Optimal Vertiport Airspace and Approach Control Strategy for Urban Air Mobility (UAM)
Abstract
1. Introduction
1.1. Related Work and Previous Research
1.2. Contributions and Outline of the Paper
- (1)
- A new algorithm that uses both SBA and BQA approaches was developed to determine the best way to set up the airspace in the BBQA model.
- (2)
- It has been confirmed that the new BBQA model can resolve the landing sequence reversal, which was recognized as a vulnerability of the BQA model in the previous study.
- (3)
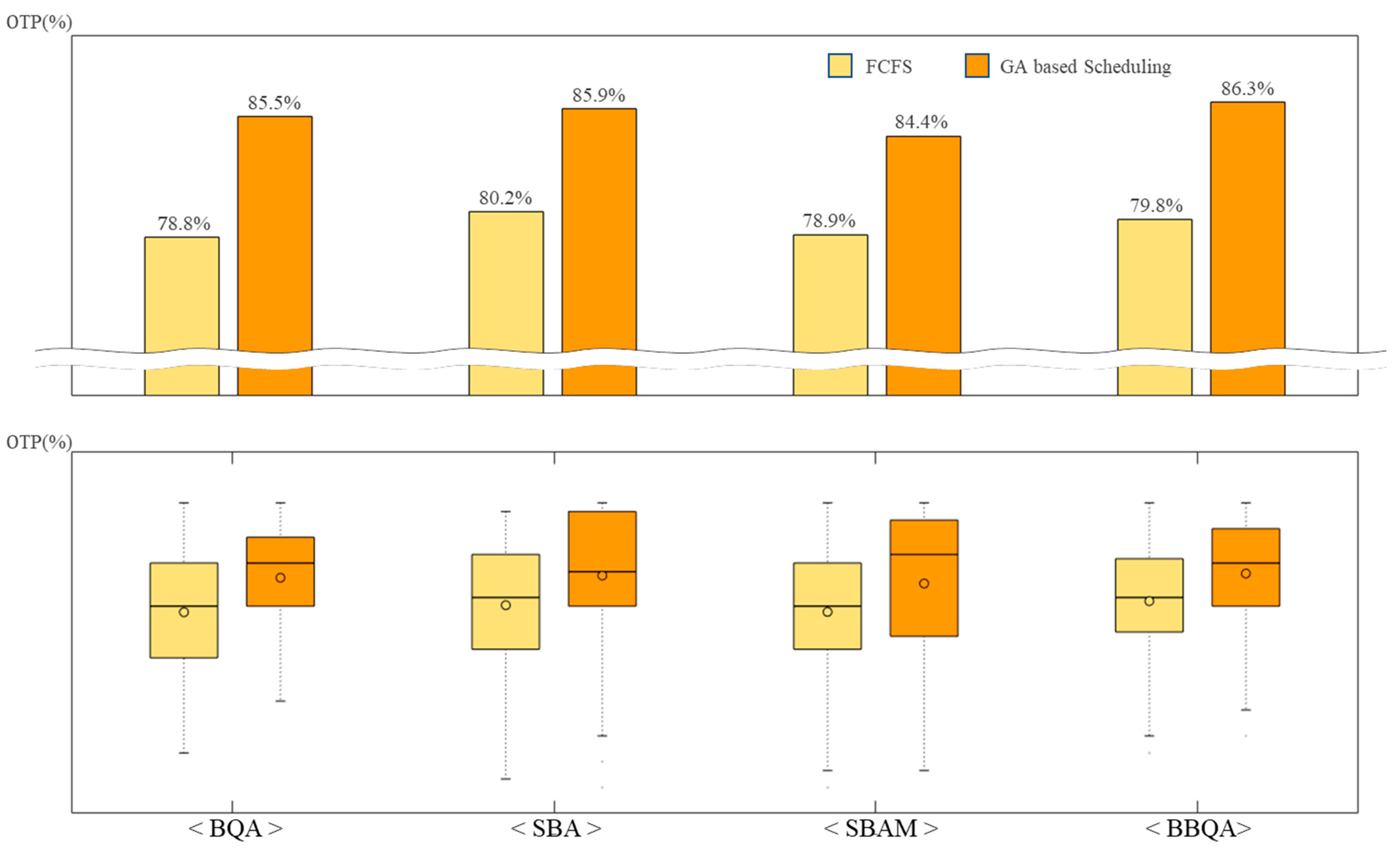
- A simulation was performed to show that the newly proposed BBQA model is better than the BQA model. The results show that OTP outcomes were improved, whereas airspace safety was unchanged relative to the BQA model.
2. New Model: Balanced Branch Queuing Approach Model
2.1. BBQA Airspace Design Concept
2.2. Algorithm for the BBQA Airspace
| Algorithm 1. Pseudocode for determining the optimal airspace algorithm for BBQA |
| Given: : Max holding time : Min time separation between takeoff and landing : Minimum separation distance between eVTOL aircrafts. Initialize: K = 1 // Initial number of holding circles // Initial optimal radius of the outermost holding circle // Calculate maximum airspace capacity of VTCA. Repeat Find the combination of satisfying constraint FOR All combinations of // Calculate the radius of each holding circle . // Radius of the outermost holding circle END FOR IF THEN // Increase the number of holding circles. ELSE Stop. No improved solution found via the swap. END IFUNTIL Stop FOR all holding circles FOR x = 1 to of holding circle FOR y = 1 to of holding circle DIST(x, y) = distance between two points // Calculate distance matrix END FOR END FOR Find the shortest distance // find optimal branch design END FOR |
2.3. Simulation Results
3. Approach Control Using BBQA Model
3.1. Development of BBQA Model
3.2. Advantages of the BBQA Model
3.3. Simulation and Empirical Results
4. Conclusions and Future Work
Funding
Institutional Review Board Statement
Informed Consent Statement
Data Availability Statement
Conflicts of Interest
References
- Straubinger, A.; Verhoef, E.T.; de Groot, H.L. Will urban air mobility fly? The efficiency and distributional impacts of UAM in different urban spatial structures. Transp. Res. Part C Emerg. Technol. 2021, 127, 103124. [Google Scholar] [CrossRef]
- Antcliff, K.R.; Moore, M.D.; Goodrich, K.H. Silicon Valley as an Early Adopter for On-demand Civil VTOL Operations. In Proceedings of the 16th AIAA Aviation Technology, Integration, and Operation Conference, Washington, DC, USA, 13–17 June 2016; p. 3466. [Google Scholar]
- Patterson, M.D.; Isaacson, D.R.; Mendonca, N.L.; Neogi, N.A.; Goodrich, K.H.; Metcalfe, M.; Bastedo, B.; Metts, C.; Hill, B.P.; DeCarme, D.; et al. An Initial Concept for Intermediate-State, Passenger-Carrying Urban Air Mobility Operations. In Proceedings of the AIAA Scitech 2021 Forum, Virtual, 11–15 & 19–21 January 2021; p. 1626. [Google Scholar]
- AIRBUS. Vahana Has Come to an End. But a New Chapter at Airbus Has Just Begun. 2019. Available online: https://www.airbus.com/en/newsroom/stories/2019-12-vahana-has-come-to-an-end-but-a-new-chapter-at-airbus-has-just-begun (accessed on 15 October 2022).
- EHANG. The Future of Transportation: White Paper on Urban Air Mobility Systems. 2020. Available online: https://www.ehang.com/app/en/EHang%20White%20Paper%20on%20Urban%20Air%20Mobility%20Systems.pdf (accessed on 15 October 2022).
- BOEING. Boeing Autonomous Passenger Air Vehicle Completes First Flight. 2019. Available online: https://boeing.mediaroom.com/2019-01-23-Boeing-Autonomous-Passenger-Air-Vehicle-Completes-First-Flight (accessed on 15 October 2022).
- Siewert, S.; Sampigethaya, K.; Buchholz, J.; Rizor, S. Fail-Safe, Fail-Secure Experiments for Small UAS and UAM Traffic in Urban Airspace. In Proceedings of the 2019 IEEE/AIAA 38th Digital Avionics Systems Conference (DASC), San Diego, CA, USA, 8–12 September 2019; pp. 1–7. [Google Scholar]
- Reiche, C.; McGillen, C.; Siegel, J.; Brody, F. Are We Ready to Weather Urban Air Mobility (UAM). In Proceedings of the 2019 Integrated Communications, Navigation and Surveillance Conference (ICNS), Herndon, VA, USA, 9–11 April 2019; pp. 1–7. [Google Scholar]
- Biehle, T. Social, Sustainable Urban Air Mobility in Europe. Sustainability 2022, 14, 9312. [Google Scholar] [CrossRef]
- FAA. Urban Air Mobility (UAM) Concept of Operations V1.0. 2020. Available online: https://nari.arc.nasa.gov/sites/default/files/attachments/UAM_ConOps_v1.0.pdf (accessed on 15 October 2022).
- NASA Advanced Air Mobility Ecosystem Working Groups Portal. Available online: https://nari.arc.nasa.gov/aam-portal/ (accessed on 15 October 2022).
- FAA. Engineering Brief No. 105, Vertiport Design. 2022. Available online: https://www.faa.gov/sites/faa.gov/files/2022-09/eb-105-vertiports.pdf (accessed on 15 October 2022).
- EASA. NPA 2022-06C: Introduction of a Regulatory Framework for the Operation of Drones—Enabling Innovative Air Mobility with Manned VTOL-Capable Aircraft, the IAW of UAS Subject to Certification, and the CAW of Those UAS Operated in the ‘Specific’ Category. 2022. Available online: https://www.easa.europa.eu/en/downloads/136705/en (accessed on 15 October 2022).
- Airbus & Boeing. A New Digital Era of Aviation: The Path Forward for Airspace and Traffic Management. Available online: https://storage.googleapis.com/blueprint/Airbus%20Boeing%20New%20era%20of%20digital%20aviation.pdf (accessed on 14 December 2022).
- Skyports & Wisk. Concept of Operations: Autonomous UAM Aircraft Operations and Vertiport Integration. 2022. Available online: https://https://wisk.aero/wp-content/uploads/2022/04/2022-04-12-Wisk-Skyports-ConOps-Autonomous-eVTOL-Operations-FINAL.pdf (accessed on 14 December 2022).
- Thipphavong, D.P.; Apaza, R.D.; Barmore, B.E.; Battiste, V.; Burian, B.K.; Dao, Q.V.; Feary, M.S.; Go, S.; Goodrich, K.H.; Homola, J.R.; et al. Urban air mobility airspace integration concepts and considerations 2018 Aviation Technology. In Proceedings of the Integration, and Operations Conference, Atlanta, GA, USA, 25–29 June 2018. [Google Scholar] [CrossRef]
- Vascik, P.D.; Hansman, R.J. Evaluation of key operational constraints affecting on-demand mobility for aviation in the Los Angeles basin: Ground infrastructure, air traffic control and noise. In Proceedings of the 17th AIAA Aviation Technology, Integration, and Operations Conference, Denver, CO, USA, 5–9 June 2017; p. 3084. [Google Scholar]
- Vascik, P.D.; Hansman, R.J.; Dunn, N.S. Analysis of urban air mobility operational constraints. J. Air Transp. 2018, 26, 133–146. [Google Scholar] [CrossRef]
- Alvarez, L.E.; Jones, J.C.; Bryan, A.; Weinert, A.J. Demand and Capacity Modeling for Advanced Air Mobility. In Proceedings of the AIAA Aviation 2021 FORUM, American Institute of Aeronautics and Astronautics, Online Conference, 2–6 August 2021. [Google Scholar] [CrossRef]
- Balac, M.; Vetrella, A.R.; Axhausen, K.W. Towards the integration of aerial transportation in urban settings. In Proceedings of the 97th Annual Meeting Transportation Research Board (TRB 2018), Washington, DC, USA, 7–11 January 2018. [Google Scholar] [CrossRef]
- Rimjha, M.; Hotle, S.; Trani, A.; Hinze, N. Commuter demand estimation and feasibility assessment for Urban Air Mobility in Northern California. Transp. Res. Part A Policy Pract. 2021, 148, 506–524. [Google Scholar] [CrossRef]
- Lascara, B.; Lacher, A.; DeGarmo, M.; Maroney, D.; Niles, R.; Vempati, L. Urban Air Mobility Airspace Integration Concepts. The Mitre Corportation. 2019. Available online: https://www.mitre.org/sites/default/files/publications/pr-19-00667-9-urban-air-mobility-airspace-integration.pdf (accessed on 15 August 2020).
- Weinert, A.; Underhill, N.; Serres, C.; Guendel, R. Correlated Bayesian Model of Aircraft Encounters in the Terminal Area Given a Straight Takeoff or Landing. Aerospace 2022, 9, 58. [Google Scholar] [CrossRef]
- Katz, S.M.; Le Bihan, A.; Kochenderfer, M.J. Learning an Urban Air Mobility Encounter Model from Expert Preferences. In Proceedings of the 2019 IEEE/AIAA 38th Digital Avionics Systems Conference (DASC), San Diego, CA, USA, 8–12 September 2019; pp. 1–8. [Google Scholar] [CrossRef]
- Kochenderfer, M.J.; Edwards, M.W.M.; Espindle, L.P.; Kuchar, J.K.; Griffith, J.D. Airspace encounter models for estimating collision risk. J. Guid. Control. Dyn. 2010, 33, 487–499. [Google Scholar] [CrossRef]
- Euclides, D.M.B.; Neto, C.P.; de Almeida Junior, P.S.C.J.R.; Junior, J.B.C. Trajectory-Based Urban Air Mobility(UAM) Operations Simulator (TUS). arXiv 2019, arXiv:1908.08651. [Google Scholar]
- Yang, X.; Wei, P. Autonomous On-Demand Free Flight Operations in Urban Air Mobility using Monte Carlo Tree Search. In Proceedings of the International Conference on Research in Air Transportation (ICRAT), Barcelona, Spain, 25–29 June 2018. [Google Scholar]
- Yang, X.; Deng, L.; Wei, P. Multi-Agent Autonomous On-Demand Free Flight Operations in Urban Air Mobility. In Proceedings of the AIAA Aviation 2019, Dallas, TX, USA, 17–21 June 2019. [Google Scholar] [CrossRef]
- Yang, X.; Deng, L.; Liu, J.; Wei, P.; Li, H. Multi-Agent Autonomous Operations in Urban Air Mobility with Communication Constraints. In Proceedings of the AIAA SciTech Forum, Orlando, FL, USA, 6–10 January 2020. [Google Scholar] [CrossRef]
- Yang, X.; Wei, P. Scalable Multi-Agent Computational Guidance with Separation Assurance for Autonomous Urban Air Mobility. J. Guid. Control. Dyn. 2020, 43, 1473–1486. [Google Scholar] [CrossRef]
- Kleinbekman, I.C.; Mitici, M.; Wei, P. Rolling-Horizon Electric Vertical Takeoff and Landing Arrival Scheduling for On-Demand Urban Air Mobility. J. Aerosp. Inf. Syst. 2020, 17, 150–159. [Google Scholar] [CrossRef]
- Kim, S.H. Receding Horizon Scheduling of On-Demand Urban Air Mobility With Heterogeneous Fleet. IEEE Trans. Aerosp. Electron. Syst. 2020, 56, 2751–2761. [Google Scholar] [CrossRef]
- Pradeep, P.; Wei, P. Heuristic Approach for Arrival Sequencing and Scheduling for eVTOL Aircraft in On-Demand Urban Air Mobility. In Proceedings of the 2018 IEEE/AIAA 37th Digital Avionics Systems Conference (DASC), London, UK, 23–27 September 2018; pp. 1–7. [Google Scholar] [CrossRef]
- Schweiger, K.; Preis, L. Urban Air Mobility: Systematic Review of Scientific Publications and Regulations for Vertiport Design and Operations. Drones 2022, 6, 179. [Google Scholar] [CrossRef]
- Song, K.; Yeo, H.; Moon, J. Approach Control Concepts and Optimal Vertiport Airspace Design for Urban Air Mobility (UAM) Operation. Int. J. Aeronaut. Space Sci. 2021, 22, 982–994. [Google Scholar] [CrossRef]
- Song, K.; Yeo, H. Development of optimal scheduling strategy and approach control model of multicopter VTOL aircraft for urban air mobility (UAM) operation. Transp. Res. Part C Emerg. Technol. 2021, 128, 103181. [Google Scholar] [CrossRef]
- Anthony, N.; Cesar, M. State-Based Implicit Coordinationand Applications. NASA Technical. Publication 011–217067. March 2011. Available online: https://ntrs.nasa.gov/citations/20110008429 (accessed on 15 October 2022).














| Radius (m) | # of Holding Points | |||||||
|---|---|---|---|---|---|---|---|---|
| Holding Circle | 1 | 2 | 3 | 4 | 1 | 2 | 3 | 4 |
| BQA | 32.4 | 52.4 | 72.4 | 92.4 | 10 | 10 | 20 | 20 |
| BBQA_A | 17 | 38.6 | 58.6 | 79.8 | 5 | 12 | 18 | 25 |
| BBQA_B | 32.4 | 52.4 | 72.4 | 92.4 | 10 | 10 | 20 | 20 |
| Landing Sequence Reversal | BQA | BBQA_A | BBQA_B |
|---|---|---|---|
| 0 | - | - | 4 |
| 1 | 8 | - | 16 |
| 2 | 17 | - | 28 |
| 3 | 24 | 4 | 21 |
| 4 | 17 | 12 | 16 |
| 5 | 17 | 25 | 13 |
| 6 | 10 | 23 | 2 |
| 7 | 4 | 29 | |
| 8 | 3 | 6 | |
| 9 | - | 1 | |
| Total | 100 | 100 | 100 |
| OE Severity | BQA /BBQA | SBA | SBAM | |||
|---|---|---|---|---|---|---|
| FCFS | GA | FCFS | GA | FCFS | GA | |
| Proximity Events (PE) | - | - | 3139 (1.77%) | 3152 (1.78%) | 69 (0.04%) | 64 (0.04%) |
| Low Risk (LR) | - | - | 2234 (1.26%) | 2093 (1.18%) | 378 (0.21%) | 369 (0.21%) |
| Moderate Risk (MR) | - | - | - | - | 1151 (0.65%) | 1142 (0.65%) |
| High Risk (HR) | - | - | - | - | 983 (0.56%) | 835 (0.47%) |
| OE Total | - | - | 5373 (3.04%) | 5245 (2.96%) | 2581 (1.46%) | 2410 (1.36%) |
| Parameter | Value |
|---|---|
| (scheduled time of arrival) | |
| (max holding time) | 1200 s |
| (min time separation between takeoff and landing) | 10 s |
| (max airspace capacity of VTCA) | 60 vehicles |
| (vertical speed of approach) | 2.5 m/s |
| (vertical speed of approach) | 3 m/s |
| (min separation distance between eVTOL aircrafts) | 20 m |
| Model | BQA | BBQA | |||||||||
|---|---|---|---|---|---|---|---|---|---|---|---|
| OTP | 70% | 75% | 80% | 85% | 90% | 70% | 75% | 80% | 85% | 90% | |
| Average Landing Interval | 20 s | 80.8 | 80.8 | 81.8 | 82.8 | 84.2 | 84.2 | 83.1 | 83.2 | 85.0 | 85.4 |
| 25 s | 52.3 | 53.6 | 50.4 | 48.7 | 47.7 | 53.6 | 50.3 | 45.8 | 45.6 | 45.0 | |
| 30 s | 39.7 | 34.5 | 31.2 | 30.1 | 29.1 | 32.3 | 28.4 | 27.1 | 26.0 | 25.3 | |
Disclaimer/Publisher’s Note: The statements, opinions and data contained in all publications are solely those of the individual author(s) and contributor(s) and not of MDPI and/or the editor(s). MDPI and/or the editor(s) disclaim responsibility for any injury to people or property resulting from any ideas, methods, instructions or products referred to in the content. |
© 2022 by the author. Licensee MDPI, Basel, Switzerland. This article is an open access article distributed under the terms and conditions of the Creative Commons Attribution (CC BY) license (https://creativecommons.org/licenses/by/4.0/).
Share and Cite
Song, K. Optimal Vertiport Airspace and Approach Control Strategy for Urban Air Mobility (UAM). Sustainability 2023, 15, 437. https://doi.org/10.3390/su15010437
Song K. Optimal Vertiport Airspace and Approach Control Strategy for Urban Air Mobility (UAM). Sustainability. 2023; 15(1):437. https://doi.org/10.3390/su15010437
Chicago/Turabian StyleSong, Kyowon. 2023. "Optimal Vertiport Airspace and Approach Control Strategy for Urban Air Mobility (UAM)" Sustainability 15, no. 1: 437. https://doi.org/10.3390/su15010437
APA StyleSong, K. (2023). Optimal Vertiport Airspace and Approach Control Strategy for Urban Air Mobility (UAM). Sustainability, 15(1), 437. https://doi.org/10.3390/su15010437

