Stress Tolerance Properties, Isolated from Sugarcane Root. Front. Microbiol. 2020, 11, 580081. [Google Scholar] [CrossRef]
- Xing, Y.X.; Wei, C.Y.; Mo, Y.; Yang, L.T.; Huang, S.L.; Li, Y.R. Nitrogen-Fixing and Plant Growth-Promoting Ability of Two Endophytic Bacterial Strains Isolated from Sugarcane Stalks. Sugar Tech. 2016, 18, 373–379. [Google Scholar] [CrossRef]
- Hayat, R.; Ali, S.; Amara, U.; Khalid, R.; Ahmed, I. Soil Beneficial Bacteria and Their Role in Plant Growth Promotion: A Review. Ann. Microbiol. 2010, 60, 579–598. [Google Scholar] [CrossRef]
- Zewide, I. Role of Bio-Fertilizer for Maximizing Productivity of Selected Horticultural Crops. J. Agri. Res. Adv. 2019, 102, 1–18. [Google Scholar]
- Wilson, D. Endophyte: The Evolution of a Term, and Clarification of Its Use and Definition. Oikos 1995, 73, 274. [Google Scholar] [CrossRef]
- Lebeis, S.L. The Potential for Give and Take in Plant-microbiome Relationships. Front. Plant Sci. 2014, 5, 287. [Google Scholar] [CrossRef]
- Alexander, A.; Singh, V.K.; Mishra, A.; Jha, B. Plant Growth Promoting Rhizobacterium Stenotrophomonas Maltophilia BJ01 Augments Endurance against N2 Starvation by Modulating Physiology and Biochemical Activities of Arachis Hypogea. PLoS ONE 2019, 14, e0222405. [Google Scholar] [CrossRef]
- Park, M.; Kim, C.; Yang, J.; Lee, H.; Shin, W.; Kim, S.; Sa, T. Isolation and Characterization of Diazotrophic Growth Promoting Bacteria from Rhizosphere of Agricultural Crops of Korea. Microbiol. Res. 2005, 160, 127–133. [Google Scholar] [CrossRef]
- Berger, B.; Patz, S.; Ruppel, S.; Dietel, K.; Faetke, S.; Junge, H.; Becker, M. Successful Formulation and Application of Plant Growth-Promoting Kosakonia Radicincitans in Maize Cultivation. Biomed. Res. Int. 2018, 2018, 6439481. [Google Scholar] [CrossRef]
- Rashid, M.I.; Mujawar, L.H.; Shahzad, T.; Almeelbi, T.; Ismail, I.M.I.; Oves, M. Bacteria and Fungi Can Contribute to Nutrients Bioavailability and Aggregate Formation in Degraded Soils. Microbiol. Res. 2016, 183, 26–41. [Google Scholar] [CrossRef]
- Çağlar, Ö.; Bulut, S. Determination of Efficiency Parameters of Barley Inoculated with Phosphorous-Solubilizing and Nitrogen-Fixing Bacteria. Gesunde Pflanz. 2022, 1–9. [Google Scholar] [CrossRef]
- Bulut, S. Evaluation of Efficiency Parameters of Phosphorous-Solubilizing and N-Fixing Bacteria Inoculations in Wheat (Triticum aestivum L.). Turk. J. Agric. For. 2013, 37, 734–743. [Google Scholar] [CrossRef]
- Hameeda, B.; Rupela, O.P.; Reddy, G.; Satyavani, K. Application of Plant Growth-Promoting Bacteria Associated with Composts and Macrofauna for Growth Promotion of Pearl Millet (Pennisetum glaucum L.). Biol. Fertil. Soils 2006, 43, 221–227. [Google Scholar] [CrossRef]
- Wani, S.P.; Chandrapalaih, S.; Zambre, M.A.; Lee, K.K. Association between N2-Fixing Bacteria and Pearl Millet Plants: Responses, Mechanisms and Persistence. Plant Soil 1988, 110, 289–302. [Google Scholar] [CrossRef]
- Wani, S.P.; Chandrapalaiah, S.; Dart, P.J. Response of Pearl Millet Cultivars to Inoculation with Nitrogen-Fixing Bacteria. Exp. Agric. 1985, 21, 175–182. [Google Scholar] [CrossRef]
- Singh, V.B.; Tiwari, A.K. Effect of Integrated Nutrient Management (INM) on Physico-Chemical Properties of Soil, Available Content and Nutrient Uptake by Okra (Abelmoschus esculentus). Int. J. Curr. Microbiol. Appl. Sci. 2019, 8, 130–137. [Google Scholar] [CrossRef]
- Yildirim, E. Effects of Plant Growth-Promoting Rhizobacteria (PGPR) and Different Fertilizer Combinations on Yield and Quality Properties in Cauliflower (Brassica oleracea L. Var. Botrytis)*. Akad. Ziraat Derg. 2022, 11, 35–46. [Google Scholar] [CrossRef]
- Turan, M.; Ekinci, M.; Yildirim, E.; Güneş, A.; Karagöz, K.; Kotan, R.; Dursun, A. Plant Growth-Promoting Rhizobacteria Improved Growth, Nutrient, and Hormone Content of Cabbage (Brassica oleracea) Seedlings. Turk. J. Agric. For. 2014, 38, 327–333. [Google Scholar] [CrossRef]
- Aasfar, A.; Bargaz, A.; Yaakoubi, K.; Hilali, A.; Bennis, I.; Zeroual, Y.; Meftah Kadmiri, I. Nitrogen Fixing Azotobacter Species as Potential Soil Biological Enhancers for Crop Nutrition and Yield Stability. Front. Microbiol. 2021, 12, 628379. [Google Scholar] [CrossRef]
- Bhattacharyya, P.N.; Jha, D.K. Plant Growth-Promoting Rhizobacteria (PGPR): Emergence in Agriculture. World J. Microbiol. Biotechnol. 2012, 28, 1327–1350. [Google Scholar] [CrossRef]
- Nautiyal, C.S.; Govindarajan, R.; Lavania, M.; Pushpangadan, P. Novel Mechanism of Modulating Natural Antioxidants in Functional Foods: Involvement of Plant Growth Promoting Rhizobacteria NRRL B-30488. J. Agric. Food Chem. 2008, 56, 4474–4481. [Google Scholar] [CrossRef]
- Zhuang, X.; Chen, J.; Shim, H.; Bai, Z. New Advances in Plant Growth-Promoting Rhizobacteria for Bioremediation. Environ. Int. 2007, 33, 406–413. [Google Scholar] [CrossRef] [PubMed]
- Bhuvaneswari, T.V.; Turgeon, B.G.; Bauer, W.D. Early Events in the Infection of Soybean (Glycine max L. Merr) by Rhizobium japonicum: I. Localization Of Infectible Root Cells. Plant Physiol. 1980, 66, 1027–1031. [Google Scholar] [CrossRef] [PubMed]
- Walkley, A.; Black, I.A. An Examination of the Degtjareff Method for Determining Soil Organic Matter, and a Proposed Modification of the Chromic Acid Titration Method. Soil Sci. 1934, 37, 29–38. [Google Scholar] [CrossRef]
- Bremner, J.M. Determination of Nitrogen in Soil by the Kjeldahl Method. J. Agric. Sci. 1960, 55, 11–33. [Google Scholar] [CrossRef]
- Blake, G.R.; Hartge, K.H. Bulk Density. Methods Soil Anal. Part 1 Phys. Mineral. Methods 1986, 5, 363–375. [Google Scholar]
- Danielson, R.E.; Sutherland, P.L. Porosity. Methods Soil Anal. Part 1 Phys. Mineral. Methods 1986, 5, 443–461. [Google Scholar]
- Parkinson, J.A.; Allen, S.E. A Wet Oxidation Procedure Suitable for the Determination of Nitrogen and Mineral Nutrients in Biological Material. Commun. Soil Sci. Plant Anal. 1975, 6, 1–11. [Google Scholar] [CrossRef]
- Fageria, N.K.; Filho, M.P.B.; Moreira, A.; Guimarães, C.M. Foliar Fertilization of Crop Plants. J. Plant Nutr. 2009, 32, 1044–1064. [Google Scholar] [CrossRef]
- Steel, R.G.D.; Torrie, J.H.; Dickey, D. Principles and Procedure of Statistics. A Biometrical Approach, 3rd ed.; McGraw Hill Book Co. Inc.: New York, NY, USA, 1997; pp. 352–358. [Google Scholar]
- Shahzad, M.; Hussain, M.; Farooq, M.; Farooq, S.; Jabran, K.; Nawaz, A. Economic Assessment of Conventional and Conservation Tillage Practices in Different Wheat-Based Cropping Systems of Punjab, Pakistan. Environ. Sci. Pollut. Res. 2017, 24, 24634–24643. [Google Scholar] [CrossRef]
- Mahmood, F.; Khan, I.; Ashraf, U.; Shahzad, T.; Hussain, S.; Shahid, M.; Abid, M.; Ullah, S. Effects of Organic and Inorganic Manures on Maize and Their Residual Impact on Soil Physico-Chemical Properties. J. Soil Sci. Plant Nutr. 2017, 17, 22–32. [Google Scholar] [CrossRef]
- Voltr, V.; Menšík, L.; Hlisnikovský, L.; Hruška, M.; Pokorný, E.; Pospíšilová, L. The Soil Organic Matter in Connection with Soil Properties and Soil Inputs. Agronomy 2021, 11, 779. [Google Scholar] [CrossRef]
- Lazcano, C.; Gómez-Brandón, M.; Revilla, P.; Domínguez, J. Short-Term Effects of Organic and Inorganic Fertilizers on Soil Microbial Community Structure and Function. Biol. Fertil. Soils 2013, 49, 723–733. [Google Scholar] [CrossRef]
- Adekiya, A.O.; Ejue, W.S.; Olayanju, A.; Dunsin, O.; Aboyeji, C.M.; Aremu, C.; Adegbite, K.; Akinpelu, O. Different Organic Manure Sources and NPK Fertilizer on Soil Chemical Properties, Growth, Yield and Quality of Okra. Sci. Rep. 2020, 10, 16083. [Google Scholar] [CrossRef]
- Banwart, S.A.; Nikolaidis, N.P.; Zhu, Y.-G.; Peacock, C.L.; Sparks, D.L. Soil Functions: Connecting Earth’s Critical Zone. Annu. Rev. Earth Planet. Sci. 2019, 47, 333–359. [Google Scholar] [CrossRef]
- Gemenet, D.C.; Leiser, W.L.; Beggi, F.; Herrmann, L.H.; Vadez, V.; Rattunde, H.F.W.; Weltzien, E.; Hash, C.T.; Buerkert, A.; Haussmann, B.I.G. Overcoming Phosphorus Deficiency in West African Pearl Millet and Sorghum Production Systems: Promising Options for Crop Improvement. Front. Plant Sci. 2016, 7, 433–441. [Google Scholar] [CrossRef] [PubMed]
- Marinari, S.; Masciandaro, G.; Ceccanti, B.; Grego, S. Influence of Organic and Mineral Fertilisers on Soil Biological and Physical Properties. Bioresour. Technol. 2000, 72, 9–17. [Google Scholar] [CrossRef]
- Chen, X.; Yaa, O.-K.; Wu, J. Effects of Different Organic Materials Application on Soil Physicochemical Properties in a Primary Saline-Alkali Soil. Eurasian Soil Sci. 2020, 53, 798–808. [Google Scholar] [CrossRef]
- Jilani, G.; Akram, A.; Ali, R.M.; Hafeez, F.Y.; Shamsi, I.H.; Chaudhry, A.N.; Chaudhry, A.G. Enhancing Crop Growth, Nutrients Availability, Economics and Beneficial Rhizosphere Microflora through Organic and Biofertilizers. Ann. Microbiol. 2007, 57, 177–184. [Google Scholar] [CrossRef]
- Bharati, N.K.; Thakare, R. Soil Properties, Yield and Quality of Pearl Millet Influenced by Integrated Nutrient Management on Vertisol. Pharma. Innov. J. 2022, 11, 885–888. [Google Scholar]
- Prabhu, N.; Senthilkumar, N.; Poonkodi, P. Response of Pearl Millet To Integrated Use of Organics And Fertilizers. J. Ecobiotechnol. 1970, 10, 1–4. [Google Scholar] [CrossRef]
- Cordell, D.; White, S. Tracking Phosphorus Security: Indicators of Phosphorus Vulnerability in the Global Food System. Food Secur. 2015, 7, 337–350. [Google Scholar] [CrossRef]
- Khatri, D.; Durgapal, A.; Joshi, P.K. Biofertilization Enhances Productivity and Nutrient Uptake of Foxtail Millet Plants. J. Crop Improv. 2016, 30, 32–46. [Google Scholar] [CrossRef]
- Walia, M.K.; Walia, S.S.; Dhaliwal, S.S. Long-Term Effect of Integrated Nutrient Management of Properties of Typic Ustochrept After 23 Cycles of an Irrigated Rice (Oryza sativa L.)—Wheat (Triticum aestivum L.) System. J. Sustain. Agric. 2010, 34, 724–743. [Google Scholar] [CrossRef]
- Dhaliwal, S.S.; Naresh, R.K.; Mandal, A.; Singh, R.; Dhaliwal, M.K. Dynamics and Transformations of Micronutrients in Agricultural Soils as Influenced by Organic Matter Build-up: A Review. Environ. Sustain. Indic. 2019, 1–2, 100007. [Google Scholar] [CrossRef]
Disclaimer/Publisher’s Note: The statements, opinions and data contained in all publications are solely those of the individual author(s) and contributor(s) and not of MDPI and/or the editor(s). MDPI and/or the editor(s) disclaim responsibility for any injury to people or property resulting from any ideas, methods, instructions or products referred to in the content. |
© 2023 by the authors. Licensee MDPI, Basel, Switzerland. This article is an open access article distributed under the terms and conditions of the Creative Commons Attribution (CC BY) license (https://creativecommons.org/licenses/by/4.0/).












