Numerical Comparison of the Hydrological Response of Different Permeable Pavements in Urban Area
Abstract
1. Introduction
2. Types of Pervious Pavements (PPs)
- Type I, total infiltration system (Figure 2a): all the water infiltrates the subgrade;
- Type II, partial infiltration system (Figure 2b); because of insufficient permeability of the subgrade or other designer choice, a part of the water is drained by a pipe system;
- Type III: no infiltration system (Figure 2c); because of impermeable subgrade, all the water is drained by a pipe system.
3. Numerical Investigation on PPs Effectiveness in a Case Study
3.1. EPA Storm Water Management Model (SWMM)
3.2. The Case Study Used for the Investigation
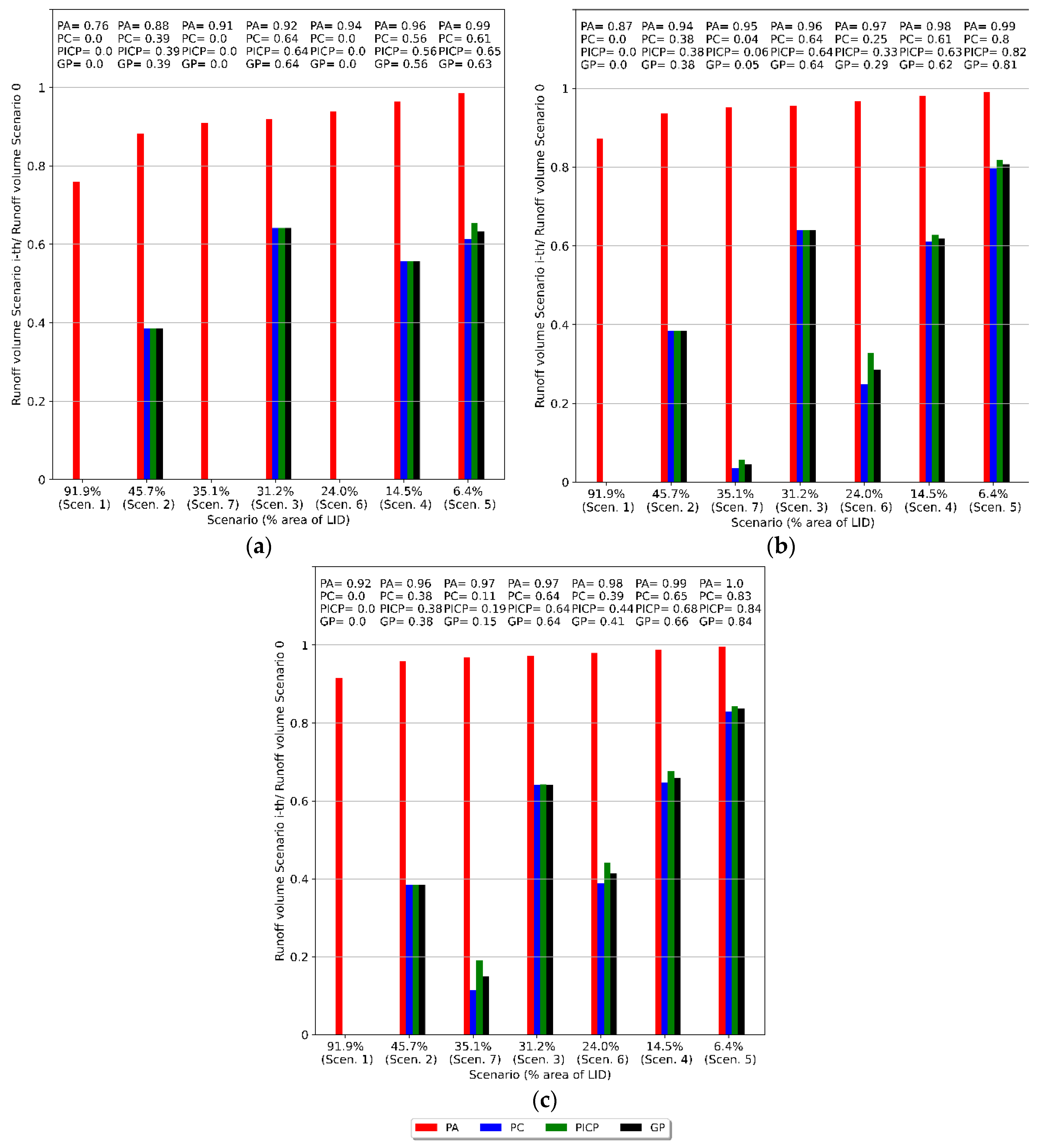
4. Results and Discussion
5. Conclusions
Author Contributions
Funding
Conflicts of Interest
References
- Chaddock, B.; Nunn, M. A Pilot-Scale Trial of Reservoir Pavements for Drainage Attenuation; IHS: Bracknell, UK, 2010. [Google Scholar]
- Marchioni, M.; Becciu, G. Permeable pavement used on sustainable drainage systems (SUDs): A synthetic review of recent literature. WIT Trans. Built Environ. 2014, 139, 183–194. [Google Scholar] [CrossRef]
- Dylla, H.L.; Kent, R.H. Porous Asphalt Pavements with Stone Reservoirs. FHWA Technical Brief. 2015, pp. 1–11. Available online: https://trid.trb.org/view/1352935 (accessed on 4 February 2021).
- Kuruppu, U.; Rahman, A.; Rahman, M.A. Permeable pavement as a stormwater best management practice: A review and discussion. Environ. Earth Sci. 2019, 78, 327. [Google Scholar] [CrossRef]
- Li, Q.; Wang, F.; Yu, Y.; Huang, Z.; Li, M.; Guan, Y. Comprehensive performance evaluation of LID practices for the sponge city construction: A case study in Guangxi, China. J. Environ. Manag. 2019, 231, 10–20. [Google Scholar] [CrossRef] [PubMed]
- Zha, X.; Luo, P.; Zhu, W.; Wang, S.; Lyu, J.; Zhou, M.; Huo, A.; Wang, Z. A bibliometric analysis of the research on Sponge City: Current situation and future development direction. Ecohydrology 2021, 14, e2328. [Google Scholar] [CrossRef]
- Zhu, Y.; Li, H.; Yang, B.; Zhang, X.; Mahmud, S.; Zhang, X.; Yu, B.; Zhu, Y. Permeable pavement design framework for urban stormwater management considering multiple criteria and uncertainty. J. Clean. Prod. 2021, 293, 126114. [Google Scholar] [CrossRef]
- Zhu, H.; Yu, M.; Zhu, J.; Lu, H.; Cao, R. Simulation study on effect of permeable pavement on reducing flood risk of urban runoff. Int. J. Transp. Sci. Technol. 2019, 8, 373–382. [Google Scholar] [CrossRef]
- Qin, H.P.; Li, Z.X.; Fu, G. The effects of low impact development on urban flooding under different rainfall characteristics. J. Environ. Manag. 2013, 129, 577–585. [Google Scholar] [CrossRef]
- Kayhanian, M.; Li, H.; Harvey, J.T.; Liang, X. Application of permeable pavements in highways for stormwater runoff management and pollution prevention: California research experiences. Int. J. Transp. Sci. Technol. 2019, 8, 358–372. [Google Scholar] [CrossRef]
- Awadalla, M.; Abd El Halim, A.O.; Hassan, Y.; Bashir, I.; Pinder, F. Field and laboratory permeability of asphalt concrete pavements. Can. J. Civ. Eng. 2017, 44, 233–243. [Google Scholar] [CrossRef]
- Ahn, J.; Marcaida, A.K.; Lee, Y.; Jung, J. Development of test equipment for evaluating hydraulic conductivity of permeable block pavements. Sustainability 2018, 10, 2549. [Google Scholar] [CrossRef]
- Weiss, P.T.; Kayhanian, M.; Gulliver, J.S.; Khazanovich, L. Permeable pavement in northern North American urban areas: Research review and knowledge gaps. Int. J. Pavement Eng. 2017, 20, 143–162. [Google Scholar] [CrossRef]
- Li, H.; Xu, H.; Chen, F.; Liu, K.; Tan, Y.; Leng, B. Evolution of water migration in porous asphalt due to clogging. J. Clean. Prod. 2022, 330, 129823. [Google Scholar] [CrossRef]
- Chen, X.; Wang, H.; Li, C.; Zhang, W.; Xu, G. Computational investigation on surface water distribution and permeability of porous asphalt pavement. Int. J. Pavement Eng. 2020, 23, 226–1238. [Google Scholar] [CrossRef]
- Alvarez-Lugo, A.E.; Carvajal-Muñoz, J.S.; Walubita, L.F. Comparison of the air voids characteristics of different hot mix asphalt (HMA) mixture types. Ingeniare Rev. Chil. Ing. 2014, 22, 74–87. [Google Scholar] [CrossRef][Green Version]
- Alvarez, A.E.; Fernandez, E.M.; Martin, A.E.; Reyes, O.J.; Simate, G.S.; Walubita, L.F. Comparison of permeable friction course mixtures fabricated using asphalt rubber and performance-grade asphalt binders. Constr. Build. Mater. 2012, 28, 427–436. [Google Scholar] [CrossRef]
- Drake, J.A.P.; Bradford, A.; Marsalek, J. Review of environmental performance of permeable pavement systems: State of the knowledge. Water Qual. Res. J. Can. 2013, 48, 203–222. [Google Scholar] [CrossRef]
- Mullaney, J.; Lucke, T. Practical review of pervious pavement designs. Clean—Soil Air Water 2014, 42, 111–124. [Google Scholar] [CrossRef]
- Eisenberg, B.; Lindow, K.C.; Smith, D.R. Permeable pavements. J. Phys. A Math. Theor. 2011, 44, 085201. [Google Scholar] [CrossRef]
- Holleran, I.; Wilson, D.J.; Black, P.; Holleran, G.; Walubita, L.F. Optimizing the durability of the coarse fraction of porous asphalt RAP for effective recycling. IOP Conf. Ser. Mater. Sci. Eng. 2017, 236, 012010. [Google Scholar] [CrossRef]
- Marchioni, M.; Becciu, G. Experimental results on permeable pavements in urban areas: A synthetic review. Int. J. Sustain. Dev. Plan. 2015, 10, 806–817. [Google Scholar] [CrossRef]
- CIRIA. The SuDS Manual; CIRIA: London, UK, 2015. [Google Scholar]
- Teshale, E.Z.; Shongtao, D.; Walubita, L.F. Evaluation of Unbound Aggregate Base Layers using Moisture Monitoring Data. Transp. Res. Rec. 2019, 2673, 399–409. [Google Scholar] [CrossRef]
- Debnath, B.; Sarkar, P.P. Pervious concrete as an alternative pavement strategy: A state-of-the-art review. Int. J. Pavement Eng. 2018, 21, 1516–1531. [Google Scholar] [CrossRef]
- Fwa, T.F.; Lim, E.; Tan, K.H. Comparison of permeability and clogging characteristics of porous asphalt and pervious concrete pavement materials. Transp. Res. Rec. 2015, 2511, 72–80. [Google Scholar] [CrossRef]
- Kayhanian, M.; Anderson, D.; Harvey, J.T.; Jones, D.; Muhunthan, B. Permeability measurement and scan imaging to assess clogging of pervious concrete pavements in parking lots. J. Environ. Manag. 2012, 95, 114–123. [Google Scholar] [CrossRef] [PubMed]
- Zhong, R.; Leng, Z.; Poon, C.S. Research and application of pervious concrete as a sustainable pavement material: A state-of-the-art and state-of-the-practice review. Constr. Build. Mater. 2018, 183, 544–553. [Google Scholar] [CrossRef]
- Antunes, L.N.; Ghisi, E.; Thives, L.P. Permeable pavements life cycle assessment: A literature review. Water 2018, 10, 1575. [Google Scholar] [CrossRef]
- Jamshidi, A.; Kurumisawa, K.; White, G.; Nishizawa, T.; Igarashi, T.; Nawa, T.; Mao, J. State-of-the-art of interlocking concrete block pavement technology in Japan as a post-modern pavement. Constr. Build. Mater. 2019, 200, 713–755. [Google Scholar] [CrossRef]
- Huang, J.; Valeo, C.; He, J.; Chu, A. Three Types of Permeable Pavements in Cold Climates: Hydraulic and Environmental Performance. J. Environ. Eng. 2016, 142, 04016025. [Google Scholar] [CrossRef]
- Gomez-Ullate, E.; Castillo-Lopez, E.; Castro-Fresno, D.; Bayon, J.R. Analysis and Contrast of Different Pervious Pavements for Management of Storm-Water in a Parking Area in Northern Spain. Water Resour. Manag. 2011, 25, 1525–1535. [Google Scholar] [CrossRef]
- Rossman, L.A. Storm Water Management Model User’s Manual Version 5.1 (EPA/600/R-05/040); United States Environmental Protection Agency: Cincinnati, OH, USA, 2015; p. 353. Available online: https://nepis.epa.gov/Exe/ZyPDF.cgi?Dockey=P100N3J6.TXT (accessed on 16 October 2020).
- Rossman, L.A.; Huber, W.C. Storm Water Management Model Reference Manual; United States Environmental Protection Agency: Cincinnati, OH, USA, 2016; Volume III, p. 231. Available online: www2.epa.gov/water-research (accessed on 16 October 2020).
- Forestieri, A.; Conti, F.L.; Blenkinsop, S.; Cannarozzo, M.; Fowler, H.J.; Noto, L.V. Regional frequency analysis of extreme rainfall in Sicily (Italy). Int. J. Climatol. 2018, 38, e698–e716. [Google Scholar] [CrossRef]
- Ferreri, G.B.; Ferro, V. Short-Duration Rainfalls in Sicily. J. Hydraul. Eng. 1990, 116, 430–435. [Google Scholar] [CrossRef]
- Keifer, C.J.; Chu, H.H. Synthetic Storm Pattern for Drainage Design. J. Hydraul. Div. 1957, 83, 1332-1–1332-25. [Google Scholar] [CrossRef]
- Francipane, A.; Pumo, D.; Sinagra, M.; la Loggia, G.; Noto, L.V. A paradigm of extreme rainfall pluvial floods in complex urban areas: The flood event of 15 July 2020 in Palermo (Italy). Nat. Hazards Earth Syst. Sci. 2021, 21, 2563–2580. [Google Scholar] [CrossRef]










| Types | Thickness (mm) | Porosity | Permeability (mm/h) | Authors |
|---|---|---|---|---|
| PA | 75–180 | 18–25% | 7000–50,000 | [19,26] |
| PC | 100–300 | 15–35% | 10,000–30,000 | [20,25,27,28] |
| PICP | 80 | 2500–4000 | [19,23,29,30] | |
| GP | 80 | 3600 | [20] |
| Layers | PA | PC | PICP | GP | |
|---|---|---|---|---|---|
| Surface | Berm height (mm) | 0 | 0 | 0 | 0 |
| Vegetation volume fraction | 0 | 0 | 0 | 0 | |
| Roughness (Manning’s n) | 0.01 | 0.015 | 0.015 | 0.015 | |
| Surface slope (%) | 1.5 | 1.5 | 1.5 | 1.5 | |
| Pavement | Thickness (mm) | 50 | 150 | 80 | 50 |
| Void ratio (voids/solids) | 0.18 | 0.15 | 0.2 | 0.2 | |
| Impervious Surface fraction | 0 | 0 | 0.95 | 0.2 | |
| Permeability (mm/h) | 7000 | 10,000 | 2500 | 3600 | |
| Clogging factor | 0 | 0 | 0 | 0 | |
| Storage | Thickness (mm) | 0 | 400 | 400 | 400 |
| Void ratio (voids/solids) | 0 | 0.4 | 0.4 | 0.4 | |
| Seepage rate (mm/h) | 0 | 36 | 36 | 36 | |
| Clogging factor | 0 | 0 | 0 | 0 | |
Publisher’s Note: MDPI stays neutral with regard to jurisdictional claims in published maps and institutional affiliations. |
© 2022 by the authors. Licensee MDPI, Basel, Switzerland. This article is an open access article distributed under the terms and conditions of the Creative Commons Attribution (CC BY) license (https://creativecommons.org/licenses/by/4.0/).
Share and Cite
Ciriminna, D.; Ferreri, G.B.; Noto, L.V.; Celauro, C. Numerical Comparison of the Hydrological Response of Different Permeable Pavements in Urban Area. Sustainability 2022, 14, 5704. https://doi.org/10.3390/su14095704
Ciriminna D, Ferreri GB, Noto LV, Celauro C. Numerical Comparison of the Hydrological Response of Different Permeable Pavements in Urban Area. Sustainability. 2022; 14(9):5704. https://doi.org/10.3390/su14095704
Chicago/Turabian StyleCiriminna, Diego, Giovanni Battista Ferreri, Leonardo Valerio Noto, and Clara Celauro. 2022. "Numerical Comparison of the Hydrological Response of Different Permeable Pavements in Urban Area" Sustainability 14, no. 9: 5704. https://doi.org/10.3390/su14095704
APA StyleCiriminna, D., Ferreri, G. B., Noto, L. V., & Celauro, C. (2022). Numerical Comparison of the Hydrological Response of Different Permeable Pavements in Urban Area. Sustainability, 14(9), 5704. https://doi.org/10.3390/su14095704

