Research on Enterprise Interactive Innovation Balance Decision in Green Manufacturing Innovation Ecosystem
Abstract
1. Introduction
2. Theoretical Basis and Literature Review
2.1. Green Manufacturing Innovation Ecosystem
2.2. Exploratory and Exploitative Innovation
2.3. Interactive Innovation Balance
2.4. Gaps in the Current Literature
3. Interactive Innovation Balance Structure
4. Research Methods
4.1. Method Introduction and Hypothesis Development
4.2. Model Construction and Solution
4.3. Stability Analysis of the Replication Dynamic Equation
4.3.1. Stability Analysis of the Enterprise Game Strategy
- (1)
 - When , take . It is known that when , the enterprise’s interactive innovation balance strategy is steady state in the game system at this time, regardless of the value of ;
 - (2)
 - When and , it is obtained that and are two equilibrium state points in the evolution of the enterprise game.
 
4.3.2. Stability Analysis of the Scientific Research Layer Game Strategy
- (1)
 - When , take , it is known that when . At this point, the innovation balance strategy of the scientific research layer is steady state, regardless of the value of taken.
 - (2)
 - When and , we can obtain and as two equilibrium stable points. Combined with the principle of stability of the differential equation, when and conditions hold, the scientific research layer takes the “collaborate” strategy for the stable state.
 
- (3)
 - When , , then , , then is the stable state of the game evolution of the scientific research layer, so the scientific research layer tends to reduce the collaboration with the enterprise in green manufacturing technology innovation R&D, that is, the strategy is stable in “no collaborate”.
 - (4)
 - When , , then and , then is the stable state of the game evolution of the scientific research layer. Therefore, the scientific research layer tends to actively research and develop green manufacturing technology innovation for the enterprise, and the strategy is stable in “collaborate”.
 
4.3.3. Stability Analysis of the Support Layer Game Strategy
- (1)
 - When , taking , it is known that when , at which time the support layer game strategy is stable in the system, regardless of the value of .
 - (2)
 - When and , it is known that and are the two equilibrium points of the game strategy of the support layer. Combined with the principle of stability of differential equation, when and , the game strategy of “support” of the support layer is in a stable state.
 
- (3)
 - When , , then , , at this point is the stable state of the evolutionary game of the support layer. Therefore, the support layer does not tend to provide information, capital, and other innovation resources to support the enterprise, and the game strategy is stable at “no support”.
 - (4)
 - When , , then , , at this point is the stable state of the evolutionary game of the support layer. Therefore, the support layer tends to provide information, capital, and other innovation resources to support enterprises, and the game strategy is stable at “support”.
 
- (5)
 - When , , then , , at this point is the stable state of the evolutionary game of the support layer. Therefore, the support layer tends to provide information, capital, and other innovation resources to support enterprises, and the game strategy is stable at “support”.
 - (6)
 - When , , then , , at this point is the stable state of the evolutionary game of the support layer. Therefore, the support layer does not tend to provide information, capital, and other innovation resources to support the enterprise, and the game strategy is stable at “no support”.
 
4.4. Portfolio Strategy Stability Analysis
5. Numerical Simulation
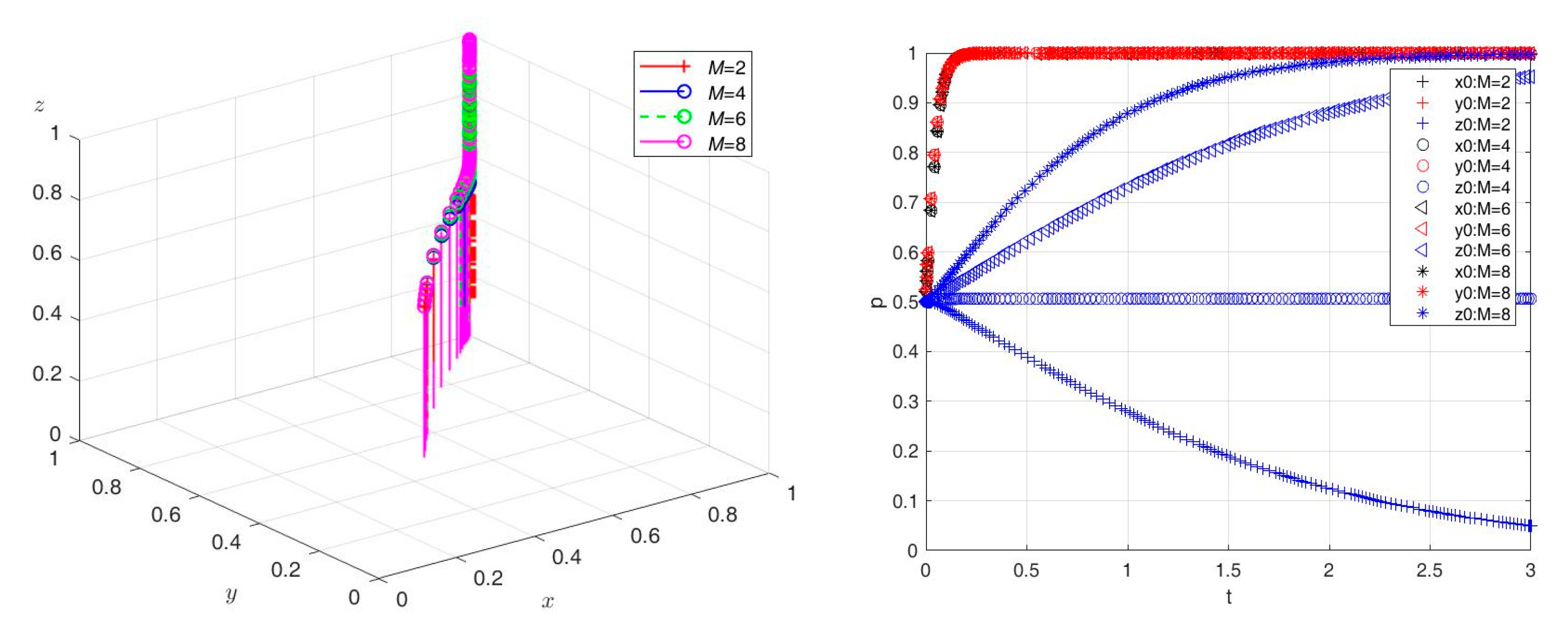
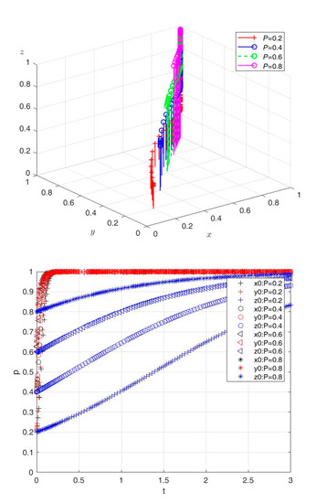
5.1. The Impact of the Initial Willingness of Innovation Subjects on the Enterprise Innovation Balance
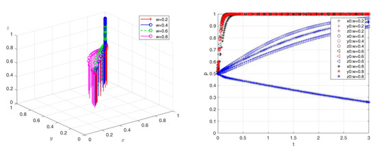
5.2. The Impact of the Change of Innovation Balance Synthesis on the Enterprise Innovation Balance
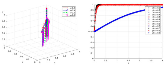
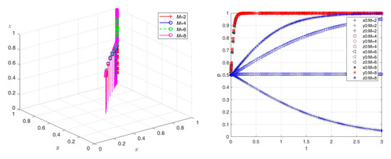
5.3. The Impact of the Scientific Research Layer’s Technology Development Efforts on the Enterprise Innovation Balance
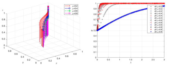
5.4. The Impact of the Level of “Conflict” between the Scientific Research Layer and the Enterprise on the Enterprise Innovation Balance
5.5. The Impact of Changes in Perceived Benefits of the Support Layer on the Enterprise Innovation Balance
6. Results
7. Discussions
Author Contributions
Funding
Institutional Review Board Statement
Informed Consent Statement
Data Availability Statement
Acknowledgments
Conflicts of Interest
References
- Yang, J.F.; Zhang, T.S.; Zhou, C.B.; Ling, L.M.; Wang, X. Research on the Path of Green Manufacturing System Construction in China Under the Carbon Peaking and Carbon Neutrality Goals. Chin. J. Environ. Manag. 2022, 14, 75–80. [Google Scholar]
 - Zhao, Y.X.; Cheng, Q.W. How Can Focal Firms Achieve Cross-Border Resource Integration in the Innovation Ecosystem? Sci. Sci. Manag. 2022, 4, 100–116. [Google Scholar]
 - Yang, Z.; Chen, H.; Du, L.; Lin, C.L.; Lu, W. How does alliance-based government-university-industry foster cleantech innovation in a green innovation ecosystem? J. Clean. Prod. 2021, 283, 124559. [Google Scholar] [CrossRef]
 - Duysters, G.; Lavie, D.; Sabidussi, A.; Stettner, U. What drives exploration? Convergence and divergence of exploration tendencies among alliance partners and competitors. Acad. Manag. J. 2019, 63, 1425–1454. [Google Scholar] [CrossRef]
 - Chen, Z.G.; Zhang, Y.Q.; Wang, H.S.; Xiao, O.Y. Can green credit policy promote low-carbon technology innovation? J. Clean. Prod. 2022, 359, 132061. [Google Scholar] [CrossRef]
 - Barbieri, N.; Marzucchi, A.; Rizzo, U. Knowledge sources and impacts on subsequent inventions: Do green technologies differ from non-green ones? Res. Policy 2020, 49, 103901. [Google Scholar] [CrossRef]
 - Cumming, D.; Rui, O.; Wu, Y. Political instability, access to private debt, and innovation investment in China. Emerg. Mark. Rev. 2016, 29, 68–81. [Google Scholar] [CrossRef]
 - Guo, D.; Guo, Y.; Jiang, K. Government-subsidized R&D and firm innovation: Evidence from China. Res. Policy 2016, 45, 1129–1144. [Google Scholar]
 - Liu, S.; Du, J.; Zhang, W. Opening the box of subsidies: Which is more effective for innovation? Eurasian Bus. Rev. 2021, 11, 421–449. [Google Scholar] [CrossRef]
 - Zhao, S.; Xu, B.; Zhang, W. Government R&D subsidy policy in China: An empirical examination of effect, priority, and specifics. Technol. Forecast. Soc. Chang. 2018, 135, 75–82. [Google Scholar]
 - Fang, L.H.; Lerner, J.; Wu, C. Intellectual property rights protection, ownership, and innovation: Evidence from China. Rev. Financ. Stud. 2017, 30, 2446–2477. [Google Scholar] [CrossRef]
 - Rong, Z.; Wu, X.; Boeing, P. The effect of institutional ownership on firm innovation: Evidence from Chinese listed firms. Res. Policy 2017, 46, 1533–1551. [Google Scholar] [CrossRef]
 - Tian, X.L.; Kou, G.; Zhang, W.K. Geographic distance, venture capital and technological performance: Evidence from Chinese enterprises. Technol. Forecast. Soc. Chang. 2020, 158, 120155. [Google Scholar] [CrossRef]
 - Zhang, M.; Mohnen, P. R&D, innovation and firm survival in Chinese manufacturing, 2000–2006. Eurasian Bus. Rev. 2022, 12, 59–95. [Google Scholar]
 - Mao, S.; Wang, B.; Tang, Y.; Qian, F. Opportunities and challenges of artificial intelligence for green manufacturing in the process industry. Engineering 2019, 5, 995–1002. [Google Scholar] [CrossRef]
 - Song, W.H.; Yu, H.T. Green innovation strategy and green innovation: The roles of green creativity and green organizational identity. Corp. Soc. Responsib. Environ. Manag. 2018, 25, 135–150. [Google Scholar] [CrossRef]
 - Song, Q.H.; Lin, Y.K. Financial Agglomeration and Green Technology Innovation of Manufacturing Enterprises under the Background of Accelerating the Development of a Manufacturing Powerhouse. Financial. Econ. Res. 2023, 38, 84–99. [Google Scholar]
 - Ying, L.M.; Li, M.H.; Yang, J. Agglomeration and driving factors of regional innovation space based on intelligent manufacturing and green economy. Environmental. Technol. Innov. 2021, 22, 101398. [Google Scholar]
 - Zhou, J. The development path of intelligent manufacturing in China. China Policy. Rev. 2019, 2, 36–43. [Google Scholar]
 - Oskam, I.; Bossink, B.; Man, A.P. Valuing value in innovation ecosystems: How cross-sector actors overcome tensions in collaborative sustainable business model development. Bus. Soc. 2021, 60, 1059–1091. [Google Scholar] [CrossRef]
 - Moore, J.F. Predators and prey: A new ecology of competition. Harv. Bus. Rev. 1993, 71, 75–86. [Google Scholar] [PubMed]
 - Adner, R.; Kapoor, R. Value creation in innovation ecosystems: How the structure of technological interdependence affects firm performance in new technology generations. Strateg. Manag. J. 2010, 31, 306–333. [Google Scholar] [CrossRef]
 - Meng, T.; Li, D.X.; Zhao, F.F. Building a Meaningful Innovation Ecosystem for Manufacturing Companies under the Background of "Carbon Peak and Neutrality. Sci. Sci. Manag. 2022, 43, 156–166. [Google Scholar]
 - Zeng, J.W.; Xue, L.Q.; Li, B.Z. Research on the Generation Mechanism of Green Innovation Ecosystem. Sci. Technol. Prog. Policy 2021, 38, 11–19. [Google Scholar]
 - Su, Y.; Wei, S.P. Evolution of Green Technology Innovation Based on the Tripartite Game. Oper. Res. Manag. Sci. 2022, 31, 40–47. [Google Scholar]
 - Lu, C.; Cheng, H.F.; Cai, J.H. Evolutionary Game Analysis: Impacts of Government Subsidies on Manufactures’ Green R&D under PEER Incentive Mechanism. Chin. J. Manag. 2022, 19, 93–101. [Google Scholar]
 - Kang, X.Q.; Shen, S.D.; Fang, J.Q. Hotspots and Frontier of Exploratory and Exploitative Innovation Research: Visualization Research. J. Technol. Econ. 2019, 38, 63–80. [Google Scholar]
 - March, J.G. Exploration and Exploitation in Organizational Learning. Org. Sci. 1991, 2, 71–87. [Google Scholar] [CrossRef]
 - Popadic, M.; Pucko, D.; Cerne, M. Exploratory innovation, exploitative innovation and innovation performance: The moderating role of alliance portfolio partner diversity. Econ. Bus. Rev. 2016, 18. [Google Scholar] [CrossRef]
 - Danneels, E. The process of technological competence leveraging. Strateg. Manag. J. 2007, 28, 511–533. [Google Scholar] [CrossRef]
 - Wang, S.L. A Research on the Influence of Network Diversity of Strategic Alliance on the Equilibrium of Explorative Innovation and Exploitative Innovation. Sci. Sci. Manag. 2018, 39, 107–117. [Google Scholar]
 - Ngo, L.V.; Bucic, T.; Sinha, A.; Lu, V.N. Effective sense-and-respond strategies: Mediating roles of exploratory and exploitative innovation. J. Bus. Res. 2019, 94, 154–161. [Google Scholar] [CrossRef]
 - Duodu, B.; Rowlinson, S. The effect of social capital on exploratory and exploitative innovation: Modelling the mediating role of absorptive capability. Eur. J. Innov. Manag. 2020, 23, 649–674. [Google Scholar] [CrossRef]
 - Gupta, A.K.; Smith, K.G.; Shalley, C.E. The Interplay Between Exploration and Exploitation. Acad. Manag. J. 2006, 49, 693–706. [Google Scholar] [CrossRef]
 - Zhang, C.L.; Shen, H.; Zhang, J.; Huang, Y. Slack Resources, Ambidextrous Innovation and Sustained Competitive Advantages— Based on the Perspective of Resource Bricolage. East China Econ. Manag. 2017, 31, 124–133. [Google Scholar]
 - Fanny, S.; Albéric, T. Balancing contradictory temporality during the unfold of innovation streams. Int. J. Proj. Manag. 2016, 34, 983–996. [Google Scholar]
 - Lawrence, E.T.; Tworoger, L.; Ruppel, C.P.; Yurova, Y. TMT leadership ambidexterity: Balancing exploration and exploitation behaviors for innovation. Eur. J. Innov. Manag. 2022, 3, 703–719. [Google Scholar] [CrossRef]
 - Burgelman, A. Robert. Strategy as Vector and the Inertia of Coevolutionary Lock-in. Administ. Sci. Quart. 2002, 47, 325–357. [Google Scholar] [CrossRef]
 - Rui, Z.Y.; Luo, J.L. Enterprises’balanced innovation search and its staged effect: Punctuated balance or simultaneous balance. Sci. Res. Manag. 2018, 39, 9–17. [Google Scholar]
 - Huang, K.N. Evolutionary Games and Evolutionary Economics. Econ. Res. J. 2009, 44, 132–145. [Google Scholar]
 - Traulsen, A.; Glynatsi, N.E. The future of theoretical evolutionary game theory. Philos. Trans. R. Soc. B 2023, 378, 20210508. [Google Scholar] [CrossRef]
 - Park, H.J.; Pichugin, Y.; Traulsen, A. Why is cyclic dominance so rare? eLife 2020, 9, e57857. [Google Scholar] [CrossRef] [PubMed]
 - Pena, A.; Lehmann, L.; Nöldeke, G. Gains from switching and evolutionary stability in multi-player matrix games. J. Theor. Biol. 2014, 346, 23–33. [Google Scholar] [CrossRef]
 - Kawakatsu, M.; Lelkes, Y.; Levin, S.A. Interindividual cooperation mediated by partisanship complicates Madison’s cure for “mischiefs of faction”. Proc. Natl. Acad. Sci. USA 2021, 118, e2102148118. [Google Scholar] [CrossRef]
 - Sheng, Y.X.; Hu, J.; Wu, J.; Zhou, X.; Shi, Q.F. Study on the evolutionary game of the effect of technology on the innovation willingness of production and research cooperation. J. Ind. Eng. Eng. Manag. 2020, 34, 172–179. [Google Scholar]
 - Breslin, M.; Buchanan, R. On the Case Study Method of Research and Teaching in Design. Des. Issues 2008, 24, 36–40. [Google Scholar] [CrossRef]
 - Hu, D.F.; Feng, N.; Huang, Z.W.; Guo, J. Evolution of Innovation Ecosystem of New Energy Automobile Industry and Construction of Enterprise Competitive Advantage—Take JAC and BYD for Example. China. Soft. Sci. 2021, 11, 150–160. [Google Scholar]
 - Wu, J.L.; Liu, J.Y. Risks and Coping Tactics during Evolution of New Energy Vehicle Innovation Ecosystem: Case of BYD New Energy Vehicles. Sci. Technol. Prog. Policy 2016, 33, 72–77. [Google Scholar]
 - Li, W.H.; Li, N. Dynamic Game and Simulation of Intelligent Upgrade of Manufacturing Enterprise Based on Complex Network—Considering the Driving Effect of Government and Consumers. Soft Sci. 2022, 36, 39–47. [Google Scholar]
 











| Scientific Research Layer | |||||
|---|---|---|---|---|---|
| Collaborate () | No Collaborate) | ||||
| Support Layer | Support Layer | ||||
| Support ()  | No Support () | Support ()  | No Support () | ||
| Enterprise | Engage () | ||||
| No engage () | |||||
| Balance Points | Stability | |||
|---|---|---|---|---|
| (0,0,0) | Saddle Point | |||
| (0,1,0) | Instability point | |||
| (0,0,1) | Instability point | |||
| (0,1,1) | Saddle Point | |||
| (1,0,0) | Instability point | |||
| (1,1,0) | Instability point | |||
| (1,0,1) | Saddle Point | |||
| (1,1,1) | Stable point | |||
| Saddle Point | ||||
| Parameters | Assignment | Parameters | Assignment | Parameters | Assignment | 
|---|---|---|---|---|---|
| 80 | 48 | 16 | |||
| 0.5 | 0.25 | 0.2 | |||
| 20 | 2 | 12.5 | |||
| 0.8 | 45 | 30 | |||
| 3 | 5 | 6 | 
Disclaimer/Publisher’s Note: The statements, opinions and data contained in all publications are solely those of the individual author(s) and contributor(s) and not of MDPI and/or the editor(s). MDPI and/or the editor(s) disclaim responsibility for any injury to people or property resulting from any ideas, methods, instructions or products referred to in the content.  | 
© 2023 by the authors. Licensee MDPI, Basel, Switzerland. This article is an open access article distributed under the terms and conditions of the Creative Commons Attribution (CC BY) license (https://creativecommons.org/licenses/by/4.0/).
Share and Cite
Qin, H.; Zou, H.; Ji, H. Research on Enterprise Interactive Innovation Balance Decision in Green Manufacturing Innovation Ecosystem. Sustainability 2023, 15, 7767. https://doi.org/10.3390/su15107767
Qin H, Zou H, Ji H. Research on Enterprise Interactive Innovation Balance Decision in Green Manufacturing Innovation Ecosystem. Sustainability. 2023; 15(10):7767. https://doi.org/10.3390/su15107767
Chicago/Turabian StyleQin, Hao, Hua Zou, and Huimin Ji. 2023. "Research on Enterprise Interactive Innovation Balance Decision in Green Manufacturing Innovation Ecosystem" Sustainability 15, no. 10: 7767. https://doi.org/10.3390/su15107767
APA StyleQin, H., Zou, H., & Ji, H. (2023). Research on Enterprise Interactive Innovation Balance Decision in Green Manufacturing Innovation Ecosystem. Sustainability, 15(10), 7767. https://doi.org/10.3390/su15107767
        
