Study on the Dynamics of Stem Sap Flow in Minqin Wind and Sand Control Haloxylon ammodendron Forest, China
Abstract
1. Introduction
2. Materials and Methods
2.1. Study Site
2.2. Determination of the Stem Sap Flow and Water Consumption of H. ammodendron
2.3. Calculation of Stem Fluid Flow of H. ammodendron
2.4. Determination of Soil Moisture
2.5. Investigation of H. ammodendron Forest
2.6. Measurement of Meteorological Factors
2.7. Statistical Analysis
3. Results
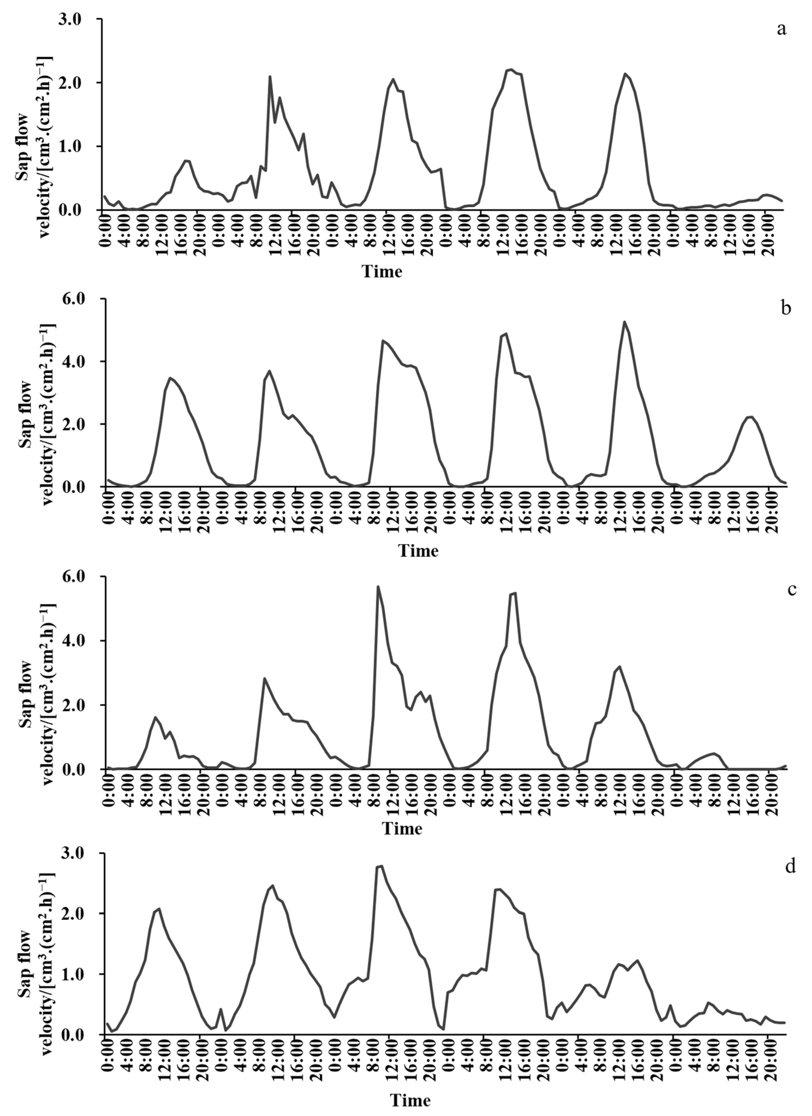
3.1. Characteristics of Stem Sap Flow of Haloxylon ammodendron
3.2. Variation of Sap Flow in the Stem of H. ammodendron at Different Diameter Classes
3.3. Correlation Analysis between Stem Sap Flow and Meteorological Factors of H. ammodendron in Different Forest Age
4. Discussion
5. Conclusions
Author Contributions
Funding
Institutional Review Board Statement
Informed Consent Statement
Data Availability Statement
Conflicts of Interest
References
- Jia, Z.Q.; Lu, Q.; Guo, B.G.; Zhao, M.; Liang, Y.Q. Progress in the study of Psammophyte haloxylon. For. Res. 2004, 17, 125–132. [Google Scholar]
- Zhao, P.; Xu, X.Y.; Qu, J.J.; Zhang, J.H.; Ma, Q.L.; Zhang, H.W.; Xu, G.X.; Ma, J.M.; Wu, Y.M. Relationships between artificial Haloxylon ammodendron communities and soil-water factors in Minqin oasis-desert ecotone. Ecol. Sin. 2017, 37, 1496–1505. [Google Scholar]
- Wang, J.H.; Ma, Q.L. Study on restoration strategies, characteristics and status of degenerated artificial Haloxylon ammodendron communities at the edge of Minqin oasis. Acta Bot. Boreali-Occident. Sin. 2003, 23, 2107–2112. [Google Scholar]
- Daley, M.J.; Phillips, N.G. Interspecific variation in night time transpiration and stomatal conductance in a mixed NewEngland deciduous forest. Tree Physiol. 2006, 26, 411–419. [Google Scholar] [CrossRef]
- Liu, H.; She, C.Y.; Bai, Z.Q.; Li, Q.; Liu, D.; Han, Y.L. Sap flow and transpiring water-consumption of pinus sibirica in different diameter classes. Acta Bot. Boreali-Occident. Sin. 2016, 36, 390–397. [Google Scholar]
- Yuan, G.F.; Luo, Y.; Shao, M.A.; Zhang, P.; Zhu, X.C. Evapotranspiration and its main controlling mechanism over the desert riparian forests in the lower Tarim River Basin. Sci. China Earth Sci. 2015, 45, 695–706. [Google Scholar] [CrossRef]
- Shi, L.; Sheng, H.C.; Man, X.L.; Cai, T.J. A review of the calculation method of water consumption by tree transpiration in different scales. J. Nanjing For. Univ. 2016, 40, 149–156. [Google Scholar]
- Jin, Y.X.; Wang, X.P.; Zhang, Y.F.; Pan, Y.X.; Hu, R.; Xu, H.J.; Shi, W. Transpiration of Reaumuria soongorica and Salsola passerine at different scales. J. Desert Res. 2018, 38, 286–293. [Google Scholar]
- Yu, F.; Chen, L.; Wang, F.; Liu, H.; Du, J.M.; Guo, Y.Z.; Li, H.X. The study on sap flow and transpiration of artificial caragana korshinkii in the arid area of central Ningxia hui autonomous region. Res. Soil Water Conserv. 2011, 18, 143–147. [Google Scholar]
- Zhang, X.Y.; Chu, J.M.; Meng, P.; Yao, Z.W.; Wang, H.S.; Li, D.L.; Jiang, S.X. The effect of environmental factors on stem sap flow characteristics of Haloxylon ammodendron (C.A.Mey.) bunge in Minqin oasis-desert. Acta Ecol. Sin. 2017, 37, 1525–1536. [Google Scholar]
- Huang, Y.R.; Xin, Z.M.; Li, Y.H.; Ma, Y.B.; Dong, X.; Luo, F.M.; Li, X.L.; Duan, R.B. Seasonal variation of the stem sap flow of artificial Haloxylon ammodendron (C.A.Mey.) bunge and its relationship with meteorological factors in Ulan Buh Desert. J. Nanjing For. Univ. 2020, 44, 131–139. [Google Scholar]
- Yang, M.J.; Yang, G.; He, X.L.; Chen, D.; Wang, J.; Li, P.F. Stem sap flowing characteristics of Haloxylon Ammodendron and its response to soil moisture in arid area. Yangtze River 2018, 49, 34–38. [Google Scholar]
- Sun, P.F.; Zhou, H.F.; Li, Y.; Li, M.L. Trunk sap flow and water consumption of Haloxylon ammodendron growing in the Gurbanhhut Desert. Acta Ecol. Sin. 2010, 30, 6901–6909. [Google Scholar]
- Li, H.; Hu, S.J.; Zhu, H.; Li, X.Q. Characterization of stem sap flow Haloxylon ammodendron by using thermal dissipation technology. Acta Ecol. Sin. 2017, 37, 7187–7196. [Google Scholar]
- Pravalie, R.; Sîrodoev, I.; Peptenatu, D. Changes in the forest ecosystems in areas impacted by aridization in south-western Romania. J. Environ. Health Sci. Eng. 2014, 12, 2. [Google Scholar] [CrossRef]
- Poyatos, R.; Granda, V.; Flo, V.; Adams, M.A.; Adorján, B.; Aguadé, D.; Aidar, M.P.; Allen, S.; Alvarado-Barrientos, M.S.; Anderson-Teixeira, K.J.; et al. Global transpiration data from sap flow measurements: The SAPFLUXNET database. Earth Syst. Sci. Data 2021, 13, 2607–2649. [Google Scholar] [CrossRef]
- Granier, A. Sap flow measurements in Douglas-fir tree trunks by means of a new thermal method. Ann. Forest Sci. 1987, 44, 1–14. [Google Scholar] [CrossRef]
- Chi, L.L.; Han, H.; Dang, H.Z.; Zhang, X.L.; Zhang, R.S. Relationships between stem sap flow rate of Pinus densiflora Sieb. et Zucc. var. zhangwuensis and environmental factors. J. Arid. Land Resour. Environ. 2020, 34, 186–191. [Google Scholar]
- Zhang, L.G.; Zeng, F.J.; Liu, Z.; Liu, B.; An, G.X.; Yuan, N. Flow characteristics of thee plant species and their responses to environmental factors in an extremely arid region. Arid. Zone Res. 2013, 30, 115–121. [Google Scholar]
- Zhang, X.; Zhang, H.L.; Wang, Y.J.; Wang, Y.Q.; Liu, C.X.; Yang, P.P.; Pan, S.L. Characteristics of daily sap flow for typical species in Jinyun mountain of chongqing in relation to meteorological factors. J. Beijing For. Univ. 2016, 38, 11–20. [Google Scholar]
- Xia, G.M.; Kang, S.Z.; Li, W.C.; Wang, F.; Qu, Y.P. Diurnal and seasonal variation of stem sap flow for Caragana korshinskii on the arid desert region in Shiyang river basin of Gansu. Acta Ecol. Sin. 2006, 26, 1186–1193. [Google Scholar]
- Zhao, C.Y.; Si, J.H.; Feng, Q.; Yu, T.F.; Li, W. Xylem sap flow of populus euphatica in relation to environmental factors in the lower reaches of Heihe river. J. Desert Res. 2014, 34, 718–724. [Google Scholar]
- Xu, X.Y.; Sun, B.P.; Ding, G.D.; Guo, S.J.; Chai, C.W. Sap flow patterns of thee main sand-fixing shubs and their responses to environmental factors in desert areas. Acta Ecol. Sin. 2008, 28, 895–905. [Google Scholar]
- Luo, F.M.; Xin, Z.M.; Gao, J.L.; Huang, Y.R.; Ge, B.T.; Li, X.L.; Hao, Y.G. Sap flow dynamic variations of Hippophae rhamnoides and it sresponse of meteorological factors. Pratacultural Sci. 2015, 32, 1871–1877. [Google Scholar]
- Huang, Y.R.; Li, Y.H.; Xin, Z.M.; Ma, Y.B.; Zhao, N.Q.; Yang, Z.; Liu, Y.N.; Duan, R.B.; Wu, J.; Dong, X. Effects of stumping on sap flow of artificial Haloxylon ammodendron and its relationship with meteorological factors. J. Cent. South Univ. For. Technol. 2021, 41, 129–139. [Google Scholar]
- Huang, Y.R.; Ma, Y.B.; Li, Y.H.; Xin, Z.M.; Zhao, N.Q.; Yang, Z.; Ma, Y.; Wu, J.; Dong, X.; Li, S. Dynamics of sap flow of Populus euphatica and responses to environment variables in the southeast of the Kumtag Desert. Pratacultural Sci. 2021, 38, 335–347. [Google Scholar]
- Wan, Y.F.; Yu, P.T.; Liu, X.D.; Wang, S.L.; Wang, Y.H.; Xiong, W. Variation in sap flow density among levels of tree dominance in picea crassifolia in the Qilian mountains. Acta Ecol. Sin. 2017, 37, 3106–3114. [Google Scholar]
- Xu, L.G.; Miao, Z.W.; Du, L.; Bao, Z.Y.; Wang, H.B.; Li, J.Z. Analysis of variation in and factors influencing sap flow in stems of Lycium barbarum in an aridarea. Acta Ecol. Sin. 2016, 36, 5519–5527. [Google Scholar]
- Huang, Y.Q.; Zhang, Z.F.; He, C.X.; Zhao, P.; Yuan, W.Y.; Jiao, J.F.; You, Y.M. Seasonal variation of Cyclobanopsis glauca whole-tree transpiration in karst region. Chin. J. Appl. Ecol. 2009, 20, 256–264. [Google Scholar]
- Gerile, W.; Zhang, L.; Ji, M.S.; Liu, J. The study on transpiration of several desert plants and environment responding mechanism. Res. Soil Water Conserv. 2007, 14, 184–186,189. [Google Scholar]
- Liu, Y.l.; B, J.H.; X, W.; Han, Y.Q.; Lian, H.l.; Guo, H.; Xin, Z.M.; Liu, X.J.; Liu, H.Y. Characteristics of nocturnal liquid flow of Haloxylon ammodendron in Ulanbuhe Desert and its environmental driving mechanism. Desert China 2022, 42, 195–203. [Google Scholar]
- Zhang, Q.D.; Liu, W.; Bai, B. Study on ecological characteristics of Haloxylon ammodendron plantation at different forest ages in yiliangtan Minqin. Prot. For. Sci. Technol. 2019, 11, 14–16+37. [Google Scholar]



| Stand Age | Number | Plant Height/cm | Ground Diameter/cm | Crown Breadth/cm | Stand Density/(Plant.hm−2) | Soil Moisture Content of 0–100 cm/% | Average Temperature from May to October/°C |
|---|---|---|---|---|---|---|---|
| 20 | N20-1 | 285.5 | 12.48 | 285 × 240 | 460 ± 247.09 | 2.032 ± 1.415 | 19.42 ± 6.28 |
| N20-2 | 300.5 | 12.97 | 227 × 266 | ||||
| N20-3 | 272.5 | 6.46 | 197 × 164 | ||||
| N20-4 | 211 | 7.16 | 186 × 185 | ||||
| 15 | N15-1 | 306.3 | 7.91 | 360 × 268 | 880 ± 162.86 | 2.896 ± 1.452 | 19.43 ± 6.40 |
| N15-2 | 400 | 7.6 | 250 × 238 | ||||
| N15-3 | 356 | 9.04 | 398 × 350 | ||||
| N15-4 | 370.4 | 6.2 | 236 × 198 | ||||
| 10 | N10-1 | 248.5 | 4.72 | 412 × 315 | 853 ± 172.57 | 2.003 ± 1.185 | 19.42 ± 6.28 |
| N10-2 | 253.5 | 4.51 | 322 × 217 | ||||
| N10-3 | 293.5 | 5.42 | 365 × 328 | ||||
| N10-4 | 275 | 6.39 | 366 × 278 | ||||
| 5 | N5-1 | 257 | 5.63 | 219.5 × 201.5 | 138 ± 20.09 | 2.839 ± 1.437 | 19.42 ± 6.29 |
| N5-2 | 199.5 | 5.78 | 212.7 × 135.4 | ||||
| N5-3 | 216.7 | 5.28 | 211.5 × 113.7 | ||||
| N5-4 | 113.4 | 4.43 | 182.6 × 141.8 |
| Sap Flow | Age/Year | Month | Total | |||||
|---|---|---|---|---|---|---|---|---|
| May | June | July | August | September | October | |||
| Average of diurnal sap flow/kg | 20 | 0.927 ± 0.522 b | 2.508 ± 0.984 b | 3.861 ± 1.670 b | 3.436 ± 1.049 b | 2.940 ± 0.658 b | 0.382 ± 0.309 b | 2.342 c |
| 15 | 3.828 ± 1.432 a | 5.188 ± 3.201 a | 8.065 ± 3.460 a | 7.156 ± 2.991 a | 6.232 ± 2.260 a | 3.486 ± 0.783 a | 5.659 a | |
| 10 | 1.025 ± 0.383 b | 2.427 ± 1.086 b | 4.424 ± 0.941 b | 3.488 ± 2.175 b | 2.156 ± 1.004 b | 0.326 ± 0.275 b | 2.301 c | |
| 5 | 2.828 ± 1.585 a | 4.303 ± 1.568 a | 4.731 ± 0.940 b | 4.469 ± 1.433 b | 2.679 ± 1.568 b | 0.908 ± 1.201 b | 3.318 b | |
| Monthly of sap flow/kg | 20 | 28.725 ± 16.187 b | 75.299 ± 29.529 b | 119.701 ± 51.771 b | 106.523 ± 32.512 b | 88.187 ± 19.740 b | 11.847 ± 9.566 b | 430.212 c |
| 15 | 118.665 ± 44.406 a | 155.641 ± 96.016 a | 250.025 ± 107.267 a | 221.822 ± 92.723 a | 186.970 ± 67.787 a | 108.063 ± 24.268 a | 1041.186 a | |
| 10 | 31.765 ± 11.865 b | 72.810 ± 32.581 b | 137.132 ± 29.169 b | 106.892 ± 67.419 b | 64.683 ± 30.120 b | 10.104 ± 8.512 b | 423.386 c | |
| 5 | 87.368 ± 49.149 a | 129.105 ± 47.041 a | 146.657 ± 29.135 b | 138.54 ± 44.437 b | 80.369 ± 47.039 b | 28.134 ± 37.237 b | 610.173 b | |
| Age | Ground Diameter | Month | Total | |||||
|---|---|---|---|---|---|---|---|---|
| May | June | July | August | September | October | |||
| 20 | 6.46 cm | 12.132 ± 0.385 b | 21.543 ± 0.648 b | 45.983 ± 2.055 b | 29.348 ± 0.894 b | 5.038 ± 0.157 c | 7.611 ± 0.265 a | 121.656 ± 0.734 b |
| 7.16 cm | 5.001 ± 0.165 b | 117.900 ± 1.552 a | 163.079 ± 2.266 a | 212.704 ± 2.125 a | 145.387 ± 1.647 b | 7.827 ± 0.262 a | 651.899 ± 1.336 a | |
| 12.97 cm | 78.707 ± 1.942 a | 156.430 ± 2.504 a | 76.322 ± 1.734 b | 271.458 ± 2.399 a | 200.907 ± 1.960 a | 29.230 ± 1.203 a | 813.053 ± 1.957 a | |
| 15 | 7.60 cm | 43.493 ± 1.191 c | 140.459 ± 2.809 a | 174.657 ± 1.653 b | 134.561 ± 1.836 b | 71.500 ± 0.954 c | 44.640 ± 0.309 c | 609.310 ± 1.459 c |
| 7.91 cm | 193.837 ± 1.961 b | 142.437 ± 2.724 a | 268.040 ± 3.158 a | 194.693 ± 2.100 b | 196.383 ± 1.275 b | 76.681 ± 0.456 b | 1072.526 ± 1.946 b | |
| 9.04 cm | 176.647 ± 6.013 a | 216.451 ± 5.829 a | 377.157 ± 7.729 a | 371.068 ± 6.215 a | 349.935 ± 5.033 a | 231.533 ± 1.918 a | 1722.810 ± 5.456 a | |
| 10 | 4.51 cm | 51.321 ± 0.610 c | 47.126 ± 1.927 a | 160.099 ± 1.251 b | 12.985 ± 0.317 b | 10.211 ± 0.410 c | 2.596 ± 0.085 b | 284.346 ± 0.767 a |
| 4.72 cm | 65.394 ± 1.417 b | 93.049 ± 1.468 a | 119.920 ± 0.864 b | 152.638 ± 1.855 a | 110.834 ± 0.790 a | 1.091 ± 0.032 b | 542.926 ± 1.071 a | |
| 5.42 cm | 83.079 ± 1.492 a | 92.994 ± 1.242 a | 123.870 ± 0.942 a | 154.302 ± 5.401 a | 79.411 ± 0.826 b | 20.743 ± 0.833 a | 554.399 ± 1.789 a | |
| 5 | 4.43 cm | 43.376 ± 1.022 a | 52.386 ± 2.204 c | 115.520 ± 0.681 b | 89.127 ± 0.962 b | 52.1123 ± 0.082 a | 19.876 ± 0.451 a | 372.397 ± 1.023 b |
| 5.28 cm | 81.375 ± 4.204 a | 97.061 ± 2.137 b | 126.386 ± 1.130 b | 137.146 ± 2.281 a | 108.481 ± 5.107 a | 26.108 ± 1.319 a | 576.556 ± 2.697 b | |
| 5.63 cm | 120.804 ± 1.646 a | 190.297 ± 2.254 a | 178.963 ± 1.436 a | 170.451 ± 1.948 a | 79.945 ± 0.985 a | 34.934 ± 1.927 a | 775.395 ± 1.699 a | |
| Age Class | Months | T/°C | RH/% | Rn/(Wm−2) | Ws/(ms−1) |
|---|---|---|---|---|---|
| 20 years | 5 | 0.685 ** | −0.565 ** | 0.385 | 0.557 ** |
| 6 | 0.274 * | −0.147 | 0.241 | 0.168 | |
| 7 | 0.479 ** | −0.363 | 0.427 * | 0.382 ** | |
| 8 | 0.574 ** | −0.550 ** | 0.442 * | 0.185 | |
| 9 | 0.569 ** | −0.513 ** | 0.207 | 0.503 ** | |
| 10 | 0.434 ** | −0.274 | 0.187 | 0.214 | |
| 15 years | 5 | 0.743 ** | −0.602 ** | 0.758 ** | 0.516 ** |
| 6 | 0.128 | 0.189 | 0.112 | 0.125 | |
| 7 | 0.586 ** | −0.691 ** | 0.597 ** | 0.605 ** | |
| 8 | 0.544 ** | −0.448 ** | 0.480 ** | 0.385 ** | |
| 9 | 0.659 ** | −0.547 ** | 0.630 ** | 0.551 ** | |
| 10 | 0.423 * | −0.16 | 0.553 ** | 0.068 | |
| 10 years | 5 | 0.835 ** | −0.726 ** | 0.366 * | 0.785 ** |
| 6 | 0.165 | −0.208 | 0.038 | 0.105 | |
| 7 | 0.613 ** | −0.717 ** | 0.646 ** | 0.693 ** | |
| 8 | 0.826 ** | −0.791 ** | 0.544 ** | 0.722 ** | |
| 9 | 0.725 ** | −0.645 ** | 0.229 | 0.619 ** | |
| 10 | 0.363 * | −0.221 | 0.392 * | 0.195 | |
| 5 years | 5 | 0824 ** | −0.731 ** | 0.687 | 0.712 ** |
| 6 | 0.352 | −0.288 | 0.186 | 0.331 | |
| 7 | 0.827 ** | −0.732 ** | 0.789 ** | 0.709 ** | |
| 8 | 0.822 ** | −0.770 ** | 0.642 ** | 0.785 ** | |
| 9 | 0.769 ** | −0.613 ** | 0.207 | 0.503 ** | |
| 10 | 0.462 * | −0.274 | 0.243 | 0.271 |
Disclaimer/Publisher’s Note: The statements, opinions and data contained in all publications are solely those of the individual author(s) and contributor(s) and not of MDPI and/or the editor(s). MDPI and/or the editor(s) disclaim responsibility for any injury to people or property resulting from any ideas, methods, instructions or products referred to in the content. |
© 2022 by the authors. Licensee MDPI, Basel, Switzerland. This article is an open access article distributed under the terms and conditions of the Creative Commons Attribution (CC BY) license (https://creativecommons.org/licenses/by/4.0/).
Share and Cite
Qiang, Y.; Xu, X.; Zhang, J. Study on the Dynamics of Stem Sap Flow in Minqin Wind and Sand Control Haloxylon ammodendron Forest, China. Sustainability 2023, 15, 609. https://doi.org/10.3390/su15010609
Qiang Y, Xu X, Zhang J. Study on the Dynamics of Stem Sap Flow in Minqin Wind and Sand Control Haloxylon ammodendron Forest, China. Sustainability. 2023; 15(1):609. https://doi.org/10.3390/su15010609
Chicago/Turabian StyleQiang, Yuquan, Xianying Xu, and Jinchun Zhang. 2023. "Study on the Dynamics of Stem Sap Flow in Minqin Wind and Sand Control Haloxylon ammodendron Forest, China" Sustainability 15, no. 1: 609. https://doi.org/10.3390/su15010609
APA StyleQiang, Y., Xu, X., & Zhang, J. (2023). Study on the Dynamics of Stem Sap Flow in Minqin Wind and Sand Control Haloxylon ammodendron Forest, China. Sustainability, 15(1), 609. https://doi.org/10.3390/su15010609

